Prediction of Capillary Pressure Curves Based on Particle Size Using Machine Learning
Abstract
1. Introduction
2. Overview of the Study Area
3. Research Methods
3.1. Research Basis
3.2. Research Ideas
4. Theoretical Basis
4.1. PCHIP Interpolation Method
4.2. Principles of Machine Learning
4.2.1. Regression Tree
4.2.2. Support Vector Machine
4.2.3. Gaussian Process Regression
4.2.4. Regression Tree Integration
4.3. Principles of Artificial Neural Network
4.4. Evaluation Indicators
4.4.1. Root Mean Square Error
4.4.2. Correlation Coefficient
5. Research Results
5.1. Machine Learning Method
5.1.1. Machine Learning Model Fitting
5.1.2. Fitting of Partial Particle Size Characteristics
5.2. Artificial Neural Network Method
5.2.1. Artificial Neural Network Fitting
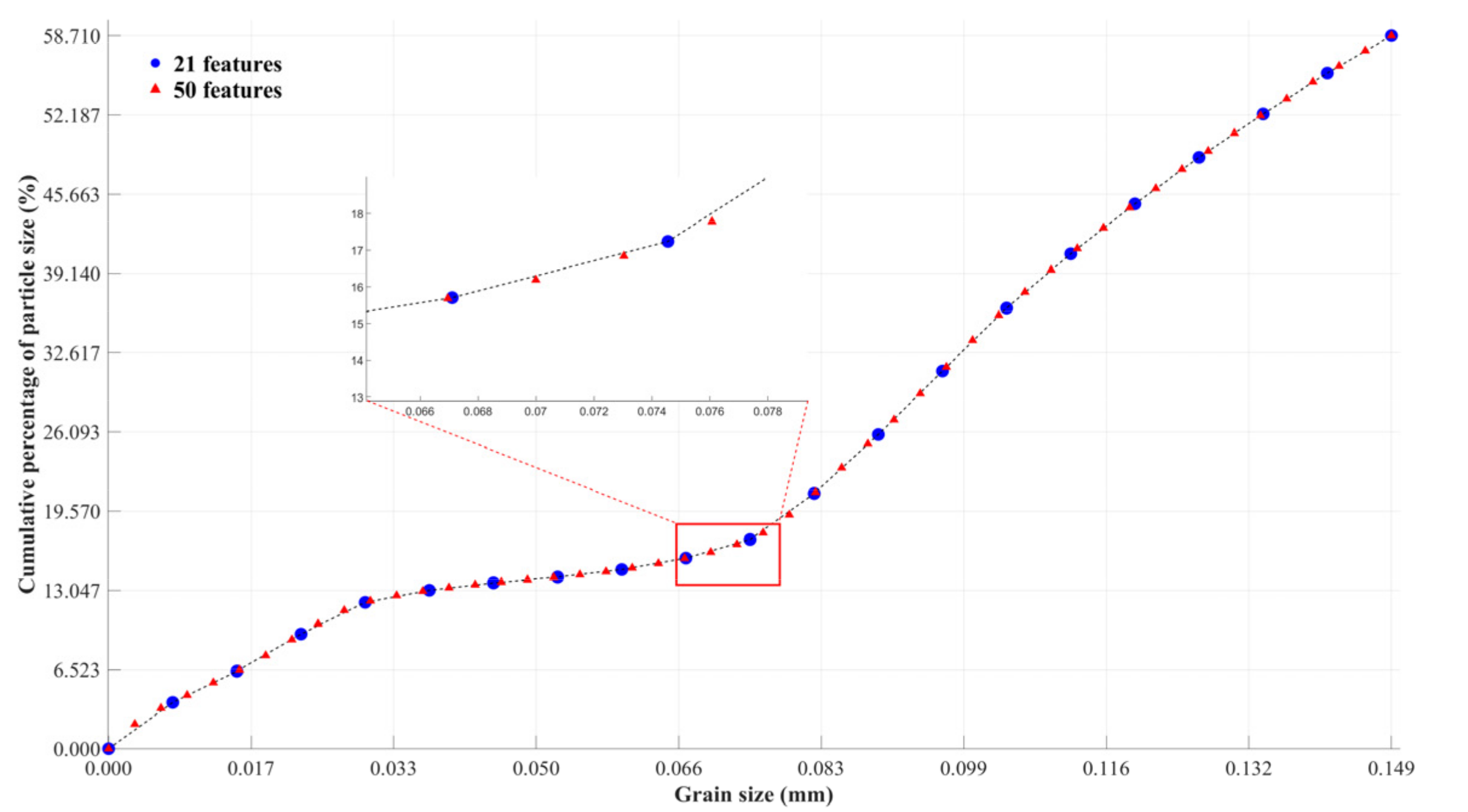
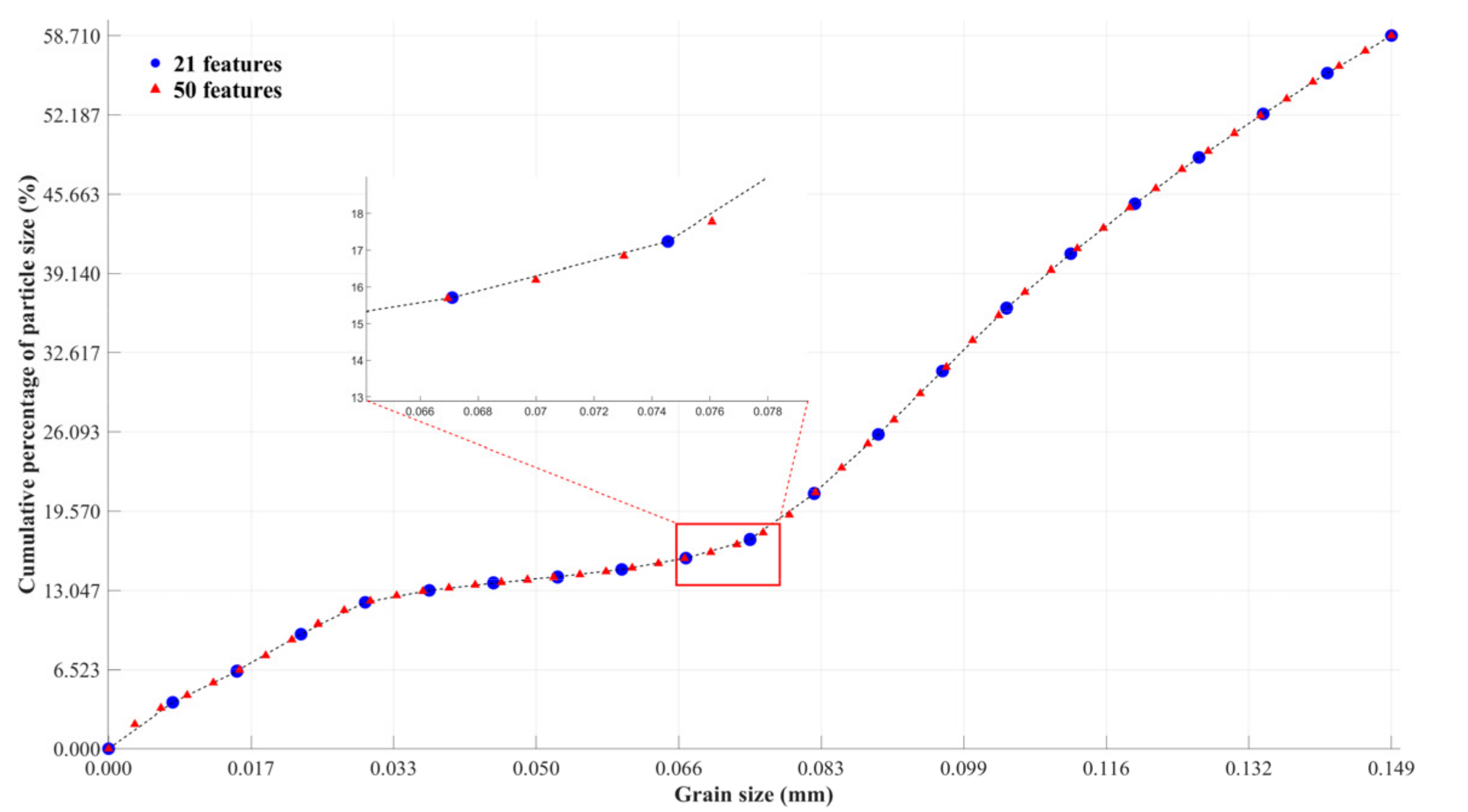
5.2.2. Interpolation Particle Size Characteristic Fitting
6. Discussion
7. Conclusions
- (1)
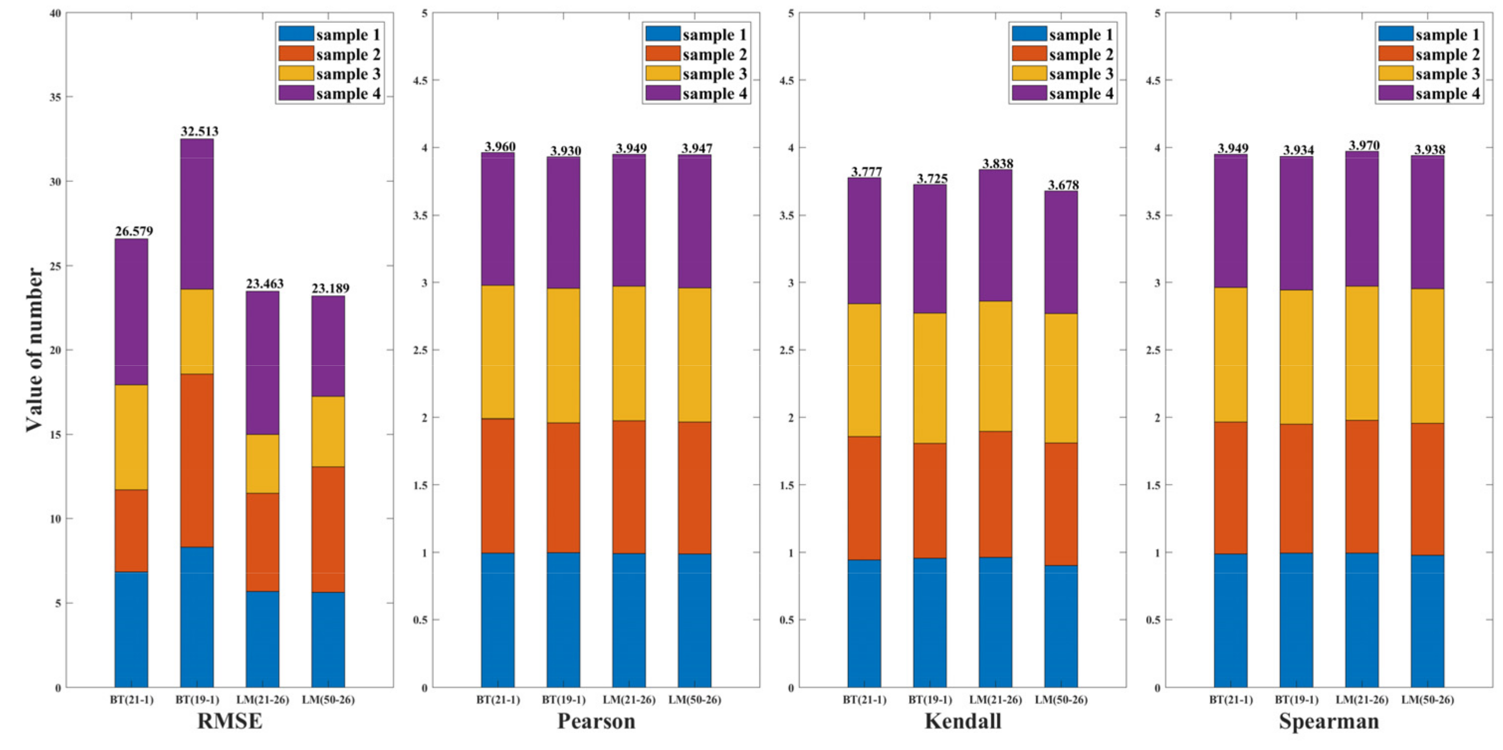
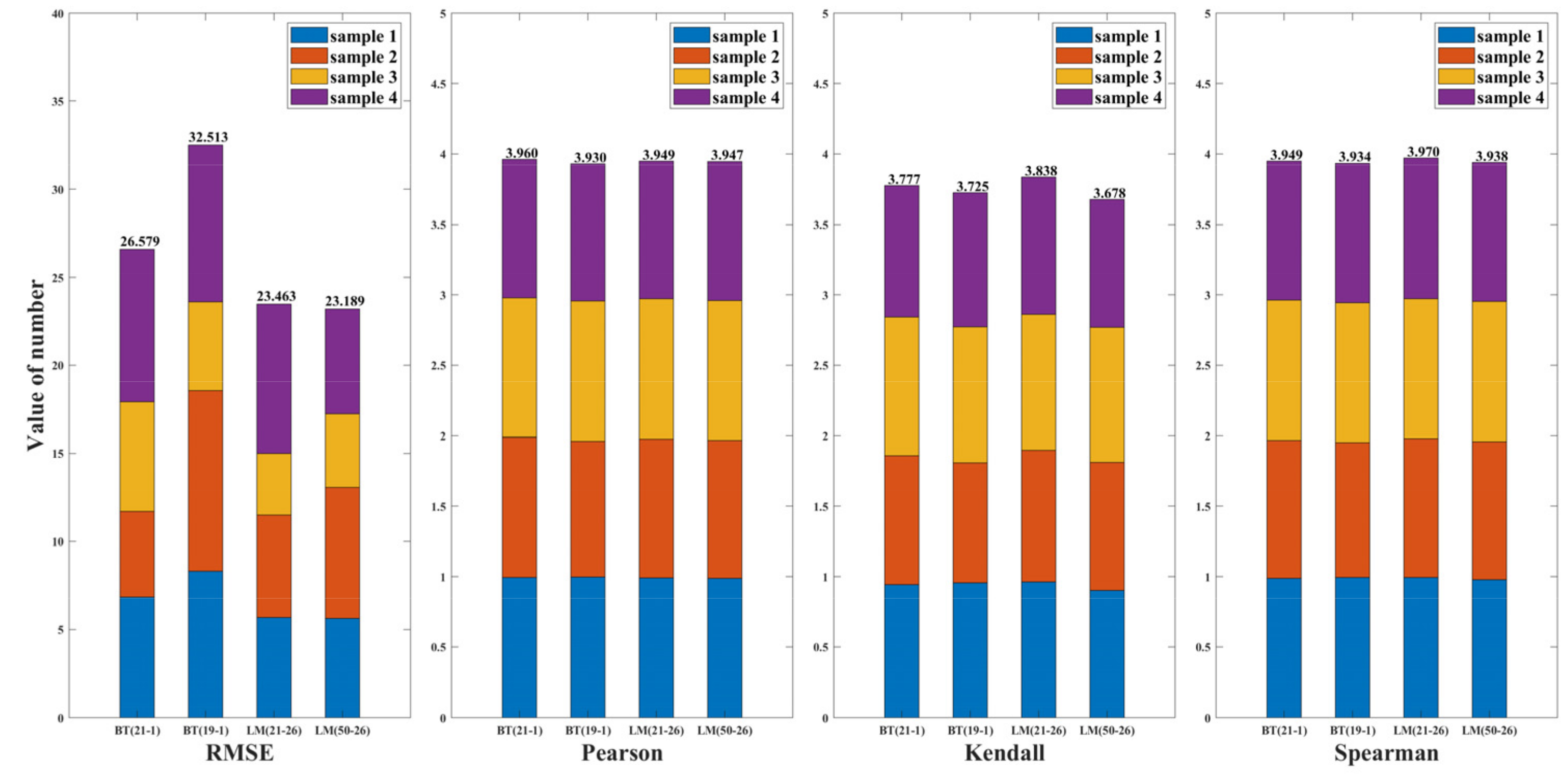
- Machine learning uses the boosting tree model as the optimal algorithm, achieving an average RMSE of 6.645. Fitting training on selected particle size features shows improved training and prediction performances as the number of features increases; however, performance remains inferior to that of the full feature data.
- (2)
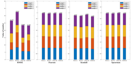
- The optimal configuration for the ANN model is the LM method with 15 hidden layer neurons, achieving an average RMSE of 5.797. This finding indicates better performance than that of the best machine learning algorithm. After the interpolation of the original particle size data, the prediction performance improved when expanded to 50 groups of features, resulting in a cumulative RMSE of 23.189. However, this interpolation method led to a slight reduction in the Kendall correlation coefficient, indicating that interpolation introduces volatility that affects the prediction results.
- (3)
- A comparison of the two artificial intelligence methods—machine learning and artificial neural networks—demonstrates superior performance in training and fitting. In addition, its prediction process is more efficient and quick, resulting in the highest predictive performance.
