Abstract
In the pursuit of understanding the oxidation mechanisms of hydrogenated biodiesel fuels and elucidating the combustion behavior of biomass fuels when blended with diesel, this study presents a comprehensive investigation into the reaction mechanism of hydrogenated biodiesel–ethanol–diesel mixtures. We develop a comprehensive reaction mechanism encompassing 187 components and 735 reactions for hydrogenated biodiesel–ethanol–diesel mixtures. Through kinetics analysis under varied conditions, including 1.0 MPa pressure, an equivalence ratio of 1.0, and temperatures of 900 K and 1400 K, we explore the impact of cross-reactions and changing fuel blend ratios on low- and high-temperature oxidation. Our findings indicate that oleic and stearic acid methyl esters serve as better substitutes for representing hydrogenated biodiesel kinetics than methyl decanoate. At lower temperatures, increased hydrogenated biodiesel and ethanol content leads to reduced OH generation, impacting reactivity. Conversely, higher temperatures result in enhanced OH production with increased hydrogenated biodiesel and ethanol concentrations, promoting reactivity. A cross-reaction analysis reveals CH2O as a prominent product, with the CH2O→HCO→CO pathway playing a pivotal role. In summary, our research unveils the intricate oxidation mechanisms of hydrogenated biodiesel–ethanol–diesel mixtures, providing insights into their combustion characteristics and offering implications for optimizing fuel blends for cleaner and more efficient energy solutions.
1. Introduction
The rapid escalation in global energy demand, propelled by technological advancement and economic growth, underscores energy as a pivotal pillar in socio-economic development and a principal contributor to carbon emissions [1,2,3,4]. To mitigate the impact of carbon dioxide emissions on the global climate, prioritizing the development of renewable, clean fuels is paramount in the internal combustion engine industry, with alternative fuels such as biodiesel garnering significant attention from scholars [5,6,7,8]. The inception of biodiesel traces back to Rudolf (1859–1913) in 1895, with Niel Company achieving a breakthrough in 1988 by refining biodiesel from rapeseed oil for diesel combustion. The oxidation process of biodiesel, primarily governed by C5H8O3, alongside smaller molecules like C2H2 and C2H4, initiates under high-temperature conditions. Despite the widespread sources of biodiesel, its low saturation results in poor oxidative stability, a drawback that can be effectively ameliorated by hydrogenation, which also enhances its cetane number. However, hydrogenated biodiesel suffers from deteriorated low-temperature flow properties. Ethanol, characterized by hydroxyl and alkyl groups, exhibits unique polarity, rendering it miscible with various organic and inorganic solvents, including hydrocarbons, ethers, benzene, and esters. Consequently, alcohols find widespread applications across industrial domains. The ethanol oxidation reaction predominantly involves small molecules like CH2O and HCO. With its lower kinematic viscosity, it can moderate the high viscosity of hydrogenated biodiesel, and exhibits commendable miscibility with the diesel–hydrogenated biodiesel blend [9,10,11,12,13]. Given the complexity of multi-component fuel components, representative constituents are selected to construct an oxidation mechanism that characterizes fuel combustion properties, with chemical reaction kinetics emerging as a primary research methodology. Chemical reaction kinetics elucidate the combustion characteristics of substances through an exploration of their molecular composition and structural attributes. The combustion process within an engine cylinder represents a complex physicochemical frontier, where myriad chemical reactions occur simultaneously, including carbon chain scission, small-molecule polymerization, and molecular isomerization. In the case of mixed fuels, the combustion process engenders a plethora of intersecting reactions, involving the further decomposition of large-molecular products and polymerization reactions among various small molecules, thereby altering the combustion reactivity, product distribution, and properties within the cylinder. The current research into biodiesel and alcohol blended fuels’ combustion predominantly revolves around experimentally exploring their combustion and emission traits within internal combustion engines. However, there exists a dearth of in-depth examinations into the combustion mechanism and dynamic simulation of such blended fuels through mixed-fuel chemistry. This paper delves into a microscopic analysis of the hydrogenated biodiesel–ethanol–diesel system.
The initial research on biodiesel primarily focused on employing methyl caprate as a single-component substitute [14,15,16,17], aiming to reflect its physicochemical properties more accurately. However, multi-component substitution has become the mainstream approach. Chang Yachao et al. [18] utilized a mixture of n-decane, methyl decanoate, and 5-decenoic acid methyl ester to represent biodiesel in their studies. Their results indicated a proficient prediction of the fuel’s oxidation characteristics in real engines, albeit neglecting the cross-reactions between fuel molecules. Zhai Yitong et al. [19] selected widely recognized C4 fatty acid methyl esters (butyric acid methyl ester and butenoic acid methyl ester) to characterize biodiesel. Their model efficiently simulated experimental data from the previous literature. Regarding hydrogenated biodiesel, given the changes in its physicochemical properties and cetane number post-hydrogenation, research on its microscopic aspects is scarce, with most studies focusing on experimental aspects. Mei Deqing et al. [20] conducted engine performance experiments using B20 and HB20 on a 186FA diesel engine. Their findings showed that for B20, the emissions of HC, CO, and smoke decreased by 9.9%, 9.3%, and 15.2%, respectively, while NOx emissions increased by 8.5%. For PHB20, the reductions in HC, CO, and smoke emissions were 12.4%, 13.5%, and 17.1%, respectively, with a 6.7% increase in NOx emissions, indicating that PHB20 enhances combustion and emission performance in diesel engines more effectively than B20. Leng Xianyin et al. [21] conducted European Steady Cycle (ESC) emission tests on engines using hydrogenated catalytic biodiesel blended in ratios of 5%, 10%, 20%, and 30% with national IV standard diesel. The results showed that with increasing proportions of hydrogenated catalytic biodiesel, emissions of THC, NOx, PM, and CO decreased to varying degrees. Notably, CO emissions showed a linear decrease, with the most significant reduction in NOx emissions occurring at high loads and low velocity. Hence, it is crucial to investigate ester alcohol diesel with varying mixing ratios to enhance the combustion efficiency and emission performance of diesel engines. At present, research on the chemical reaction kinetics of small-molecule ester fuels has reached a certain level of maturity, while investigations into the chemical reaction kinetics of large-molecule oxygen-containing fuels have also shown progress. Nevertheless, further advancements are necessary to develop mechanisms and characterize large-molecule, oxygen-containing mixed fuels comprehensively. With the widespread adoption of the “carbon peak and carbon neutrality” concept, the consumption of biodiesel and alcohol fuels has been steadily increasing. In light of this, a numerical simulation study was conducted, coupling a chemical reaction kinetics analysis with computational fluid dynamics (CFD), based on a constructed mechanism model to characterize the hybrid fuel comprising hydrogenated biodiesel, ethanol, and diesel. The study delved into the impact of ester alcohol fuel blending ratios on the combustion reaction activity of the hybrid fuel, as well as the generation and consumption of major active free radicals.
