Resonance Suppression Method Based on Hybrid Damping Linear Active Disturbance Rejection Control for Multi-Parallel Converters
Abstract
1. Introduction
- (1)
- A third-order linear disturbance rejection controller (LADRC) with a linear extended-state observer and an error feedback control rate is designed based on LCL-type converter model analysis.
- (2)
- A hybrid damping control is proposed to reconstruct the damping characteristics of converters to suppress the parallel resonance spike and to reduce the resonance frequency offset.
- (3)
- The parameter selection of the control system is optimized through the stability analysis of tracking performance and anti-disturbance performance of the HD-ADRC controller.
2. Analysis of Fault Propagation Mechanism in DC Sub-Grid Coupling Characteristics Analysis of Parallel LCL-Type Converter
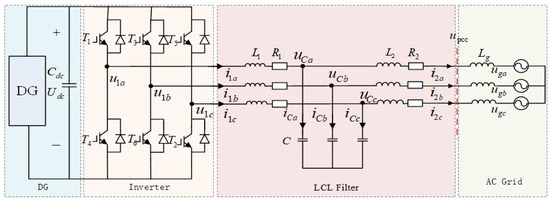
2.1. Modeling of the LCL-Type Converter
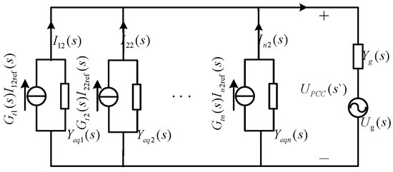
2.2. Modeling of Parallel LCL-Type Converters
3. Hybrid Damping-Linear Active Disturbance Rejection Control Framework
3.1. LADRC
3.2. Hybrid Damping Controller
4. Stability Analysis of LADRC
5. Simulation and Experimental Verification
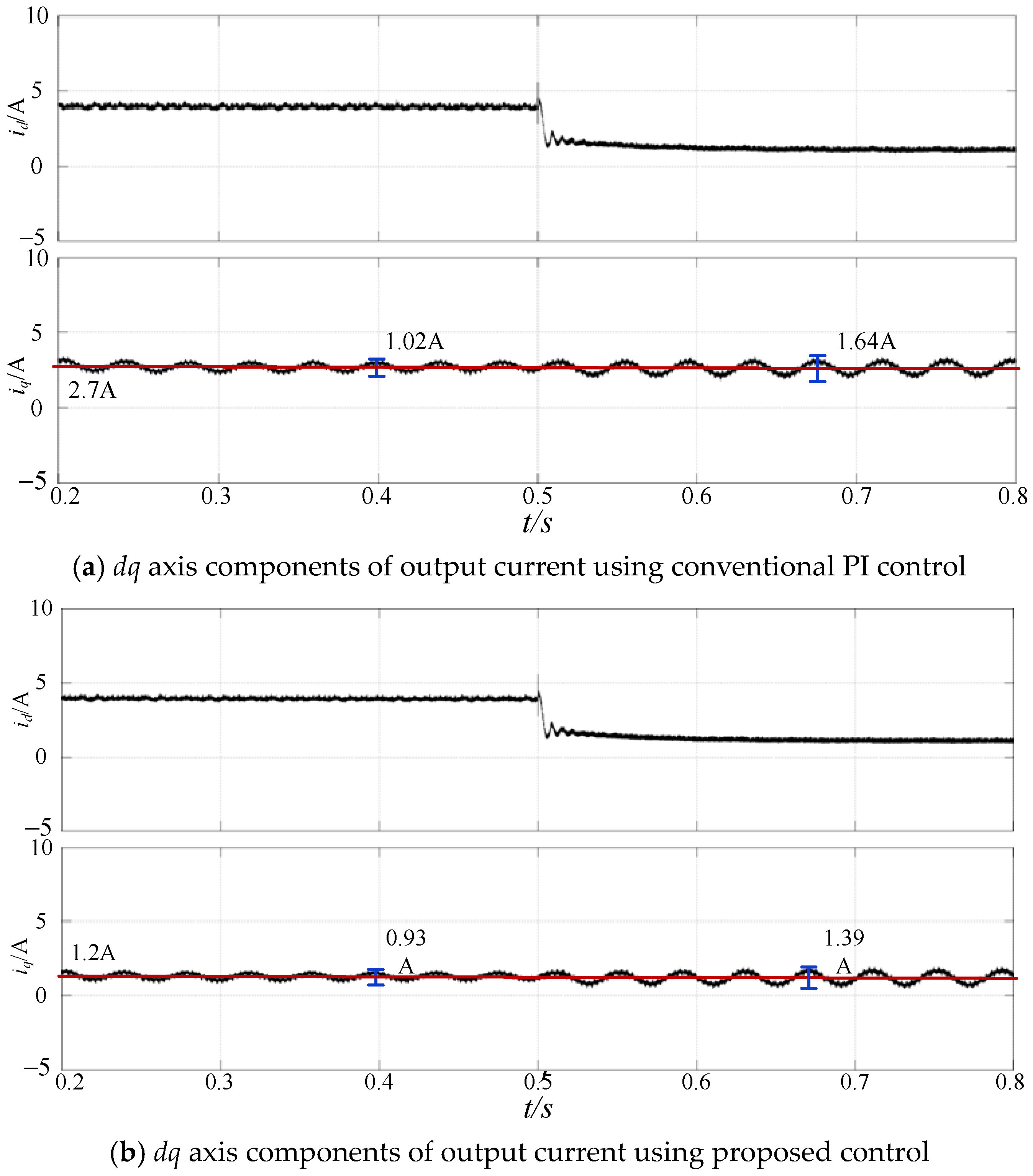
- Case 1: Comparative analysis of the internal decoupling in a single converter.
- Case 2: Comparative analysis of the internal decoupling in a single converter.
- Case 3: Comparative analysis of anti-disturbance performance in parallel converter system.
6. Discussion
7. Conclusions
Author Contributions
Funding
Data Availability Statement
Conflicts of Interest
Nomenclature
| Nomenclature | Indices and sets | Nomenclature | Indices and sets |
| i1k | converter side current | Udc | DC voltage |
| uck | filter capacitor voltage | Ts | sampling period |
| i2k | grid side current | Gt(s) | Norton equivalent controlled-current source coefficient |
| u1k | converter output voltage | Gt(s)i2ref(s) | equivalent controlled-current source |
| upcc | voltage of PCC | Yeq(s) | equivalent output admittance of the converter |
| i1d, i1q | dq components of converter side current i1k | Gi(s) | transfer function of PI controller |
| i2d, i2q | dq components of grid side current i2k | GLCL(s) | transfer function of LCL filter |
| ucd, ucq | dq components of filter capacitor voltage uck | Ginv(s) | gain of the transform bridge including digital control delay |
| Yg(s) | equivalent admittance of power grid | f0d, f0q | dq axis components of internal disturbances including coupling components |
