Abstract
In recent years, the use of solvent-free reactions represents a challenge for organic chemists, since it would help to optimize methodologies and contribute to the development of sustainable chemistry. In this regard, our research group has intensified efforts in the search for reactions that can be carried out in the absence of a solvent. In this paper, we present a protocol for the aza-Michael addition of benzylamine to α,β-unsaturated esters to prepare N-benzylated β-amino esters in the presence of catalytic amounts of DBU (0.2 eq) via solvent-free reaction. Depending on the α,β-unsaturated esters, we observed a reduction in reaction times, with good to excellent yields for aza-Michael addition.
1. Introduction
In the past decade, organocatalysis has been the focus of extensive studies due to its significant advantages over catalysis by metal-containing species, including lower toxicity. For example, hypervalent iodine compounds (HICs) are widely used in organic synthesis due to their high reactivity and low toxicity [1]. It has been demonstrated that theiodotetrazolium salts and diazolium- and triazolium-based organo-catalysts effectively catalyze an extensive series of organic transformations, including Michael additions. Recently, it was shown that hypervalent iodine(III) derivatives (i.e., diaryliodonium salts) exhibit high catalytic activity [2,3]. Considering the highly promising catalytic properties of thediaryliodonium salts, a reliable model for DFT calculations has been suggested [4].
Currently, for the development of new methodologies in organic synthesis, sustainable points of view must be considered [5]. This is why Green Chemistry recommends a series of procedures, such as the use of new ecological reagents and catalysts; more environmentally friendly solvents; and the use of supercritical fluids [6], ionic liquids [7], and solvent-free reactions [8]. Within solvent-free methodology, activation techniques such as ultrasound [9], microwaves (MW) [10], or mechanochemistry could be used [11]. In this sense, the scope of applications in organic synthesis is very extensive and includes, for example, heterocyclic chemistry; organometallic chemistry; and radio-, photo-, and combinatorial chemistry [12,13,14,15].
On the other hand, the use of microwaves is an enhanced method from classical heating methods and allows for a reduction in reaction times, obtains higher yields, avoids side products, and therefore simplifies the purification processes, as well as enables carrying out novel transformations and performing reactions that could not take place under conventional thermal conditions [16]. These advantages have encouraged many research groups to apply this technique to optimize the daily synthetic process, as well as the synthesis of new compounds. In this way, there is a diverse group of chemical reactions successfully performed through microwaves—Suzuki couplings [17], Claisen rearrangements [18], Mitsunobu reactions [19], Michael additions [20,21], and many more [22]. In particular, Michael addition is one of the most versatile reactions in organic synthesis, and one of the most useful applications of this process is the synthesis of β-amino acids and derivatives [23,24], which can also be carried out under asymmetric conditions by employing chiral auxiliaries [25,26].
As reported by our research group, we developed a methodology for aza-Michael additions of benzylamine to α,β-unsaturated esters to obtain racemic β-amino esters with microwaves [27] and their subsequent enzymatic resolution with Lipase B from Candida Antarctica (CAL-B) [28].
On the other hand, 1,8-diazabicyclo[5.4.0]undec-7-ene (DBU) has excellent catalytic activity in Baylis–Hillman reaction, as reported by Aggarwal, and was found to be far superior to other tertiary amines [29]. In this regard, Kim et al. examined DBU as a promoter for the aza-Michael reaction and developed a practical and versatile method with a sub-stoichiometric amount of DBU [30], although it is noteworthy that they used CH3CN as a solvent.
Considering that the use of solvent-free reactions is especially important and interesting, in the present research project, we decided to combine solvent-free conditions and MW irradiation in the synthesis of N-benzylated β-amino esters in the presence of catalytic amounts of DBU (0.2 eq) to reduce reaction times, with the additional advantages of the eco-friendly approach.
2. Materials and Methods
2.1. Materials
Experimental Part
General. All chemicals were obtained commercially (Sigma-Aldrich, Toluca, Mexico) and used without further purification. Reactions were monitored by TLC on Al plates coated with silica gel with fluorescent indicator (60 F254). Column chromatography (CC) was performed on silica gel (230–400 mesh Merck, Darmstadt, Germany). Melting points were measured in open capillary tubes using a Melt-temp electrothermal apparatus and were uncorrected. The reactions with microwaves were carried out in Discover CEM equipment. NMR Spectra: Varian Gemini at 200 (1H) and 50 MHz (13C), Varian Inova at 400 (1H) and 100 MHz (13C), Bruker AVANCE III HD 500 MHz (1H) and 125 MHz (13C); spectra were obtained in chloroform-D (99.8%) +0.03% v/v TMS from Cambridge Isotope Laboratories, Inc. (Tewksbury, MA, United States). The chemical shift (δ in ppm rel. to Me4Si as internal standard) was J in Hz. HR-MS: MStation JMS-700 JEOL apparatus, in m/z. For more details see Supplementary Material.