Given the limited research on the microscopic aspects of hydrogenated biodiesel, this paper utilizes a constructed dual-component hydrogenated biodiesel mechanism as a foundation, incorporating a simplified ethanol and n-heptane mechanism to form a comprehensive chemical kinetics mechanism for the hydrogenated biodiesel–n-heptane–ethanol fuel blend. This study meticulously analyzes the effects of varying ethanol blend ratios with hydrogenated biodiesel under different temperature conditions. The aim is to enrich the theoretical understanding of high-cetane-number fuel blends. The analysis will contrast and examine the impacts of cross-reactions on fuel oxidation at high and low temperatures changes in the formation of major components, and reveal the influence of the combustion reactivity of these blended fuels on the entire combustion system. This provides a theoretical basis for the practical application of biodiesel as an alternative fuel.
2. Selection of Hydrogenated Biodiesel Substitution Mechanism and Validation of Ternary Fuel Mechanism Simplification
2.1. Selection of Hydrogenated Biodiesel Substitution Mechanism
Methyl decanoate (MD), a long-chain fatty acid methyl ester with a decyl chain comprising ten carbon atoms, aptly simulates the long-chain fatty acid methyl esters (C16-C22) present in actual biodiesel. Analyzing MD’s physical properties, such as density and flash point, reveals a close resemblance to real biodiesel. Chemically, MD possesses a cetane number similar to actual biodiesel and exhibits comparable ignition characteristics and combustion reaction properties. Thus, this paper selects methyl oleate and stearic acid methyl ester as substitutes for hydrogenated biodiesel for three main reasons [22]. Firstly, as shown in Table 1, the cetane number of hydrogenated biodiesel is 71.2, whereas MD’s cetane number is 47, making MD an unsuitable substitute. Secondly, Table 2 showcases the comparison of the proportion of the main substance components between hydrogenated biodiesel and biodiesel. The peak area represents the proportion of each substance in the total substance. This comparison is based on the predominant presence of methyl oleate in hydrogenated biodiesel and its notable deviation in cetane number compared to hydrogenated biodiesel. Thus, the addition of 20% stearic acid methyl ester to methyl oleate, resulting in a cetane number of 70.66, closely matches that of hydrogenated biodiesel. Diesel, being a complex mixture, is typically characterized by one or two components when studying its combustion mechanism. Given that the cetane number of n-heptane closely mirrors that of diesel, n-heptane is commonly employed to represent the actual ignition characteristics of diesel. The third reason pertains to the reaction pathways of the blended fuels, which will be elaborated in the subsequent sections.
Table 1.
Cetane numbers of cottonseed methyl ester (CME) and partially hydrogenated cottonseed methyl ester assisted by ultrasonic (UPHCME) [23].
Table 2.
Composition and contents of CME and UPHCME [24].
2.2. Chemical Reaction Kinetics of Methyl Oleate and Stearic Acid Methyl Ester
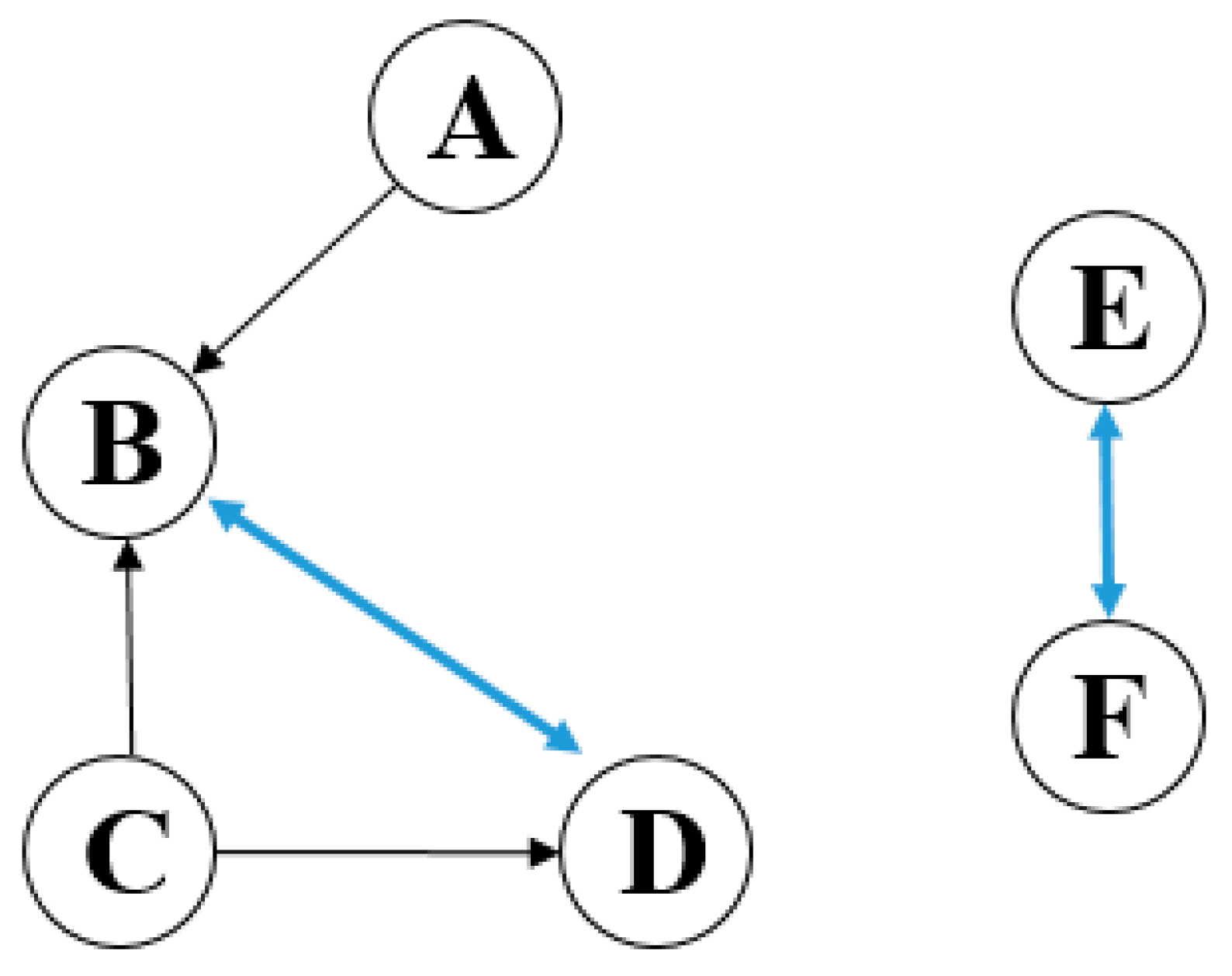
Researchers at Lawrence Berkeley National Laboratory, including Westbrook and others [25], constructed a comprehensive mechanism for methyl oleate and stearic acid methyl ester under a wide range of conditions: temperatures of 800–1500 K, equivalence ratios of 0.5–2, and pressures of 0.1–6 MPa. This detailed mechanism encompasses 402 species with 16,188 reactions for methyl oleate, and 423 species with 17,436 reactions for stearic acid methyl ester, validated through experimentation. Based on this detailed mechanism, our study simplifies it using the direct relation graph method and the error-propagation-incorporated direct relation graph method. Figure 1 illustrates an example of the DRG method’s simplification mechanism, which identifies strong contributions from component A to component B, and reciprocal contributions between component B and component D, thereby establishing a close interrelationship among components A, B, and D. The direct relation graph method facilitates rapid simplification with minimal error, typically serving as the initial step in mechanism development simplification. As depicted in Figure 2, a comparison of the ignition delay predictions between the detailed, semi-detailed, and simplified mechanisms of methyl oleate shows minimal errors in the simplified mechanism. By combining a sensitivity analysis and the error propagation direct relation graph method, and a full-species sensitivity analysis, the less sensitive reaction components are removed, resulting in a simplified mechanism for methyl oleate comprising 71 species with 273 reactions, and for stearic acid methyl ester, 67 species with 246 reactions.