| Ug(s) | ideal grid voltage | wd, wq | dq axis components of external disturbances |
| Zg | grid impedance | β1, β2, β3, β4 and ω0 | observer gains and bandwidth, respectively |
| v | reference input | u0 | proportional feedback controller of the system |
| b0 | controller gain | kp, k1 and k2 | controller gains |
| u | control output | ξ | damping coefficient |
| y | system output | fn | natural frequency of the system without damping |
| z1~z4 | observation values of the system state variables | b0 = 1/(L1CL2) | approximate estimation of the system control gain |
| Zc | capacitor current feedback coefficient | ∆b | system modeling error |
| Yc | capacitor voltage feedback coefficient | ud, ud | dq axis components of the control system output |
References
- Ana, F.; Antonio Vigueras, R.; Ángel, M.G. Analysis of power system inertia estimation in high wind power plant integration scenarios. IET Renew. Power Gener. 2019, 15, 2807–2816. [Google Scholar]
- Rakesh, K.P.; Abheejeet, M.; Suresh, C.S. Enhancing inertia of solar photovoltaic-based microgrid through notch filter-based PLL in SRF control. IET Gener. Transm. Distrib. 2020, 3, 379–388. [Google Scholar]
- Wang, Y.; Liu, B.; Duan, S. Modified virtual inertia control method of VSG strategy with improved transient response and power-supporting capability. IET Power Electron. 2019, 12, 3178–3184. [Google Scholar] [CrossRef]
- Zhang, B.; Han, X.; Ren, C.; Zhang, D.; Wang, L.; Song, T. Circulating Current Suppression Method with Adaptive Virtual Impedance for Multi-bidirectional Power Converters Under Unbalanced Conditions. CSEE J. Power Energy Syst. 2023, 1, 77–87. [Google Scholar]
- Zhang, R.; Zhang, C.; Xing, X.; Chi, S.; Liu, C.; Fang, J. Modeling and Attenuation of Common Mode Resonance Current for Improved LCL-Type Parallel Inverters in PV Plants. IEEE Trans. Ind. Inform. 2024, 20, 5193–5205. [Google Scholar] [CrossRef]
- Ruiz, G.E.M.; Muñoz, N.; Cano, J.B. Modeling, analysis and design procedure of LCL filter for grid-connected converters. In Proceedings of the 2015 IEEE Workshop on Power Electronics and Power Quality Applications (PEPQA), Bogota, Colombia, 2–4 June 2015; pp. 1–6. [Google Scholar]
- Li, X.; Xing, X.; Qin, C.; Zhang, C.; Zhang, G. Design and Control Method to Suppress Resonance Circulating Current for Parallel Three-Level Rectifiers with Modified LCL Filter. IEEE Trans. Ind. Electron. 2021, 68, 7012–7023. [Google Scholar] [CrossRef]
- Roldán-Pérez, J.; Bueno, E.J.; Peña-Alzola, R.; Rodríguez-Cabero, A. All-pass-filter-based active damping for VSCs with LCL filters connected to weak grids. IEEE Trans. Power Electron. 2018, 11, 9890–9901. [Google Scholar] [CrossRef]
