Effects of Diameter Parameters on Gas Flow Field Characteristics in Cyclones: An Experimental Investigation
Abstract
1. Introduction
2. Experiments
2.1. Cyclone Geometry
2.2. Experimental Setup
3. Results and Discussion
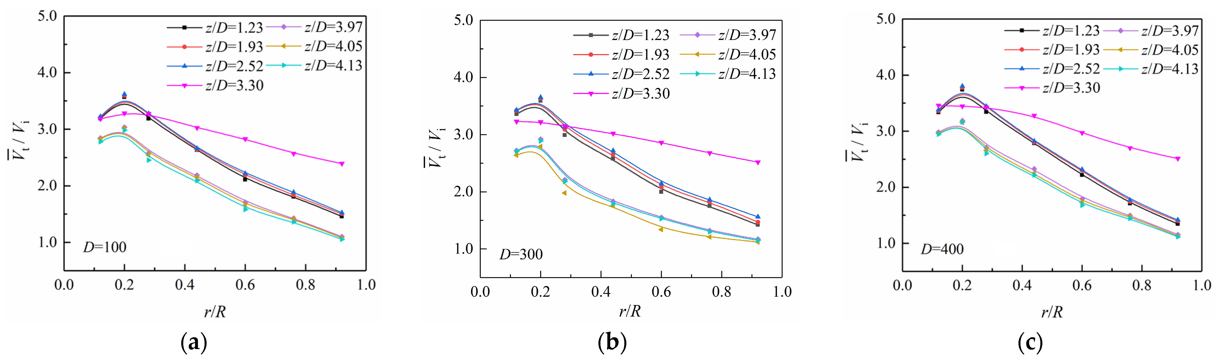
3.1. Effects of the Cylinder Diameter
3.1.1. Time–Mean and Instantaneous Tangential Velocities
3.1.2. Fluctuation Intensity
3.1.3. Frequency Domain Characteristics
3.2. Effects of the Vortex Finder Diameter
3.2.1. Time–Mean and Instantaneous Tangential Velocities
3.2.2. Fluctuation Intensity
3.2.3. Frequency Domain Characteristics
3.2.4. Improved Frequency Calculation Model
4. Conclusions
- Distribution patterns of the time–mean tangential velocity in cyclones with different cylinder and vortex finder diameters were in accordance with the Rankine vortex structure. The maximum tangential velocity increased slightly when the cylinder diameter was increased. However, the maximum tangential velocity decreased significantly when dr/D was increased, and the interface between the rigid vortex and the quasi-free vortex gradually increased;
- The instantaneous tangential velocities in cyclones with different cylinder and vortex finder diameters showed that the form of tangential velocity fluctuations was low-frequency fluctuations superimposed on high-frequency turbulence pulsation. The tangential velocity fluctuation intensity characterized by the standard deviation (Sd) increased when the cylinder diameter was increased and when the vortex finder diameter was decreased at the same dimensionless axial section;
- The phenomenon of the two dominant frequencies appeared in cyclones with different cylinder diameters and vortex finder diameters. The diameter parameters of the cyclone (the cylinder diameter and the vortex finder diameter) affect the frequency domain characteristics of instantaneous tangential velocities. The increases in cyclone cylinder diameter and vortex finder diameter led to both the two dominant frequencies being decreased but not showing strict linearity;
- The dominant frequency in the cyclone is caused by the swing of the swirling flow. The relationship between the swing frequency of the swirling flow in the cyclone and the inlet velocity, the cylinder diameter, and the vortex finder diameter was established by the instantaneous tangential velocity frequency domain; the frequency calculation model was improved.