Figure 1.
Example of simplifying mechanism with DRG method.
Figure 2.
Comparison of the predicted ignition delay periods between the detailed and reduced mechanisms of methyl oleate. (a) Comparison of detailed and semi-detailed mechanisms; (b) Comparison of semi-detailed and reduced mechanisms.
Figure 3 and Figure 4 compare the predicted and experimental values of the ignition delay periods for the simplified mechanisms of methyl oleate and stearic acid methyl ester under various conditions. The close fit between the experimental and simulated values validates the accuracy of the mechanism simplification and paves the way for subsequent simulation work.
Figure 3.
Comparison of the predicted ignition delay periods of the simplified mechanism of methyl oleate with experimental values. (a) Comparison of predicted and experimental values at pressures of 3.5 atm and 7 atm, and an equivalence ratio of 1.25; (b) Comparison of predicted and experimental values at a pressure of 13.5 atm and an equivalence ratio of 1.
Figure 4.
Comparison of the predicted ignition delay periods of the simplified mechanism of stearic acid methyl ester with experimental values. (a) Comparison of predicted and experimental values at a pressure of 13.5 atm and an equivalence ratio of 1; (b) Comparison of predicted and experimental values at a pressure of 16 atm and an equivalence ratio of 1.
2.3. Chemical Kinetics Mechanism of Hydrogenated Biodiesel–Ethanol–Diesel
The detailed mechanism for n-heptane was adopted from the comprehensive chemical reaction mechanism of Currant et al. [26], which initially included 531 components and 2539 reactions, and was ultimately simplified to 42 components with 168 reactions. The detailed mechanism for ethanol was sourced from Metcalfe W.K. et al. [27], comprising 254 components and 7568 reactions, and was eventually reduced to 48 components and 163 reactions. The simplification process for n-heptane and ethanol follows the same methodology discussed earlier and is not reiterated here.
The mixed mechanism for n-heptane–methyl oleate–ethanol constructed in this study was validated by comparison with the individual fuel mechanisms of methyl oleate and ethanol, which remained unchanged and hence do not require further validation. Figure 5 presents the comparison of ignition delay periods calculated using the n-heptane–methyl oleate–stearic acid methyl ester mixed mechanism against experimental values measured by Fiewger [28], Shen [29], Herzler [30], Hartm [31], and others, resulting in a final count of 187 components and 735 reactions. As seen in Figure 5, the mechanism’s prediction of the ignition delay period for n-heptane closely matches experimental values, indicating its suitability for further research.
Figure 5.
Comparison between the predicted ignition delay periods of the mixed mechanism for n-heptane–methyl oleate–ethanol and the experimental values for n-heptane. (a) Comparison of predicted and experimental values at a pressure of 4 MPa and an equivalence ratio of 1; (b) Comparison of predicted and experimental values at a pressure of 4 MPa and an equivalence ratio of 0.5.
2.4. Theoretical Basis of Multi-Component Fuel Cross-Reaction
Utilizing the closed homogeneous reaction model within the CHEMKIN 2016 software, we scrutinize the impact of varying temperatures and components on the fuel oxidation process. Through an examination of the cross-reaction mechanism among components with diverse mixing ratios, we unveil the influence of small-molecule active free radical OH on the combustion reaction system. The combustion dynamics within a diesel engine are governed by both the low-temperature and high-temperature oxidation processes of individual fuel components, alongside the cross-reactions occurring among different components. To delve deeper into the ramifications of cross-reactions on the combustion reaction of blended fuels, we employ a simplified mechanism model of hydrogenated biodiesel–ethanol–diesel mixed fuel. This analysis dissects the effects of cross-reactions on both the low-temperature and high-temperature oxidation of ester alcohol diesel, along with the differential consumption of free radicals, viewed from the vantage point of chemical reaction kinetics.