- Zhang, B.; Han, X.; Meng, R.; Ren, C.; Wang, L.; Song, T.; Liu, Y. Adaptive virtual impedance control based on second-order generalized integral for circulating current suppression. J. Power Electron. 2021, 1, 13–26. [Google Scholar] [CrossRef]
- Zhang, B.; Han, X.; Jia, Y.; Meng, R.; Wang, L.; Ren, C.; Song, T. Research on Circulating Current Suppression Method of Paralleled Multi-bidirectional Power Converter Based on Unified Voltage Control. In Proceedings of the 2019 IEEE Power & Energy Society General Meeting (PESGM), Atlanta, GA, USA, 4–8 August 2019; pp. 1–5. [Google Scholar]
- Zhang, C.; Li, X.; Xing, X.; Zhang, B.; Zhang, R.; Duan, B. Modeling and Mitigation of Resonance Current for Modified LCL-Type Parallel Inverters with Inverter-Side Current Control. IEEE Trans. Ind. Inform. 2022, 18, 932–942. [Google Scholar] [CrossRef]
- Xia, Y.; Yu, M.; Peng, Y.; Wei, W. Modeling and Analysis of Circulating Currents Among Input-Parallel Output-Parallel Nonisolated Converters. IEEE Trans. Power Electron. 2018, 10, 412–8426. [Google Scholar] [CrossRef]
- Dong, D.; Wen, B.; Boroyevich, D.; Mattavelli, P.; Xue, Y. Analysis of Phase-Locked Loop Low-Frequency Stability in Three-Phase Grid-Connected Power Converters Considering Impedance Interactions. IEEE Trans. Ind. Electron. 2015, 1, 310–321. [Google Scholar] [CrossRef]
- Wu, W.; Sun, Y.; Huang, M.; Wang, X.; Wang, H.; Blaabjerg, F.; Liserre, M.; Chung, H.S.-H. A Robust Passive Damping Method for LLCL-Filter-Based Grid-Tied Inverters to Minimize the Effect of Grid Harmonic Voltages. IEEE Trans. Power Electron. 2014, 7, 3279–3289. [Google Scholar] [CrossRef]
- Saïd-Romdhane, M.B.; Naouar, M.W.; Slama-Belkhodja, I.; Monmasson, E. Robust Active Damping Methods for LCL Filter-Based Grid-Connected Converters. IEEE Trans. Power Electron. 2017, 32, 6739–6750. [Google Scholar] [CrossRef]
- Beres, R.N.; Wang, X.; Liserre, M.; Blaabjerg, F.; Bak, C.L. A Review of Passive Power Filters for Three-Phase Grid-Connected Voltage-Source Converters. IEEE J. Emerg. Sel. Top. Power Electron. 2016, 1, 54–69. [Google Scholar] [CrossRef]
- Yao, W.; Yang, Y.; Zhang, X.; Blaabjerg, F.; Loh, P.C. Design and analysis of robust active damping for LCL filters using digital notch filters. IEEE Trans. Power Electron. 2017, 3, 2360–2375. [Google Scholar] [CrossRef]
- Rathore, K.; Vakacharla, V.R. A Simple Technique for Fundamental Harmonic Approximation Analysis in Parallel and Series–Parallel Resonant Converters. IEEE Trans. Ind. Electron. 2020, 67, 9963–9968. [Google Scholar] [CrossRef]