Author Contributions
Funding
Data Availability Statement
Conflicts of Interest
References
- Ma, W.G.; Wang, P.; Wang, Y. The Study Of Daqing Oilfield Class II Reservoirs Pore Throat Ratio Using Conventional Pressure Mercury Method. Appl. Mater. Technol. Mod. Manuf. 2013, 423–426, 622–625. [Google Scholar] [CrossRef]
- Lai, J.; Wang, G.W. Fractal analysis of tight gas sandstones using high-pressure mercury intrusion techniques. J. Nat. Gas Sci. Eng. 2015, 24, 185–196. [Google Scholar] [CrossRef]
- Kenvin, J.; Jagiello, J.; Mitchell, S.; Perez-Ramírez, J. Unified Method for the Total Pore Volume and Pore Size Distribution of Hierarchical Zeolites from Argon Adsorption and Mercury Intrusion. Langmuir 2015, 31, 1242–1247. [Google Scholar] [CrossRef] [PubMed]
- Chen, J.; Li, E.; Luo, J. Characterization of Microscopic Pore Structures of Rock Salt through Mercury Injection and Nitrogen Absorption Tests. Geofluids 2018, 2018, 9427361. [Google Scholar] [CrossRef]
- Zhang, F.; Jiang, Z.X.; Sun, W.; Li, Y.H.; Zhang, X.; Zhu, L.; Wen, M. A multiscale comprehensive study on pore structure of tight sandstone reservoir realized by nuclear magnetic resonance, high pressure mercury injection and constant-rate mercury injection penetration test. Mar. Pet. Geol. 2019, 109, 208–222. [Google Scholar] [CrossRef]
- Fu, S.S.; Fang, Q.; Li, A.; Li, Z.P.; Han, J.L.; Dang, X.; Han, W.C. Accurate characterization of full pore size distribution of tight sandstones by low-temperature nitrogen gas adsorption and high-pressure mercury intrusion combination method. Energy Sci. Eng. 2021, 9, 80–100. [Google Scholar] [CrossRef]
- Wu, B.; Xie, R.H.; Jin, G.W.; Liu, J.L.; Wang, S.; Fan, W.S. Investigation on the Pore Structure and Multifractal Characteristics of Tight Sandstone Using Nitrogen Gas Adsorption and Mercury Injection Capillary Pressure Experiments. Energy Fuels 2022, 36, 262–274. [Google Scholar] [CrossRef]
- Zhou, Y.Q.; Xu, J.; Lan, Y.Y.; Zi, H.; Cui, Y.L.; Chen, Q.X.; You, L.Z.; Fan, X.Q.; Wang, G.W. New insights into pore fractal dimension from mercury injection capillary pressure in tight sandstone. Geoenergy Sci. Eng. 2023, 228, 212059. [Google Scholar] [CrossRef]
- Xiao, L.; Zhang, W. A new method to construct reservoir capillary pressure curves using NMR log data and its application. Appl. Geophys. 2008, 5, 92–98. [Google Scholar]
- Eslami, M.; Kadkhodaie-Ilkhchi, A.; Sharghi, Y.; Golsanami, N. Construction of synthetic capillary pressure curves from the joint use of NMR log data and conventional well logs. J. Pet. Sci. Eng. 2013, 111, 50–58. [Google Scholar] [CrossRef]
- Liang, X.; Zou, C.C.; Wang, H. Comments on “Construction of synthetic capillary pressure curves from the joint use of NMR log data and conventional well logs”. J. Pet. Sci. Eng. 2015, 135, 429–432. [Google Scholar]
- Xiao, L.; Mao, Z.; Zou, C.; Jin, Y.; Zhu, J.C. A new methodology of constructing pseudo capillary pressure (Pc) curves from nuclear magnetic resonance (NMR) logs. J. Pet. Sci. Eng. 2016, 147, 154–167. [Google Scholar] [CrossRef]
- Zhang, H.T.; Li, G.R.; Guo, H.P.; Zhang, W.J.; Wang, Y.M.; Li, W.B.; Zhou, J.Y.; Wang, C.S. Applications of nuclear magnetic resonance (NMR) logging in tight sandstone reservoir pore structure characterization. Arab. J. Geosci. 2020, 13, 572. [Google Scholar] [CrossRef]
- Wu, B.; Xie, R.; Liu, M.; Jin, G.; Xu, C.Y.; Liu, J.L. Novel Method for Predicting Mercury Injection Capillary Pressure Curves of Tight Sandstone Reservoirs Using NMR T2 Distributions. Energy Fuels 2021, 35, 15607–15617. [Google Scholar] [CrossRef]
- Zhou, Y.Q.; You, L.Z.; Zi, H.; Lan, Y.Y.; Cui, Y.L.; Xu, J.; Fan, X.Q.; Wang, G.W. Determination of pore size distribution in tight gas sandstones based on Bayesian regularization neural network with MICP, NMR and petrophysical logs. J. Nat. Gas Sci. Eng. 2022, 100, 104468. [Google Scholar] [CrossRef]