Method for (rac)-methyl 3-(benzylamino)-3-(4-nitrophenyl)propanoate (3), (E)-N-benzyl-3-(4-nitrophenyl)acrylamide (4). Into a glass microwave reaction vessel, a 5 mL flask provided with magnetic stirrer, the following were added: methyl 3-(4-nitrophenyl)acrylate 1 (0.5 mmol), benzylamine (2 mmol), and DBU (30 µL, 0.1 mmol). The reaction was heated at 75 °C and 75 W in microwave for 10 min. After completion, the reaction was purified on column; hexane/ethyl acetate 80:20 was used for separation. Compound 3. Yield: 32%. 1H NMR (600 MHz, CDCl3): δ 2.04 (s, 1H), 2.62 (dd, J = 15.9, 5.2 Hz, 1H), 2.72 (dd, J = 15.9, 8.6 Hz, 1H), 3.54 (d, J = 13.2 Hz, 1H), 3.63 (d, J = 12.3 Hz, 1H), 3.64 (s, 3H), 4.23 (dd, J = 8.6, 5.2 Hz, 1H), 7.22–7.34 (m, 5H), 7.57 (d, J = 8.7 Hz, 2H), 8.22 (d, J = 8.7 Hz, 2H). 13C NMR (150 MHz, CDCl3): δ 42.4, 51.5, 51.9, 58.3, 124.0, 127.3, 128.1, 128.2, 128.6, 139.6, 147.5, 150.3, 171.6. Compound 4. 1H NMR (600 MHz, CDCl3) δ 4.59 (d, J = 5.6 Hz, 2H), 6.09 (s, 1H), 6.55 (d, J = 15.6 Hz, 1H), 7.28–7.39 (m, 5H), 7.63 (d, J = 8.7 Hz, 2H), 7.72 (d, J = 15.6 Hz, 1H), 8.22 (d, J = 8.7 Hz, 2H). 13C NMR (150 MHz, CDCl3) δ 44.2, 124.3, 124.6, 127.9, 128.1, 128.5, 129.0, 137.8, 139.0, 141.1, 148.3, 164.7. Data were consistent with those reported [31].
Method for (rac)-tert-butyl 3-(benzylamino)-3-(4-nitrophenyl)propanoate (5). Into a glass microwave reaction vessel, a 5 mL flask provided with magnetic stirrer, the following were added: tert-butyl 3-(4-nitrophenyl)acrylate 2 (0.5 mmol), benzylamine (2 mmol), and DBU (30 µL, 0.1 mmol). The reaction was heated at 75 °C and 75 W in microwave for 10 min. After completion, the reaction was purified on column; hexane/ethyl acetate 80:20 was used for separation. Yield: 44%. 1H NMR (200 MHz, CDCl3) δ (ppm) 1.38 (s, 9H), 1.99 (br, 1H), 2.48–2.71 (m, 2H), 3.46–3.66 (t, 2H), 4.10–4.23 (m, 1H), 7.12–8.28 (m, 9H). 13C NMR (50 MHz, CDCl3) δ (ppm) 28.0, 43.7, 51.54, 58.6, 81.2, 123.7, 127.1, 128.0, 128.1, 128.4, 139.6, 150.5, 170.2. FAB-MS: 357 ([M + H]+). HR-FAB-MS: 357.18 ([M + H]+, C7H14NO+; calc. 356.42).
Method for (rac)-methyl 3-(benzylamino)-3-(4-methoxyphenyl)propanoate (8) and N-benzyl-3-(4-methoxyphenyl)acrylamide (9). Into a glass microwave reaction vessel containing a magnetic stirrer, the following were added: methyl 3-(4-methoxyphenyl)acrylate 6 (1 mmol), benzylamine (4 mmol), and DBU (30 µL, 0.2 mmol). The mixture was placed in Discover CEM equipment at 130 °C, 100 W (20 W), and 1 psi for 2 h. After completion, the reaction was concentrated to dryness and purified on column; hexane/ethyl acetate 95:5 to 80:20 was used for separation. Compound 8. Yield: 38%. (yellow oil). 1H NMR (200 MHz, CDCl3), δ (ppm), 1.92 (s, 1H), 2.66 (m, 2H), 3.63 (s, 3H), 3.42–3.73 (m, 2H), 3.81 (s, 3H), 4.07 (m, 1H), 6.79–7.43 (m, 9H); 13C NMR (50MHz, CDCl3), δ (ppm) 43.1, 51.3, 51.7, 55.3, 58.3, 114.1, 127.0, 128.2, 128.3, 128.4, 134.6, 140.4, 159.1, 172.4. Elemental analysis for C18H21NO3: Observed: %C = 74.0614, %H = 7.7957, %N = 4.0996, Calculated: %C = 73.8730, %H = 7.9700, %N = 4.1015. Compound 9. Yield: 10%. 1H NMR (200 MHz, CDCl3), δ (ppm), 3.81 (s, 3H), 4.52 (d, J = 6.2 Hz, 2H), 6.16 (br, 1H), 6.27 (d, J = 6 Hz, 1H), 6.74–7.54 (m, 9H), 7.58 (d, J = 8 Hz, 1H). 13C NMR (50 MHz, CDCl3), δ (ppm), 43.9, 55.4, 114.3, 118.2, 127.6, 127.9, 128.8, 129.4, 138.4, 141.0, 161.0, 166.3. Data were consistent with those reported [32,33].
Method for (rac)-tert-butyl 3-(benzylamino)-3-(4-methoxyphenyl)propanoate (10). Into a glass microwave reaction vessel containing a magnetic stirrer, the following were added: tert-butyl 3-(4-methoxyphenyl)acrylate 7 (1 mmol), benzylamine (4 mmol), and DBU (30 µL, 0.2 mmol). The mixture was placed in Discover CEM equipment at 130 °C, 100 W (20 W), and 1 psi for 2 h. After completion, the reaction was concentrated to dryness and purified on column; hexane/ethyl acetate 95:5 to 80:20 was used for separation. Yield: 39%. (mp 64–66 °C). 1H NMR (200 MHz CDCl3), δ (ppm), 1.37 (s, 9H), 2.04 (br, 1H), 2.42–2.79 (m, 2H), 3.44–3.68 (m, 2H), 3.82 (s, 3H), 4.05 (m, 1H), 6.67–7.46 (m, 9H); 13C NMR (50MHz CDCl3), δ (ppm) 28.0, 44.3, 51.3, 55.2, 58.5, 80.5, 113.8, 126.8, 128.3, 134.7, 140.4, 158.8, 171.1. Anal. Calcd for C21H27NO3: C, 73.87; H, 7.97; N, 4.10. Found: C, 74.0611; H, 7.7957; N, 4.0996.
