Learning More with Less Data in Manufacturing: The Case of Turning Tool Wear Assessment through Active and Transfer Learning
Abstract
1. Introduction
2. Materials and Methods
3. Pilot Case
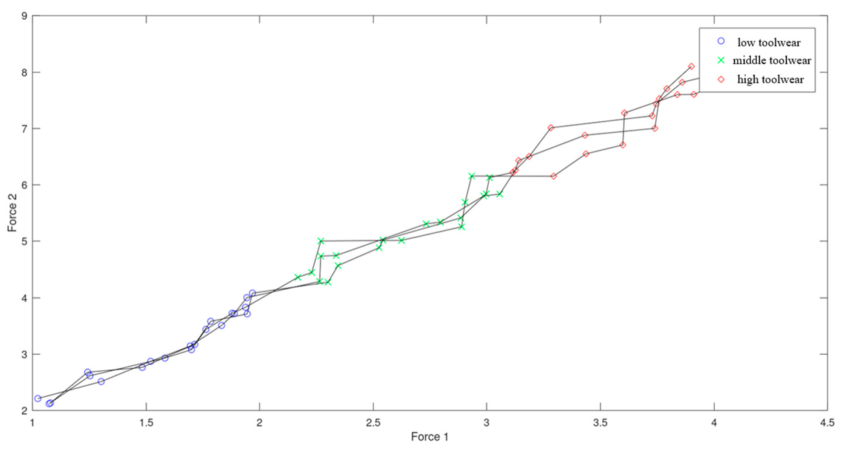
3.1. Overview
3.2. Machine Learning
- A Dense layer with 64 units and its activation function set to ‘elu’;
- A Dense layer with 32 units and its activation function set to ‘elu’;
- A Dense layer with 16 units and its activation function set to ‘elu’;
- A last Dense layer with 3 units and its activation function set to ‘softmax’;
- The CSM was trained using the following parameters:
- An 80–20% split between training and validation data;
- Batch size was set to 4;
- The Adam [57] optimizer was utilized;
- The learning rate was set at 0.0001;
- The ‘categorical_crossentropy’ loss function was used;
- The maximum epoch size was set to 50, and an early stopping function was deployed to monitor the validation loss, with patience of 3 and the ability to restore the best weights.
- TP: true positives;
- FP: false positives;
- FN: false negatives;
- TN: true negatives.
3.3. Active Learning on Individual Datasets
3.4. Transfer Active Learning
3.5. Results Summary
4. Discussion
5. Conclusions
Author Contributions
Funding
Data Availability Statement
Conflicts of Interest
References
- Herrera-Granados, G.; Misaka, T.; Herwan, J.; Komoto, H.; Furukawa, Y. An Experimental Study of Multi-Sensor Tool Wear Monitoring and Its Application to Predictive Maintenance. Int. J. Adv. Manuf. Technol. 2024, 1–19. [Google Scholar] [CrossRef]
- Bagga, P.J.; Makhesana, M.A.; Patel, K.M. A Novel Approach of Combined Edge Detection and Segmentation for Tool Wear Measurement in Machining. Prod. Eng. Res. Devel. 2021, 15, 519–533. [Google Scholar] [CrossRef]
- Pimenov, D.Y.; Gupta, M.K.; da Silva, L.R.; Kiran, M.; Khanna, N.; Krolczyk, G.M. Application of measurement systems in tool condition monitoring of Milling: A review of measurement science approach. Measurement 2022, 199, 11503. [Google Scholar] [CrossRef]
- Chryssolouris, G.; Alexopoulos, K.; Arkouli, Z. A Perspective on Artificial Intelligence in Manufacturing; Springer: Cham, Switzerland, 2023. [Google Scholar]
- Twardowski, P.; Wiciak-Pikuła, M. Prediction of tool wear using artificial neural networks during turning of hardened steel. Materials 2019, 12, 3091. [Google Scholar] [CrossRef] [PubMed]
- Niu, B.; Sun, J.; Yang, B. Multisensory based tool wear monitoring for practical applications in milling of titanium alloy. Mater. Today Proc. 2020, 22, 1209–1217. [Google Scholar] [CrossRef]
- Bagga, P.J.; Makhesana, M.A.; Patel, H.D.; Patel, K.M. Indirect method of tool wear measurement and prediction using ANN network in machining process. Mater. Today Proc. 2021, 44, 1549–1554. [Google Scholar] [CrossRef]
- Ma, J.; Luo, D.; Liao, X.; Zhang, Z.; Huang, Y.; Lu, J. Tool wear mechanism and prediction in milling TC18 titanium alloy using deep learning. Measurement 2021, 173, 108554. [Google Scholar] [CrossRef]
- Martínez-Arellano, G.; Terrazas, G.; Ratchev, S. Tool wear classification using time series imaging and deep learning. Int. J. Adv. Manuf. Technol. 2019, 104, 3647–3662. [Google Scholar] [CrossRef]
- Awasthi, U.; Wang, Z.; Mannan, N.; Pattipati, K.R.; Bollas, G.M. Physics-based modeling and information-theoretic sensor and settings selection for tool wear detection in precision machining. J. Manuf. Process. 2022, 81, 127–140. [Google Scholar] [CrossRef]
- Liu, T.; Wang, Q.; Wang, W. Micro-Milling Tool Wear Monitoring via Nonlinear Cutting Force Model. Micromachines 2022, 13, 943. [Google Scholar] [CrossRef]
