Abstract
The hard particles in the copper-based powder metallurgic material of a brake pad for a wind turbine brake falls off and presses into the surface of the brake disc to form abrasive particles under high-speed and heavy-load working conditions. The presence of abrasive particles will produce abrasive wear with micro-scratch and micro-scribe on the copper-based material of the brake pad. The critical scratch depth effect in the abrasive wear process is proposed based on the critical depth effect of the metal removal process at the micro-scale. The abrasive wear is divided into two types: scratch wear and scratch wear, which is proposed according to the comparison of the actual scratch depth and the critical scratch depth. The range of braking speeds and friction coefficients in abrasive wear is determined by the recommended parameters of the disc brake. The ABAQUS2020 software is used to simulate and analyze the micro-scale abrasive wear of a brake pad. The brake strain/stress curves of the brake pad under different brake speeds and friction coefficients are compared and analyzed for two abrasive wear types based on the range of braking parameters, and the key factors affecting abrasive wear are proposed.
1. Introduction
The wind turbine brake system is the core component that ensures the safe operation of a wind turbine. Copper-based powder metallurgy materials used in the brake pad have a high thermal conductivity, high friction coefficient, low wear rate, and excellent mechanical properties, which are suitable for high-speed and heavy-load working conditions [,]. A small number of hard particles are uniformly added to the copper alloy matrix to optimize the properties of the materials so as to take into consideration the manufacturing process and economic benefits when copper-based powder metallurgy materials are prepared []. The hard particles in the copper alloy matrix are easily detached and pressed into the surface of the brake disc to form new abrasive particles and act on the brake pad during the brake process, constantly scratching the surface of the brake pad []. The scratching action creates frictional resistance, which is the main cause of abrasive wear on the brake pad. The size of the hard particles that fall off during the braking process is in the micrometer range, which belongs to the micro-scale category [].
It is necessary to perform further studies on the friction and wear characteristics of the wind turbine disc brake in order to ensure the stable and safe operation of wind turbines during the braking process. Globally, scholars have made comparatively deep analyses at the micro-scale. Zhang Baofeng [] compared and analyzed the stress/strain and friction properties of copper-based powder metallurgy and fiber-reinforced composites, and verified that copper-based powder metallurgy materials are susceptible to hard particles in the component during high-power wind turbine braking. Zhou Haibin [] studied the wear mechanism of less hard particles and investigated the friction and wear properties of copper-based powder metallurgy materials when the number of hard particles was small. Xu Chong [] used the random space plane to divide a regular hexahedron to construct an irregular polyhedral structure with the actual abrasive grain geometry. Fan Yuxi [] analyzed the process of abrasive particles pressing on the surface of the abraded material, the sliding of the abrasive particles on the material surface, and the unloading and disengagement process. Liu Zhanqiang [] proposed the idea of using the strain gradient plasticity theory to study the mechanism of micro-scale metal wear and deformation. Pang Yingchun [] proved that the micro-scale effect of multiphase materials is significant under micro-scale machining through a finite element model of orthogonal cutting. In the field of micro-scale research in other countries, Kim et al. [] conducted experimental research on the formation of chips during micro-milling and found that it was not always possible to form chips with a small amount of feed per tooth. Son et al. [] found that, in the micro-cutting process, when the depth of a cut is greater than the minimum chip thickness, continuous chips will be generated and an extremely good quality surface will be produced. Lucca [] studied the micro-scale effects of cutting energy during micromachining by carrying out cutting experiments on oxygen-free copper. The source of hard abrasive particles during the abrasive wear process mainly comes from the hard particles falling off the copper-based material components of the brake pad under high-speed and heavy-load conditions. At present, the effeteness of the finite element simulation method developed for abrasive wear has been verified in both mathematical models and experimental models. But no specific distinction has been made for different types of abrasive wear.
In this paper, different types of abrasive wear developments are studied based on the micro-scale critical machining depth effect and the abrasive wear mechanism of plastic materials. The key braking parameters affecting abrasive wear are studied by comparing the abrasive wear process with different friction coefficients and braking speeds. The research results will have a certain reference significance for investigating brake friction and wear mechanisms and brake pad wear prediction.
2. Brake Pad Abrasive Wear Micro-Scale Effect
Shen Wu et al. summarized the research progress on the influence of friction components on the performance of copper-based friction materials in 2024. Copper-based powder metallurgy friction materials have the characteristics of uniform structure, high wear resistance, high hardness, and a stable friction coefficient []. They can fully utilize the advantages of matrix materials, friction components, and lubrication components, as well as their synergistic effects, and become the preferred material for disc brake pads in high-speed and heavy-duty conditions. Different types of hard particles are usually added to the material matrix in order to strengthen the friction and wear properties of copper-based materials under high-speed and heavy-load conditions. The surface micro-morphology of the brake pad material is shown in Figure 1. Due to the hard particle’s hardness being high relative to the copper alloy matrix’s, it presses into the surface of the brake disc to form a new micro-protrusion, which continuously scratches, causing abrasive wear during the movement. The copper-based powder metallurgy material’s copper alloy matrix is the constituent carrier that forms the overall mechanical properties and belongs to the plastic material. The abrasive wear mechanism of plastic materials under high-speed and heavy-load conditions consists of three parts. The first is the large deformation caused by abrasive particles scratching the surface of the material. The second is the short-cycle fatigue wear caused by the periodical load due to the repeated scratching of the abrasive particles, resulting in the loss of the material from the surface. The third is the wear caused by the friction crumbs on the surface of the scratch material.

