Saturation Calculation for Low-Resistivity Reservoirs Caused by Pyrite Conductivity
Abstract
1. Introduction
2. Geological Characteristics of Low-Resistivity Reservoirs
3. Physical Property Modeling of Low-Resistivity Reservoirs
3.1. Establishing the Porosity Model
3.2. Establishing the Permeability Model
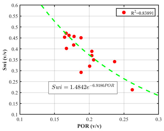
4. Establishing the Irreducible Water Saturation Model
5. Principle of the Low-Resistivity Reservoir Saturation Calculation Model
5.1. Archie Formula
5.2. Dual-Water Model
5.3. Method for Constructing the Low-Resistivity Reservoir Saturation Calculation Model
5.4. Selection and Optimization of Model Parameters
6. Analysis of Geological Characteristics of Low-Resistivity Reservoir
7. Conclusions
Author Contributions
Funding
Data Availability Statement
Conflicts of Interest
References
- Wang, X.L.; Zhang, X.L. Fracture Identification of Chang-6 Tight Sandstone Reservoir in Yanchang Formation of Zhidan Oil Region, Ordos Basin. Well Logging Technol. 2020, 44, 404–410. [Google Scholar] [CrossRef]
- Sun, F.; Chu, F.; Hu, R.; Hu, D.; Wei, C. Electron hole-core characteristics of pyrites from the main types of gold deposits in china and affecting factors. Acta Mineral. Sin. 2004, 3, 211–217. [Google Scholar] [CrossRef]
- Mao, Z.; Jiang, Z.; Li, C.; Ling, H.S.; Zhang, L. Logging characteristics of Cretaceous sequence stratigraphy and the genesis and distribution of low-resistivity oil and gas layers in Bongor Basin, Chad. Oil Geophys. Prospect. 2022, 57, 212–221+12–13. [Google Scholar] [CrossRef]
- Cai, N.; Wang, Z.; Zhou, D. A microgravity method for prospecting shallow steam channeling in thermal recovery zones. Oil Geophys. Prospect. 2019, 54, 235–242. [Google Scholar] [CrossRef]
- Shi, X.; Shi, Q.; Hou, X.; How, L.; Hu, Z.; Shao, L.; Liu, J. Research on Cause Mechanism and Identification of Low Resistivity Gas Zone in K83 Block. Xinjiang Geol. 2020, 38, 383–387. [Google Scholar]
- Archie, G.E. The electrical resistivity log as an aid in determining some reservoir characteristics. Trans. AIME 1942, 146, 54–62. [Google Scholar] [CrossRef]
- Liu, W.Z.; Shi, X.J.; Xu, G.M. Study and Measurement on Resistivity of Oil or Water Saturated Rocks. Acta Geophys. Sin. 1995, 38 (Supp. S1), 316–322. [Google Scholar]
- Fan, Y.R.; Deng, S.G.; Zhou, C.C. On the Parameters of Archie Formula for Shaly Sand with Low Salinity. Well Logging Technol. 1997, 21, 200–204. [Google Scholar] [CrossRef]
- Deng, S.G.; Fan, Y.R.; Duan, Z.F.; Liu, B. Experiment Study of Rock Resistivity with Multi-Temperature and Multi-Salinity. Oil Geophys. Prospect. 2000, 35, 763–767. [Google Scholar] [CrossRef]
- De Witte, L. A study of electric log interpretation methods in shaly formations. Trans. AIME 1955, 204, 103–110. [Google Scholar] [CrossRef]
- Alger, R.P.; Raymer, L.L. Formation density log applications in liquid-filled holes. J. Pet. Technol. 1963, 15, 321–332. [Google Scholar] [CrossRef]
- Poupon, A.; Loy, M.E.; Tixier, M.P. A contribution to electrical log interpretation in shaly sands. J. Pet. Technol. 1954, 6, 27–34. [Google Scholar] [CrossRef]
- Zhang, C.; Huang, Y.; Zhang, B.; Luo, S.; Zhang, Y.; Zhang, L.; Cai, M. Study on the saturation calculation method of low-resistance oil layer in Lunnan Oilfield. J. Yangtze Univ. 2024, 7–12. [Google Scholar] [CrossRef]
- Zhang, S. Conductive interpretation model and influencing factors of sandstone mudstone reservoir. Tianjin Chem. Ind. 2024, 38, 85–87. [Google Scholar]
- Liao, J.; Peng, C.; Lyu, W.; Sun, L. Average capillary pressure curve and J function processing. Spec. Oil Gas Reserv. 2008, 15, 73–75+99. [Google Scholar]