Method for (rac)-methyl 3-(benzylamino)-3-phenylpropanoate (13). Into a flask containing a magnetic stirrer, the following were added: methyl 3-phenylacrylate 11 (0.62 mmol), benzylamine (2.48 mmol), and DBU (18.5 µL, 0.124 mmol). The mixture was placed in an oil bath at 75 °C for 4 h. After completion, the reaction was concentrated to dryness and purified on column; hexane/ethyl acetate 95:5 to 80:20 was used for separation. Yield: 59% (amber oil). 1H NMR (500 MHz, CDCl3), δ (ppm): 2.25 (br, 1H), 2.64 (dd, J = 15.6, 5.2 Hz, 1H), 2.75 (dd, J = 15.6, 8.8 Hz, 1H), 3.54 (d, J = 13.2 Hz, 1H), 3.63 (s, 3H), 3.66 (d, J = 13.2 Hz, 1H), 4.12 (dd, J = 8.8, 5.2 Hz, 1H), 7.22–7.37 (m, 10H); 13C NMR (125 MHz, CDCl3), δ (ppm): 42.7, 51.2, 51.6, 58.8, 126.9, 127.1, 127.6, 128.2, 128.3, 128.6, 140.0, 142.2, 172.2. Data were consistent with those reported [32].
Method for (E)-N-benzyl-3-phenylpropenamide (14). Into a glass microwave reaction vessel containing a magnetic stirrer, the following were added: methyl 3-phenylacrylate 11 (1 mmol), benzylamine (4 mmol), and DBU (30 µL, 0.2 mmol). The mixture was placed in Discover CEM equipment at 130 °C, 150 W, and 1 psi for 1.5 h. After completion, the reaction was concentrated to dryness and purified on column; hexane/ethyl acetate 95:5 to 80:20 was used for separation. Yield: 32% (white solid, mp 110–120 °C). 1H NMR (500 MHz, CDCl3), δ (ppm) 4.57 (d, J = 5.8 Hz, 2H), 6.00 (br, 1H), 6.42 (d, J = 15.6 Hz, 1H), 7.26–7.50 (m, 10 H), 7.67 (d, J = 15.6 Hz, 1H,). 13C NMR (125 MHz, CDCl3), δ (ppm): 44.0, 120.5, 127.7, 127.9, 128.0, 128.9, 128.9, 129.8, 134.9, 138.3, 141.5, 165.8. Data were consistent with those reported [31].
Method for (rac)-tert-butyl 3-(benzylamino)-3-phenylpropanoate (15). Into a glass microwave reaction vessel containing a magnetic stirrer, the following were added: tert-butyl 3-phenylacrylate 12 (1 mmol), benzylamine (4 mmol), and DBU (30 µL, 0.2 mmol). The mixture was placed in Discover CEM equipment at 130 °C, 150 W, and 1 psi for 6 h. After completion, the reaction was concentrated to dryness and purified on column; hexane/ethyl acetate 95:5 to 80:20 was used for separation. Yield: 74.34% (yellow oil), 1H NMR (200 MHz, CDCl3), δ (ppm), 1.36 (s, 9H), 2.10 (br, 1H), 2.57 (m, 2H), 3.56 (m, 2H), 4.08 (m, 1H), 7.11–7.43 (m, 10H); 13C NMR (50 MHz, CDCl3), δ (ppm), 28.0, 44.3, 51.4, 59.2, 80.6, 126.8, 127.2, 127.3, 128.1, 128.3, 128.4, 140.4, 142.7, 171.04. Data were consistent with those reported [34].
Method for (rac)-methyl 3-(benzylamino)butanoate (17). Into a glass microwave reaction vessel containing a magnetic stirrer, the following were added: methyl crotonate 16 (1 mmol) and benzylamine (4 mmol). The mixture was placed in Discover CEM equipment at 75 °C and 50 W (15 W) for 4 h. After completion, the reaction was purified by FC (hexane/ethyl acetate 8:2 to 60:40). Yield: 73%. (yellow oil). 1H NMR (200 MHz, CDCl3), δ (ppm), 1.16 (d, J = 5.9 Hz, 3H), 1.87 (br, 1H), 2.63–2.11 (m, 2H), 3.16 (m, 1H), 3.67 (s, 3H), 3.79 (d, J = 5.9 Hz), 7.21–7.33 (m, 5H), 13C NMR (150 MHz, CDCl3), δ (ppm), 20.5, 41.5, 49.7, 51.2, 51.6, 127.0, 128.1, 128.5, 140.4, 172.8. Spectroscopy data were compared with those reported [31].
Method for (rac)-methyl 3-(benzylamino)-2-methylpropanoate (19). A mixture of methyl methacrylate 18 (1 mmol), benzylamine (1 mmol,) and DBU (0.02 mmol, 3.98 µL) was placed into a microwave reaction vial provided with a magnetic stirrer. The capped vial was placed in microwave synthesis equipment at 75 °C and 50 W for 4 h. The crude product was purified by FC (hexane/ethyl acetate 98:2 to 90:10) to produce (±)-19. Yield: 87% (colorless oil). 1H NMR (200 MHz CDCl3), δ (ppm), 1.18 (d, J = 4 Hz, 3H); 1.61 (br, 1H), 2.54–2.76 (m, 1H), 2.78–2.98 (m, 2H), 3.68 (s, 3H), 3.79 (s, 2H), 7.09–7.49 (m, 5H). 13C NMR (50 MHz CDCl3), δ (ppm) 15.4, 40.2, 51.5, 52.1, 53.7, 127.0, 128.1, 128.1, 128.5, 128.5, 140.4, 176.4. Spectroscopy data were compared with those reported [31].