- Zeng, C.; Wang, H.; Li, S.; Miao, H. Grid-Voltage-Feedback Active Damping with Lead Compensation for LCL-Type Inverter Connected to Weak Grid. IEEE Access 2021, 9, 106813–106823. [Google Scholar] [CrossRef]
- He, Y.; Wang, X.; Ruan, X.; Pan, D.; Qin, K. Hybrid Active Damping Combining Capacitor Current Feedback and Point of Common Coupling Voltage Feedforward for LCL-Type Grid-Connected Inverter. IEEE Trans. Power Electron. 2021, 36, 2373–2383. [Google Scholar] [CrossRef]
- Zhou, J.; Yao, Y.; Huang, Y.; Peng, F. Motor Current Feedback-Only Active Damping Controller with High Robustness for LCL-Equipped High-Speed PMSM. IEEE Trans. Power Electron. 2023, 38, 8707–8718. [Google Scholar] [CrossRef]
- Liu, J.; Sun, X.; Chen, Z.; Chi, Y.; Song, W.; Zhu, Q.; Wheeler, P. A Hybrid Multiresonances Suppression Method for Nonsynchronous LCL-Type Grid-Connected Inverter Clusters Under Weak Grid. IEEE Trans. Power Electron. 2024, 39, 5386–5399. [Google Scholar] [CrossRef]
- Ma, W.; Guan, Y.; Zhang, B.; Wu, L. Active Disturbance Rejection Control Based Single Current Feedback Resonance Damping Strategy for LCL-Type Grid-Connected Inverter. IEEE Trans. Energy Convers. 2021, 36, 48–62. [Google Scholar] [CrossRef]
- Li, Y.; He, J.; Liu, Y.; Ren, Y.; Li, Y.W. Decoupled Mitigation Control of Series Resonance and Harmonic Load Current for HAPFs with a Modified Two-Step Virtual Impedance Shaping. IEEE Trans. Ind. Electron. 2023, 70, 8064–8074. [Google Scholar] [CrossRef]
- Liu, Q.; Liu, F.; Zou, R.; Li, Y. Harmonic Resonance Characteristic of Large-Scale PV Plant: Modelling, Analysis, and Engineering Case. IEEE Trans. Power Deliv. 2022, 37, 2359–2368. [Google Scholar] [CrossRef]
- Shen, H.; Liu, Z.; Liu, W.; Wang, C.; Sun, X.; Yang, F.; Zhang, M. High Frequency Resonance Analysis and Resonance Suppression of a Grid-Connected Inverter Coupled with a Long Feeder. IEEE Trans. Power Deliv. 2023, 38, 926–936. [Google Scholar] [CrossRef]
- Ji, K.; Yang, Y. Harmonic Power Detection-Based Adaptive Resonance Suppression for Power Converters. IEEE Trans. Power Deliv. 2024, 39, 601–612. [Google Scholar] [CrossRef]
- Gao, Z. Scaling and bandwidth-parameterization based controller tuning. In Proceedings of the 2003 American Control Conference, Denver, CO, USA, 4–6 June 2003; Volume 6, pp. 4989–4996. [Google Scholar]
- Ouyang, Q.; Fan, K.; Liu, Y.; Li, N. Adaptive LADRC Parameter Optimization in Magnetic Levitation. IEEE Access 2021, 9, 36791–36801. [Google Scholar] [CrossRef]