- Wang, W.H.; Wang, Z.W.; Han, R.Y.; Xu, F.H.; Qi, X.H.; Cui, Y.T. Lithology classification of volcanic rocks based on conventional logging data of machine learning: A case study of the eastern depression of Liaohe oil field. Open Geosci. 2021, 13, 1245–1258. [Google Scholar]
- Yu, Z.C.; Wang, Z.Z.; Zeng, F.C.; Song, P.; Baffour, B.A.; Wang, P.; Wang, W.F.; Li, L. Volcanic lithology identification based on parameter-optimized GBDT algorithm: A case study in the Jilin Oilfield, Songliao Basin, NE China. J. Appl. Geophys. 2021, 194, 104443. [Google Scholar] [CrossRef]
- Song, Z.J.; Xiao, D.S.; Wei, Y.B.; Zhao, R.X.; Wang, X.C.; Tang, J.F. The Research on Complex Lithology Identification Based on Well Logs: A Case Study of Lower 1st Member of the Shahejie Formation in Raoyang Sag. Energies 2023, 16, 1748. [Google Scholar] [CrossRef]
- Wang, J.; Cao, J.X. A Lithology Identification Approach Using Well Logs Data and Convolutional Long Short-Term Memory Networks. IEEE Geosci. Remote Sens. Lett. 2023, 20, 3322677. [Google Scholar] [CrossRef]
- Wang, J.; Cao, J.X.; Zhao, S.; Qi, Q.M. S-wave velocity inversion and prediction using a deep hybrid neural network. Sci. China-Earth Sci. 2022, 65, 724–741. [Google Scholar] [CrossRef]
- Alenizi, F.A.; Mohammed, A.H.; Alizadeh, S.M.; Gohari, O.M.; Motahari, M.R. Appraisal of rock dynamic, physical, and mechanical properties and forecasting shear wave velocity using machine learning and statistical methods. J. Appl. Geophys. 2023, 223, 105216. [Google Scholar] [CrossRef]
- Hong, Y.; Li, S.M.; Wang, H.L.; Liu, P.C.; Cao, Y. Quantitative Prediction of Rock Pore-Throat Radius Based on Deep Neural Network. Energies 2023, 16, 7277. [Google Scholar] [CrossRef]
- Li, J.; Xu, T.; Zhang, W.T.; Liu, H.N.; Kang, Y.; Lv, W.J. A borehole porosity prediction method with focusing on local shape. Geoenergy Sci. Eng. 2023, 228, 211933. [Google Scholar] [CrossRef]
- Li, M.; Zhang, J.X.; Zhou, N.; Huang, Y.L. Effect of Particle Size on the Energy Evolution of Crushed Waste Rock in Coal Mines. Rock Mech. Rock Eng. 2017, 50, 1347–1354. [Google Scholar] [CrossRef]
- Li, M.; Zhang, J.X.; Song, W.J.; Germain, D.M. Recycling of crushed waste rock as backfilling material in coal mine: Effects of particle size on compaction behaviours. Environ. Sci. Pollut. Res. 2019, 26, 8789–8797. [Google Scholar] [CrossRef]
- You, S.; Zhang, C.H.; Ji, H.G. Mesostructure failure mode of compacted rock medium in deep strata. Emerg. Mater. Res. 2020, 9, 460–471. [Google Scholar]
- Feng, Z.T.; Fan, X.M.; Ni, T.; Deng, Y.; Zou, C.B.; Zhang, J.; Xu, Q. How Ice Particles Increase Mobility of Rock-Ice Avalanches: Insights From Chute Flows Simulation of Granular Rock-Ice Mixtures by Discrete Element Method. J. Geophys. Res.-Earth Surf. 2023, 128, e2023JF007115. [Google Scholar] [CrossRef]
- Furuichi, M.; Chen, J.; Nishiura, D.; Arai, R.; Yamamoto, Y. Thrust formation using a numerical granular rock box experiment. Tectonophysics 2023, 862, 229963. [Google Scholar] [CrossRef]
- Shuai, W.; Ying, X.; Yanbo, Z.; Xulong, Y.; Peng, L.; Xiangxin, L. Effects of sandstone mineral composition heterogeneity on crack initiation and propagation through a microscopic analysis technique. Int. J. Rock Mech. Min. Sci. 2023, 162, 105307. [Google Scholar] [CrossRef]
- Wu, J.B.; Hu, Y.T.; Zhang, H.R. A Method of Inverting Rock Grain Size Based on Nuclear Magnetic Resonance Logging Data and Application. Geofluids 2023, 2023, 7941695. [Google Scholar] [CrossRef]
- GB/T 29172-2012; Practices for Core Analysis. Standardization Administration of China (SAC): Beijing, China, 2012.