Currently, within the realm of chemical reaction kinetics, cross-reactions are primarily categorized into broad and narrow senses. The overarching concept of “cross-reaction” pertains to interactions occurring between small-molecular free radicals within mixed fuels and the fuel molecules themselves, as well as with other small-molecular free radicals. On the other hand, the more narrowly defined “cross-reaction” involves the generation of macromolecular free radicals subsequent to the dehydrogenation of macromolecules within multi-component fuel systems. These macromolecular free radicals then actively partake in the elementary reactions of various components and engage in interactions with other elements. In terms of chemical kinetics, the accurate prediction of ignition delay periods is significantly influenced by narrow cross-reactions, whereas the reaction dynamics among different components of mixed fuels are predominantly impacted by generalized cross-reactions. We have opted to employ highly reactive free radicals, such as OH, as conduits for facilitating cross-reactions among diverse constituents in fuels. Through the lens of generalized “cross-reactions,” we aim to elucidate the mechanisms underlying the interplay between diesel’s single-component and multi-component substitutes.
OH serves as a catalyst in fuel cracking and energy liberation, exerting a pivotal influence on the oxidation reaction activity and reaction rate of the entire fuel combustion system. Its significance extends to the realm of free radicals within the cylinder, where it assumes a vital role. Consequently, leveraging the generalized “cross-reaction” theory, we have opted to scrutinize the substitution mechanism of hydrogenated biodiesel–ethanol–diesel hybrid fuel. This endeavor aims to delve into the cross-reaction pathways during both low-temperature and high-temperature oxidation reactions of the hybrid fuel. Furthermore, it seeks to unveil the role and impact of reactive groups on the combustion reaction system throughout the combustion process of ester alcohol diesel.
3. Results and Analysis
3.1. Cross-Reaction Flux Analysis of Methyl Decanoate and n-Heptane at 900 K Involving OH Radicals
From the perspective of chemical reaction kinetics, the oxidation behavior of fuels is significantly influenced by the intermediate product, the OH radical. As depicted in Figure 6, under conditions of an initial temperature of 900 K, initial pressure of 6 MPa, and an equivalence ratio of 1.0, the analysis reveals that in the low-temperature combustion reaction system of MD10 fuel, the dominant pathway consuming OH radicals is MD + OH = MDxJ + H2O, whereas the pathway generating OH is MD + O = MDxJ + OH. The consumption of OH exceeds its generation, resulting in a net OH consumption rate of 13.48%. The processes of MDxJ undergoing oxygenated isomerization to form MDxO2 and the cracking of MDxJ to produce MP2D do not generate OH [32]. Subsequently, MDxOOHyO2 undergoes intramolecular hydrogen transfer followed by cracking into MDKET24 and OH. MDKET24 further reacts with oxygen, releasing OH, contributing 10.44% to the OH pathway. The dehydrogenation initiation reaction for diesel at low temperatures is C7H16 + OH = C7H15 + H2O [14], with an OH consumption rate of 68.93%. Analyzing the dehydrogenation initiation reactions of MD, it is evident that the reactions of n-heptane and methyl decanoate are competitive, which is detrimental to the combustion initiation of the mixed fuel. The cracking process of n-heptane also does not generate OH in its deoxygenation reactions. MD, after undergoing dehydrogenation initiation, forms MDxJ, which has many isomers, leading to numerous pathways for OH consumption. In the methyl decanoate-n-heptane mixture, the concentration of OH decreases, inhibiting the decomposition of n-heptane. Furthermore, the consumption rate of OH by methyl decanoate exceeds its generation rate, with a total consumption rate of 13.48%. Therefore, n-heptane must provide some of the OH needed for its decomposition to react with methyl decanoate, which impacts its own reaction. Consequently, adding 10% methyl decanoate to n-heptane at 900 K is disadvantageous for enhancing the reactivity of the reaction system.
Figure 6.
Reaction flux concerning OH in the combustion reaction system of MD10 (and MD20) fuels at 900 K.
Compared to the MD10 fuel, with the increased proportion of methyl decanoate (MD) and decreased content of n-heptane in the MD20 fuel, the OH consumption ratio by MD in the combustion reaction system increases, with a total consumption rate of 23.48%. This rise accentuates the competitive interaction between MD and n-heptane for OH during the dehydrogenation initiation reaction. As evident from the illustrations, in comparison to MD10, the production and consumption of OH by n-heptane during cracking and dehydrogenation reactions in MD20 are progressively diminishing. This indicates that at 900 K, an increased concentration of methyl decanoate leads to a reduction in the decomposition rate of n-heptane, which is not conducive to promoting the reaction. Therefore, it is not advisable to add a large proportion of MD to n-heptane.
3.2. Cross-Reaction Flux Analysis of Methyl Oleate and n-Heptane at 900 K under Low Temperature Conditions
Given the high cetane number and oxygenated nature of hydrogenated biodiesel, which can generate a significant number of OH radicals, the cross-reaction flux analysis of OH in the HB10 (and HB20) fuel combustion reaction system at an initial temperature of 900 K, initial pressure of 6 MPa, and an equivalence ratio of 1.0 is illustrated in Figure 7. Methyl oleate, a mono-unsaturated methyl ester produced by substituting a –(CH)=(CH)– double bond for –(CH2)–(CH2)– in stearic acid methyl ester, plays a crucial role in the reaction system. Under low-temperature conditions, the dehydrogenation initiation reaction of methyl oleate in the HB10 fuel combustion system primarily consumes OH through the dehydrogenation of stearic acid methyl ester, producing methyl oleate and a small amount of H2O. However, in this environment, H2O contributes minimally to OH generation, resulting in an OH consumption rate of 4.70%. The total OH consumption rate for the dehydrogenation of methyl oleate is 48.43%, with its cracking producing an overall OH contribution of 29.35%. This indicates a higher consumption than generation of OH.