Author Contributions
Funding
Data Availability Statement
Conflicts of Interest
Abbreviations
| a | Rectangular inlet height (mm) |
| b | Rectangular inlet width (mm) |
| D | Cylinder diameter (mm) |
| dr | Vortex finder diameter (mm) |
| f1 | Entire space dominant frequency (Hz) |
| f2 | Local dominant frequency (Hz) |
| f | Dominant frequency (Hz) |
| R | Radius of cross section (mm) |
| r | Radial coordinate (mm) |
| Sd | Standard deviation (m/s) |
| St | Strouhal number |
| Vi | Inlet velocity (m/s) |
| Vt | Tangential velocity (m/s) |
| Time–mean tangential velocity (m/s) | |
| Vti | Instantaneous tangential velocity (m/s) |
| x, y, z | Coordinates (mm) |
References
- Hoffmann, A.C.; Stein, L.E. Gas Cyclones and Swirl Tubes: Principles, Design and Operation, 2nd ed.; Springer: Berlin/Heidelberg, Germany, 2008. [Google Scholar]
- Swamee, P.K.; Aggarwal, N.; Bhobhiya, K. Optimum design of cyclone separator. AIChE J. 2010, 55, 2279–2283. [Google Scholar] [CrossRef]
- Solero, G.; Coghe, A. Experimental fluid dynamic characterization of a cyclone chamber. Exp. Therm. Fluid Sci. 2002, 27, 87–96. [Google Scholar] [CrossRef]
- Hoekstra, A.J.; Derksen, J.J.; Akker, H.E.A.V.D. An experimental and numerical study of turbulent swirling flow in gas cyclones. Chem. Eng. Sci. 1999, 54, 2055–2065. [Google Scholar] [CrossRef]
- Hu, L.Y.; Zhou, L.X.; Zhang, J.; Shi, M.X. Studies on strongly swirling flows in the full space of a volute cyclone separator. AIChE J. 2010, 51, 740–749. [Google Scholar] [CrossRef]
- Gronald, G.; Derksen, J.J. Simulating turbulent swirling flow in a gas cyclone: A comparison of various modeling approaches. Powder Technol. 2011, 205, 160–171. [Google Scholar] [CrossRef]
- Zhou, L.X.; Li, Y.; Chen, T.; Xu, Y. Studies on the effect of swirl numbers on strongly swirling turbulent gas-particle flows using a phase-Doppler particle anemometer. Powder Technol. 2000, 112, 79–86. [Google Scholar] [CrossRef]
- Peng, W.; Hoffmann, A.C.; Dries, H.W.A.; Regelink, M.A.; Stein, L.E. Experimental study of the vortex end in centrifugal separators: The nature of the vortex end. Chem. Eng. Sci. 2005, 60, 6919–6928. [Google Scholar] [CrossRef]
- Huang, Y.Q.; Zhang, M.; Lyu, J.; Liu, Z.; Yang, H.R. Effects of gas leakage on the separation performance of a cyclone. Part 1: Experimental investigation. Chem. Eng. Res. Des. 2018, 136, 900–905. [Google Scholar] [CrossRef]
- Wang, M.; Feng, D.; Wang, J.; Hou, L.; Miao, E. CFD investigation on the performance of cyclone separators with divergent or convergent insertion pipes. Processes 2023, 11, 2061. [Google Scholar] [CrossRef]
- Derksen, J.J.; Sundaresan, S.; Akker, H.E.A.V.D. Simulation of mass-loading effects in gas-solid cyclone separators. Powder Technol. 2006, 163, 59–68. [Google Scholar] [CrossRef]
- Brara, L.S.; Elsayed, K. Analysis and optimization of cyclone separators with eccentric vortex finders using large eddy simulation and artificial neural network. Sep. Purif. Technol. 2018, 207, 269–283. [Google Scholar] [CrossRef]
- Yang, J.X.; Dong, Z.Z.; Shen, C.; Zhang, W.; Hao, X.G.; Guan, G.Q. Analysis of effect of radial confluence flow on vortex core motion. Powder Technol. 2019, 356, 871–879. [Google Scholar] [CrossRef]
- Guo, M.; Xue, H.; Pang, J.; Le, D.K.; Sun, X.; Yoon, J.Y. Numerical investigation on the swirling vortical characteristics of a Stairmand cyclone separator with slotted vortex finder. Powder Technol. 2023, 416, 118236. [Google Scholar] [CrossRef]
- Ehteram, M.A.; Tabrizi, H.B.; Mesbah, M.; Ahmadic, G.; Mirsalimet, M.A. Experimental study on the effect of connecting ducts on demisting cyclone efficiency. Exp. Therm. Fluid Sci. 2012, 39, 26–36. [Google Scholar] [CrossRef]
- Elsayed, K.; Lacor, C. The effect of cyclone inlet dimensions on the flow pattern and performance. Appl. Math. Model. 2011, 35, 1952–1968. [Google Scholar] [CrossRef]
