Next Article in Journal
Correction: Sriseubsai et al. Robust Design of PC/ABS Filled with Nano Carbon Black for Electromagnetic Shielding Effectiveness and Surface Resistivity. Processes 2020, 8, 616
Next Article in Special Issue
Mechanical Characterization of Main Minerals in Carbonate Rock at the Micro Scale Based on Nanoindentation
Previous Article in Journal
Combined Effect of Multiple Slotting Spatial Parameters on Gas Extraction Efficiency: Numerical Analysis and Field Verification
Previous Article in Special Issue
The Influence of Rock and Natural Weak Plane Properties on the Vertical Propagation of Hydraulic Fractures
 
 
Font Type:
Arial Georgia Verdana
Font Size:
Aa Aa Aa
Line Spacing:
Column Width:
Background:
Article

Research on Crack Sealing Performance of Polymer Microsphere/Hydrogel Composite System

1
PetroChina Southwest Oil and Gas Field Kaizhou Operation Area, Chongqing 405499, China
2
College of Petroleum and Natural Gas Engineering, Chongqing University of Science and Technology, Chongqing 401331, China
3
College of Energy, Chengdu University of Technology, Chengdu 610059, China
4
Chongqing Unconventional Oil and Gas Development Research Institute, Chongqing 400039, China
5
School of Safety Science and Engineering, Chongqing University of Science and Technology, Chongqing 401331, China
*
Authors to whom correspondence should be addressed.
Processes 2024, 12(11), 2483; https://doi.org/10.3390/pr12112483
Submission received: 6 October 2024 / Revised: 2 November 2024 / Accepted: 7 November 2024 / Published: 8 November 2024
(This article belongs to the Special Issue Advances in Enhancing Unconventional Oil/Gas Recovery, 2nd Edition)

Abstract

Owing to their excellent water-absorption and swelling properties, polymer microspheres have been extensively applied as deep profile control agents in oilfields. These microspheres effectively seal large pore-throat channels in reservoirs, optimizing the water-absorption profile. In this study, a composite system was developed, comprising polymer microspheres and polyacrylamide polymers, with the inclusion of a cross-linking agent. The system leverages the synergistic effects of polymer microspheres and other plugging techniques to efficiently seal fractured reservoirs. Results indicate that the composite system exhibits strong blocking and scour resistance due to enhanced network integrity, higher viscosity, and improved elastic strength. Additionally, the composite system demonstrates a notable self-repairing capability, maintaining a high sealing efficiency even after a waterflood breakthrough.

1. Introduction

With the continued exploration and development of oil wells, the issue of elevated water content in many reservoirs has become increasingly prevalent [1]. This rise in water content can largely be attributed to several factors, including the prolonged injection of water over extended periods, the presence of reservoirs with large pore throats, and the non-homogeneous nature of many reservoir formations [2]. Consequently, the theory and associated technologies for deep reservoir absorption profile modification have gained considerable attention from both researchers and industry professionals, as they seek to address this growing challenge. Polymer microspheres, a relatively new class of plugging and profile adjustment agents, were first introduced by BP in the 1990s. This innovation led to the development of a delayed-expansion deepwater conditioning agent designed for advanced profile control in complex reservoirs [3]. In 2007, Russian researchers at IFP further refined this technology by creating a polymer microsphere deepwater conditioner with size-controllable properties, demonstrating significant advancements in terms of resistance to both high temperatures and salinity, as well as improved transportability through porous media [4].
Organic gel-based deep drive technology is an advanced method that combines the essential features of polymer flooding with enhanced mobility control, making it one of the most widely applied deep drive technologies both domestically and internationally. Guang Zhao conducted extensive research focusing on gels synthesized from NPAM (nonionic polyacrylamide) for use in in-depth profile control applications [5]. By adjusting the concentrations of NPAM polymers or cross-linking agents, the gelation time and final gel strength can be finely controlled. This adjustability ensures that the gel system penetrates into the deep formation, while its tailored strength provides sufficient capacity to effectively block high-permeability zones. Faaiz Al-Shajaleeinvestigated the rheological behavior of P(AAM-co-AA)Na-chromium gels over a broad range of shear rates (0.01−100 s−1), varying chromium concentrations (ranging from 200 to 600 ppm Cr3+ within a 20,000 ppm P(AAM-co-AA)Na solution), and temperatures spanning from 298 to 338 K [6]. These studies were complemented by both core-scale and pore-scale flow experiments to evaluate the gels’ efficiency in reducing water production. Additionally, Yujia Fang designed an optimized composite system that integrates a particle plugging agent with a newly developed interpenetrating network gel [7]. Plugging and oil displacement experiments were conducted using both non-fractured and fractured cores to elucidate the in-depth profile control mechanisms of the composite system. Yujun Feng presented findings that highlight the quasi-insensitivity of stabilized microgels when exposed to a variety of environmental conditions, including salinity, pH, temperature, and shear stress [8]. The results also included stability tests at elevated temperatures. Ultimately, these studies demonstrated that microgels are highly effective in traversing porous media, and they exhibit significantly improved water permeability control compared to conventional polymer flooding methods. Dimitrios Georgios Hatzignatiou investigated the potential use of commercially existing polymer gelants in the laboratory and ascertained their effectiveness to isolate high-conductivity pathways in fractured porous formations and to divert injected water into unswept regions containing significant oil volumes [9].
Polymer microspheres are primarily composed of water-soluble monomers, polymerized into spherical gel particles with diameters ranging from the nanometer to micron scale. These microspheres possess excellent water-absorption and swelling properties. Upon absorbing water, their volume can increase to several times, or even dozens of times, their original size. Initially, their size is smaller than the pore and throat diameters of reservoir formations, allowing them to be transported with injected fluids into the deep layers of the reservoir. Once in place, they absorb water and expand, generating a retention and blocking effect within the pore throats. This creates a card-plugging and bridging effect that effectively seals the high-permeability zones, steering the injected fluids towards less permeable areas and thereby enhancing the overall recovery efficiency [10]. After swelling, these microspheres create blockages at pore throats, sealing off hyperpermeable formations and ensuring the effective redirection of injected fluids. This improves the sweep efficiency of the displacement agent and subsequently boosts the recovery rate. In recent years, polymer microsphere flooding technology has been trialed in various oilfields, including the Jiangsu oilfield [11], Baibao Oilfield B region [12], Tuha Wunmi oilfield [13], Ji Plateau oilfield [14], and Bohai oilfield [15], among others, all of which have shown promising results. Suai Zhao conducted an in-depth evaluation of the migration and plugging behaviors of polymer microspheres (PMs) under various diameter ratios between PMs and pore throats [16]. Additionally, oil–water relative permeability was assessed using the unsteady-state method to analyze the influence of PMs on oil–water flow dynamics. Furthermore, the impact of PMs on the stability of oil-in-water emulsions was investigated. Zhiyong Wang developed and evaluated a surfactant-polymer (SP) flooding system comprising nonionic surfactant and microspheres [17]. A series of parallel double-core models and core displacement experiments were employed to study the displacement characteristics of this SP flooding system. Key factors such as injectivity, residual resistance factor, resistance factor, reservoir heterogeneity, slug composition, and overall displacement efficiency were examined to assess the enhanced oil recovery (EOR) potential of the system.
Songqing Zhang conducted an in-depth review of the key factors influencing the distribution of remaining oil in reservoirs, focusing particularly on the multi-scale characteristics of reservoir spaces, the types and configurations of fracture-cavity bodies (FCBs), and their spatial distribution in relation to well placements [18]. By investigating these factors, alongside core data, well logging, seismic information, and production performance records, Zhang established a controlling factor model for remaining oil distribution following waterflooding. This model aids in identifying the main factors that control residual oil accumulation and has informed enhanced oil recovery (EOR) techniques tailored to the development practices of the Tahe oilfield. For fractured, low-permeability reservoirs, which are characterized by multiple micro-fractures, severe heterogeneity, and significant water channeling, conventional polymer flooding technologies have often proven inadequate in delivering the desired recovery outcomes. Guojun Li demonstrated that in highly heterogeneous, fractured heavy oil reservoirs, the application of swelling-retarding particles, either alone or in combination with gel-based swelling-retarding particles, can significantly enhance oil recovery by increasing oil content and reducing water cut [19]. Prior to this research, however, there had been no swelling-retarding particles that could offer both effective water-plugging and enhanced oil recovery in high-temperature, high-salinity environments while also maintaining long-term stability. The development of thin-film-coated XN-T particles provided a crucial breakthrough, offering a reliable option for water-plugging and isolation operations in such extreme reservoir conditions. Xiangyu Fan advanced the field further by developing a polymer-based plugging gel, XNGJ-3, specifically designed for fractured strata [20]. Composed primarily of acrylamide monomers, with additional reactive carboxyl and hydroxyl monomers, XNGJ-3 exhibits low viscosity before gelling. When exposed to a temperature of 353.15 K, the gelation process occurs within a controlled time frame, making it highly suitable for practical field applications. These properties enable the plugging material to penetrate crossing fractures smoothly and effectively seal them. XNGJ-3 also displays exceptional deformability, allowing it to avoid damage during fracture closure. In well leakage simulation experiments, the material demonstrated impressive mechanical strength, with a bearing capacity reaching 21 MPa and an inverse bearing capacity of 20 MPa—both of which are more than double the strength of conventional polymer plugging gels. Based on the advantages of in-depth profile control and cyclic water injection, Daiyin Yin studied the feasibility of combining deep profile control with cyclic water injection to improve oil recovery in fractured low-permeability reservoirs during the high water cut stage [21]. T. Babadagli tested for different matrix and oil properties. Then, the most convenient method in terms of the recovery rate and ultimate recovery was identified for different matrix boundary conditions, oil viscosity and matrix wettability [22]. Serhat Canbolat used naturally and artificially fractured cores. Using CT scanner images, matrix porosity and saturation calculations were determined, as was the permeability estimation of each core with a minor relative error percentage [23].
To further investigate the advantages of polymer microspheres in enhancing formation plugging efficiency, particularly in the context of water runoff management for fractured reservoirs, this study focuses on combining polymer microspheres with cross-linked gel profile control technology. Polymer microspheres, known for their ability to bridge and jam pore throats, offer significant potential for blocking fractures; however, when used in isolation, their fracture-sealing capability may be limited [24,25]. By integrating polymer microspheres with cross-linked gel technology, we aim to address the shortcomings of a single treatment method and maximize the synergistic benefits of this hybrid approach. In this experiment, the polymer microspheres were synthesized from acrylamide monomers, which are capable of reacting with a cross-linking agent. When these microspheres are combined with polyacrylamide polymers, forming a composite system under the influence of the cross-linking agent, the system can fully leverage the complementary properties of both materials. This synergistic effect enhances the overall efficiency of fracture sealing and dissection within oilfield reservoirs, leading to a more effective blockage of water pathways and a subsequent improvement in oil recovery rates in fractured formations.