Figure 7.
Reaction flux concerning OH in the combustion reaction system of HB10 (and HB20) fuels at 900 K.
In comparison to the MD10 mixed-fuel system under similar conditions, which has a total OH consumption rate of 13.48%, the OH consumption rate in HB10 is higher at 19.08%. This increase is due to the fact that, apart from the initial cracking reaction producing OH, the subsequent dehydrogenation of methyl oleate generates fewer olefinic compounds, producing almost no additional OH for its reaction. The dehydrogenation initiation reaction for diesel at low temperatures is C7H16 + OH = C7H15 + H2O, with an OH consumption rate of 77.21%. Analyzing the dehydrogenation initiation reaction of methyl oleate reveals that OH flows from methyl oleate to n-heptane. The dehydrogenation initiation reactions of n-heptane and methyl oleate are synergistic, facilitating the combustion initiation of the mixed fuel. In n-heptane reactions, the two oxygenation reactions also do not generate OH, with C7H14O2HO2 cracking into nC7KET and OH, contributing 18.59% to the OH pathway. The mixed-fuel reaction system supplies 50.83% of the OH needed for the cracking of n-heptane, whereas the OH produced from n-heptane’s own cracking accounts for 36.21%. Therefore, it can be inferred that the OH produced by methyl oleate supports the further cracking of n-heptane, accelerating its reaction rate and leading to more thorough decomposition. Consequently, in the HB10 reaction system, the addition of methyl oleate promotes the overall reaction process. Hence, adding 10% hydrogenated biodiesel to diesel is beneficial for enhancing the reactivity of the reaction system.
Compared to the HB10 fuel, it can be observed from the analysis that with the increased proportion of methyl oleate in the HB20 fuel combustion reaction system, the consumption ratio of OH by n-heptane decreases. This is attributed to the high cetane number and oxygenated nature of methyl oleate, which can generate more OH radicals. In the HB20 mixed fuel, the increased amount of methyl oleate results in a higher supply of OH for n-heptane. The proportion of OH produced by the cracking of methyl oleate and subsequently utilized for the cracking of n-heptane further increases, which is conducive to promoting the reaction.
Additionally, the overall contribution rate of OH in the reaction system at an initial temperature of 900 K, initial pressure of 6 MPa, and an equivalence ratio of 1.0 is higher for the HB20 (and HB10) fuel compared to MD10 (and MD20). This indicates that the reaction system of methyl oleate and n-heptane is more effective than that of methyl decanoate and n-heptane. The presence of methyl oleate enhances the overall reactivity of the fuel blend, making it a more favorable choice in terms of boosting the combustion efficiency and reactivity, particularly under the specified conditions.
In summary, when comparing the same conditions as depicted in Figure 6 and Figure 7, it is evident that both the n-heptane–methyl oleate and n-heptane–methyl decanoate systems share a common reaction pathway of CH2O→HCO→CO. In the n-heptane–methyl decanoate system, the OH consumption for MD10 (and MD20) is 8.37% and 14.64%, respectively, whereas in the n-heptane–methyl oleate system, the OH consumption for HB10 (and HB20) along this pathway is 12.47% and 17.29%, respectively. This difference is primarily attributed to the variance in cetane numbers, as in the HB10 (and HB20) mixed fuels, methyl oleate initiates cracking reactions to provide OH for n-heptane reactions. In contrast, in the MD10 (and MD20) mixed fuels, methyl decanoate undergoes cracking reactions after n-heptane, with n-heptane supplying OH for methyl decanoate reactions, thereby impacting the cracking and dehydrogenation reactions of n-heptane itself. Consequently, the OH consumption in the HB10 (and HB20) mixed fuels is greater than that in the MD10 (and MD20) mixed fuels.
In the HB10 (and HB20) mixed fuels, the total OH consumption rates for n-heptane are 77.21% and 60.58%, with OH generation rates of 36.21% and 25.53% respectively. In contrast, for the MD10 (and MD20) mixed fuels, the total OH consumption rates for n-heptane are 68.93% and 54.31%, with OH generation rates of 32.72% and 21.04% respectively. Considering the overall generation and consumption rates of OH in both groups of mixed fuels, the flow of OH from n-heptane to methyl decanoate in the n-heptane–methyl decanoate system affects the cracking and dehydrogenation reactions of n-heptane. Therefore, considering these factors, selecting methyl oleate as a representative for the substitution mechanism of hydrogenated biodiesel aligns more closely with real combustion scenarios.
3.3. Cross-Reaction Flux Analysis of n-Heptane–Methyl Oleate–Ethanol at High and Low Temperatures
3.3.1. Low-Temperature OH Cross-Reaction Flux Analysis for n-Heptane–Methyl Oleate–Ethanol
Under the conditions of an initial temperature of 900 K, initial pressure of 6 MPa, and an equivalence ratio of 1.0, the cross-reaction flux analysis concerning OH in the HB5E5 (HB10E10) (HB15E15) fuel combustion reaction system is depicted in Figure 8. The analysis shows that in the 900 K environment, stearic acid methyl ester in HB5E5 initially undergoes a dehydrogenation reaction to form methyl oleate, with an OH consumption rate of 4.90%. This rate increases with a higher concentration of methyl oleate and stearic acid methyl ester in the system. Moreover, a small amount of H2O is generated, but at 900 K, most water transforms into more stable H2O2, rendering the OH produced by this pathway negligible.
Figure 8.
Reaction flux concerning OH in the combustion reaction system of HB5E5 (HB10E10) (HB15E15) fuels at 900 K.
In the HB5E5 mixed-fuel system, the OH contribution from the cracking of methyl oleate is 18.15%. Of this, 4.35% of OH is supplied to ethanol and 9.80% to n-heptane for reactions. Given that ethanol accounts for only 5% and n-heptane for 90% of the system, it implies that ethanol’s competition for OH is greater than that of n-heptane at this temperature. The OH generated in the cracking process of n-heptane (C7H14O2HO2 to nC7KET) and the OH produced in the process of nC7KET undergoing a series of reactions to form CH2O, as well as the OH consumed by n-heptane itself, decreases with the reduction in n-heptane content. This suggests that the increase in methyl oleate and ethanol content adversely affects the cracking and heat release of n-heptane.