Figure 1.
The surface micro-morphology of the brake pad material.
2.1. Micro-Scale Abrasive Wear
The micro-scale range is usually in the micron-to-atomic range. The hard particle size in abrasive wear belongs to the micro-scale category. There will be a critical scratch depth in the process of abrasive wear. Friction crumbs are produced when the actual scratch depth is deeper than the critical scratch depth, but on the contrary, no friction crumbs are produced. This phenomenon can be collectively referred to as the critical scratch depth effect []. In summary, this paper develops a brake pad abrasive wear simulation study based on the following four aspects:
(1) Critical scratch depth effect. The depth of scratches on the surface material after the hard abrasive particles are pressed into the brake disc is the actual scratch depth. No friction crumbs are produced when the actual scratch depth is shallower than the critical scratch depth. The critical scratch depth has a certain influence on the scratching force, the strain/stress on the scratched surface, and the sub-surface residual stress. The effect of critical scratch depth on the formation of friction crumbs is shown in Figure 2. Figure 2a shows that friction crumbs are produced in the abrasive wear process when the actual scratch depth is shallower than the critical scratch depth. The brake pad material undergoes elastic–plastic deformation at this moment, and the main effect is scratching, which is known as micro-scratch. The shearing effect gradually dominates when the actual scratch depth is close to the critical scratch depth, as shown in Figure 2b. When the depth is deeper than the critical scratch depth, as shown in Figure 2c, the critical scratching depth effect is weakened, and all the wear layer materials form friction crumbs, which is known as micro-scribe.