2. Experimental Design

2.1. Experimental Materials and Equipment

The polymer used in this study is partially hydrolyzed polyacrylamide (HPAM), with a molecular weight of 15 million, sourced from Beijing Hengju Technology Development Co., Ltd. (Beijing, China). The cross-linking agent system consists of urotropin, resorcinol, and oxalic acid, all obtained from Chengdu Kelong Chemical Reagent Factory (Chengdu, China). A stabilizer, thiourea, was also supplied by Chengdu Kelong Chemical Reagent Factory. For the experimental setup, tap water was utilized, and the polymer microspheres (PMSs) were self-prepared using an inverse suspension polymerization technique, which incorporated reactive monomers, a cross-linking agent, and an initiator to facilitate the polymerization process.
The experimental instruments employed in this research included a Brookfield Bohlafly rotational viscometer (AMETEK Brookfield Co., Ltd., Middleboro, MA, USA) for viscosity measurements, a JSM-7800F field-emission scanning electron microscope (NEC Instruments Co., Ltd., Tokyo, Japan) for morphological analysis, an Anton Paar MCR102 rheometer (Anton Paar Co., Ltd., Graz, Austria) for rheological characterization, and a DL-2000 acid-etching crack inflow capacity evaluation tester (Zhongshi Dashiyi Technology Co., Ltd., Qingdao, China) to assess the inflow capacity of the cracks.

2.2. Experimental Methods

2.2.1. Preparation of Composite System

The preparation of the polymer microspheres involved the sequential addition of partially hydrolyzed polyacrylamide (HPAM), organic cross-linking agents (urotropin, resorcinol, and oxalic acid), and stabilizers (thiourea) under high-speed stirring conditions. This mixture was stirred thoroughly to ensure uniformity and then sealed in a container, which was subsequently placed in an oven set to 80 °C for a specified duration. This heating process allowed the formation of a polymer microsphere/hydrogel composite system, hereafter referred to as the composite system. The viscosity of this composite system was measured using a Brookfield Bohlafly rotational viscometer, providing essential data on its rheological properties.

2.2.2. Microstructure Analysis

The polymer microsphere/hydrogel composite system was meticulously affixed to a conductive adhesive, ensuring a secure attachment for subsequent processing. Once securely positioned, the samples underwent rapid freezing using liquid nitrogen, which effectively preserved their structural integrity. Following the freezing process, the samples were placed under vacuum conditions to remove any residual moisture and subsequently coated with a thin layer of gold to enhance their conductivity for imaging purposes. The microstructure of the polymer microsphere composite system was then characterized in detail using a JSM-7800F field-emission scanning electron microscope (FESEM), which allowed for high-resolution visualization and comprehensive analysis of its morphological features and structural characteristics.