- Hoekstra, A.J. Gas Flow Field and Collection Efficiency of Cyclone Separators. Ph.D. Thesis, Technical University Delft, Delft, The Netherlands, 2000. [Google Scholar]
- Wasilewski, M. Analysis of the effect of counter-cone location on cyclone separator efficiency. Sep. Purif. Technol. 2017, 179, 236–247. [Google Scholar] [CrossRef]
- Yoshida, H.; Kwan-Sik, Y.; Fukui, K.; Akiyama, S.; Taniguchi, S. Effect of apex cone height on particle classification performance of a cyclone separator. Adv. Powder. Technol. 2003, 14, 263–278. [Google Scholar] [CrossRef]
- Brar, L.S.; Sharma, R.P.; Elsayed, K. The effect of the cyclone length on the performance of Stairmand high-efficiency cyclone. Powder Technol. 2015, 286, 668–677. [Google Scholar] [CrossRef]
- Elsayed, K.; Lacor, C. The effect of cyclone vortex finder dimensions on the flow pattern and performance using LES. Comput. Fluids 2013, 71, 224–239. [Google Scholar] [CrossRef]
- Chen, J.H.; Lu, X.F.; Liu, H.Z.; Yang, C.Y. Effect of the bottom-contracted and edge-sloped vent-pipe on the cyclone separator performance. Chem. Eng. J. 2007, 129, 85–90. [Google Scholar] [CrossRef]
- Wei, Q.; Sun, G.; Gao, C. Numerical analysis of axial gas flow in cyclone separators with different vortex finder diameters and inlet dimensions. Powder Technol. 2020, 369, 321–333. [Google Scholar] [CrossRef]
- Misiulia, D.; Andersson, A.G.; Lundström, T.S. Effects of the inlet angle on the flow pattern and pressure drop of a cyclone with helical-roof inlet. Chem. Eng. Res. Des. 2015, 102, 307–321. [Google Scholar] [CrossRef]
- Elsayed, K.; Lacor, C. The effect of the dust outlet geometry on the performance and hydrodynamics of gas cyclones. Comput. Fluids 2012, 68, 134–147. [Google Scholar] [CrossRef]
- Zhu, L.Y.; Wang, S.; Ru, Y.; Wang, J.Z.; Yang, P.J.; Li, A.J.; Ma, Z.F.; Wang, Z.B. Numerical investigation on dynamic characteristics of flow field in cyclone separators with different dust hopper structures. Particuology 2023, 82, 134–145. [Google Scholar] [CrossRef]
- Sun, L.Q.; Song, J.F.; Wang, D.; Wang, J.Y.; He, J.; Wei, Y.D. An experimental investigation on gas flow field dynamic characteristics in a reverse cyclone. Chem. Eng. Res. Des. 2020, 160, 52–62. [Google Scholar] [CrossRef]
- Liu, Z.L.; Jiao, J.Y.; Zheng, Y.; Zhang, Q.K.; Jia, L.F. Investigation of turbulence characteristics in a gas cyclone by stereoscopic PIV. AIChE J. 2006, 52, 4150–4160. [Google Scholar] [CrossRef]
- Yoshida, H. Effect of apex cone shape and local fluid flow control method on fine particle classification of gas-cyclone. Chem. Eng. Sci. 2013, 85, 55–61. [Google Scholar] [CrossRef]
- Sun, L.Q.; Wang, D.; Song, J.F.; Liu, J.X.; Wang, J.Y.; Wei, Y.D. Experimental study of gas swirling flow instability characteristics in a cyclone using the hot-wire anemometry technique. AIChE J. 2019, 66, e16759. [Google Scholar] [CrossRef]
- Wang, D.; Sun, L.Q.; Wang, J.Y.; Liu, J.X.; Wei, Y.D.; Song, J.F. Experimental study of the dynamic characteristics of a cyclone by hot wire/film anemometry, Effects of gas leakage. Sep. Purif. Technol. 2020, 251, 117365. [Google Scholar] [CrossRef]
- Liu, Z.L.; Zheng, Y.; Jia, L.F.; Zhang, Q.K. An experimental method of examining three-dimensional swirling flows in gas cyclones by 2D-PIV. Chem. Eng. J. 2007, 133, 247–256. [Google Scholar] [CrossRef]
- He, M.Y.; Zhang, Y.H.; Ma, L.; Wang, H.G.; Fu, P.B.; Zhao, Z.H. Study on flow field characteristics in a reverse rotation cyclone with PIV. Chem. Eng. Process. 2018, 126, 100–107. [Google Scholar] [CrossRef]
- Derksen, J.J.; Akker, H.E.A.V.D. Simulation of vortex core precession in a reverse-flow cyclone. AIChE J. 2000, 46, 1317–1331. [Google Scholar] [CrossRef]
- Brar, L.S.; Elsayed, K. Analysis and optimization of multi-inlet gas cyclones using large eddy simulation and artificial neural network. Powder Technol. 2017, 311, 465–483. [Google Scholar] [CrossRef]