- GB/T 29171-2023; Rock Capillary Pressure Measurement. Standardization Administration of China (SAC): Beijing, China, 2023.
- Rabbath, C.A.; Corriveau, D. A comparison of piecewise cubic Hermite interpolating polynomials, cubic splines and piecewise linear functions for the approximation of projectile aerodynamics. Def. Technol. 2019, 15, 741–757. [Google Scholar] [CrossRef]
- Barker, P.M.; McDougall, T.J. Two Interpolation Methods Using Multiply-Rotated Piecewise Cubic Hermite Interpolating Polynomials. J. Atmos. Ocean. Technol. 2020, 37, 605–619. [Google Scholar] [CrossRef]
- Saidi, A.Y.N.; Ramli, N.A.; Muhammad, N.; Awalin, L.J. Power outage prediction by using logistic regression and decision tree. J. Phys. Conf. Ser. 2021, 1988, 012039. [Google Scholar] [CrossRef]
- Yousefmarzi, F.; Haratian, A.; Kalatehno, J.M.; Kamal, M.K. Machine learning approaches for estimating interfacial tension between oil/gas and oil/water systems: A performance analysis. Sci. Rep. 2024, 14, 858. [Google Scholar] [CrossRef]
- Ikeagwuani, C.C. Determination of Unbound Granular Material Resilient Modulus with MARS, PLSR, KNN and SVM. Int. J. Pavement Res. Technol. 2022, 15, 803–820. [Google Scholar] [CrossRef]
- Hoseini, B.; Jaafari, M.R.; Golabpour, A.; Momtazi-Borojeni, A.A.; Karimi, M.; Eslami, S. Application of ensemble machine learning approach to assess the factors affecting size and polydispersity index of liposomal nanoparticles. Sci. Rep. 2023, 13, 18012. [Google Scholar] [CrossRef]
- Dehghani, M.; Jahani, S.; Ranjbar, A. Comparing the performance of machine learning methods in estimating the shear wave transit time in one of the reservoirs in southwest of Iran. Sci. Rep. 2024, 14, 4744. [Google Scholar] [CrossRef]
- Fang, Z.C.; Cheng, J.; Xu, C.; Xu, X.Y.; Qajar, J.; Rastegarnia, A. Comparison of machine learning and statistical approaches to estimate rock tensile strength. Case Stud. Constr. Mater. 2024, 20, e02890. [Google Scholar] [CrossRef]
- Lin, Y.W.; Zhou, Z.Y.; Song, Z.X.; Shi, Q.; Hao, Y.C.; Fu, Y.Q.; Li, T.; Zhang, Z.S.; Wu, J.Y. Insights into the mechanical stability of tetrahydrofuran hydrates from experimental, machine learning, and molecular dynamics perspectives. Nanoscale 2024, 16, 6296–6308. [Google Scholar] [CrossRef]
- Shuai, G.; Zhou, Y.; Shao, J.L.; Cui, Y.L.; Zhang, Q.L.; Jin, C.W.; Xu, S.Y. Comparison of Multiple Machine Learning Methods for Correcting Groundwater Levels Predicted by Physics-Based Models. Sustainability 2024, 16, 653. [Google Scholar] [CrossRef]
- Nia, A.M.; Misra, D.; Kashani, M.H.; Ghafari, M.; Sahoo, M.; Ghodsi, M.; Tahmoures, M.; Taheri, S.; Jaafarzadeh, M.S. Runoff and Sediment Yield Processes in a Tropical Eastern Indian River Basin: A Multiple Machine Learning Approach. Land 2023, 12, 1565. [Google Scholar] [CrossRef]
- Yürüşen, N.Y.; Uzunoğlu, B.; Talayero, A.P.; Estopiñán, A.L. Apriori and K-Means algorithms of machine learning for spatio-temporal solar generation balancing. Renew. Energy 2021, 175, 702–717. [Google Scholar] [CrossRef]
- Zhang, G.Y.; Shao, F.; Yuan, W.; Wu, J.Y.; Qi, X.; Gao, J.; Shao, R.; Tang, Z.; Wang, T. Predicting sepsis in-hospital mortality with machine learning: A multi-center study using clinical and inflammatory biomarkers. Eur. J. Med. Res. 2024, 29, 156. [Google Scholar] [CrossRef] [PubMed]