2.2.3. Rheological Property Test

The composite system was developed through the systematic addition of varying concentrations of polymer microspheres to the polyacrylamide hydrogel formulation, which included specific amounts of the following components: HPAM at a concentration of 1500 mg/L, resorcinol at 175 mg/L, urotropin at 175 mg/L, oxalic acid at 200 mg/L, and thiourea at 30 mg/L. This formulation was designed to investigate the interactions between the polymer microspheres and the hydrogel matrix. Subsequently, the composite system was subjected to analysis using an Anton Paar MCR102 rheometer to measure the variations in energy storage modulus, energy dissipation modulus, and loss coefficient as functions of shear angle frequency. This testing provided valuable insights into the rheological properties and dynamic behavior of the composite system under different shear conditions.

2.2.4. Sealing Performance Test

(1)
Experimental equipment
The experimental apparatus used in this study is the DL-2000 acid-etching crack inflow capacity evaluation tester, which is illustrated in Figure 1. This sophisticated system comprises several key components that work together to facilitate accurate measurements and evaluations. Specifically, it includes an API infusion chamber designed to simulate reservoir conditions, a pressure system to regulate and maintain consistent pressure levels throughout the testing process, and a liquid supply system that ensures a steady flow of the testing fluid. Additionally, the system is equipped with a measurement system that captures essential data regarding inflow capacity and an automatic data acquisition, processing, and monitoring system, which streamlines the collection and analysis of experimental results, thereby enhancing the overall efficiency and reliability of the testing procedure.
The physical model of the crack utilized in the experiment is depicted in Figure 1 and is constructed from two aluminum plates. To precisely control the crack width, various layers of screens are strategically embedded between the aluminum plates. Alternatively, different mesh numbers of screens can be employed to manipulate the roughness of the crack surface. This innovative design allows for a customizable approach to crack formation, resulting in a model that can be adjusted to exhibit varying widths and roughness levels as needed for experimental purposes. Furthermore, the entire assembly is encapsulated within a specialized mold, enhancing the structural integrity of the model and facilitating consistent experimental conditions. This adjustable nature of the crack model is crucial for exploring the effects of different crack geometries on inflow capacity and fluid dynamics.
(2)
Experimental procedure
The composite system is carefully injected into the simulated cracks and allowed to undergo a curing process, during which it solidifies into a gel within the cracks. Once the gel has formed, a water-driven injection method is employed to observe the relationship between injection pressure and time, thereby assessing the sealing ability of the gel on the cracks under various operational conditions [26]. Prior to commencing the experiment, it is essential to ensure that all equipment is functioning normally. This includes connecting the experimental device, checking the air tightness of the valves and pipelines, and preparing the necessary experimental materials. Additionally, the integrity of the crack model is verified to ensure that it is intact and free from water leakage. To initiate the process, simulated formation water is injected for more than 10 min to establish a baseline, during which the pressure changes of the water are recorded at different time intervals. Following this initial phase, the gel system formulation is injected into the model, ensuring that the inflow and outflow of fluid are essentially equal, indicating that the gel system has completely filled the simulated cracks. Subsequently, the crack model is sealed within a thermostat box and heated to facilitate the gelation process. In alignment with the experimental design, the gel-formed fracture model is then loaded into the inflow meter, where water drive is applied. Throughout this phase, the pressure changes during the water drive are meticulously recorded at various time intervals. These data are crucial for analyzing the sealing ability of the gel within the fracture, as it provides insights into how effectively the gel can maintain integrity under pressure changes.

3. Results and Discussion

3.1. Analysis of Factors Affecting the Polymer Microsphere/Hydrogel Composite System

3.1.1. HPAM Concentration

In this study, the concentration of polymer microspheres was fixed at 10,000 mg/L, while the concentrations of the organic cross-linking agents—urotropin at 175 mg/L, resorcinol at 175 mg/L, and oxalic acid at 200 mg/L—along with the stabilizer thiourea at 30 mg/L, were maintained constant. The primary variable in this experiment was the concentration of polyacrylamide (HPAM), which was systematically varied to evaluate its effects on the performance of the polymer microsphere/hydrogel composite system. Specifically, four groups featuring varying concentrations of polyacrylamide were examined to evaluate their influence on the gel-forming properties of the composite system. The experimental values obtained, which highlight the performance characteristics of the different formulations, are succinctly summarized in Table 1.
As illustrated in Table 1, under the experimental conditions set at 80 °C, it can be observed that when the concentration of polyacrylamide is very low, the time required for gel formation is relatively prolonged, and the viscosity of the resulting gel is notably low. This phenomenon can be attributed to the ability of the polymer microspheres to adsorb a portion of the polyacrylamide, which effectively reduces the available concentration of polyacrylamide in the aqueous solution. As a result of the experimentation, it is observed that the viscosity of the composite system remains quite low, even after undergoing the cross-linking process, which consequently leads to a slower gel formation time than initially anticipated. However, it is important to note that as the concentration of polyacrylamide steadily increases, the overall strength of the composite system also rises significantly, and the time required for the gel formation gradually decreases in a noticeable manner. This improvement can be explained by the fact that an increase in the concentration of polyacrylamide leads to a higher number of reaction points being present in the aqueous solution when it is combined with the cross-linking agents. This abundance of reaction points plays a crucial role in significantly enhancing the likelihood of cross-linking reactions occurring within the system. Notably, when the concentration of polyacrylamide reaches the level of 1500 mg/L, the observed increase in gel strength of the composite system begins to slow down considerably, suggesting that a point of diminishing returns may indeed be reached regarding the effectiveness of polyacrylamide concentration on the gel formation properties of the composite system.

3.1.2. Cross-Linking Agent Ratio

In this phase of the experiment, the concentration of polymer microspheres was fixed at 10,000 mg/L, while the concentration of polyacrylamide (HPAM) was maintained at 1500 mg/L, and the stabilizer thiourea was kept constant at 30 mg/L. The primary variable in this study involved varying the concentration of the organic cross-linking agent across four different groups. This approach was employed to thoroughly evaluate the impact of different concentrations of the cross-linking agent on the gel-forming properties of the polymer microsphere/hydrogel composite system. The corresponding experimental values obtained from these evaluations are summarized in Table 2, providing a comprehensive overview of how variations in cross-linking agent concentration influence the performance characteristics of the composite system.
As evidenced by the comprehensive data presented in Table 2, under the meticulously controlled condition of 80 °C, it becomes abundantly clear that the gel strength of the composite system significantly increases in tandem with the rise in cross-linking agent concentration. This notable enhancement can be directly attributed to the essential role that the cross-linking agent plays in facilitating the cross-linking reactions between the polymer chains present in the system. It is important to recognize that the composite system is not solely composed of polyacrylamide; it also encompasses polymer microspheres that have been synthesized from acrylamide monomers. Consequently, the cross-linking agent serves a dual purpose: it not only promotes the occurrence of cross-linking reactions among the polyacrylamide molecules but also enables cross-linking reactions to take place between the polymer microspheres and the polyacrylamide itself. As the concentration of the cross-linking agent continues to increase, the likelihood of these critical cross-linking reactions occurring becomes substantially greater. This, in turn, leads to the formation of a denser network structure through the intricate cross-linking interactions among the various polymer components. As a direct result of this increased network density, the overall strength of the composite system experiences a substantial increase, while the time required for gel formation is noticeably shortened. This correlation highlights the critical importance of meticulously optimizing cross-linking agent concentration as a means of enhancing the performance characteristics of the polymer microsphere/hydrogel composite system.