Figure 2.
Effect of critical scratch depth on the formation of friction crumbs. (a) The actual scratch depth is shallower than the critical scratch depth. (b) The actual scratch depth is close to the critical scratch depth. (c) The actual scratch depth is deeper than the critical scratch depth.
(2) Abrasive particle tip blunt round effect. Scratches on the brake pad will be observed at the macro-scale. Under this circumstance, it is considered that the top of the abrasive particle that causes the wear is sharp and it ignores the shape of the abrasive particles. However, for the micro-scale abrasive wear, the radius of the top end of the abrasive particle is close to the critical scratch depth. In other words, the simple assumption of the abrasive particle’s sharp top no longer applies, and the blunt round influence of the abrasive particle’s top must be considered.
(3) Model simplification effect. Abrasive particles and brake pads do undergo a relative curve motion at the macro-scale, but this research study is about abrasive wear generated at a certain moment or in a small amount of time at the micro-scale. Therefore, the process of abrasive wear is simplified to the relative sliding of abrasive particles and brake material of the same size and magnitude at a certain speed.
(4) Limit model effect. The two types of abrasive wear processes around the critical scratch depth are similar. This paper will use two limit models to compare and analyze the two types of abrasive wear processes more directly, namely that the scratch depth is far shallower than the critical scratch depth and the actual scratch depth is far deeper than the critical scratch depth.
2.2. Micro-Scale Abrasive Wear Model Establishment
The geometric model of the scratch and scribe type of micro-sized abrasive particles is shown in Figure 3. The brake pad is composed of an isotropic copper-based plastic material, and the contact area with the abrasive particles is in the order of micrometers in size. The abrasive particle is also in the order of microns. The symbol “hg” represents the actual scratch depth of the abrasive particle and its unit is micrometer. The symbol “hm” represents the critical scratch depth of the abrasive particle wear, and its unit is also micrometer.

Figure 3.
Model of scratch and scribe type of a micro-sized abrasive particle.
3. Braking Parameter Range Determination
A model of the main motion of the disc brake is shown in Figure 4. The motion of the macro-scale wind disc brake rotation at a certain speed n at a certain moment in time. It can be seen that the brake pad slides relative to the brake disc at a certain linear velocity v.

Figure 4.
Model of the main movement of a disc brake.
The recommended performance test parameters for high-power wind turbine disc brakes in the “Energy Industry Standard of the People’s Republic of China—High speed Shaft Hydraulic Disc Brakes for Wind Turbine Generators” are shown in Table 1. During the braking process, the rotating speed range of the brake disc is 80–2000 r/min, the normal braking speed is 2000 r/min, and the emergency braking speed is 1000 r/min. According to the model of the main movement of the disc brake, the recommended parameters of the brake performance data are converted into equivalent data, and the braking radius is set to 300 mm. The conversion relationship between the relative sliding speed v and the brake disc speed n is:

Table 1.
Disc brake performance test recommended parameters.
In Formula (1), R represents the braking radius, n represents the brake disc rotation speed, and v represents the brake disc relative sliding speed. The relative sliding speed range of the abrasive particles and the brake pad is set to 2.5–62.8 m/s according to the Formula (1) combined with the recommended test parameters.
4. Micro-Scale Wear Simulation
Brake pad abrasive wear is a complex process involving material oxidation, friction and wear, deformation vibration, etc. In this paper, the following assumptions are made for the simulation based on the micro-scale simplified model: (1) Parameters of all materials are considered to be isotropic. Abrasive particle is set to rigid body and the brake pad is set to flexible body. (2) Assume that the friction coefficient does not change during the friction between the abrasive particle and the copper-based material. (3) The frictional energy is converted into frictional heat and then absorbed. Brake material property settings are shown in Table 2.

Table 2.
Copper-based material properties of a brake pad.
4.1. Scratch Abrasive Wear Simulation and Result Analysis
The equivalent plastic strain nephogram during the scratch-type abrasive wear process is shown in Figure 5. When the abrasive particle is pressed into the surface of the brake pad material, the material undergoes extrusion deformation under the action of the pressing force transmitted by the normal braking load through the abrasive particle. The surface material is subject to a friction force from the abrasive particle and undergoes tangential extrusion deformation under the action of a tangential braking load and a friction force due to the braking load and relative motion between the abrasive particle and the surface. As is shown in Figure 5a,b, in the initial press-in phase, the brake pad material on both sides of the abrasive particle is subjected to the combined action of the pressing force and the frictional force, while the material under the abrasive particle is only squeezed force, so that the material on both sides of the abrasive particle is deformed by the extrusion compared to the material under the material deformation. Figure 5c–f show that when the abrasive particle starts to slip relative to the surface, the material under the abrasive particle is subjected to a larger friction and a larger plastic strain is generated. At this time, the surface of the brake pad material is subjected to tangential extrusion and plastic flow under the effect of tangential braking load and friction. The deformation of the surface layer material is much larger than that when pressed in a single normal direction in Figure 5a,b. As is shown in Figure 5g,h, the abrasive particle is disengaged from the contacted brake pad when the braking load is unloaded, and the surface of the material leaves a significant residual plastic strain.