- Xi, T.; Benincá, I.M.; Kehne, S.; Fey, M.; Brecher, C. Tool wear monitoring in roughing and finishing processes based on machine internal data. Int. J. Adv. Manuf. Technol. 2021, 113, 3543–3554. [Google Scholar] [CrossRef]
- Matos, F.; Silva, T.E.F.; Marques, F.; Figueiredo, D.; Rosa, P.A.R.; de Jesus, A.M.P. Machinability assessment of Inconel 718 turning using PCBN cutting tools. Procedia CIRP 2023, 117, 468–473. [Google Scholar] [CrossRef]
- Shurrab, S.; Almshnanah, A.; Duwairi, R. Tool Wear Prediction in Computer Numerical Control Milling Operations via Machine Learning. In Proceedings of the 2021 12th International Conference on Information and Communication Systems (ICICS), Valencia, Spain, 24 May 2021; pp. 220–227. [Google Scholar]
- Zhou, X.; Yu, T.; Wang, G.; Guo, R.; Fu, Y.; Sun, Y.; Chen, M. Tool Wear Classification Based on Convolutional Neural Network and Time Series Images during High Precision Turning of Copper. Wear 2023, 522, 204692. [Google Scholar] [CrossRef]
- Schwenzer, M.; Miura, K.; Bergs, T. Machine Learning for Tool Wear Classification in Milling Based on Force and Current Sensors. IOP Conf. Ser. Mater. Sci. Eng. 2019, 520, 012009. [Google Scholar] [CrossRef]
- Stavropoulos, P.; Papacharalampopoulos, A.; Vasiliadis, E.; Chryssolouris, G. Tool wear predictability estimation in milling based on multi-sensorial data. Int. J. Adv. Manuf. Technol. 2016, 82, 509–521. [Google Scholar] [CrossRef]
- da Silva, L.S.; Rebelo, C.; Nethercot, D.; Marques, L.; Simões, R.; Real, P.V. Statistical evaluation of the lateral–torsional buckling resistance of steel I-beams, Part 2: Variability of steel properties. J. Constr. Steel Res. 2009, 65, 832–849. [Google Scholar] [CrossRef]
- Singh, K.K.; Singh, R. Process mechanics based uncertainty modeling for cutting force prediction in high speed micromilling of Ti6Al4V. Procedia Manuf. 2020, 48, 273–282. [Google Scholar] [CrossRef]
- Xu, T.; Wang, K.; Song, S. Measurement uncertainty and representation of tensile mechanical properties in metals. Metals 2021, 11, 1733. [Google Scholar] [CrossRef]
- Choi, M.K.; Huh, H.; Jeong, S.; Kim, C.G.; Chae, K.S. Measurement uncertainty evaluation with correlation for dynamic tensile properties of auto-body steel sheets. Int. J. Mech. Sci. 2017, 130, 174–187. [Google Scholar] [CrossRef]
- Tao, W.; Zhu, P.; Xu, C.; Liu, Z. Uncertainty quantification of mechanical properties for three-dimensional orthogonal woven composites. Part II: Multiscale simulation. Compos. Struct. 2020, 235, 111764. [Google Scholar]
- Liu, Y.; Xiong, Z.; Liu, Z. Stochastic Cutting Force Modeling and Prediction in Machining. J. Manuf. Sci. Eng. 2020, 142, 121004. [Google Scholar] [CrossRef]
- Stavropoulos, P.; Papacharalampopoulos, A.; Souflas, T. Indirect online tool wear monitoring and model-based identification of process-related signal. Adv. Mech. Eng. 2020, 12, 1687814020919209. [Google Scholar] [CrossRef]
- Adadi, A. A survey on data-efficient algorithms in big data era. J. Big Data 2021, 8, 24. [Google Scholar] [CrossRef]
- Alexopoulos, K.; Sipsas, K.; Xanthakis, E.; Makris, S.; Mourtzis, D. An industrial Internet of things based platform for context-aware information services in manufacturing. Int. J. Comput. Integr. Manuf. 2018, 31, 1111–1123. [Google Scholar] [CrossRef]
- Chanda, S.S.; Banerjee, D.N. Omission and commission errors underlying AI failures. AI Soc. 2022, 1–24. [Google Scholar] [CrossRef] [PubMed]
- Papacharalampopoulos, A.; Michail, C.K.; Stavropoulos, P. Manufacturing resilience and agility through processes digital twin: Design and testing applied in the LPBF case. Procedia CIRP 2021, 103, 164–169. [Google Scholar] [CrossRef]