- Xie, Z.; Chen, Y.; Wu, W.; Gong, W.; Zhou, L.; Zhou, X.; Guerrero, J.M. Admittance Modeling and Stability Analysis of Grid-Connected Inverter with LADRC-PLL. IEEE Trans. Ind. Electron. 2021, 12, 12272–12284. [Google Scholar] [CrossRef]
- Guo, C.; Li, H.; Wang, Z.; Hou, Y. Research on Compensation of Three-Phase Unbalanced Voltage of Microgrid Based on LADRC. In Proceedings of the 2020 5th International Conference on Power and Renewable Energy (ICPRE), Shanghai, China, 12–14 September 2020; pp. 424–428. [Google Scholar]
- Benrabah, A.; Xu, D.; Gao, Z. Active Disturbance Rejection Control of LCL-Filtered Grid-Connected Inverter Using Padé Approximation. IEEE Trans. Ind. Appl. 2018, 6, 6179–6189. [Google Scholar] [CrossRef]
- He, H.; Si, T.; Sun, L.; Liu, B.; Li, Z. Linear Active Disturbance Rejection Control for Three-Phase Voltage-Source PWM Rectifier. IEEE Access 2020, 8, 45050–45060. [Google Scholar] [CrossRef]
- Zhou, X.; Cui, Y.; Ma, Y. Fuzzy Linear Active Disturbance Rejection Control of Injection Hybrid Active Power Filter for Medium and High Voltage Distribution Network. IEEE Access 2021, 9, 8421–8432. [Google Scholar] [CrossRef]
- Wu, Y.; Xu, J.; Ling, Z.; Qian, H.; Xie, S. Full-Order State Observer Based Control for LCL-Filtered Grid-Connected Inverter with Only One Current Sensor. In Proceedings of the 2021 IEEE 16th Conference on Industrial Electronics and Applications (ICIEA), Chengdu, China, 1–4 August 2021; pp. 965–970. [Google Scholar]
- Yang, D.; Wang, X.; Blaabjerg, F. Investigation of the sideband effect for the LCL-type grid-connected inverter with high LCL resonance frequency. In Proceedings of the 2017 IEEE Energy Conversion Congress and Exposition (ECCE), Cincinnati, OH, USA, 1–5 October 2017; pp. 5601–5606. [Google Scholar]
- Wang, S.; Zhu, H.; Wu, M.; Zhang, W. Active Disturbance Rejection Decoupling Control for Three-Degree-of- Freedom Six-Pole Active Magnetic Bearing Based on BP Neural Network. IEEE Trans. Appl. Supercond. 2020, 30, 1–5. [Google Scholar] [CrossRef]
- Carreño-Zagarra, J.J.; Moreno, J.C.; Guzmán, J.L. Optimal Active Disturbance Rejection Control for Second Order Systems. IEEE Access 2024, 12, 76244–76256. [Google Scholar] [CrossRef]
- Li, M.; Wu, Z.-H.; Deng, F.; Guo, B.-Z. Active Disturbance Rejection Control to Consensus of Second-Order Stochastic Multiagent Systems. IEEE Trans. Control Netw. Syst. 2023, 10, 993–1004. [Google Scholar] [CrossRef]
- Zou, S.; Zhao, W.; Wang, C.; Liang, W.; Chen, F. Tracking and Synchronization Control Strategy of Vehicle Dual-Motor Steer-by-Wire System via Active Disturbance Rejection Control. IEEE/ASME Trans. Mechatron. 2023, 28, 92–103. [Google Scholar] [CrossRef]