Method for (rac)-ethyl 3-(benzylamino)-2-phenylpropanoate (21). Into a 10 mL flask provided with magnetic stirrer, the following were added: ethyl 2-phenylacrylate 20 (0.43 mmol), benzylamine (0.43 mmol), and DBU (0.2 mmol, 1.3 µL). The reaction was kept at room temperature for 30 min. After, it was purified on column; hexane/ethyl acetate 8:2 was used for separation. Yield: 56% (colorless oil). 1H NMR (500 MHz, CDCl3) δ (ppm), 1.06 (t, J = 2 Hz, 3H), 1.63 (br, 1H), 2.92 (dd, J = 5, 5.1 Hz), 3.28 (dd, J = 5, 5 Hz, 2H), 3.80 (s, 1H), 3.82 (dd, J = 4, 4 Hz, 1 H), 4.08–4.19 (m, 2 H), 7.21–7.33 (m, 10H). 13C NMR (75 MHz CDCl3), δ (ppm), 14.3, 52.3, 53.8, 61.0, 127.1, 127.6, 128.2, 128.2, 128.6, 128.9, 137.6, 140.3, 173.3 Spectroscopic data were compared with those reported [30].
Method for methyl 3-(benzylamino)propanoate (23) and dimethyl 3,3′-(benzylazanediyl)dipropionate (24). Into a 10 mL flask provided with magnetic stirrer, the following were added: methyl acrylate 22 (1 mmol) and benzylamine (1.1 mmol). The mixture was cooled to 0 °C after 2.5 h. After completion of the reaction, the crude product was purified by FC (hexane/ethyl acetate 8:2). Compound 23 Yield: 56% (colorless oil). 1H NMR (200 MHz, CDCl3), δ (ppm) 1.83 (s, 1H), 2.53 (t, J = 6.0 Hz, 2H), 2.89 (t, J = 3.37 Hz, 2H), 3.67 (t, J = 6.0 Hz, 2H), 3.80 (s, 2H), 7.30 (m, 5H). 13C NMR (50 MHz, CDCl3) δ (ppm), 34.5, 44.4, 51.5, 53.7, 126.9, 128.0, 128.3, 140.1, 173.1. Compound 24 Yield: 5%. 1H NMR (200 MHz, CDCl3), δ (ppm) 2.47 (t, J = 6 Hz, 4H), 2.80 (t, J = 6 Hz, 4H), 3.58 (s, 2H), 3.64 (s, 6H) 7.27 (m, 5H). 13C NMR (50 MHz, CDCl3) δ (ppm) 32.6, 49.2, 51.4, 58.3, 127.0, 128.1, 128.6, 138.9, 172.8. Spectroscopic data were compared with those reported [27].
3. Results
3.1. Aza-Michael Addition of Benzylamine to Methyl and Tert-Butyl 3-(4-Nitrophenyl)acrylate
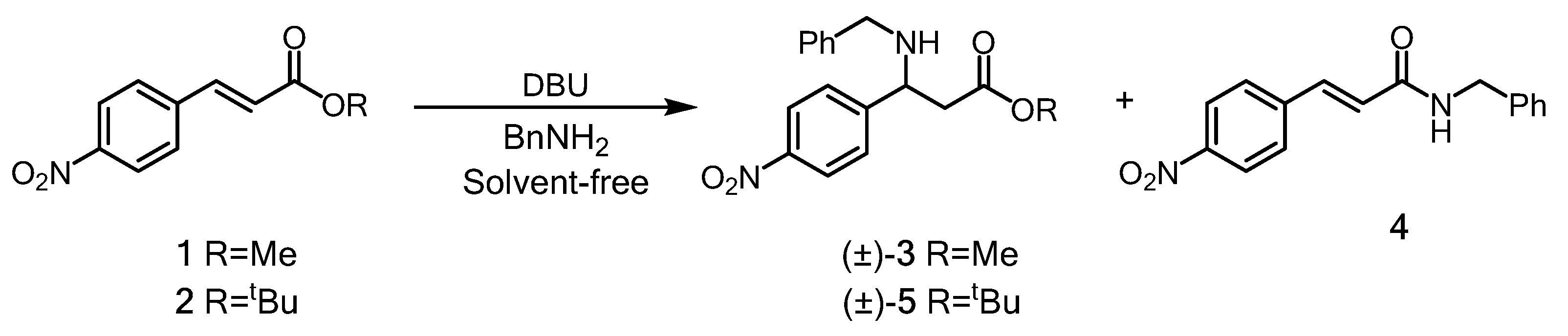
To evaluate the effect of electron-withdrawing groups such as nitro on aromatic rings, a reaction was carried out between methyl 3-(4-nitrophenyl)acrylate and 4 equivalents of benzylamine (Scheme 1). We started with a reaction in microwave conditions with 75 W of power for 5 min at 75 °C; after chromatographic column aza-Michael addition, product 3 was isolated with only 18.4% yield and traces of the 1,2-addition product 4 (Entry 1, Table 1).
Scheme 1.
Aza-Michael addition of benzylamine to methyl 3-(4-nitrophenyl)acrylate 1.
Table 1.