- Derksen, J.J. Simulations of confined turbulent vortex flow. Comput. Fluids 2005, 34, 301–318. [Google Scholar] [CrossRef]
- Gu, X.F.; Song, J.F.; Wei, Y.D. Experimental study of pressure fluctuation in a gas-solid cyclone separator. Powder Technol. 2016, 299, 217–225. [Google Scholar] [CrossRef]
- Jia, M.D.; Wang, D.; Yan, C.Y.; Song, J.F.; Han, Q.; Chen, F.Y.; Wei, Y.D. Analysis of the pressure fluctuation in the flow field of a large-scale cyclone separator. Powder Technol. 2019, 343, 49–57. [Google Scholar] [CrossRef]
- Hosseini, S.H.; Parvaz, F.; Ahmadi, G.; Elsayed, K. Impacts of the vortex finder eccentricity on the flow pattern and performance of a gas cyclone. Sep. Purif. Technol. 2017, 187, 1–13. [Google Scholar]
- Gao, Z.W.; Wang, J.; Wang, J.Y.; Mao, Y.; Wei, Y.D. Analysis of the effect of vortex on the flow field of a cylindrical cyclone separator. Sep. Purif. Technol. 2019, 211, 438–447. [Google Scholar] [CrossRef]
- Zhang, Z.W.; Li, Q.; Zhang, Y.H.; Wang, H.L. Simulation and experimental study of effect of vortex finder structural parameters on cyclone separator performance. Sep. Purif. Technol. 2022, 286, 120394. [Google Scholar] [CrossRef]
- Singha, A.; Sadr, R. In situ calibration of four-wire hot-wire probes for atmospheric measurement. Exp. Therm. Fluid. Sci. 2013, 44, 82–89. [Google Scholar] [CrossRef]
- Rusli, I.H.; Aleksandrova, S.; Medina, H.; Benjamin, S.F. Using single-sensor hot-wire anemometry for velocity measurements in confined swirling flows. Measurement 2018, 129, 277–280. [Google Scholar] [CrossRef]
- Cortés, C.; Gil, A. Modeling the gas and particle flow inside cyclone separators. Prog. Energy Combust. Sci. 2007, 3, 409–452. [Google Scholar] [CrossRef]












| Geometric Parameter (mm) | Cyclone I | Cyclone II | Cyclone III | Cyclone IV | Cyclone V |
|---|---|---|---|---|---|
| Cylinder diameter, D | 300 | 100 | 400 | 300 | 300 |
| Vortex finder diameter, dr | 110 | 35 | 145 | 90 | 150 |
| Rectangular entrance, a × b | 178 × 84 | 59 × 28 | 238 × 112 | 178 × 84 | 178 × 84 |
| Vortex finder height, S | 178 | 59 | 238 | 178 | 178 |
| Cylindrical body height, H | 430 | 143 | 574 | 430 | 430 |
| Cone height, Hc | 660 | 220 | 880 | 660 | 660 |
| Dust outlet diameter, De | 130 | 43 | 174 | 130 | 130 |
| Hopper size, Dh × Hh | 220 × 230 | 70 × 77 | 294 × 307 | 220 × 230 | 220 × 230 |
Disclaimer/Publisher’s Note: The statements, opinions and data contained in all publications are solely those of the individual author(s) and contributor(s) and not of MDPI and/or the editor(s). MDPI and/or the editor(s) disclaim responsibility for any injury to people or property resulting from any ideas, methods, instructions or products referred to in the content. |
© 2024 by the authors. Licensee MDPI, Basel, Switzerland. This article is an open access article distributed under the terms and conditions of the Creative Commons Attribution (CC BY) license (https://creativecommons.org/licenses/by/4.0/).
Share and Cite
Sun, L.; Xie, M.; Dong, Y.; Li, J.; Song, J. Effects of Diameter Parameters on Gas Flow Field Characteristics in Cyclones: An Experimental Investigation. Processes 2024, 12, 474. https://doi.org/10.3390/pr12030474
Sun L, Xie M, Dong Y, Li J, Song J. Effects of Diameter Parameters on Gas Flow Field Characteristics in Cyclones: An Experimental Investigation. Processes. 2024; 12(3):474. https://doi.org/10.3390/pr12030474
Chicago/Turabian StyleSun, Liqiang, Ming Xie, Yingjuan Dong, Jiangfei Li, and Jianfei Song. 2024. "Effects of Diameter Parameters on Gas Flow Field Characteristics in Cyclones: An Experimental Investigation" Processes 12, no. 3: 474. https://doi.org/10.3390/pr12030474
APA StyleSun, L., Xie, M., Dong, Y., Li, J., & Song, J. (2024). Effects of Diameter Parameters on Gas Flow Field Characteristics in Cyclones: An Experimental Investigation. Processes, 12(3), 474. https://doi.org/10.3390/pr12030474