3.1.3. Polymer Microsphere Concentration

In this segment of the experiment, the concentration of polyacrylamide (HPAM) was fixed at 1500 mg/L, while the concentrations of the organic cross-linking agents—urotropin at 175 mg/L, resorcinol at 175 mg/L, and oxalic acid at 200 mg/L—along with the stabilizer thiourea at 30 mg/L, were held constant. The primary focus of this investigation was to systematically vary the concentration of polymer microspheres across four distinct groups. This approach allowed for a comprehensive evaluation of how different concentrations of polymer microspheres impact both the strength of the composite system and the gelation time. The resulting experimental numerical values, which elucidate the relationships between polymer microsphere concentration, composite system strength, and gelation time, are presented in Table 3. This table provides valuable insights into the optimal conditions for enhancing the performance characteristics of the polymer microsphere/hydrogel composite system.
As illustrated in Table 3, under the controlled experimental condition of 80 °C, the gel strength of the composite system demonstrated a trend of initially increasing with higher concentrations of polymer microspheres, followed by a slight decrease at elevated concentrations. This behavior can be attributed to the inherent composition of the polymer microspheres, which contain acrylamide monomers. When these microspheres interact with polyacrylamide in the presence of a cross-linking agent, they have the potential to form a robust composite network structure. Consequently, within a certain concentration range, increasing the amount of polymer microspheres can effectively enhance the overall strength of the composite system. However, it is important to note that when the concentration of polymer microspheres becomes excessively high, they tend to adsorb polyacrylamide, which subsequently reduces the effective concentration of polyacrylamide in the aqueous solution. This reduction in effective polyacrylamide concentration can counteract the intended strengthening effects, leading to a decrease in the strength of the composite system. Therefore, while incorporating polymer microspheres is beneficial up to a certain point, maintaining an optimal concentration is crucial to ensure the desired performance characteristics of the composite system are achieved.

3.2. Microstructure of Polymer Microsphere/Hydrogel Composite System

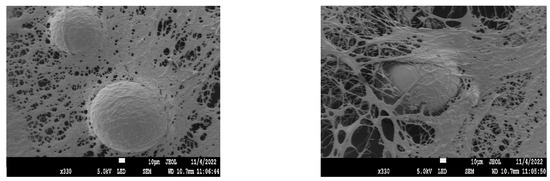
The experimental results pertaining to the microstructure of the composite system are vividly illustrated in Figure 2. These results clearly demonstrate that the polyacrylamide hydrogel exhibits a distinctive and well-defined network structure. Within this intricate framework, the polymer microspheres are completely enveloped by the polyacrylamide gel, effectively forming a cohesive and unified composite body. Furthermore, the microstructural diagram that highlights the boundary between the polymer microspheres and the polyacrylamide network reveals that, in addition to being enveloped, the network structure of the polyacrylamide gel also adheres tightly to the polymer microspheres [27,28,29,30]. This observation significantly underscores the intricate interactions that occur during the cross-linking reaction process. Notably, the cross-linking process does not solely involve the interaction of polyacrylamide macromolecules; it also entails a significant and crucial reaction between the chemical groups present on the polymer microspheres and the polyacrylamide (HPAM) molecules, which is facilitated by the action of the cross-linking agent. This dual interaction contributes to the overall robustness and structural integrity of the composite system, highlighting the complex and dynamic chemical interactions at play during the formation of the polyacrylamide hydrogel.

3.3. Rheological Properties of Polymer Microsphere/Hydrogel Composite System

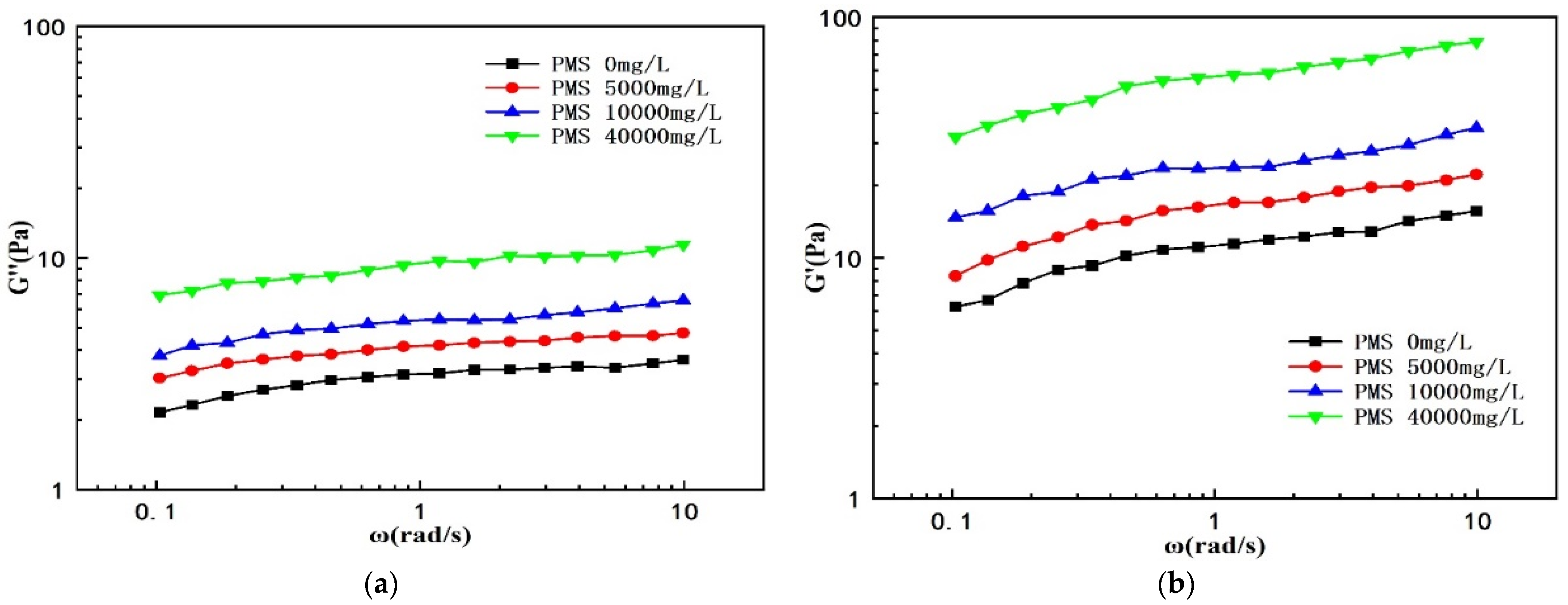
The rheological properties of the composite system were meticulously tested, and the findings are illustrated in Figure 3, Figure 4 and Figure 5. The experimental results indicate that, while maintaining constant concentrations of both the cross-linker and polymer, there is a significant increase in the energy storage modulus and energy dissipation modulus with the progressive addition of polymer microspheres. Notably, a substantial enhancement in structural strength was observed once the concentration of polymer microspheres reached 4%. Specifically, as the mass fraction of polymer microspheres in the gel formulation was incrementally increased from 0% to 4%, the energy storage modulus of the gel rose dramatically from 11.08 Pa to 55.98 Pa. Concurrently, the energy dissipation modulus experienced an increase from 3.05 Pa to 9.20 Pa, measured at a frequency of 0.86 rad/s. Remarkably, the modulus of elasticity of the composite system containing a mass fraction of 4% polymer microspheres was found to be five times greater than that of the pure polyacrylamide hydrogel. At this same frequency of 0.86 rad/s, the energy storage modulus exhibited an increase of 44.9 Pa; however, it is noteworthy that the energy dissipation modulus of the gel only saw a modest increase of 6.15 Pa. These findings suggest that the incorporation of polymer microspheres not only enhances the energy storage modulus but also contributes to the energy dissipation modulus of the gel. Nevertheless, the predominant effect is a significant increase in the energy storage modulus, which in turn markedly improves both the elasticity and overall strength of the gel.
The variation curves depicting the loss coefficient of the composite system at different concentrations of polymer microspheres are illustrated in Figure 4. The experimental results reveal a noteworthy trend: as the concentration of polymer microspheres increases, the value of the loss coefficient, represented by tan δ, decreases significantly. This behavior can be attributed to the fact that tan δ is defined as the ratio of the energy dissipation modulus to the energy storage modulus. A smaller value of tan δ indicates that the sample exhibits greater elasticity, while a larger value signifies that the network formed by the sample is less complete and is predominantly in a state of viscous flow, leading to an increased viscous ratio. The observed decrease in tan δ with rising concentrations of polymer microspheres suggests that the addition of these microspheres effectively enhances the network structure of the samples. Consequently, the integrity of the network is improved, resulting in a more robust composite system. As a direct result of these observations, the proportion of viscous behavior exhibited within the composite system diminishes considerably, which in turn leads to enhanced elastic characteristics that are more pronounced. This observation clearly indicates that the increased concentration of polymer microspheres not only serves to strengthen the overall network structure but also significantly contributes to the overall elastic performance of the composite system. This enhancement underscores the beneficial effects of these microspheres in improving and optimizing the material properties, ensuring that the composite system can achieve a more favorable balance between elasticity and viscosity, ultimately enhancing its performance in practical applications.
Figure 4. Loss coefficients of composite systems with different polymer microsphere concentrations.
Figure 4. Loss coefficients of composite systems with different polymer microsphere concentrations.
Processes 12 02483 g004

