Experimental Study on Plastic Deformation of EH690 Steel with the V-Notch during Falling Weight Impact Based on DIC
Abstract
1. Introduction
2. Experimental Materials and Methods
2.1. Experimental Materials
2.2. Experimental Methods
3. Experiment Results and Analysis
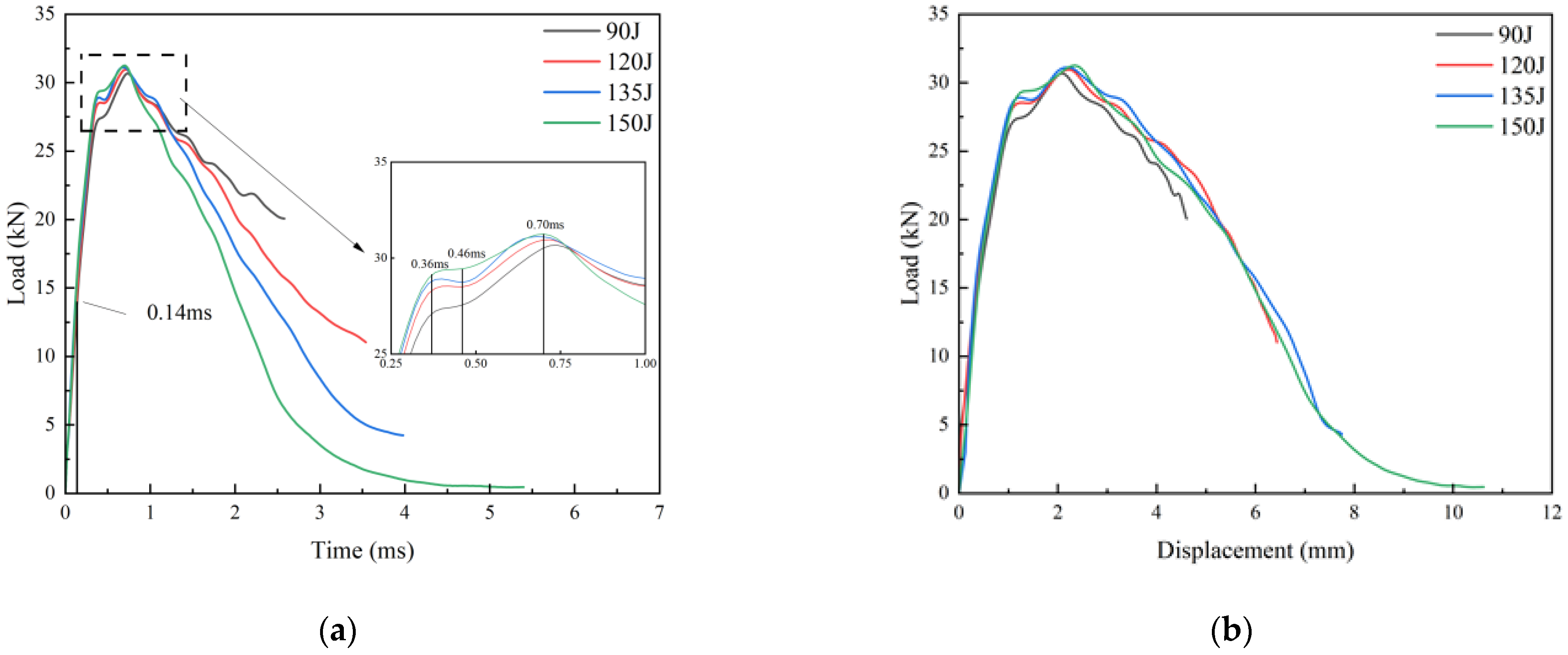
3.1. Experimental Results
3.2. Results of DIC Analyses
3.3. Conclusions Macroscopic Fracture Analysis of Specimen
3.4. Analysis of Micro-Morphology of Specimens
3.5. Finite Element Simulation Results and Analysis
4. Conclusions
Author Contributions
Funding
Data Availability Statement
Conflicts of Interest
References
- Jiang, J.; Wu, M.; Xu, T.T.; Bao, W.; Li, Z.H. Study on impact toughness of TMCP and quenched and tempered high strength steels. Case Stud. Constr. Mater. 2024, 20, e02795. [Google Scholar] [CrossRef]
- Dong, W.C.; Wen, M.Y.; Pang, H.Y.; Lu, S.P. Effect of Post-weld Tempering on the Microstructure and Mechanical Properties in the Simulated HAZs of a High-Strength-High-Toughness Combination Marine Engineering Steel. Acta Metall. Sin. (Engl. Lett.) 2020, 33, 391–402. [Google Scholar] [CrossRef]
- Hu, J.; Lan, W.; Deng, P.; Wu, J.; Zeng, J. Corrosion Behavior of E690 Steel in Tropical Marine Atmosphere. J. Chin. Soc. Corros. Prot. 2023, 43, 1140–1144. [Google Scholar]
- Gao, X.; Shao, Y.; Xie, L.; Wang, Y.; Yang, D. Prediction of Corrosive Fatigue Life of Submarine Pipelines of API 5L X56 Steel Materials. Materials 2019, 12, 10. [Google Scholar] [CrossRef] [PubMed]
- Kazem Reza, K.; Chizari, M. Influence of Conventional Shot Peening Treatment on the Service Life Improvement of Bridge Steel Piles Subjected to Sea Wave Impact. J. Mar. Sci. Eng. 2023, 11, 1570. [Google Scholar] [CrossRef]
- Li, Q.; Jia, H.; Qiu, Q.; Lu, Y.; Zhang, J.; Mao, J.; Fan, W.; Huang, M. Typhoon-Induced Fragility Analysis of Transmission Tower in Ningbo Area Considering the Effect of Long-Term Corrosion. Appl. Sci. 2022, 12, 4774. [Google Scholar] [CrossRef]
- Lee, S.; Rasoolian, B.; Silva, D.F.; Pegues, J.W.; Shamsaei, N. Surface roughness parameter and modeling for fatigue behavior of additive manufactured parts: A non-destructive data-driven approach. Addit. Manuf. 2021, 46, 102094. [Google Scholar] [CrossRef]
- Guo, Y.; Shao, Y.; Gao, X.; Li, T.; Zhong, Y.; Luo, X. Corrosion fatigue crack growth of serviced API 5L X56 submarine pipeline. Ocean. Eng. 2022, 256, 111502. [Google Scholar] [CrossRef]
- Luo, X.; Shi, J.; Shao, Y. Study on corrosion fatigue crack growth of high strength steel under the seawater corrosive environment. China Offshore Oil Gas 2023, 35, 181–188. [Google Scholar]
- Zhao, T.; Liu, Z.; Du, C.; Dai, C.; Li, X.; Zhang, B. Corrosion fatigue crack initiation and initial propagation mechanism of E690 steel in simulated seawater. Mater. Sci. Eng. A 2017, 708, 181–192. [Google Scholar] [CrossRef]