Considering the supply of OH to ethanol and the system’s provision of OH to n-heptane, the changes in OH contribution rates are not significantly pronounced in a low-temperature environment due to the incomplete cracking and dehydrogenation reactions of the mixed fuel. At 900 K, ethanol initially undergoes cracking reactions to form smaller molecules. Concurrently, in the presence of OH and H2O, ethanol undergoes dehydrogenation reactions, mainly producing CH3CHOH, CH3CH2O, and C2H4OH, which further crack and oxidize into smaller molecules.
In the HB10E10 system, the total OH consumption rate due to the dehydrogenation reaction of methyl oleate is 26.50%. Compared to the HB10 mixed-fuel system, the introduction of ethanol at low temperatures results in a substantial consumption of OH for reactions, leading to a higher total OH consumption rate in the HB10E10 mixed-fuel system than in the HB10 system. As illustrated in Figure 8, the total OH consumption rate for the dehydrogenation reaction of methyl oleate in the HB10 fuel reaction system is 19.08%. This increased consumption rate is attributed to the addition of ethanol, which significantly consumes OH at this temperature, thereby affecting the cracking of methyl oleate and consequently impacting OH generation.
In the 900 K environment, most of the OH in the system is converted into more stable H2O2. Given the low conversion rate of H2O2 to OH under these conditions, the enhancement in the reactivity of the reaction system is limited. Therefore, as the concentration of methyl oleate and ethanol increases in this environment, the reactivity of the reaction system gradually decreases.
3.3.2. High-Temperature OH Cross-Reaction Flux Analysis for n-Heptane–Methyl Oleate–Ethanol
Under the conditions of an initial temperature of 1400 K, initial pressure of 6 MPa, and an equivalence ratio of 1.0, the cross-reaction flux analysis concerning OH in the HB5E5 (HB10E10) (HB15E15) fuel combustion reaction system is depicted in Figure 9. Similar to the 900 K environment, stearic acid methyl ester initially undergoes a dehydrogenation reaction to form methyl oleate at 1400 K. Unlike at 900 K, during the high-temperature cracking of stearic acid methyl ester, H2O is produced. While most water converts into more stable H2O2 at lower temperatures, at 1400 K, the majority of H2O is transformed into OH through H2O2, providing for the reaction in the mixed-fuel system.
Figure 9.
Reaction flux concerning OH in the combustion reaction system of HB5E5 (HB10E10) (HB15E15) fuels at 1400 K.
Methyl oleate in high-temperature conditions undergoes dehydrogenation and cracking reactions, producing ester and olefin compounds. It can be observed from the graph that the OH contribution rate produced by cracking is greater than the consumption rate by dehydrogenation, with an overall OH contribution rate of 28.97%. Contrasting with the 900 K environment where the OH generation was less than its consumption, at high temperatures, the complete cracking of methyl oleate results in OH generation exceeding consumption. Ester compounds eventually lead to the formation of acetaldehyde and formaldehyde, ultimately burning to form CO2 and H2O, while olefin compounds produce C2H4, undergoing dehydrogenation and oxidation reactions to form CH2O and subsequently CO2 and H2O.
Subsequently, at high temperatures, n-heptane dehydrogenates to form C7H15-1 and C7H15-2. C7H15-1 cracks into C2H4 and C5H11-1, and C5H11-1 also cracks under high temperatures to form nC3H7 and ultimately C2H4. In the pathway where nC3H7 forms C3H6, the OH contribution rate is 44.58%. It is evident that although the proportion of n-heptane is decreasing, the OH contribution rate in the pathway of nC3H7 to C3H6 does not decrease significantly. This is because the higher temperatures lead to the increased production of OH in the mixed-fuel system, allowing for more thorough cracking and dehydrogenation reactions of n-heptane. This enhanced reaction progress is primarily due to the addition of ethanol and methyl oleate, which increases OH production at high temperatures, thereby promoting a more complete overall reaction.
Under high-temperature conditions, ethanol primarily undergoes cracking reactions, leading to the formation of C2H4OH, C2H4, and C2H5O, which further generate CH2O. These processes produce a significant amount of OH, and as the concentration of ethanol increases, the OH provided by ethanol to the system also increases. Compared to the mixed fuel at 900 K, the cracking and dehydrogenation reactions of the three substances (ethanol, methyl oleate, and n-heptane) are different at 1400 K.
At 900 K, the OH produced by the cracking of methyl oleate and n-heptane is limited, slowing down the overall reaction. Ethanol primarily undergoes dehydrogenation reactions consuming OH, with a minor contribution to OH generation. The H2O produced in the cracking process mostly transforms into more stable H2O2, with only a small portion of H2O2 converting to OH for the overall reaction. However, at 1400 K, most H2O2 transforms into OH, which is available for reactions in the system. Ethanol predominantly undergoes cracking reactions at this temperature, generating a significant amount of OH for the mixed-fuel system reaction.
As shown in Figure 9, initially, methyl oleate supplies OH for reactions with n-heptane and ethanol. As the reaction progresses, ethanol generates a large amount of OH, which eventually primarily flows towards methyl oleate and n-heptane for reactions. In the high-temperature ternary fuel system, the small-molecule reaction pathways involving active components like OH mainly include C2H4→CH2O→HCO→CO. Additionally, intermolecular cross-reactions occur between methyl oleate and n-heptane, both producing C2H4 and CH2O through dehydrogenation reactions. In low-temperature reactions, the ternary fuel system and the binary fuel system also involve the CH2O→HCO→CO pathway, indicating its importance in both low- and high-temperature conditions.
4. Conclusions
This study investigated the chemical kinetics mechanism representing hydrogenated biodiesel and the impact of cross-reactions on the hydrogenated biodiesel–ethanol–diesel blend. Using a constant-volume homogeneous reactor, the variations in the concentration of key components and reaction pathways in the HB5E5, HB10E10, and HB15E15 mixed-fuel systems were calculated. The findings of this study align with those of Zuolei’s ternary fuel study. The main conclusions are as follows:
- (1)
- In the MD10 (MD20) mixed-fuel system, the total consumption rate of n-heptane is 68.93% (54.31%), with OH flowing from n-heptane to methyl decanoate. In the HB10 (HB20) mixed-fuel system, the total consumption rate of n-heptane is 77.21% (60.58%), with OH flowing from the methyl oleate and stearic acid methyl ester mixture to n-heptane.