Figure 5.
Equivalent plastic strain nephogram during the scratch-type abrasive wear process.
Figure 6 shows the change in the stress of the brake pad material during scratch wear. Figure 6a,b show the equivalent stress distribution on the material surface when the abrasive particle is pressed into the brake pad. The stress distribution is concentrated below the abrasive particle. As shown in Figure 6c–f, when the abrasive particle slides laterally, the material is affected by the tangential braking load and friction force transmitted by the abrasive particle, and the surface stress increases. It is also concentrated in the tangential slip direction of the abrasive particle. The abrasive scraping layer forms a significant stress concentration, and the surface material undergoes a severe extrusion-plastic flow behavior. In Figure 6g,h, it is observed that the material surface is no longer affected by the external load after the abrasive particle is disengaged, while the equivalent stress of the brake pad material surface has not disappeared. The surface stress of the brake pad material mainly consists of residual stress. The residual stress concentration distribution can be clearly observed in Figure 6h. After the brake is unloaded, the residual stress will be cumulatively applied to the brake pad material during the next braking process. This part of the material is prone to fatigue damage under cyclic loading to form short-cycle fatigue wear when the abrasive particle is scratched several times, and this is also the main reason for the scratch-type abrasive particles forming short-cycle fatigue wear. Regarding abrasive wear caused by scratching, similar results were also analyzed by adding a third body in the study []. The main source of abrasive wear is the damage to the friction surface caused by scratching or third-body scratching.

Figure 6.
Equivalent stress nephogram during the scratch-type abrasive wear process.
4.2. Scribe Abrasive Wear Simulation and Result Analysis
The equivalent plastic strain nephogram during the scribe-type abrasive wear process is shown in Figure 7. When the scribed abrasive particle begins to press the surface of the brake pad material as shown in Figure 7a, the material undergoes tangential extrusion deformation under the effect of tangential braking load and friction force. The plastic strain on the surface of the material is mainly concentrated in front of the angle of attack of the abrasive particle, while the material below the abrasive particle is less deformed, and the plastic strain distribution of the material produced by the scribed abrasive particle is not conspicuously generated plastic strain diffusion. As shown in Figure 7b,c, the wear process produces small friction crumbs due to the scribing of the abrasive particle. As shown in Figure 7d,e, the abrasive particle continues to scratch the surface of the copper-based material and the friction crumbs gradually become larger. As shown in Figure 7f, the wear process produces a continuous improvement when the abrasive particle reaches a stable scribing stage. Large friction crumbs result in scribe-type abrasive wear.


Figure 7.
Equivalent plastic strain nephogram during the scribe-type abrasive wear process.
The equivalent stress nephogram during the scribe-type abrasive wear process is shown in Figure 8. The brake pad material squeezes under the effect of tangential braking load and scratching force. In the deformation, the maximum scratching stress of the brake disc material is 438 MPa. The scratching stress of the brake disc material is mainly concentrated in the contact area of the angle of attack of the abrasive particle. The surface material located in front of the squeezing-type abrasive particle extrusion surface is in a plastic deformation state due to scratching stress exceeding the yield limit of the surface material and it generates plastic flow in the tangential direction of the abrasive particle. As shown in Figure 8b, the scratching stress is increased to 452 MPa after the brake pad material is continuously scribed by the abrasive particle, and the brake pad material under the action of the scratching stress of the abrasive particle is broken down to generate friction crumbs. The scratches on the underside create a small residual stress. In related research [], the abrasive grain scratching process in abrasive grain wear was verified through experimental methods, and the wear process generated by different components of abrasive grains was analyzed and compared.