- Yang, S.; Ding, S.; Li, S.; Gao, Y.; Zhu, L.; Chen, X.; Zhu, B.; Li, F.; Chen, H. A new method for oil-water layer identification based on conventional logging data and its application-taking Jurassic sandstone reservoirs in X area of Ordos Basin as an example. In Proceedings of the 2023 International Conference on Oil and Gas Field Exploration and Development Proceedings III, Wuhan, China; 2023; p. 8. [Google Scholar]
- Butt, M.N.; Franks, S.G.; Hussain, A.; Amao, A.O.; Bello, A.M.; Al-Ramadan, K. Depositional and diagenetic controls on the reservoir quality of Early Miocene syn-rift deep-marine sandstones, NW Saudi Arabia. J. Asian Earth Sci. 2024, 259, 105880. [Google Scholar] [CrossRef]
- Hussain, A.; Al-Ramadan, K. A core-based XRF scanning workflow for continuous measurement of mineralogical variations in clastic reservoirs. MethodsX 2022, 9, 101928. [Google Scholar] [CrossRef] [PubMed]
- Luo, Y.H.; He, S.L.; Tan, W.; Liang, Y.N.; Yuan, W. Genetic Mechanism and Saturation Calculation Method of Low Resistivity Sandy Conglomerate Oil Layers in Beibu Gulf Basin. Bull. Geol. Sci. Technol. 2019, 38, 33–41. [Google Scholar] [CrossRef]
- Qiu, C.; Yan, J.; Zhong, G.; Li, Z.; Fan, C.; Zhang, Y.; Hu, Q.; Huang, Y. Sedimentary microfacies division and logging identification of Ordovician Wufeng-Silurian Longmaxi shale in Luzhou area, Sichuan Basin. Lithol. Reserv. 2022, 34, 117–130. [Google Scholar] [CrossRef]
- Shao, R.; Xiao, L.; Liao, G.; Zhou, J.; Li, G. A reservoir parameters prediction method for geophysical logs based on transfer learning. Chin. J. Geophys. 2022, 65, 796–808. [Google Scholar] [CrossRef]
- Xiao, L. NMR Imaging Logging Principles and Applications; Science Press: Beijing, China, 1998; pp. 56–73. [Google Scholar]
- Jiang, Y.L.; Wang, Z.; Wu, D. Study on Improving the Oil/Gas Identification Method in NMR Logging Difference Spectrum. J. East China Univ. Technol. 2008, 31, 60–63. [Google Scholar]
- Ren, C.; Gao, B.; Li, R.; Yuan, Q.; Luo, Y.; Zhao, M.; Wu, L. Identification and Application of Shallow Low-resistance Reservoirs in X Area of Dingbian Oilfield. Liaoning Chem. Ind. 2021, 50, 1682–1684. [Google Scholar] [CrossRef]
- Ma, X. Study on Genesis Analysis and Identification Method of Low Resistivity Reservoir in the Western Margin of Ordos Basin. Master’s Thesis, China University of Petroleum, Beijing, China, 2023. [Google Scholar] [CrossRef]
- Yin, L.; Chen, X.; Yang, Y.; Tong, Z. Origin and sweet spots of typical low-resistivity oil reservoirs of fine-grained sedimentary rocks. Oil Gas Geol. 2023, 44, 946961. [Google Scholar] [CrossRef]
- Hussain, A.; Haughton, P.D.; Shannon, P.M.; Morris, E.A.; Pierce, C.S.; Omma, J.E. Mud-forced turbulence dampening facilitates rapid burial and enhanced preservation of terrestrial organic matter in deep-sea environments. Mar. Pet. Geol. 2021, 130, 105101. [Google Scholar] [CrossRef]
- Zhang, L. Primary Research of Well-logging Data Forward and It’s Interpretation Method Based on Reservoir Model. Master’s Thesis, China University of Petroleum (East China), Dongying, China, 2011. [Google Scholar]
- Simandoux, P. Dielectric measurements on porous media:application to the measurement of water saturations, study of the behavior of argillaceous formations. Rev. De L’Institut Fr. Du Pet. 1963, 18, 193–215. [Google Scholar]
- Waxman, M.H.; Smits, L.J.M. Electrical conductivities in oilbearing shaly sands. SPEJ 1968, 8, 107–122. [Google Scholar] [CrossRef]
- Chen, H.; Li, C.; Wang, Y.; Tian, C.; Guo, S.; Li, J. Saturation Assessment of Natural Flooded Heavy Oil Reservoirs in Orinoco Belt Venezuela. Well Logging Technol. 2019, 43, 75–80. [Google Scholar] [CrossRef]
- Li, X.; Zhao, W.; Zhou, C.; Wang, T.; Li, C. Dual-porosity saturation model of low-porosity and low-permeability clastic reservoirs. Pet. Explor. Dev. Online 2012, 39, 88–98. [Google Scholar] [CrossRef]