3.4. Sealing Performance of Polymer Microsphere/Hydrogel Composite System on Cracks

3.4.1. Crack Width

The 30-mesh filter mesh was applied separately in the infiltrator in a series of one to four layers, resulting in simulated crack widths of 0.3 mm, 0.6 mm, 0.9 mm, and 1.2 mm, respectively. This setup allowed for a comprehensive evaluation of the blocking ability of the composite system, which is formed by the combination of polymer microspheres and polyacrylamide hydrogel, specifically in relation to the four different simulated crack widths. The results of this evaluation, illustrating the effectiveness of the composite system in sealing and blocking these simulated cracks, are presented in Figure 5.
Figure 5. Change curve of differential pressure of polymer microsphere composite system after blocking with different fracture widths.
Figure 5. Change curve of differential pressure of polymer microsphere composite system after blocking with different fracture widths.
Processes 12 02483 g005
The experimental results indicate that once the polymer microsphere composite system is transformed into a gel within different crack width models, the differential pressure observed during water drive operations initially increases, subsequently decreases rapidly, and then approaches a stabilized level. Specifically, when using a single layer of 30 mesh, the water drive time was recorded at 5 min, during which the differential pressure peaked at a value of 203.6 kPa. After 8 min of water drive, this pressure stabilized at 78.3 kPa. In contrast, with two layers of 30 mesh, the water drive time was shorter at 4.3 min, with a peak differential pressure of 125.1 kPa, stabilizing at 46.9 kPa after 7 min. For three layers of 30 mesh, the peak differential pressure was achieved at 71.2 kPa after only 2.5 min of water drive, and it stabilized at 18.2 kPa after 6 min. Finally, with four layers of 30 mesh, the differential pressure reached its peak value of 40.4 kPa within 1.7 min of water drive, stabilizing at a low 4.3 kPa after 5 min.
In this context, the peak values are referred to as the breakthrough differential pressure, while the stabilized values denote the stable differential pressure. The breakthrough differential pressure serves as an indicator of the sealing strength of the gel, while the stabilized differential pressure reflects the sealing performance of the cracks following the gel’s breach by water. Notably, both the breakthrough differential pressure and the stabilized differential pressure exhibit a decreasing trend as the crack width increases. This trend signifies that wider cracks facilitate easier breakthrough during the water drive process. However, it is essential to note that even after this breakthrough occurs, the composite system maintains a certain degree of blocking capability. This retained effectiveness can be attributed to the inherent flexibility of the polymer microsphere composite system, which allows it to achieve a performance characterized by the concept of “plugging but not dead”, effectively obstructing the cracks without completely sealing them off.
Through further analysis of the data presented in Figure 6 and Figure 7, it becomes evident that there exists an inverse relationship between the breakthrough pressure gradient and stabilized pressure gradient of the polymer microsphere composite system and the width of the crack. This observation underscores the significant influence that crack width exerts on both the gel breakthrough differential pressure and the stabilized differential pressure. Specifically, as the width of the crack increases, both the gel breakthrough differential pressure and the stabilized differential pressure experience a marked decrease.
Moreover, this relationship is not merely linear; rather, it can be characterized as exhibiting an exponential change. When the width of the crack is altered, the corresponding changes in gel breakthrough differential pressure and stabilized differential pressure are pronounced and manifest in an exponential manner. This observation indicates that even slight increases in crack width can lead to disproportionately large reductions in both types of differential pressure. This finding underscores the critical role that crack geometry plays in determining the overall effectiveness of the polymer microsphere composite system in sealing and blocking fluid flow within fractured reservoirs. Such insights are essential for optimizing the application of this composite system in practical scenarios, where the careful control of crack width could prove to be a key factor in enhancing sealing efficiency and overall performance in various applications.
Figure 6. Fitted plot of seam width versus breakthrough differential pressure of polymer microsphere composite system.
Figure 6. Fitted plot of seam width versus breakthrough differential pressure of polymer microsphere composite system.
Processes 12 02483 g006
Figure 7. Fitted plot of seam width versus stabilizing differential pressure of polymer microsphere composite system.
Figure 7. Fitted plot of seam width versus stabilizing differential pressure of polymer microsphere composite system.
Processes 12 02483 g007