| Ref. | Disturbance Model of LCL-Type Converter | Resonant Peak Suppression | Resonant Frequency Offset Suppression | Parallel Resonance Suppression |
|---|---|---|---|---|
| The proposed model | √ | √ | √ | √ |
| [14] | √ | |||
| [15] | √ | √ | ||
| [16] | √ | |||
| [8] | √ | √ | ||
| [17] | √ | √ | ||
| [19] | √ | |||
| [20] | √ | √ | ||
| [21] | √ | √ | ||
| [22] | √ | √ | √ | |
| [23] | √ | √ | ||
| [24] | √ | √ | ||
| [25] | √ | |||
| [26] | √ | |||
| [27] | √ |
| Parameters | Value |
|---|---|
| DC-Link | 800 V |
| L1, L2 | 3 mH, 1 mH |
| Cf | 15 μF |
| DC Capacitor | 1100 μF |
| AC Source Voltage | 220 V |
| Switching Frequency | 10 kHz |
| ξ | 0.707 |
| ωc | 4500 |
| ω0 | 9000 |
| Methods | THD Value |
|---|---|
| Method—Ⅰ | 5.33% |
| Method—Ⅱ | 12.88% |
| Method—Ⅲ | 9.56% |
| Method—Ⅳ | 4.66% |
Disclaimer/Publisher’s Note: The statements, opinions and data contained in all publications are solely those of the individual author(s) and contributor(s) and not of MDPI and/or the editor(s). MDPI and/or the editor(s) disclaim responsibility for any injury to people or property resulting from any ideas, methods, instructions or products referred to in the content. |
© 2024 by the authors. Licensee MDPI, Basel, Switzerland. This article is an open access article distributed under the terms and conditions of the Creative Commons Attribution (CC BY) license (https://creativecommons.org/licenses/by/4.0/).
Share and Cite
Qian, M.; Zhang, B.; Zhang, J.; Qin, W.; Chen, N.; Liu, Y. Resonance Suppression Method Based on Hybrid Damping Linear Active Disturbance Rejection Control for Multi-Parallel Converters. Processes 2024, 12, 2152. https://doi.org/10.3390/pr12102152
Qian M, Zhang B, Zhang J, Qin W, Chen N, Liu Y. Resonance Suppression Method Based on Hybrid Damping Linear Active Disturbance Rejection Control for Multi-Parallel Converters. Processes. 2024; 12(10):2152. https://doi.org/10.3390/pr12102152
Chicago/Turabian StyleQian, Minhui, Baifu Zhang, Jiansheng Zhang, Wenping Qin, Ning Chen, and Yanzhang Liu. 2024. "Resonance Suppression Method Based on Hybrid Damping Linear Active Disturbance Rejection Control for Multi-Parallel Converters" Processes 12, no. 10: 2152. https://doi.org/10.3390/pr12102152
APA StyleQian, M., Zhang, B., Zhang, J., Qin, W., Chen, N., & Liu, Y. (2024). Resonance Suppression Method Based on Hybrid Damping Linear Active Disturbance Rejection Control for Multi-Parallel Converters. Processes, 12(10), 2152. https://doi.org/10.3390/pr12102152