Figure 8.
Equivalent stress nephogram during the scribe-type abrasive wear process.
5. Effect of Braking Parameters on the Strain/Stress of Brake Material
Both the braking speed and the friction coefficient have a very important influence on the abrasive wear of the brake pad material. The corresponding braking surface friction coefficient at different braking speeds is different, and the braking speed varies from 2.5 to 31.4 m/s, as shown in Table 1. The change range of μ is 0.1–0.7. Settings of different braking parameters are shown in Table 3.

Table 3.
Settings of different braking parameters.
5.1. Influence of Braking Parameters on the Strain/Stress of Scratch-Type Abrasive Wear
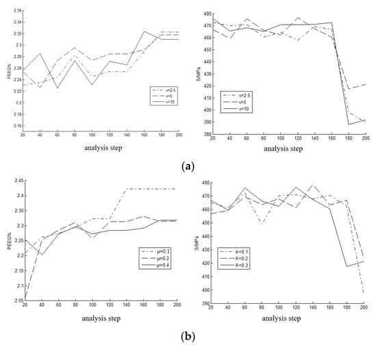
As shown in Figure 9a,b, when μ is taken as 0.4 and v is taken as 2.5 m/s, 5 m/s, and 10 m/s, respectively, the fitting curve of the strain/stress of the brake pad material is fitted. During the process of scratching abrasive wear at different braking speeds, the brake-slug material has a uniform strain/stress change law, which is gradually increased along with the scratching process. Strain/stress tends to be stable when a stable scratching phase is reached. As shown in Figure 9a, the brake pad material undergoes the same elastic deformation stage during the wear process of scratching the abrasive particle at different braking speeds. The stress on the brake pad material becomes greater as the braking speed increases, and the brake pad material begins to undergo severe plastic deformation. The stress amplitude also increases by about 20 MPa with the increase in the braking speed. As shown in Figure 9b, when v is set to 5 m/s and μ is taken as 0.1, 0.2, and 0.4, respectively, the strain/stress of the brake pad material changes to fit the curve. The brake pad is under different friction coefficients during the wear process of scratch-type abrasive particles. The law of strain/stress of the material is consistent and increases with the wear process and eventually stabilizes. However, the strain/stress also becomes larger with the increase of the friction coefficient μ. When the friction coefficient doubles each time, the strain/stress also increases by nearly one, and it is easier to generate a large residual stress and cause short-cycle fatigue wear and eventually generate friction crumbs.

Figure 9.
Influence of braking parameters on the strain/stress of scratch-type abrasive wear. (a) Strain/stress changes with different braking speeds. (b) Strain/stress changes with different friction coefficients.
5.2. Influence of Braking Parameters on the Strain/Stress of Scribe-Type Abrasive Wear
As shown in Figure 10a, in the process of scribe-type abrasive wear, the brake pad material has basically the same variation of strain/stress at different braking speeds. However, the braking speed has less influence on the variation of the in-strain stress, and there is no law to follow. As shown in Figure 10b, the regular change of strain/stress of the brake pad material is also basically the same during the process of scribed abrasive wear, under different friction coefficients, but with the increase of the friction coefficient μ, the strain/stress fluctuation of the pad material tends to be stable. During the climb of the friction coefficient, the abrasive particle sculpts the surface of the brake pad material and will generate continuous friction crumbs and cause more serious scribe abrasive wear.