3.4.2. Crack Roughness

A 10-mesh, 30-mesh, 60-mesh, and 90-mesh filter mesh were used to simulate the crack roughness by laying one layer in the infiltrator, with the width of the simulated crack being 0.3 mm for each mesh type. The larger the mesh size, the greater the number of openings, which correlates to a higher level of roughness. This experiment aimed to evaluate the sealing ability of the hydrogel composite system formed by polymer microspheres and polyacrylamide across these four simulated cracks. The results of this evaluation are illustrated in Figure 8, highlighting how the varying roughness levels influenced the sealing performance of the hydrogel composite system.
The experimental results from the polymer microsphere composite system applied to different fracture roughness models reveal a consistent trend regarding the water drive differential pressure following the injection of the gel into these models. Initially, the differential pressure tends to increase, reaching a peak, after which it decreases rapidly and eventually stabilizes. For instance, in the case of the 10-mesh filter, after a water drive time of 4.7 min, the differential pressure peaks at a value of 192.3 kPa, and the stabilized differential pressure after 7 min of water drive is recorded at 68.3 kPa. Similarly, for the 30-mesh filter, after 5 min of water drive, the differential pressure reaches its peak value of 203.6 kPa, and the stabilized differential pressure is found to be 78.3 kPa after 8 min.
Moreover, at 5.3 min of water drive time with the 30-mesh filter, the differential pressure peaks at 211.4 kPa, stabilizing at 95.6 kPa after 8.5 min. In the case of the 90-mesh filter, at 5.5 min of water drive, the differential pressure reaches a peak of 221.3 kPa, and the stabilized differential pressure after 8.5 min is measured at 106.3 kPa. A comparative analysis indicates that as the roughness of the cracks increases, both the breakthrough differential pressure and the stabilized differential pressure of the polymer microsphere composite system also rise. This increase can be attributed to the heightened friction within the cracks caused by increased roughness, which consequently elevates the resistance to water drive, thereby enhancing the blocking capacity of the composite system. However, it is noteworthy that relative to crack width, the effect of fracture roughness on blocking capacity is significantly smaller.

3.4.3. Subsequent Water Injection Rate

A layer of 30-mesh filter mesh, which simulates a crack width of 0.3 mm, was carefully spread within the infiltrometer to assess the effectiveness of the blocking capability of the composite system formed by the polymer microspheres combined with the polyacrylamide hydrogel. To evaluate this blocking ability comprehensively, four different water driving speeds were employed: 0.5 mL/min, 1 mL/min, 2 mL/min, and 3 mL/min. Each of these varying flow rates provided a distinct set of conditions under which the performance of the composite system could be assessed regarding its ability to seal the simulated cracks. The experimental results, illustrated in Figure 9, reflect the differences in blocking efficacy at each water driving speed, offering valuable insights into the interaction between flow rate and the sealing capability of the polymer microsphere/polyacrylamide hydrogel composite system.
The experimental results regarding the blocking performance of the polymer microsphere composite system under varying subsequent water drive injection speeds demonstrate a clear trend: the differential pressure consistently increases with the lengthening of water drive time following injection, regardless of the flow rate applied. Specifically, when the water drive speed is set at 0.5 mL/min, the observed breakthrough differential pressure reaches 175 kPa, accompanied by a stabilized differential pressure of 112.3 kPa. In contrast, at a water drive speed of 1 mL/min, the breakthrough differential pressure rises to 203.5 kPa, while the stabilized differential pressure decreases to 78.3 kPa. As the flow rate increases to 2 mL/min, the breakthrough differential pressure escalates further to 321 kPa, with the stabilized differential pressure dropping to 43.6 kPa. Interestingly, at the highest water drive speed of 3 mL/min, the breakthrough differential pressure remains at 321 kPa, yet the stabilized differential pressure stays at 43.6 kPa, suggesting a plateau effect at higher speeds.
The most significant observation arises when the water-driving speed is at 2 mL/min, where the breakthrough differential pressure reaches an impressive 511 kPa, but the stabilized pressure difference plummets to just 11.2 kPa. This indicates that water-driving speed has a substantial impact on the blocking capability of the polymer microsphere composite system. Specifically, higher speeds correlate with greater substitution pressure, leading to increased disruption of the gel structure. This disruption results in elevated breakthrough pressures. Conversely, the post-breakthrough pressure changes indicate that lower water-driving speeds are more conducive to maintaining the self-repairing capabilities of the polymer microsphere composite system. This self-repairing characteristic allows for sustained high blocking capacity even after breakthrough, highlighting the significance of optimizing water drive speeds to enhance the effectiveness of the composite system. There are three potential practical applications in this field from our perspective. First, the polymer microsphere/hydrogel composite system could greatly enhance the formation strength, which therefore can be utilized to mitigate potential structure damage, such as sand production. In addition, the composite system is able to reduce fluid flow capacity dramatically in the applied formation; as a result, using the system could accomplish the targeted fracturing. Finally, theoretically similar with the water-absorption profile control, the system can be utilized to control the pollution migration underground.

4. Conclusions

(1) The polymer microspheres are synthesized through the polymerization of acrylamide monomers, a process that allows them to interact with polyacrylamide polymers in the presence of a cross-linking agent. This interaction results in the formation of a hydrogel composite system where the polymer microspheres are embedded within the polyacrylamide network structure. This encapsulation not only enhances the overall structural integrity of the composite system but also significantly increases its network strength. The resulting composite exhibits improved viscosity and elastic strength, which are crucial for applications requiring robust gel performance, especially in environments prone to mechanical stress and fluid dynamics.
(2) The polymer microsphere/hydrogel composite system demonstrates superior performance in blocking cracks compared to other composite materials. Notably, the time to reach water drive pressure breakthrough is considerably delayed, indicating an effective resistance to water intrusion. Furthermore, even after the breakthrough, the composite maintains a high level of blocking performance, underscoring its excellent flexibility and resilience over prolonged exposure to hydraulic forces. This capability highlights the composite’s strong self-repairing abilities post-breakthrough, enabling it to retain a significant degree of blocking capacity and resistance to erosive forces that could compromise its effectiveness.
(3) The dimensions of the crack significantly affect both the breakthrough differential pressure and the stabilized differential pressure of the polymer microsphere/hydrogel composite system. Specifically, as the crack width varies—whether expanding or contracting—the breakthrough and stabilized differential pressures respond proportionally, often shifting by a multiple corresponding to the change in crack width. Additionally, while increased crack roughness can enhance the blocking ability of the composite, its influence is markedly less significant than that of crack width itself. Moreover, the water drive speed plays a critical role in the performance of the gel. Higher water drive speeds lead to greater substitution pressures, resulting in more substantial gel disruption. Conversely, lower water drive speeds are advantageous, as they favor the self-repairing characteristics of the polymer microsphere/hydrogel composite system, allowing it to sustain a high level of blocking capacity even after experiencing breakthrough conditions. This resilience is vital for applications in dynamic environments where water intrusion can compromise structural integrity.

Author Contributions

Methodology, J.L.; Software, T.L.; Investigation, W.L.; Resources, X.L. All authors have read and agreed to the published version of the manuscript.

Funding

The research was supported by Natural Science Foundation Projects of Chongqing City (No. cstc2021jcyj-msxmX0978).