Aza-Michael addition of benzylamine to methyl 3-(4-nitrophenyl)acrylate 1.
By increasing the reaction time to 10 min with the same conditions (Entry 2), the yield was improved to 32%. Temperature was increased from 75 to 100 °C (Entry 3), but yield did not improve, and the same was true when increasing the reaction time (Entry 4). To compare the result without the use of a microwave, we performed an experiment using an oil bath (Entry 5) under the same conditions as Entry 1, and we only obtained 15%. We decided to increase the time reaction to 2 h (Entry 6), and surprisingly, the yield raised to 63%. In Entry 7, we used a solvent to learn the effect, and what we noted was that the reaction was slower than when a 19% yield was not used (Entry 7).
In order to favor aza-Michael addition, the methyl ester was changed to tert-butyl ester. In Table 2, Entry 1, ester 2 was mixed with 4 eq. of benzylamine at 75 °C and 0.2 eq. of DBU using a microwave at 75 W for 10 min and obtained a 44% yield for Michael addition 5. For Entry 2, the reaction time was increased up to 50 min and yielded 45%. The temperature was increased up to 90 °C (Entry 3), obtaining a 36% yield. Despite increasing the temperature and reaction time and using a solvent, the yield did not increase, so the best conditions are those from Entry 1.
Table 2.
Aza-Michael addition of benzylamine to tert-butyl 3-(4-nitrophenyl)acrylate 2.
3.2. Aza-Michael Addition of Benzylamine to Methyl and Tert-Butyl 3-(4-Methoxyphenyl)acrylate
In Table 3, the effect of an electron-donor group on an aromatic ring, as a methoxy group, in the addition of benzylamine to methyl and tert-butyl 3-(4-methoxyphenyl)acrylates 6 and 7 is shown (Scheme 2). We started with the same conditions of microwave of methyl 3-(4-nitrophenyl)acrylate 1 to compare the effect of the group in the aromatic ring (Entry 1). After heating over 10 min at 75 °C in MW conditions using 0.2 eq. of DBU, we did not observe TLC. The time reaction was raised until 2 h, and the yield was 10% of aza-Michael addition 8 and 38% of 1,2-addition 9 (Entry 2).
Table 3.
Reaction conditions for aza-Michael addition of benzylamine to methyl 3-(4-methoxyphenyl)acrylate 6.
Scheme 2.
Aza-Michael addition of benzylamine to methyl 6 and tert-butyl 7 3-(4-methoxyphenyl)acrylate.
To compare the result without the use of a microwave, we performed an experiment using an oil bath under the same conditions as Entry 2 for 3 h, and we only obtained 30% of 1,2-addition product 9 (Entry 3). For Entry 4, the temperature was decreased to 75 °C, and after 16 h, we obtained 19% of aza-Michael addition product 8 and 70% of 1,2-addition product 9.
Despite increasing the temperature and reaction time and using a microwave or oil bath, we observed that the major product was 1,2-addition 9 in all entries.
In order to increase the aza-Michael addition product, a bulkier Michael acceptor was used (Table 4). For Entry 1, tert-butyl 3-(4-methoxyphenyl)acrylate (7) was reacted under Entry 1 (Table 3) conditions, and after 10 min, no reaction was observed. Employing the same condition again from Table 3, Entry 2, we noted an increase in the yield of the Michael product. In order to improve yield, the reaction time was increased up to 6 h, but only yielded 22% of product 10 (Scheme 2); also, decomposition products began to be observed by TLC.
Table 4.
Reaction conditions for aza-Michael addition of benzylamine to tert-butyl 3-(4-methoxyphenyl)acrylate 7.
3.3. Aza-Michael Addition of Benzylamine to Methyl and Tert-Butyl 3-Phenylacrylate
First, benzylamine was added to methyl 3-phenylacrylate 11 under MW conditions, with the following factors: 130 °C, 150 W, solvent-free, and DBU (Table 5, Entry 1). After 1.5 h, only the 1, 2-addition product 14 with 32% yield was isolated without traces of aza-Michael addition 13 (Scheme 3).
Table 5.
Reaction conditions for Aza-Michael addition of benzylamine to methyl 3-phenylacrylate 11.
Scheme 3.
Aza-Michael addition of benzylamine to methyl 3-phenylacrylate 11 and tert-butyl 3-phenylacrylate 12.
It was proposed to make the addition reaction of benzylamine over 11 without microwave, in solvent-free conditions at 75 °C and in an oil bath for 4 h (Entry 2). Both the formation of the 1,4-addition product 13 and 1,2-addition 14 at a yield of 59 and 22%, respectively, were observed. In Entry 3, we decided to raise the time reaction to improve the yield of 13, but we observed that the yield was the worst and the proportion of the 1,2-addition product was higher.
Considering that a bulkier ester could change selectivity, tert-butyl cinnamate 12 was used as a Michael acceptor. Under the same condition as Table 5 (Entry 1), benzylamine was added to tert-butyl 3-phenylacrylate 12, and after 1.5 h, only 1,4-addition product 15 was insolated without traces of 1,2-addition (Table 6, Entry 1). In Entry 2, after 2 h, the yield increased up to 48%, and if time increased to 6 h, it yielded 74%.
Table 6.
Reaction conditions for aza-Michael addition of benzylamine to tert-butyl 3-phenylacrylate 12.
Thinking that a higher temperature would improve yield, it was set to 160 °C, but contrary to expectations, the yield did not improve (Entry 4 after 2 h). The best reaction conditions found were under solvent-free and DBU conditions (Entry 3): employing microwaves at 130 °C and 150 W over 6 h gave a 74% yield of compound 15 after isolation.