- Zhang, L.; Chen, X.; Zhou, W.; Cheng, T.; Chen, L.; Guo, Z.; Han, B.; Lu, L. Digital Twins for Additive Manufacturing: A State-of-the-Art Review. Appl. Sci. 2020, 10, 8350. [Google Scholar] [CrossRef]
- Gohari, H.; Mohamed, A.; Hassan, M.; M’Saoubi, R.; Attia, H. Hybrid Offline-Online Optimization, Monitoring and Control of Milling Processes. CIRP Ann.-Manuf. Technol. 2023, 72, 4. [Google Scholar] [CrossRef]
- Hassan, M.; Sadek, A.; Attia, M.H. Novel sensor-based tool wear monitoring approach for seamless implementation in high speed milling applications. CIRP Ann. 2021, 70, 87–90. [Google Scholar] [CrossRef]
- Wanner, J.; Weeber, M.; Birke, K.P.; Sauer, A. Quality modelling in battery cell manufacturing using soft sensoring and sensor fusion-A review. In Proceedings of the 2019 9th International Electric Drives Production Conference (EDPC), Esslingen, Germany, 3–4 December 2019; pp. 1–9. [Google Scholar]
- Dass, A.; Moridi, A. State of the art in directed energy deposition: From additive manufacturing to materials design. Coatings 2019, 9, 418. [Google Scholar] [CrossRef]
- Harris, G.; Yarbrough, A.; Abernathy, D.; Peters, C. Manufacturing readiness for digital manufacturing. Manuf. Lett. 2019, 22, 16–18. [Google Scholar] [CrossRef]
- Rizal, M.; Ghani, J.A.; Nuawi, M.Z.; Haron, C.H.C. Online tool wear prediction system in the turning process using an adaptive neuro-fuzzy inference system. Appl. Soft Comput. 2013, 13, 1960–1968. [Google Scholar] [CrossRef]
- Coulson, M.; Healey, M.; Fidler, F.; Cumming, G. Confidence intervals permit, but don’t guarantee, better inference than statistical significance testing. Front. Psychol. 2010, 1, 26. [Google Scholar] [CrossRef]
- Strickland, E. Andrew Ng, AI minimalist: The machine-learning pioneer says small is the new big. IEEE Spectr. 2022, 59, 22–50. [Google Scholar] [CrossRef]
- Xu, P.; Ji, X.; Li, M.; Lu, W. Small data machine learning in materials science. NPJ Comput. Mater. 2023, 9, 42. [Google Scholar] [CrossRef]
- Sucholutsky, I.; Schonlau, M. Less than one’-Shot Learning: Learning N classes from M < N samples. Proc. AAAI Conf. Artif. Intell. 2021, 35, 9739–9746. [Google Scholar]
- Kim, Y.; Kim, T.; Youn, B.D.; Ahn, S.H. Machining quality monitoring (MQM) in laser-assisted micro-milling of glass using cutting force signals: An image-based deep transfer learning. J. Intell. Manuf. 2022, 33, 1813–1828. [Google Scholar] [CrossRef]
- Wang, J.; Yang, S.; Liu, Y.; Wen, G. Deep Subdomain Transfer Learning with Spatial Attention ConvLSTM Network for Fault Diagnosis of Wheelset Bearing in High-Speed Trains. Machines 2023, 11, 304. [Google Scholar] [CrossRef]
- Ali, A.A.; Chramcov, B.; Jasek, R.; Katta, R.; Krayem, S.; Kadi, M. Detection of Steel Surface Defects Using U-Net with Pre-trained Encoder. In Software Engineering Application in Informatics, Proceedings of the Computational Methods in Systems and Software, Online, Czech Republic, 1 October 2021; Silhavy, R., Silhavy, P., Prokopova, Z., Eds.; Springer: Cham, Switzerland, 2021; pp. 185–196. [Google Scholar]
- Pickering, E.; Guth, S.; Karniadakis, G.E.; Sapsis, T.P. Discovering and forecasting extreme events via active learning in neural operators. Nat. Comput. Sci. 2022, 2, 823–833. [Google Scholar] [CrossRef]
- Martinez Arellano, G.; Ratchev, S. Towards an active learning approach to tool condition monitoring with bayesian deep learning. In Proceedings of the 33rd International ECMS Conference on Modelling and Simulation, Caserta, Italy, 11–14 June 2019. [Google Scholar]
- Li, Y.; Wang, J.; Huang, Z.; Gao, R.X. Physics-informed meta learning for machining tool wear prediction. J. Manuf. Syst. 2022, 62, 17–27. [Google Scholar] [CrossRef]