- (2)
- At low temperatures in the HB5E5, HB10E10, and HB15E15 mixed-fuel systems, OH produced by the cracking of n-heptane is also supplied to ethanol. Due to the substantial consumption of OH by ethanol at this stage, the reactivity of the mixed-fuel system is relatively low. As the content of methyl oleate, stearic acid methyl ester, and ethanol increases, the generation of OH gradually decreases, which is unfavorable for the reaction to proceed.
- (3)
- At high temperatures, in the HB5E5, HB10E10, and HB15E15 systems, the total generation rates are respectively 24.6%, 33.29%, and 38.65%. Ethanol predominantly undergoes cracking reactions at high temperatures, producing a substantial amount of OH. This indicates that increasing the content of hydrogenated biodiesel and ethanol within a limited range can enhance the reactivity of the system, facilitating the reaction process.
The significance of this study lies in its contribution to the fundamental understanding of biofuel combustion, particularly in the context of hydrogenated biodiesel–ethanol–diesel blends. Our findings not only illuminate the complex chemical dynamics within these blends but also pave the way for optimizing fuel formulations for enhanced combustion efficiency and reduced environmental impact. This work is a step forward in developing sustainable energy solutions, aligning with global efforts to transition towards greener fuel alternatives.
Author Contributions
Conceptualization, J.Z.; Data curation, J.Z.; Formal analysis, L.C.; Funding acquisition, J.Z.; Investigation, R.Z.; Methodology, L.C. and W.Z.; Project administration, W.Z.; Resources, R.Z.; Software, J.Z. and R.Z.; Supervision, W.Z.; Validation, J.Z.; Writing—original draft, J.Z.; Writing—review and editing, J.Z. and W.Z. All authors have read and agreed to the published version of the manuscript.
Funding
This research was funded by the Hunan Provincial Natural Science Foundation (Grant No. 2022JJ60090), Belt and Road Project in Jiangsu Province (Grant No. BZ2022016) and Scientific research project of Department of Education of Hunan Province (Grant No. 21C1577).
Data Availability Statement
The data that support the findings of this study are available from the corresponding author upon reasonable request.
Conflicts of Interest
The authors declare no conflicts of interest.
References
- Shi, W.; Li, J.; He, B.; Yan, F.; Cui, Z.; Wu, K.; Lin, L.; Qian, X.; Cheng, Y. Biodiesel production from waste chicken fat with low free fatty acids by an integrated catalytic process of composite membrane and sodium methoxide. Bioresour. Technol. 2013, 139, 316–322. [Google Scholar] [CrossRef] [PubMed]
- Martos, F.J.; Soriano, J.A.; Braic, A.; Fernández-Yáñez, P.; Armas, O. A CFD Modelling Approach for the Operation Analysis of an Exhaust Backpressure Valve Used in a Euro 6 Diesel Engine. Energies 2023, 16, 4112. [Google Scholar] [CrossRef]
- Sathyamurthy, R.; Balaji, D.; Gorjian, S.; Muthiya, S.J.; Bharathwaaj, R.; Vasanthaseelan, S.; Essa, F.A. Performance Combus-tion and Emission Characteristics of a DI-CI Diesel Engine Fueled with Corn Oil Methyl Ester Biodiesel Blends. Sustain. Energy Technol. Assess. 2021, 43, 100981. [Google Scholar]
- Aydn, S. Comprehensive Analysis of Combustion, Performance and Emissions of Power Generator Diesel Engine Fueled with Different Source of Biodiesel Blends. Energy 2020, 205, 118074. [Google Scholar] [CrossRef]
- Szabados, G.; Berecz Ky, Á. Experimental investigation of physicochemical properties of diesel, biodiesel and TBK-biodiesel fuels and combustion and emission analysis in CI internal combustion engine. Renew. Energy 2018, 121, 568–578. [Google Scholar] [CrossRef]
- Mubarak, M.; Shaija, A.; Suchithra, T.V. Experimental Evaluation of Salvinia Molesta Oil Biodiesel/Diesel Blends Fuel on Combustion Performance and Emission Analysis of Diesel Engine. Fuel 2021, 287, 119526. [Google Scholar] [CrossRef]
- Xi, S.; Xue, J.; Wang, F.; Li, X. Reduction of Large-Size Combustion Mechanisms of n-Decane and n-Dodecane with an Improved Sensitivity Analysis Method. Combust. Flame 2020, 222, 326–335. [Google Scholar] [CrossRef]
- Nadanakumar, V.; Muthiya, J.; Prudhvi, T.; Induja, S.; Sathyamurthy, R.; Dharmaraj, V. Experimental investigation to control HC, CO & NOx emissions from diesel engines using diesel oxidation catalyst. Mater. Today Proc. 2021, 43, 434–440. [Google Scholar]
- Sundararajan, R.; Jeyaseelan, T. Effect of Biodiesel, Biodiesel Binary Blends, Hydrogenated Biodiesel and Injection Parameters on NOx and Soot Emissions in a Turbocharged Diesel Engine. Fuel 2019, 240, 101–118. [Google Scholar]
- Zuo, L. Study on Combustion and Emission Characteristics of Hydrogenated Biodiesel-Ethanol-Diesel for Diesel Engine Combustion; Jiangsu University: Zhenjiang, China, 2020. [Google Scholar]
- Yu, Q. Simulation Study on PCCI Diesel Combustion Process with Coupled DMC/Biodiesel Reaction Mechanism; Jiangsu University: Zhenjiang, China, 2021. [Google Scholar]