- Abbasimaedeh, P. Soil liquefaction in seismic events: Pioneering predictive models using machine learning and advanced regression techniques. Environ. Earth Sci. 2024, 83, 189. [Google Scholar] [CrossRef]
- Khan, S.; Alzaabi, A.; Ratnarajah, T.; Arslan, T. Novel statistical time series data augmentation and machine learning based classification of unobtrusive respiration data for respiration Digital Twin model. Comput. Biol. Med. 2024, 168, 107825. [Google Scholar] [CrossRef]
- Krawczykowski, D. Unification of particle size analysis results, part 1—Comparison of particle size distribution functions obtained by various measurement methods. Measurement 2024, 238, 115403. [Google Scholar] [CrossRef]














| Model | Regression Tree Model | Support Vector Machine Model | Gaussian Process Regression Model | Regression Tree Integration Model | |||||
|---|---|---|---|---|---|---|---|---|---|
| Algorithm | Rough tree | Medium tree | Fine tree | Fine Gaussian SVM | Cubic SVM | Quadratic rational GPR | Square index GPR | Bagging tree | Boosting tree |
| RMSE | 13.452 | 11.681 | 8.786 | 9.089 | 8.4399 | 11.326 | 12.896 | 10.543 | 8.291 |
| R2 | 0 | 0.217 | 0.521 | 0.462 | 0.541 | 0.238 | 0.052 | 0.352 | 0.579 |
| Feature Quantity | 3-1 | 5-1 | 7-1 | 15-1 | 17-1 | 19-1 |
|---|---|---|---|---|---|---|
| RMSE | 10.814 | 10.297 | 9.895 | 8.756 | 8.615 | 8.503 |
| R2 | 0.340 | 0.390 | 0.425 | 0.528 | 0.548 | 0.556 |
| Algorithm | LM Algorithm | BR Algorithm | QCG Algorithm |
|---|---|---|---|
| Training | 0.93754 | 0.99247 | 0.89952 |
| Verify | 0.88275 | —— | 0.85773 |
| Test | 0.82719 | 0.75711 | 0.89228 |
| All | 0.91111 | 0.94887 | 0.89110 |
| Model | Traditional Machine Learning | Artificial Neural Network | ||
|---|---|---|---|---|
| Algorithm | BT (21-1) | BT (19-1) | LM (21-26) | LM (50-26) |
| Average RMSE | 6.645 | 8.128 | 5.866 | 5.797 |
| Average Pearson | 0.990 | 0.983 | 0.987 | 0.987 |
| Average Kendall | 0.944 | 0.931 | 0.960 | 0.920 |
| Average Spearman | 0.986 | 0.984 | 0.993 | 0.985 |
Disclaimer/Publisher’s Note: The statements, opinions and data contained in all publications are solely those of the individual author(s) and contributor(s) and not of MDPI and/or the editor(s). MDPI and/or the editor(s) disclaim responsibility for any injury to people or property resulting from any ideas, methods, instructions or products referred to in the content. |
© 2024 by the authors. Licensee MDPI, Basel, Switzerland. This article is an open access article distributed under the terms and conditions of the Creative Commons Attribution (CC BY) license (https://creativecommons.org/licenses/by/4.0/).
Share and Cite
Qi, X.; Wei, Y.; Wang, S.; Wang, Z.; Zhou, M. Prediction of Capillary Pressure Curves Based on Particle Size Using Machine Learning. Processes 2024, 12, 2306. https://doi.org/10.3390/pr12102306
Qi X, Wei Y, Wang S, Wang Z, Zhou M. Prediction of Capillary Pressure Curves Based on Particle Size Using Machine Learning. Processes. 2024; 12(10):2306. https://doi.org/10.3390/pr12102306
Chicago/Turabian StyleQi, Xinghua, Yuxuan Wei, Shimao Wang, Zhuwen Wang, and Mingyu Zhou. 2024. "Prediction of Capillary Pressure Curves Based on Particle Size Using Machine Learning" Processes 12, no. 10: 2306. https://doi.org/10.3390/pr12102306
APA StyleQi, X., Wei, Y., Wang, S., Wang, Z., & Zhou, M. (2024). Prediction of Capillary Pressure Curves Based on Particle Size Using Machine Learning. Processes, 12(10), 2306. https://doi.org/10.3390/pr12102306