- Zhu, X.; Shan, S.; Fu, D. Analysis and improvement on the conductivity model of low porosity andpermeability shaly sand reservoirs. Prog. Geophys. 2016, 31, 2724–2728. [Google Scholar] [CrossRef]
- Ye, L.; Liu, T. The pyroelectricty of pyrite in tongchang copper area, shanxi province. Geol. Explor. 2000, 5, 52–53. [Google Scholar]
- Lai, Q.; Xie, B.; Wu, Y.; Huang, K.; Liu, X.; Jin, Y.; Luo, W.; Liang, T. Petrophysical characteristics and logging evaluation of asphaltene carbonate reservoirs: A case study of the Cambrian Longwangmiao Formation in Anyue gas field, Si chuan Basin. Pet. Explor. Dev. 2017, 44, 889–895. [Google Scholar] [CrossRef]
- Song, Z.Z.; Liu, G.D.; Luo, B.; Zeng, Q.C.; Tian, X.W.; Dai, X.; Jiang, R.; Wang, Y.L.; Li, Q.; Zhao, J.Y. Logging Evaluation of Solid Bitumen in Tight Carbonate in Deep buried and Ultra-deep-buried Strata of the Central Sichuan Basin. Acta Sedimentol. Sin. 2021, 39, 197–209. [Google Scholar] [CrossRef]










| Detection Number | Wetting Index | Relative Wettability Index | Wetting Type | |
|---|---|---|---|---|
| Water Wetting | Oil Wet | |||
| 1 | 1 | 0 | 1 | Strong hydrophilic |
| 2 | 0.87 | 0 | 0.87 | Strong hydrophilic |
| 3 | 0.8 | 0 | 0.8 | Strong hydrophilic |
| 4 | 0.62 | 0 | 0.62 | Hydrophilic |
| 5 | 0.37 | 0 | 0.37 | Hydrophilic |
| 6 | 0.78 | 0 | 0.78 | Strong hydrophilic |
| 7 | 0.83 | 0 | 0.83 | Strong hydrophilic |
| 8 | 0.68 | 0 | 0.68 | Hydrophilic |
| 9 | 0.79 | 0 | 0.79 | Strong hydrophilic |
| Serial Number | Well Number | Lithology | Total Number of Particles | Pyrite, % |
|---|---|---|---|---|
| 1 | #1 | Light grayish−white fine sandstone | 199 | 79.4 |
| 2 | #2 | Green−gray medium sandstone | 693 | 79.65 |
| 3 | #3 | Brown coarse sandstone | 544 | 91.54 |
| 4 | #4 | Brown coarse sandstone | 720 | 95.28 |
| 5 | #5 | Brown coarse sandstone | 593 | 96.96 |
| 6 | #6 | Brown coarse sandstone | 825 | 87.52 |
| 7 | #7 | Brown fine conglomerate | 1306 | 71.36 |
| 8 | #8 | Light gray−white conglomerate | 546 | 58.29 |
| 9 | #9 | Light green−gray fine sandstone | 368 | 96.47 |
Disclaimer/Publisher’s Note: The statements, opinions and data contained in all publications are solely those of the individual author(s) and contributor(s) and not of MDPI and/or the editor(s). MDPI and/or the editor(s) disclaim responsibility for any injury to people or property resulting from any ideas, methods, instructions or products referred to in the content. |
© 2024 by the authors. Licensee MDPI, Basel, Switzerland. This article is an open access article distributed under the terms and conditions of the Creative Commons Attribution (CC BY) license (https://creativecommons.org/licenses/by/4.0/).
Share and Cite
Feng, M.; Zhang, Z.; Song, Z.; Gan, R.; Hu, G.; Li, G.; Dou, H.; Deng, R. Saturation Calculation for Low-Resistivity Reservoirs Caused by Pyrite Conductivity. Processes 2024, 12, 2682. https://doi.org/10.3390/pr12122682
Feng M, Zhang Z, Song Z, Gan R, Hu G, Li G, Dou H, Deng R. Saturation Calculation for Low-Resistivity Reservoirs Caused by Pyrite Conductivity. Processes. 2024; 12(12):2682. https://doi.org/10.3390/pr12122682
Chicago/Turabian StyleFeng, Meng, Zhishang Zhang, Zhitong Song, Renzhong Gan, Guangwen Hu, Guoli Li, Haiquan Dou, and Rui Deng. 2024. "Saturation Calculation for Low-Resistivity Reservoirs Caused by Pyrite Conductivity" Processes 12, no. 12: 2682. https://doi.org/10.3390/pr12122682
APA StyleFeng, M., Zhang, Z., Song, Z., Gan, R., Hu, G., Li, G., Dou, H., & Deng, R. (2024). Saturation Calculation for Low-Resistivity Reservoirs Caused by Pyrite Conductivity. Processes, 12(12), 2682. https://doi.org/10.3390/pr12122682