- Li, Y.; Liu, Z.; Wu, W.; Li, X.; Zhao, J. Crack growth behaviour of E690 steel in artificial seawater with various pH values. Corros. Sci. 2020, 164, 108336. [Google Scholar] [CrossRef]
- Che, M.J.; Du, X.J.; Yi, S.; Ma, H.Y.; He, Y.Z. Superior Pitting Corrosion Resistance of Ultra-high Strength Low Alloy Steel Via Co-alloying Al and Cu. JOM 2023, 75, 4287–4299. [Google Scholar] [CrossRef]
- Gao, X.; Shao, Y.; Chen, C.; Zhu, H. Investigation on residual stress of EQ56 high strength steel butt weld. Ocean. Eng. 2023, 279, 114405. [Google Scholar] [CrossRef]
- Chen, Z.; Yu, B.; Wang, P.; Qian, H. Fatigue properties evaluation of fillet weld joints in full-scale steel marine structures. Ocean. Eng. 2023, 270, 113651. [Google Scholar] [CrossRef]
- Xiong, C.N.; Shao, Y.B.; Tong, L.W.; Dai, K.S.; Luo, Y.X. Static strength of CFRP-strengthened preloaded circular concrete-filled steel tube stub columns, Part I: Experimental test. Thin-Walled Struct. 2023, 184, 110546. [Google Scholar] [CrossRef]
- Fu, W.; Li, C.; Di, X.; Jin, Y.; Fu, K.; Gao, H.; Fang, C.; Lou, S.; Ding, T.; Wang, D. Strengthening and toughening mechanism of coarse-grained heat-affected zone for the Cr-/Mo-free Cu-bearing HSLA steel under high heat input welding conditions. J. Mater. Sci. 2022, 57, 16471–16489. [Google Scholar] [CrossRef]
- Madhusudhan, D.; Chand, S.; Ganesh, S.; Saibhargavi, U. Modeling and simulation of Charpy impact test of maraging steel 300 using Abaqus. IOP Conf. Ser. Mater. Sci. Eng. 2018, 330, 012013. [Google Scholar] [CrossRef]
- Cao, Y.; Zhen, Y.; Song, M.; Yi, H.; Li, F.; Li, X. Determination of Johnson–Cook parameters and evaluation of Charpy impact test performance for X80 pipeline steel. Int. J. Mech. Sci. 2020, 179, 105627. [Google Scholar] [CrossRef]
- Kim, H.; Park, J.; Kang, M.; Lee, S. Interpretation of Charpy impact energy characteristics by microstructural evolution of dynamically compressed specimens in three tempered martensitic steels. Mater. Sci. Eng. A 2016, 649, 57–67. [Google Scholar] [CrossRef]
- Winkler, S.; Thompson, A.; Salisbury, C.; Worswick, M.; Van Riemsdijk, I.; Mayer, R. Strain Rate and Temperature Effects on the Formability and Damage of Advanced High-Strength Steels. Metall. Mater. Trans. Part A 2008, 38, 1350–1358. [Google Scholar] [CrossRef]
- Fathi, E.; Hashemi, S.H. Analysis of fracture energy in drop weight tear testing of API X65 gas pipeline steel. J. Pipeline Sci. Eng. 2021, 1, 225–232. [Google Scholar] [CrossRef]
- Zhou, L.; Zhu, Z.; Liu, R.; Fan, Y.; Dong, Y.; Ying, P. Investigation on Fracture Properties of Single-Flawed Tunnel Model Under Medium-to-Low-Speed Impacts. Acta Mech. Solida Sin. 2019, 33, 205–225. [Google Scholar] [CrossRef]
- Kang, M.; Park, J.; Sohn, S.S.; Kim, H.S.; Kim, N.J.; Lee, S. Interpretation of quasi-static and dynamic tensile behavior by digital image correlation technique in TWinning Induced Plasticity (TWIP) and low-carbon steel sheets. Mater. Sci. Eng. A 2017, 693, 170–177. [Google Scholar] [CrossRef]