- Marcoberardino, G.D.; Vitali, D.; Spinelli, F.; Binotti, M.; Manzolini, G. Green Hydrogen Production from Raw Biogas: A Techno-Economic Investigation of Conventional Processes Using Pressure Swing Adsorption Unit. Processes 2018, 6, 19. [Google Scholar] [CrossRef]
- Al-Gharibeh, E.; Kumar, K. Oxidation kinetics of methyl decanoate in a motored engine. Fuel 2022, 308, 121912. [Google Scholar] [CrossRef]
- Herbinet, O.; Pitz, W.J.; Westbrook, C.K. Detailed chemical kinetic oxidation mechanism for a biodiesel surrogate. Combust. Flame 2008, 154, 507–528. [Google Scholar] [CrossRef]
- Glaude, P.E.; Herbinet, O.; Bax, S.; Biet, J.; Warth, V.; Battin-Leclerc, F. Modeling of the Oxidation of Methyl Esters—Validation for Methyl Hexanoate, Methyl Heptanoate, and Methyl Decanoate in a Jet-Stirred Reactor. Combust. Flame 2010, 157, 2035–2050. [Google Scholar] [CrossRef] [PubMed]
- Hodnett, B.K.; Verma, V. Thermodynamic vs. Kinetic Basis for Polymorph Selection. Processes 2019, 7, 272. [Google Scholar] [CrossRef]
- Zhou, Z.; Yi, Q.; Wang, R.; Wang, G.; Ma, C. Numerical Investigation on Coal Combustion in Ultralow CO2 Blast Furnace: Effect of Oxygen Temperature. Processes 2020, 8, 877. [Google Scholar] [CrossRef]
- Chang, Y. Research on the Reaction Mechanism of Fuel Skeleton for Characterization of Diesel and Biodiesel Based on Decoupling Method; Dalian University of Technology: Dalian, China, 2016. [Google Scholar]
- Zhai, Y. Experimental and Model Study on the Reaction Kinetics of Biodiesel Alternative Fuel Combustion; University of Science and Technology of China: Anhui, China, 2018. [Google Scholar]
- Mei, D.; Zhang, Q.; Ju, Z.; Gu, M.; Yuan, Y.; Chen, C.; Tao, J. Partial hydrogenated biodiesel improves the combustion and emission of diesel engine. China J. Highw. Transp. 2019, 32, 184–190. [Google Scholar]
- Leng, X.; Li, M.; He, Z.; Zhang, Y.; Zhong, W.; Xuan, T.; Duan, L.; Wang, P. Combustion characteristics of engine fueled by gasoline/hydrogenated biodiesel blend. J. Harbin Eng. Univ. 2020, 41, 1196–1202. [Google Scholar]
- Sinha, A.; Thomson, M. The chemical structures of opposed flow diffusion flames of C3 oxygenated hydrocarbons (isopropanol, dimethoxy methane, and dimethyl carbonate) and their mixtures. Combust. Flame 2004, 136, 548–556. [Google Scholar] [CrossRef]
- Adu-Mensah, D.; Mei, D.; Zuo, L.; Zhang, Q.; Wang, J. A review on partial hydrogenation of biodiesel and its influence on fuel property. Fuel 2019, 251, 660–668. [Google Scholar] [CrossRef]
- Zuo, L.; Wang, J.; Mei, D.; Dai, S.; Adu-Mensah, D. Experimental investigation on combustion and (regulated and unregulated) emissions performance of a common-rail diesel engine using partially hydrogenated biodiesel-ethanol-diesel ternary blend. Renew. Energy 2022, 185, 1272–1283. [Google Scholar] [CrossRef]
- Westbrook, C.K.; Naik, C.V.; Herbinet, O.; Pitz, W.J.; Mehl, M. Detailed chemical kinetic reaction mechanism for biodiesel components methyl stearate and methyl oleate. Proc. Combust. Inst. 2011, 33, 383–389. [Google Scholar]
- Curran, H.J.; Gaffuri, P.; Pitz, W.J.; Westbrook, C.K. A Comprehensive Modeling Study of n-Heptane Oxidation. Combust. Flame 1998, 114, 149–177. [Google Scholar] [CrossRef]
- Metcalfe, W.K.; Burke, S.M.; Ahmed, S.S.; Curran, H.J. A Hierarchical and Comparative Kinetic Modeling Study of C1 − C2 Hydrocarbon and Oxygenated Fuels. Chem. Kinet. 2013, 45, 638–675. [Google Scholar] [CrossRef]
- Fieweger, K.; Blumenthal, R.; Adomeit, G. Self-ignition of SI engine model fuels: A shock tube investigation at high pressure. Combust. Flame 1997, 109, 599–619. [Google Scholar] [CrossRef]
- Shen, H.-P.S.; Steinberg, J.; Vanderover, J.; Oehlschlaeger, M.A. A shock tube study of the ignition of n-heptane, n-decane, n-dodecane, and n-tetradecane at elevated pressures. Energy Fuels 2009, 23, 2482–2489. [Google Scholar] [CrossRef]
- Herzler, J.; Jerig, L.; Roth, P. Shock tube study of the ignition of lean n-heptane/air mixtures at intermediate temperatures and high pressures. Proc. Combust. Inst. 2005, 30, 1147–1153. [Google Scholar] [CrossRef]
- Hartmann, M.; Gushterova, I.; Fikri, M.; Schulz, C.; Schießl, R.; Maas, U. Auto-ignition of toluene-doped n-heptane and iso-octane/air mixtures: High-pressure shock-tube experiments and kinetics modeling. Combust. Flame 2011, 158, 172–178. [Google Scholar] [CrossRef]
- Jessica, L.B.; Youngchul, R.; Rolf, D.R.; Joanna, M.; Daw, C.S. Development and Validation of a Reduced Reaction Mechanism for Biodiesel-Fueled Engine Simulations. SAE Int. J. Fuels Lubr. 2009, 1, 675–702. [Google Scholar]
Disclaimer/Publisher’s Note: The statements, opinions and data contained in all publications are solely those of the individual author(s) and contributor(s) and not of MDPI and/or the editor(s). MDPI and/or the editor(s) disclaim responsibility for any injury to people or property resulting from any ideas, methods, instructions or products referred to in the content. |
© 2024 by the authors. Licensee MDPI, Basel, Switzerland. This article is an open access article distributed under the terms and conditions of the Creative Commons Attribution (CC BY) license (https://creativecommons.org/licenses/by/4.0/).