Data Availability Statement

The data presented in this study are available on request from the corresponding author.

Conflicts of Interest

Author Wenjin Liu was employed by the PetroChina Southwest Oil and Gas Field Kaizhou Operation Area. Author Taotao Luo was employed by the Chongqing Unconventional Oil and Gas Development Research Institute. The remaining authors declare that the research was conducted in the absence of any commercial or financial relationships that could be construed as a potential conflict of interest.

Abbreviations

PAMPolyacrylamide
HPAMPartially hydrolyzed polyacrylamide
NPAMNonionic polyacrylamide
P(AAM-co-AA)NaPoly (acrylamide-co-acrylic acid) partial sodium salt
SPPolymer surfactant
EOREnhanced oil recovery
FCBFracture-cavity body
PMSPore-scale polymer microspheres

References

  1. Kang, W.; Zhou, B.; Yang, H.; Li, X.; Zhang, H.; Tang, X.; Gao, Y. Comprehensive Review of Polymer Microspheres for Oil Field Conformance Control and Flooding. Polym. Mater. Sci. Eng. 2020, 36, 173–180. [Google Scholar]
  2. Wang, S.; Kuai, J.; Song, S.; Ju, Y.; Li, X.; Wang, C. Research progress of core-shell polymer microspheres for profile control. Petrochem. Ind. Appl. 2021, 40, 7–10,14. [Google Scholar]
  3. Sheng, J. Modern Chemical Enhanced Oil Recovery: Theory and Practice; Gulf Professional Publishing: Houston, TX, USA, 2016; pp. 122–129. [Google Scholar]
  4. Chauveteau, G.; Omari, A.; Tabary, R.; Renard, M.; Rose, J. Controlling Gelation Time and Microgel Size for Water Shutoff. In Proceedings of the SPE/DOE Improved Oil Recovery Symposium, Tulsa, OK, USA, 2–5 April 2000. SPE-59317-MS. [Google Scholar]
  5. Zhao, G.; Dai, C.; Chen, A.; Yan, Z.; Zhao, M. Experimental study and application of gels formed by nonionic polyacrylamide and phenolic resin for in-depth profile control. J. Pet. Sci. Eng. 2015, 135, 552–560. [Google Scholar] [CrossRef]
  6. Al-Shajalee, F.; Arif, M.; Machale, J.; Verrall, M.; Almobarak, M.; Iglauer, S.; Wood, C. A Multiscale Investigation of Cross-Linked Polymer Gel Injection in Sandstone Gas Reservoirs: Implications for Water Shutoff Treatment. Energy Fuels 2020, 34, 14046–14057. [Google Scholar] [CrossRef]
  7. Fang, Y.; Yang, E.; Cui, X. Study on Profile Control and Water Shut-Off Performance of Interpenetrating Network Polymer Gel Composite System in Shallow Low Temperature Fracture Oil Layer. Chem. Sel. 2019, 4, 8158–8164. [Google Scholar] [CrossRef]
  8. Feng, Y.; Tabary, R.; Renard, M. Characteristics of microgels designed for water shutoff and profile control. In Proceedings of the International Symposium on Oilfield Chemistry, Houston, TX, USA, 5–7 February 2003. SPE-80203-MS. [Google Scholar]
  9. Hatzignatiou, D.G.; Giske, N.H.; Stavland, A. Polymers and polymer-based gelants for improved oil recovery and water control in naturally fractured chalk formations. Chem. Eng. Sci. 2018, 187, 302–317. [Google Scholar] [CrossRef]
  10. Yang, H.; Kang, W.; Yu, Y.; Yin, X.; Wang, P.; Zhang, X. A new approach to evaluate the particle growth and sedimentation of dispersed polymer microsphere profile control system based on multiple light scattering. Powder Technol. 2017, 315, 477–485. [Google Scholar] [CrossRef]
  11. Qian, Z.; Yao, W.; Deng, X.; Cui, Y. Research on Profile Control with Polymer Microspheres in Well G6-38. Adv. Fine Petrochem. 2015, 16, 17–19. [Google Scholar]
  12. Li, W.; Zhou, J.; Liu, Q.; Leng, F.; Cheng, Y. Study on Flooding Modification Technology with Polymeric Microsphere in Block B of Baibao Ultra-Low Permeability Oilfield. China Pet. Mach. 2019, 47, 75–81. [Google Scholar]
  13. Li, Z.; Wang, M. Research and Application Evaluation of Deep profile Control and Drive Technology of Nano Microspheres in Low Permeability Oilfield. Xinjiang Oil Gas 2020, 16, 4–5,61–64. [Google Scholar]
  14. Yang, L.; Luo, L.; Li, B.; Fu, H.; Wang, D. Evaluation of polymer microsphere flooding effect in block X of Jiyuan oilfield. Petrochem. Ind. Appl. 2022, 41, 53–57. [Google Scholar]
  15. Zhang, Y.; Zhou, H.; Miao, F.; Liang, P.; Xu, Y.; Zhang, J. Study of Applicability of Polymer Microspheres in Offshore Heavy Oil Reservoirs. J. Beijing Inst. Petrochem. Technol. 2022, 30, 37–42. [Google Scholar]
  16. Zhao, S.; Pu, W. Investigation into the effect of polymer microspheres (PMs) on oil-water relative permeability and oil-in-water emulsion stability for enhanced oil recovery. J. Dispers. Sci. Technol. 2021, 42, 1695–1702. [Google Scholar] [CrossRef]
  17. Wang, Z.; Lin, M.; Jin, S.; Yang, Z.; Dong, Z.; Zhang, J. Combined flooding systems with polymer microspheres and nonionic surfactant for enhanced water sweep and oil displacement efficiency in heterogeneous reservoirs. J. Dispers. Sci. Technol. 2019, 41, 267–276. [Google Scholar] [CrossRef]
  18. Zheng, S.; Min, Y.; Kang, Z.; Liu, Z.; Long, X.; Liu, K.; Li, X.; Zhang, S. Controlling factors of remaining oil distribution after water flooding and enhanced oil recovery methods for fracture-cavity carbonate reservoirs in Tahe Oilfield. Pet. Explor. Dev. 2019, 46, 786–795. [Google Scholar] [CrossRef]
  19. Li, G.; Fu, M.; Li, X.; Hu, J. A study of the thin film-coated swelling retarding particles in fractured carbonate reservoirs for water plugging and profile control. Energies 2022, 15, 1085. [Google Scholar] [CrossRef]
  20. Fan, X.; Zhao, P.; Zhang, Q.; Zhang, T.; Zhu, K.; Zhou, C. A polymer plugging gel for the fractured strata and its application. Materials 2018, 11, 856. [Google Scholar] [CrossRef]
  21. Yin, D.; Zhou, W. Mechanism of Enhanced Oil Recovery for In-Depth Profile Control and Cyclic Waterflooding in Fractured Low-Permeability Reservoirs. Geofluids 2021, 2021, 6615495. [Google Scholar] [CrossRef]
  22. Babadagli, T. Selection of proper EOR method for efficient matrix recovery in naturally fractured reservoirs. In Proceedings of the SPE Latin American and Caribbean Petroleum Engineering Conference, Buenos Aires, Argentina, 25–28 March 2001. SPE-69564-MS. [Google Scholar]