Figure 10.
Influence of braking parameters on the strain/stress of scribe-type abrasive wear. (a) Strain/stress changes with different braking speeds. (b) Strain/stress changes with different friction coefficients.
By comparing the abrasive wear process of each braking condition with friction coefficient μ = 0.1, 0.2, 0.4 and braking speed v = 2.5 m/s, 5 m/s, 10 m/s, the braking speed v is found to create abrasive wear. The influence of the process is small, and the friction coefficient μ has a great influence on the abrasive wear process, so the friction coefficient μ affects the key braking parameters of abrasive wear; for different friction coefficients, the friction coefficient increases for scratch-type abrasive wear. The strain/stress also increases by nearly 1, and it is easier to produce low-cycle fatigue wear. Scratch-type abrasive wear: as the friction coefficient μ climbs, a continuously larger-sized friction crumb is generated on the surface of the brake pad material. This causes more severe sculpted abrasive wear. Based on the emergency braking parameters of high-speed trains at speeds of 200, 340, and 400 km/h according to national standards, Peiyu Zhou et al. used the MM-3000 friction and wear testing machine to design equivalent scaling experiments based on equal braking energy density and equal pressure []. They studied the frictional behavior of copper-based powder metallurgy friction materials paired with cast steel under different harsh braking energy densities (157, 446, and 616 J/mm2), and the research results were similar to those in this paper.
6. Conclusions
In this paper, the characteristics of friction and abrasive wear of a brake pad during the braking stage of a high-power wind turbine brake system were studied based on the micro-scale effect. Simulations of scratch and scribe, two types of abrasive wear processes, were realized with the finite element analysis software ABAQUS2020, and simulation results were verified and analyzed. Summing up the full text, the main conclusions are as follows:
(1) The source of a hard abrasive particle during the abrasive wear process of the brake pad mainly comes from the hard particles of the brake pad’s copper-based material component, which falls off under high-speed and heavy-load conditions. The abrasive wear is based on the micro-scale critical depth effect during the metal removal process. Two extreme models of spherical and conical shapes are successfully used to establish the abrasive wear model in order to avoid indistinguishable types of abrasive wear near the critical depth.
(2) By comparing the abrasive wear process under different braking conditions, we found that the braking velocity v has little influence on the abrasive wear process, and the friction coefficient μ has a greater influence on the abrasive wear process, so the friction coefficient μ affects the critical braking parameters of abrasive wear.
Author Contributions
Conceptualization, S.Z. and L.J.; methodology, L.J.; software, L.J.; validation, L.J., J.Y. and Y.L.; formal analysis, L.J.; investigation, L.J.; resources, S.Z. and Z.S.; data curation, L.J.; writing—original draft preparation, L.J.; writing—review and editing, Y.L.; visualization, L.J.; supervision, F.M. and D.Y.; project administration, Y.L.; funding acquisition, S.Z. and Z.S. All authors have read and agreed to the published version of the manuscript.
Funding
This research was funded by GENERAL PROGRAM OF NATIONAL NATURAL SCIENCE FOUNDATION OF CHINA, grant number 52375169 and LIAONING PROVINCE APPLIED BASIC RESEARCH PROGRAM, grant number 2022JH2/101300228.
Data Availability Statement
The data presented in this study are available on request from the corresponding author.
Conflicts of Interest
The authors declare no conflict of interest.
References
- Global Energy Storage Market Forecast from 2013 to 2020. Electron. Ind. Spec. Equip. 2014, 43, 63–64.