- Zou, Z.; Karniadakis, G.E. L-HYDRA: Multi-Head Physics-Informed Neural Networks. arXiv 2023, arXiv:2301.02152. [Google Scholar]
- Lu, L.; Jin, P.; Karniadakis, G.E. Deeponet: Learning nonlinear operators for identifying differential equations based on the universal approximation theorem of operators. arXiv 2019, arXiv:1910.03193. [Google Scholar]
- Rožanec, J.M.; Trajkova, E.; Dam, P.; Fortuna, B.; Mladenić, D. Streaming Machine Learning and Online Active Learning for Automated Visual Inspection. IFAC-Pap. 2022, 55, 277–282. [Google Scholar] [CrossRef]
- Kanagavelu, R.; Li, Z.; Samsudin, J.; Hussain, S.; Yang, F.; Yang, Y.; Goh, R.; Cheah, M. Federated learning for advanced manufacturing based on industrial IoT data analytics. In Implementing Industry 4.0: The Model Factory as the Key Enabler for the Future of Manufacturing; Springer: New York, NY, USA, 2021; pp. 143–176. [Google Scholar]
- Hewage, C.; Rahulamathavan, Y.; Ratnayake, D. (Eds.) Data Protection in a Post-Pandemic Society: Laws, Regulations, Best Practices and Recent Solutions; Springer International Publishing: Cham, Switzerland, 2023. [Google Scholar] [CrossRef]
- Gosselin, R.; Vieu, L.; Loukil, F.; Benoit, A. Privacy and Security in Federated Learning: A Survey. Appl. Sci. 2022, 12, 9901. [Google Scholar] [CrossRef]
- Abad, G.; Picek, S.; Ramírez-Durán, V.J.; Urbieta, A. SoK: On the Security & Privacy in Federated Learning. arXiv 2021, arXiv:2112.05423. [Google Scholar]
- Canal, A.D. Surface Roughness Analysis in Turning Processes Using ANN. Realização de Instituto Tecnológico de Aeronáutica. São José dos Campos: ITA. 2022. Available online: http://www.bdita.bibl.ita.br/tesesdigitais/lista_resumo.php?num_tese=78535 (accessed on 11 May 2023).
- Sklearn.tree.DecisionTreeClassifier. Available online: https://scikit-learn.org/stable/modules/generated/sklearn.tree.DecisionTreeClassifier.html (accessed on 6 July 2023).
- Sklearn.svm.SVC. Available online: https://scikit-learn.org/stable/modules/generated/sklearn.svm.SVC.html (accessed on 6 July 2023).
- Sklearn.neural_network.MLPClassifier. Available online: https://scikit-learn.org/stable/modules/generated/sklearn.neural_network.MLPClassifier.html (accessed on 6 July 2023).
- Kingma, D.P.; Ba, J. Adam: A Method for Stochastic Optimization. arXiv 2017, arXiv:1412.6980. [Google Scholar]
- Yang, L.; Hanneke, S.; Carbonell, J. A theory of transfer learning with applications to active learning. Mach Learn. 2013, 90, 161–189. [Google Scholar] [CrossRef]
- Nakano, F.K.; Cerri, R.; Vens, C. Active learning for hierarchical multi-label classification. Data Min. Knowl. Disc. 2020, 34, 1496–1530. [Google Scholar] [CrossRef]
- Kale, D.; Liu, Y. Accelerating Active Learning with Transfer Learning. In Proceedings of the 2013 IEEE 13th International Conference on Data Mining. Presented at the 2013 IEEE International Conference on Data Mining (ICDM), IEEE, Dallas, TX, USA, 7–10 December 2013; pp. 1085–1090. [Google Scholar] [CrossRef]
- Terrazas, G.; Martínez-Arellano, G.; Benardos, P.; Ratchev, S. Online Tool Wear Classification during Dry Machining Using Real Time Cutting Force Measurements and a CNN Approach. J. Manuf. Mater. Process. 2018, 2, 72. [Google Scholar] [CrossRef]
- Wuest, T.; Irgens, C.; Thoben, K.-D. An Approach to Monitoring Quality in Manufacturing Using Supervised Machine Learning on Product State Data. J. Intell. Manuf. 2014, 25, 1167–1180. [Google Scholar] [CrossRef]
- IEEE Data Port. Available online: https://ieee-dataport.org/open-access/toolwear-dataset-nuaaideahouse (accessed on 10 May 2023).