  23. Canbolat, S.; Parlaktuna, M. Polymer gel conformance on oil recovery in fractured medium: Visualization and verification. J. Pet. Sci. Eng. 2019, 182, 106289. [Google Scholar] [CrossRef]
  24. Sun, Z.; Li, X.; Liu, W.; Zhang, T.; He, M.; Nasrabadi, H. Molecular Dynamics of Methane Flow Behavior through Realistic Organic Nanopores under Geologic Shale Condition: Pore size and Kerogen Types. Chem. Eng. J. 2020, 398, 124341. [Google Scholar] [CrossRef]
  25. Sun, Z.; Shi, J.; Wu, K.; Zhang, T.; Feng, D.; Li, X. Effect of pressure-propagation behavior on production performance: Implication for advancing low-permeability coalbed-methane recovery. SPE J. 2019, 24, 681–697. [Google Scholar] [CrossRef]
  26. Wang, Y.; Zhang, J.; Yang, S.L.; Xu, Z.; Cheng, S. Pressure transient characteristics of non-uniform conductivity fractured wells in viscoelasticity polymer flooding based on oil–water two-phase flow. Pet. Sci. 2024, 21, 343–351. [Google Scholar] [CrossRef]
  27. Boindala, A.; Vij, R.K.; Avadhani, V.L.N.; Pandian, S. Understanding the complexity of thin laminated sequences through reservoir characterization to identify the true potential in Krishna–Godavari offshore area (India): A case study. Pet. Sci. Technol. 2024, 42, 1566–1583. [Google Scholar] [CrossRef]
  28. Pandian, S.; Dahyalal, P.C.; Krishna, S.; Hari, S.; Subramanian, D. A study on cashew nut shell liquid as a bio-based flow improver for heavy crude oil. J. Pet. Explor. Prod. Technol. 2021, 11, 2287–2297. [Google Scholar] [CrossRef]
  29. Pandian, S.; Hazarika, G.; Deota, U.; Shah, D.; Vij, R.K. Cement-casing shear bond strength: A review of the affecting variables and various enhancement techniques. Pet. Sci. Technol. 2023, 41, 1971–1984. [Google Scholar] [CrossRef]
  30. Hazarika, G.; Das, M.; Pandian, S. Hybrid analysis for excessive water production problem. Pet. Sci. Technol. 2022, 40, 1407–1422. [Google Scholar] [CrossRef]
Figure 1. DL-2000 type test instrument for evaluating fracture inflow capacity.
Figure 1. DL-2000 type test instrument for evaluating fracture inflow capacity.
Processes 12 02483 g001
Figure 2. Scanning electron microscope microstructure of polymer microsphere/hydrogel composite system.
Figure 2. Scanning electron microscope microstructure of polymer microsphere/hydrogel composite system.
Processes 12 02483 g002
Figure 3. Modulus of composite systems with different polymer microsphere concentrations. (a) Energy storage; (b) loss modulus.
Figure 3. Modulus of composite systems with different polymer microsphere concentrations. (a) Energy storage; (b) loss modulus.
Processes 12 02483 g003
Figure 8. Change curve of differential pressure of different fracture roughness on polymer microsphere composite system after blocking.
Figure 8. Change curve of differential pressure of different fracture roughness on polymer microsphere composite system after blocking.
Processes 12 02483 g008
Figure 9. Differential pressure change curves of polymer microsphere composite system after blocking with different water drive speeds.
Figure 9. Differential pressure change curves of polymer microsphere composite system after blocking with different water drive speeds.
Processes 12 02483 g009
Table 1. Effect of HPAM concentration on strength and gel formation time of composite system.
Table 1. Effect of HPAM concentration on strength and gel formation time of composite system.
HPAM
/mg/L
Polymer Microspheres
/mg/L
Resorcinol
/mg/L
Urotropine
/mg/L
Oxalic Acid
/mg/L
Thiourea
/mg/L
Viscosity
/mPa·s
Gel Time
/h
50010,000175175200300.4 × 10436
100010,000175175200303.2 × 10433
150010,000175175200307.6 × 10431
200010,000175175200309.8 × 10428
Table 2. Effect of cross-linking agent concentration on strength and gel formation time of composite system.
Table 2. Effect of cross-linking agent concentration on strength and gel formation time of composite system.
HPAM
/mg/L
Polymer Microspheres
/mg/L
Resorcinol
/mg/L
Urotropine
/mg/L
Oxalic Acid
/mg/L
Thiourea
/mg/L
Viscosity
/mPa·s
Gel Time
/h
150010,00010080100303.8 × 10435
150010,000175175200307.6 × 10431
150010,000400350400309.6 × 10422
150010,0006005006003012.8 × 10413
Table 3. Effect of changing the concentration of polymer microspheres on the strength and gel formation time of the composite system.
Table 3. Effect of changing the concentration of polymer microspheres on the strength and gel formation time of the composite system.
HPAM
/mg/L
Polymer Microspheres
/mg/L
Resorcinol
/mg/L
Urotropine
/mg/L
Oxalic Acid
/mg/L
Thiourea
/mg/L
Viscosity
/mPa·s
Gel Time
/h
1500500175175200307.2 × 10417
150010,000175175200307.6 × 10431
150020,000175175200309.4 × 10433
150040,000175175200307.2 × 10438
Disclaimer/Publisher’s Note: The statements, opinions and data contained in all publications are solely those of the individual author(s) and contributor(s) and not of MDPI and/or the editor(s). MDPI and/or the editor(s) disclaim responsibility for any injury to people or property resulting from any ideas, methods, instructions or products referred to in the content.

Share and Cite

MDPI and ACS Style

Liu, W.; Li, J.; Luo, T.; Long, X. Research on Crack Sealing Performance of Polymer Microsphere/Hydrogel Composite System. Processes 2024, 12, 2483. https://doi.org/10.3390/pr12112483

AMA Style

Liu W, Li J, Luo T, Long X. Research on Crack Sealing Performance of Polymer Microsphere/Hydrogel Composite System. Processes. 2024; 12(11):2483. https://doi.org/10.3390/pr12112483

Chicago/Turabian Style

Liu, Wenjin, Jun Li, Taotao Luo, and Xueyuan Long. 2024. "Research on Crack Sealing Performance of Polymer Microsphere/Hydrogel Composite System" Processes 12, no. 11: 2483. https://doi.org/10.3390/pr12112483

APA Style

Liu, W., Li, J., Luo, T., & Long, X. (2024). Research on Crack Sealing Performance of Polymer Microsphere/Hydrogel Composite System. Processes, 12(11), 2483. https://doi.org/10.3390/pr12112483

Note that from the first issue of 2016, this journal uses article numbers instead of page numbers. See further details here.

Article Metrics

Back to TopTop