- Ma, Y.-Q.; Liu, J.-X. Global Energy Development Trend. Glob. Mark. Inf. Rev. 2013, 5, 138. (In Chinese) [Google Scholar]
- Mathieu, S.; Chaia, N.; Le Flem, M.; Vilasi, M. Multi-layered silicides coating for vanadium alloys for generation IV reactors. Surf. Coat. Technol. 2012, 206, 4594–4600. [Google Scholar] [CrossRef]
- Li, Z.; Chai, L.; Qi, L.; Wang, Y.; Liu, Y.; Yang, T.; Wang, H.; Guo, N.; Zhao, Y. Laser-cladded Al-Cr-Ti ternary alloy coatings on Ti-4Al-2V alloy: Specific microstructure and enhanced surface performance. Surf. Coat. Technol. 2023, 452, 129073. [Google Scholar] [CrossRef]
- Qi, T.; Guo, X. Microstructure and high temperature oxidation resistance of Si-Y2O3 Co-deposition coatings prepared on Nb-silicide-based ultrahigh temperature alloy by pack cementation process. J. Inorg. Mater. 2009, 24, 1219–1225. [Google Scholar] [CrossRef]
- Zhang, B.-F.; Zheng, M.-X.; Ban, X.-X. Analysis of Impact Performance and Friction Performance of Wind Brake Pads. Mech. Des. Manuf. 2011, 12, 217–219. (In Chinese) [Google Scholar]
- Zhou, H.-B.; Yao, P.-P.; Xiao, Y.-L. Surface morphology and wear mechanism of SiC particle reinforced copper-based powder metallurgy friction materials. Chin. J. Nonferrous Met. 2014, 9, 2272–2279. (In Chinese) [Google Scholar]
- Su, C.; Xu, L.; Li, M.-G. Modeling of Wear Particles and Simulation of Cutting Process Simulation. J. Aeronaut. 2012, 33, 2130–2135. (In Chinese) [Google Scholar]
- Fan, Y.-J.; Yang, X.-J.; Li, Z.-K. Finite Element Analysis of Microscopic Contact Process in Abrasive Wear. J. Mech. Eng. 2005, 41, 35–37. (In Chinese) [Google Scholar] [CrossRef]
- Liu, Z.-Q.; Ai, X. Study on wear surface morphology of high speed cutting tools. J. Tribol. 2002, 6, 468–471. (In Chinese) [Google Scholar]
- Pang, Y.-C.; Li, Y. Finite Element Analysis of Microstructure Effect of Micromachining. China Mech. Eng. 2011, 22, 2369–2374. (In Chinese) [Google Scholar]
- Kim, C.J.; Mayor, J.R.; Ni, J. A static model of chip formation inmicro scale milling. J. Manuf. Sci. Eng. 2004, 126, 710–718. [Google Scholar] [CrossRef]
- Son, S.M.; Lim, H.S.; Ahn, J.H. Effects of the friction coefficient on the minimum cutting thickness in micro cutting. Int. Mach. Tools Manuf. 2005, 45, 529–535. [Google Scholar] [CrossRef]
- Lucca, D.A.; Rhorer, R.L.; Komanduri, R. Energy Dissipation in the ultraprecision Machining of Copper. CIRP Ann. 1991, 4, 69–72. [Google Scholar] [CrossRef]
- Wu, S.; Si, Q.; Jiang, A.; Dong, Z.; Liu, J.; Zhang, Q. Research progress on the influence of friction components on the properties of copper based friction materials. Powder Metall. Ind. 2024, 34, 107–115. [Google Scholar] [CrossRef]
- Wen, X.-L. Micro-Scale Grinding Mechanism and Related Basic Problems; Northeastern University: Boston, MA, USA, 2014. (In Chinese) [Google Scholar]
- Wang, H.; Lu, W.Z.; Xu, J.; Zhu, Y.S.; Huang, Q.C.; Zhang, L.F.; Zuo, D.W. Effect of rare earth (RE) on pack boronising process of titanium alloy. Surf. Eng. 2014, 30, 123–128. [Google Scholar] [CrossRef]
- Kahrobaee, Z.; Palm, M. Experimental investigation of Ti–Al–Si phase equilibria at 800–1200 °C. J. Alloys Compd. 2022, 924, 166223. [Google Scholar] [CrossRef]
- Zhou, P.; Xu, Y.; Zhou, H. Friction behavior of copper based powder metallurgy friction materials under harsh braking energy density. J. Cent. South Univ. 2024, 55, 3047–3059. [Google Scholar]
Disclaimer/Publisher’s Note: The statements, opinions and data contained in all publications are solely those of the individual author(s) and contributor(s) and not of MDPI and/or the editor(s). MDPI and/or the editor(s) disclaim responsibility for any injury to people or property resulting from any ideas, methods, instructions or products referred to in the content. |
© 2024 by the authors. Licensee MDPI, Basel, Switzerland. This article is an open access article distributed under the terms and conditions of the Creative Commons Attribution (CC BY) license (https://creativecommons.org/licenses/by/4.0/).