3.4. Aza-Michael Addition of Benzylamine to Methyl Crotonate 16
Under MW conditions at 75 °C, 50 W, and 4 h without using DBU as a base, only aza-Michael Addition product 17 was isolated at a 73% yield (Scheme 4, Table 7, Entry 1).
Scheme 4.
Aza-Michael addition of benzylamine to methyl crotonate 16.
Table 7.
Reaction conditions for aza-Michael addition of benzylamine to methyl crotonate 16.
Despite using DBU (Entry 2), increasing equivalents of benzylamine (Entry 3), or even using a solvent (Entry 4), the reaction proceeded with a lower yield compared to Entry 1. As can be seen, solvent-free conditions favor yield, and DBU does not benefit the reaction.
3.5. Aza-Michael Addition of Benzylamine to Methyl Methacrylate 18
The aza-Michael addition of benzylamine to α-substituted α,β-unsaturated esters was also explored. This kind of addition had been carried out in our group [27] but using a solvent; in this work, we set out to perform this addition under solvent-free conditions (Scheme 5).
Scheme 5.
Aza-Michael addition of benzylamine to methyl methacrylate 18.
The first approach employing benzylamine and methyl methacrylate (Scheme 5) was carried out under microwaves at 130 °C and 50 W power, without DBU but solvent-free conditions. After 4 h, only 25% yield for product 19 was isolated (Table 8, Entry 1). In a second experiment, DBU was added at 0.2 eq. in order to increase yield. After 4 h (Entry 2), a 27% yield was isolated, and we also observed the yield after 2 h (Entry 3). For Entry 4, the temperature was decreased to 75 °C and 50 W power, without DBU in solvent-free conditions, and after 4 h, only a 15% yield was isolated. However, when 0.2 eq. of DBU was used (Entry 5) over 2 h, a 75% yield was isolated, and after 4 h (Entry 6), it gave an 83% yield, but increasing time further did not increase yield (Entry 7).
Table 8.
Reaction conditions for aza-Michael addition of benzylamine to methyl methacrylate 18.
3.6. Aza-Michael Addition of Benzylamine to Ethyl 2-Phenylacrylate 20
Ethyl 2-phenylacrylate 20 was mixed with benzylamine at room temperature and in solvent-free conditions without DBU (Table 9, Entry 1); after 1.5 h, a 30% yield was isolated for compound 21 (Scheme 6). By adding DBU, after 30 min (Entry 2), it gave a 56% yield. This is the last example where it was clearly observed that DBU lowers reaction times and increases yields. In Entry 3, the temperature was increased to 60 °C, without DBU; after 2 h of reaction, the yield increased to 90%. In Entry 4, 0.1 eq. of DBU was added, and after 30 min, a 70% yield of 21 was obtained, but in this case, the 1,2 addition product was observed.
Table 9.
Reaction conditions for aza-Michael addition of benzylamine to ethyl 2-phenylacrylate 20.
Scheme 6.
Aza-Michael addition of benzylamine to ethyl 2-phenylacrylate 20.
In Entry 5, the reaction time was reduced to only 10 min, obtaining a yield of 88% for product 21. Finally, for Entry 6, the amount of DBU was reduced to only 5 mol%, and after 10 min, a yield of 96% was obtained.
3.7. Aza-Michael Addition of Benzylamine to Methyl Acrylate 22
As has been reported in our research group [27], this reaction takes place in a short time, so we decided to carry it out at room temperature (rt) over 2.5 h, and two products were obtained (Table 10, Entry 1). One corresponded to aza-Michael addition 23, and the other corresponded to double addition 24 (Scheme 7). After purification by column chromatography, the isolated ratio was 95:5, with a 41% yield for 23 and only 2% for 24. As reported before by Escalante et al. [27], the reaction was carried out without DBU, but using MW and methanol as a solvent over 3 min and at 65 °C, the isolated ratio was 90:10 for 23 and 24. As observed, a higher selectivity for 23 was obtained under solvent-free conditions.
Table 10.
Reaction conditions for aza-Michael addition of benzylamine to methyl acrylate 22.
Scheme 7.
Aza-Michael addition of benzylamine to methyl acrylate 22.
In a second experiment trying to increase 23 yields (Entry 2), 0.2 eq. of DBU was added, but the ratio of 23:24 was worse than Entry 1 (65:35). Finally, to optimize the reaction conditions and to avoid double addition product, a reaction was carried out at 0 °C over 2.5 h (Entry 3). After purification by column chromatography, the ratio was 92:8, with a 56% yield for 23 and 5% for 24, obtaining a very good yield for product 23.
4. Conclusions
In summary, a solvent-free method has been developed for the aza-Michael addition of benzylamines to α,β-unsaturated esters. When esters with less steric hindrance were used, the nucleophile was added 1,2-; on the other hand, when using an ester with greater steric hindrance, aza-Michael addition was carried out. Furthermore, when the aromatic system has an electron-withdrawing group such as -NO2, aza-Michael addition is favored in very short times, even without microwaves. Finally, α,β-unsaturated esters featuring substituents in the β-position were employed, resulting in yields nearly twofold compared to those achieved without using DBU and within notably brief reaction periods of 10 min.
Supplementary Materials
The following supporting information can be downloaded at: https://www.mdpi.com/article/10.3390/pr12010034/s1, Experimental Part.