- Ghimire, A.; Wald, F. Deformation behaviour of high-strength steel welds using DIC. ce/papers 2023, 6, 557–561. [Google Scholar] [CrossRef]
- Rahmatabadi, D.; Shahmirzaloo, A.; Hashemi, R.; Farahani, M. Using digital image correlation for characterizing the elastic and plastic parameters of ultrafine-grained Al 1050 strips fabricated via accumulative roll bonding process. Mater. Res. Express 2019, 6, 086542. [Google Scholar] [CrossRef]
- Pan, B.; Li, K.; Tong, W. Fast, Robust and Accurate Digital Image Correlation Calculation Without Redundant Computations. Exp. Mech. 2013, 53, 1277–1289. [Google Scholar] [CrossRef]
- Schreier, H.W.; Braasch, J.R.; Sutton, M.A. Systematic errors in digital image correlation caused by intensity interpolation. Opt. Eng. 2000, 39, 2915–2921. [Google Scholar] [CrossRef]
- Gao, Z.; Xu, X.; Su, Y.; Zhang, Q. Experimental analysis of image noise and interpolation bias in digital image correlation. Opt. Lasers Eng. 2016, 81, 46–53. [Google Scholar] [CrossRef]
- Sutton, M.A. Image Correlation for Shape, Motion and Deformation Measurements: Basic Concepts, Theory and Applications; Springer: London, UK, 2009. [Google Scholar]
- Sutton, M.A.; Tiwari, V.; Pierron, F. Ultra High Speed DIC and Virtual Fields Method Analysis of a Three Point Bending Impact Test on an Aluminium Bar. Exp. Mech. 2011, 51, 537–563. [Google Scholar]
- Liu, J.; Saletti, D.; Pattofatto, S.; Zhao, H. Impact testing of polymeric foam using Hopkinson bars and digital image analysis. Polym. Test. 2014, 36, 101–109. [Google Scholar] [CrossRef]
- Pan, K.; Rena, C.Y.; Ruiz, G.; Zhang, X.; Wu, Z.; De La Rosa, Á. The propagation speed of multiple dynamic cracks in fiber-reinforced cement-based composites measured using DIC. Cem. Concr. Compos. 2021, 122, 104140. [Google Scholar] [CrossRef]
- Jordan, B.; Grolleau, V.; Mohr, D. Using surround DIC to extract true stress–strain curve from uniaxial tension experiments. Int. J. Solids Struct. 2023, 268, 112171. [Google Scholar] [CrossRef]
- Sun, F.F.; Ran, M.M.; Li, G.Q.; Wang, Y.B. Mechanical behavior of transverse fillet welded joints of high strength steel using digital image correlation techniques. J. Constr. Steel Res. 2019, 162, 105710. [Google Scholar] [CrossRef]
- Ren, S.C.; Morgeneyer, T.F.; Mazière, M.; Forest, S.; Rousselier, G. Effect of Lüders and Portevin-Le Chatelier localization bands on plasticity and fracture of notched steel specimens studied by DIC and FE simulations. Int. J. Plast. 2021, 136, 102880. [Google Scholar] [CrossRef]
- Rahmatabadi, D.; Ahmadi, M.; Pahlavani, M.; Hashemi, R. DIC-based experimental study of fracture toughness through R-curve tests in a multi-layered Al-Mg (LZ91) composite fabricated by ARB. J. Alloys Compd. 2021, 883, 160843. [Google Scholar] [CrossRef]
- NS-EN ISO 14556:2023; Metallic Materials—Charpy V-Notch Pendulum Impact Test. Instrumented Test Method (ISO 14556:2023). ISO: Geneva, Switzerland, 2023.