- Sayyad, S.; Kumar, S.; Bongale, A.; Kotecha, K.; Selvachandran, G.; Suganthan, P.N. Tool wear prediction using long short-term memory variants and hybrid feature selection techniques. Int. J. Adv. Manuf. Technol. 2022, 121, 6611–6633. [Google Scholar] [CrossRef]











| Force 1 (Fx) | Force 2 (Fz) | Tool Wear |
|---|---|---|
| value 1 | value 2 | low or 0 tool wear |
| value 3 | value 4 | low or 0 tool wear |
| value 5 | value 6 | middle or 0.1 tool wear |
| value 7 | value 8 | high or 0.3 tool wear |
| Experimental Setup | Company A [5] | Company B [50,53] |
|---|---|---|
| Machine tool/Cutting parameters | DMU/available in the documentation | ROMI/Available in the thesis |
| Material | Titanium alloy (TC4) | AISI H13 |
| Cutting Tool/Coating/Fluid | Carbide/None/no | HC/CVD/Yes |
| Sensor | Spike sensory tool holder | Kistler (more details in the thesis) |
| Placement of the sensor | In the tool holder (schematic in the documentation) | Attached to cutting tool (schematic in the thesis) |
| Measurements | Mean value (configuration of path and sampling frequency can be found in the documentation) | Mean value of plateau in steady state (schematic in the thesis) |
| Performance Metric | CSM on Company A Data | CSM on Company B Data |
|---|---|---|
| Accuracy | 0.86 | 0.82 |
| Precision | 0.83 | 0.87 |
| Recall | 0.87 | 0.86 |
| F1 score | 0.85 | 0.83 |
| Performance Metric | Company A Data | Company B Data |
|---|---|---|
| Accuracy | 0.92 | 1 |
| Precision | 0.85 | 1 |
| Recall | 0.92 | 1 |
| F1 score | 0.88 | 1 |
| Performance Metric | Company A Data | Company B Data |
|---|---|---|
| Accuracy | 0.93 | 1 |
| Precision | 0.86 | 1 |
| Recall | 0.93 | 1 |
| F1 score | 0.89 | 1 |
Disclaimer/Publisher’s Note: The statements, opinions and data contained in all publications are solely those of the individual author(s) and contributor(s) and not of MDPI and/or the editor(s). MDPI and/or the editor(s) disclaim responsibility for any injury to people or property resulting from any ideas, methods, instructions or products referred to in the content. |
© 2024 by the authors. Licensee MDPI, Basel, Switzerland. This article is an open access article distributed under the terms and conditions of the Creative Commons Attribution (CC BY) license (https://creativecommons.org/licenses/by/4.0/).
Share and Cite
Papacharalampopoulos, A.; Alexopoulos, K.; Catti, P.; Stavropoulos, P.; Chryssolouris, G. Learning More with Less Data in Manufacturing: The Case of Turning Tool Wear Assessment through Active and Transfer Learning. Processes 2024, 12, 1262. https://doi.org/10.3390/pr12061262
Papacharalampopoulos A, Alexopoulos K, Catti P, Stavropoulos P, Chryssolouris G. Learning More with Less Data in Manufacturing: The Case of Turning Tool Wear Assessment through Active and Transfer Learning. Processes. 2024; 12(6):1262. https://doi.org/10.3390/pr12061262
Chicago/Turabian StylePapacharalampopoulos, Alexios, Kosmas Alexopoulos, Paolo Catti, Panagiotis Stavropoulos, and George Chryssolouris. 2024. "Learning More with Less Data in Manufacturing: The Case of Turning Tool Wear Assessment through Active and Transfer Learning" Processes 12, no. 6: 1262. https://doi.org/10.3390/pr12061262
APA StylePapacharalampopoulos, A., Alexopoulos, K., Catti, P., Stavropoulos, P., & Chryssolouris, G. (2024). Learning More with Less Data in Manufacturing: The Case of Turning Tool Wear Assessment through Active and Transfer Learning. Processes, 12(6), 1262. https://doi.org/10.3390/pr12061262