Author Contributions
Conceptualization, J.E.; methodology, L.C.-H., J.D.B.-M., A.B.A.-C. and S.G.F.-O.; validation, L.C.-H., J.D.B.-M., A.B.A.-C. and S.G.F.-O.; formal analysis, L.G.H.-V.; investigation, L.C.-H., J.D.B.-M., A.B.A.-C. and S.G.F.-O.; resources, G.N.-V. and J.E.; writing—original draft preparation, L.C.-H. and L.G.H.-V.; writing—review and editing, L.G.H.-V. and J.E.; supervision, J.E.; project administration, J.E.; funding acquisition, J.E. All authors have read and agreed to the published version of the manuscript.
Funding
This research was funded by CONAHCYT, project number CB2019/610262.
Data Availability Statement
There is no server where data can be saved for consultation, but, if needed, data can be shared by contacting jaime@uaem.mx.
Conflicts of Interest
The authors declare no conflicts of interest.
References
- Yunusova, S.N.; Novikov, A.S.; Soldatova, N.S.; Vovk, M.A.; Bolotin, D.S. Iodonium salts as efficient iodine (III)-based noncovalent organocatalysts for Knorr-type reactions. RSC Adv. 2021, 11, 4574–4583. [Google Scholar] [CrossRef] [PubMed]
- Il’in, M.V.; Novikov, A.S.; Bolotin, D.S. Diaryliodoniums as hybrid hydrogen-and halogen-bond-donating organocatalysts for the Groebke–Blackburn–Bienaymé reaction. J. Org. Chem. 2022, 87, 4569–4579. [Google Scholar] [CrossRef] [PubMed]
- Aliyarova, I.S.; Ivanov, D.M.; Soldatova, N.S.; Novikov, A.S.; Postnikov, P.S.; Yusubov, M.S.; Kukushkin, V.Y. Bifurcated halogen bonding involving diaryliodonium cations as iodine (III)-based double-σ-hole donors. Cryst. Growth Des. 2021, 21, 1136–1147. [Google Scholar] [CrossRef]
- Polonnikov, D.A.; Il’in, M.V.; Safinskaya, Y.V.; Aliyarova, I.S.; Novikov, A.S.; Bolotin, D.S. (Pre) association as a crucial step for computational prediction and analysis of the catalytic activity of σ-hole donating organocatalysts. Org. Chem. Front. 2023, 10, 169–180. [Google Scholar] [CrossRef]
- Anastas, P.T.; Eghbali, N. Green Chemistry: Principles and Practice. Chem. Soc. Rev. 2010, 39, 301–312. [Google Scholar] [CrossRef] [PubMed]
- Jessop, P.G.; Leitner, W. (Eds.) Chemical Synthesis Using Supercritical Fluids; Wiley-VCH: Weinheim, Germany, 2008; ISBN 978-3-527-61369-4. [Google Scholar]
- Thomas, P.A.; Marvey, B.B. Room Temperature Ionic Liquids as Green Alternatives in the Metathesis of oleochemical Feedstocks. Molecules 2016, 21, 184. [Google Scholar] [CrossRef] [PubMed]
- Loupy, A.; Petit, A.; Hamelin, J.; Texier-Boullet, F.; Jacquault, P.; Mathe, D. New solvent-free organic synthesis using focused microwaves. Synthesis 1998, 9, 1213–1234. [Google Scholar] [CrossRef]
- Tagliapietra, S.; Gaudino, E.C.; Cravotto, G. The use of power ultrasound for organic synthesis in green chemistry. In Power Ultrasonics; Woodhead Publishing: Oxford, UK, 2015; pp. 997–1022. [Google Scholar] [CrossRef]
- Korupp, C.; Weberskirch, R.; Miller, J.J.; Liese, A.; Hilterhaus, L. Scaleup of Lipase-Catalyzed Polyester Synthesis. Org. Proceso Res. Dev. 2010, 14, 1118–1124. [Google Scholar] [CrossRef]
- Avila-Ortiz, G.; Pérez-Venegas, M.; Vargas-Caporali, J.; Juaristi, E. Recent applications of mechanochemistry in enantioselective synthesis. Tetrahedron Lett. 2019, 60, 1749–1757. [Google Scholar] [CrossRef]
- Caddick, S. Microwave assisted organic reactions. Tetrahedron 1995, 51, 10403–10432. [Google Scholar] [CrossRef]
- Lidström, P.; Tierney, J.; Wathey, B.; Westman, J. Microwave assisted organic synthesis: A review. Tetrahedron 2001, 57, 9225–9283. [Google Scholar] [CrossRef]
- Perreux, L.; Loupy, A. A tentative rationalization of microwave effects in organic synthesis according to the reaction medium, and mechanistic considerations. Tetrahedron 2001, 57, 9199–9223. [Google Scholar] [CrossRef]
- Chaouchi, M.; Loupy, A.; Marque, S.; Petit, A. Solvent-Free Microwave-Assisted Aromatic Nucleophilic Substitution, Synthesis of Aromatic Ethers. Eur. J. Org. Chem. 2002, 2002, 1278–1283. [Google Scholar] [CrossRef]
- De la Hoz, A.; Diaz-Ortiz, A.; Moreno, A. Microwaves in organic synthesis. Thermal and non-thermal microwave effects. Chem. Soc. Rev. 2005, 34, 164–178. [Google Scholar] [CrossRef] [PubMed]
- Sharma, A.K.; Gowdahalli, K.; Krzeminski, J.; Amin, S. Microwave-assisted Suzuki cross-coupling reaction, a key step in the synthesis of polycyclic aromatic hydrocarbons and their metabolites. J. Org. Chem. 2007, 72, 8987–8989. [Google Scholar] [CrossRef] [PubMed]