- Lucon, E. Effect of electrical discharge machining (EDM) on Charpy test results from miniaturized steel specimens. J. Test. Eval. 2013, 41, 1–9. [Google Scholar] [CrossRef]
- Blaber, J.; Adair, B.; Antoniou, A. Ncorr: Open-Source 2D Digital Image Correlation Matlab Software. Exp. Mech. 2015, 55, 1105–1122. [Google Scholar] [CrossRef]
- Zhao, B.; Zhang, L.C.; Xu, L.; Peng, J. Dynamic Mechanical Properties and Material Constitutive Relationship of Marine EH690 Steel. Ship Eng. 2022, 44, 117–120. [Google Scholar]















| C | Si | Mn | P | S | Cu | Cr | Ni | V | Alt |
|---|---|---|---|---|---|---|---|---|---|
| 0.13 | 0.2 | 1.36 | 0.008 | 0.002 | 0.02 | 0.22 | 0.31 | 0.034 | 0.035 |
| Yield Strength/MPa | Tensile Strength/MPa | Elongation at Break /GPa | Impact Toughness /(%) |
|---|---|---|---|
| 833.5 | 890 | 207 | 17.78 |
| ρ/(kg∙m−3) | E/GPa | Porisson Ratio | A/MPa | B/MPa | n | C |
|---|---|---|---|---|---|---|
| 7850 | 210 | 0.3 | 739 | 510 | 0.3 | 0.0147 |
| Impact Energy/J | Maximum Error of Load/% | Maximum Error of Displacement/% | Maximum Error of Strain/% |
|---|---|---|---|
| 90 | 9.42 | 5.61 | 10.14 |
| 120 | 6.47 | 3.25 | 10.68 |
| 135 | 6.83 | 3.53 | 9.42 |
| 150 | 7.16 | 1.72 | 7.07 |
Disclaimer/Publisher’s Note: The statements, opinions and data contained in all publications are solely those of the individual author(s) and contributor(s) and not of MDPI and/or the editor(s). MDPI and/or the editor(s) disclaim responsibility for any injury to people or property resulting from any ideas, methods, instructions or products referred to in the content. |
© 2024 by the authors. Licensee MDPI, Basel, Switzerland. This article is an open access article distributed under the terms and conditions of the Creative Commons Attribution (CC BY) license (https://creativecommons.org/licenses/by/4.0/).
Share and Cite
Xu, X.; Shi, J.; Zhao, Y. Experimental Study on Plastic Deformation of EH690 Steel with the V-Notch during Falling Weight Impact Based on DIC. Processes 2024, 12, 751. https://doi.org/10.3390/pr12040751
Xu X, Shi J, Zhao Y. Experimental Study on Plastic Deformation of EH690 Steel with the V-Notch during Falling Weight Impact Based on DIC. Processes. 2024; 12(4):751. https://doi.org/10.3390/pr12040751
Chicago/Turabian StyleXu, Xinfeng, Jian Shi, and Yuanjing Zhao. 2024. "Experimental Study on Plastic Deformation of EH690 Steel with the V-Notch during Falling Weight Impact Based on DIC" Processes 12, no. 4: 751. https://doi.org/10.3390/pr12040751
APA StyleXu, X., Shi, J., & Zhao, Y. (2024). Experimental Study on Plastic Deformation of EH690 Steel with the V-Notch during Falling Weight Impact Based on DIC. Processes, 12(4), 751. https://doi.org/10.3390/pr12040751