- Baxendale, I.R.; Lee, A.L.; Ley, S.V. A concise synthesis of carpanone using solid-supported reagents and scavengers. J. Chem. Soc. Perkin Trans. 2002, 1, 1850–1857. [Google Scholar] [CrossRef]
- Steinreiber, A.; Stadler, A.; Mayer, S.F.; Faber, K.; Kappe, C.O. High-Speed MicrowavePromoted Mitsunobu Inversions. Application Toward the Deracemization of Sulcatol. Tetrahedron Lett. 2001, 42, 6283–6286. [Google Scholar] [CrossRef]
- Moghaddam, F.M.; Mohammadi, M.; Hosseinnia, A.; Hosseini, M. Water promoted Michael Addition of Secondary Amines to α,β-unsaturated Carbonyl Compounds under Microwave Irradiation. Synth. Commun. 2000, 30, 643–650. [Google Scholar] [CrossRef]
- Amore, K.M.; Leadbeater, N.E.; Millar, T.A.; Schmink, J.R. Fast, easy, solvent-free, microwave-promoted Michael addition of anilines to α,β-unsaturated alkenes: Synthesis of N-aryl functionalized β-amino esters and acids. Tetrahedron Lett. 2006, 47, 8583–8586. [Google Scholar] [CrossRef]
- Kappe, C.O. Controlled Microwave Heating in Modern Organic Synthesis. Angew. Chem. Int. Ed. 2004, 43, 6250–6284. [Google Scholar] [CrossRef]
- Cole, D.C. Recent stereoselective synthetic approaches to β-amino acids. Tetrahedron 1994, 50, 9517–9582. [Google Scholar] [CrossRef]
- Juaristi, E.; Soloshonok, V.A. (Eds.) Enantioselective Synthesis of β-Amino Acids, 2nd ed.; Wiley-VCH: New York, NY, USA, 2005; pp. 351–395. ISBN 0471467383. [Google Scholar]
- Davies, S.G.; Garrido, N.M.; Kruchinin, D.; Ichihara, O.; Kotchie, L.J.; Price, P.D.; Mortimer, A.J.; Rusell, A.J.; Smith, A.D. Homochiral lithium amides for the asymmetric synthesis of β-amino acids. Tetrahedron Asymmetry 2006, 17, 1793–1811. [Google Scholar] [CrossRef]
- Doi, H.; Sakai, T.; Iguchi, M.; Yamada, K.I.; Tomioka, K.J. Chiral Ligand-Controlled Asymmetric Conjugate Addition of Lithium Amides to Enoates. J. Am. Chem. Soc. 2003, 125, 2886–2887. [Google Scholar] [CrossRef] [PubMed]
- Escalante, J.; Carrillo-Morales, M.; Linzaga, I. Michael additions of amines to methyl acrylates promoted by microwave irradiation. Molecules 2008, 13, 340–347. [Google Scholar] [CrossRef] [PubMed]
- Rangel, H.; Carrillo-Morales, M.; Galindo, J.M.; Castillo, E.; Obregón-Zúñiga, A.; Juaristi, E.; Escalante, J. Structural features of N-benzylated-β-amino acid methyl esters essential for enantiodifferentiation by lipase B from Candida antarctica in hydrolytic reactions. Tetrahedron Asymmetry 2015, 26, 325–332. [Google Scholar] [CrossRef]
- Aggarwal, V.K.; Mereu, A. Superior amine catalysts for the Baylis–Hillman reaction: The use of DBU and its implications. Chem. Commun. 1999, 2311–2312. [Google Scholar] [CrossRef]
- Yeom, C.-E.; Kim, M.J.; Kim, B.M. 1,8-diazabicyclo[5.4.0]undec-7-ene (DBU)-promoted efficient and versatile aza-Michael addition. Tetrahedron 2007, 63, 904–909. [Google Scholar] [CrossRef]
- Subramani, M.; Rajendran, S.K. Mild, Metal-Free and Protection-Free Transamidation of N-Acyl-2-piperidones to Amino Acids, Amino Alcohols and Aliphatic Amines and Esterification of N-Acyl-2-piperidones. Eur. J. Org. Chem. 2019, 2019, 3677–3686. [Google Scholar] [CrossRef]
- Pérez-Venegas, M.; Reyes-Rangel, G.; Neri, A.; Escalante, J.; Juaristi, E. Mechanochemical Enzymatic Resolution of N-Benzylated-β3 -Amino Esters. Beilstein J. Org. Chem. 2017, 13, 1728–1734. [Google Scholar] [CrossRef]
- Ghosh, S.; Jana, C.K. Rapid Access to Cinnamamides and Piper Amides via Three Component Coupling of Arylaldehydes, Amines, and Meldrum’s Acid. Green Chem. 2019, 21, 5803–5807. [Google Scholar] [CrossRef]
- Wu, X.; Li, Y.; Wang, C.; Zhou, L.; Lu, X.; Sun, J. Chiral Lewis Base Catalyzed Highly Enantioselective Reduction of N-Alkyl β-Enamino Esters with Trichlorosilane and Water. Eur. J. Org. Chem. 2010, 10, 2846–2848. [Google Scholar] [CrossRef]
Disclaimer/Publisher’s Note: The statements, opinions and data contained in all publications are solely those of the individual author(s) and contributor(s) and not of MDPI and/or the editor(s). MDPI and/or the editor(s) disclaim responsibility for any injury to people or property resulting from any ideas, methods, instructions or products referred to in the content. |
© 2023 by the authors. Licensee MDPI, Basel, Switzerland. This article is an open access article distributed under the terms and conditions of the Creative Commons Attribution (CC BY) license (https://creativecommons.org/licenses/by/4.0/).






