Transition Metal Complexes with Amino Acids, Peptides and Carbohydrates in Catalytic Asymmetric Synthesis: A Short Review
Abstract
1. Introduction
2. Enantioselective Reactions of C(sp3)–H Bond Activation




3. Cross-Coupling Reactions











4. Asymmetric Transfer Hydrogenation (ATH)






5. Other Types of Reactions

6. Conclusions
Funding
Data Availability Statement
Acknowledgments
Conflicts of Interest
References
- Wayda, A.L.; Darensbourg, M.Y. (Eds.) Experimental Organometallic Chemistry; ACS Symposium Series; American Chemical Society: Washington, DC, USA, 1987; Volume 357. [Google Scholar]
- Komiya, S. Manipulation of Air-Sensitive Compounds. In Synthesis of Organometallic Compounds: A Practical Guide; Wiley: Chichester, UK, 1997. [Google Scholar]
- Borys, A.M. An Illustrated Guide to Schlenk Line Techniques. Organometallics 2023, 42, 182–196. [Google Scholar] [CrossRef]
- Sharapa, D.I.; Doronkin, D.E.; Studt, F.; Grunwaldt, J.; Behrens, S. Moving Frontiers in Transition Metal Catalysis: Synthesis, Characterization and Modeling. Adv. Mater. 2019, 31, 1807381. [Google Scholar] [CrossRef]
- Titova, Y.Y. Dynamic EPR Studies of the Formation of Catalytically Active Centres in Multicomponent Hydrogenation Systems. Catalysts 2023, 13, 653. [Google Scholar] [CrossRef]
- Li, G.; Li, D.; Alshalalfeh, M.; Cheramy, J.; Zhang, H.; Xu, Y. Stereochemical Properties of Two Schiff-Base Transition Metal Complexes and Their Ligand by Using Multiple Chiroptical Spectroscopic Tools and DFT Calculations. Molecules 2023, 28, 2571. [Google Scholar] [CrossRef]
- Kuznetsov, V.F.; Gusev, D.G. Chiral Hydride and Dihydrogen Pincer-Type Complexes of Osmium. Organometallics 2007, 26, 5661–5666. [Google Scholar] [CrossRef]
- Benito-garagorri, D.; Bocokic, V.; Mereiter, K.; Kirchner, K. A Modular Approach to Achiral and Chiral Nickel(II), Palladium(II), and Platinum(II) PCP Pincer Complexes Based on Diaminobenzenes. Organometallics 2006, 25, 3817–3823. [Google Scholar] [CrossRef]
- de Aguiar, S.R.M.M.; Schroder-Holzhacker, C.; Pecak, J.; Stoger, B.; Kirchner, K. Synthesis and Characterization of TADDOL-Based Chiral Group Six PNP Pincer Tricarbonyl Complexes. Monatshefte Chem. -Chem. Mon. 2019, 150, 103–109. [Google Scholar] [CrossRef]
- Shivankar, V.S.; Thakkar, N. V Chiral Mixed Ligand Co(II) and Ni(II) Complexes: Synthesis and Biological Activity. Acta Pol. Pharm. 2004, 61, 127–133. [Google Scholar]
- Sanap, S.V.; Patil, R.M. Synthesis, Characterisation and Biological Activity of Chiral Mixed Ligand Ni(II) Complexes. Res. J. Pharm. Sci. 2013, 2, 1–10. [Google Scholar]
- Sharma, S.; Chauhan, M.; Jamsheera, A.; Tabassum, S.; Arjmand, F. Chiral Transition Metal Complexes: Synthetic Approach and Biological Applications. Inorganica Chim. Acta 2016, 458, 8–27. [Google Scholar] [CrossRef]
- Manimaran, P.; Balasubramaniyan, S.; Azam, M.; Rajadurai, D.; Al-Resayes, S.I.; Mathubala, G.; Manikandan, A.; Muthupandi, S.; Tabassum, Z.; Khan, I. Synthesis, Spectral Characterization and Biological Activities of Co(II) and Ni(II) Mixed Ligand Complexes. Molecules 2021, 26, 823. [Google Scholar] [CrossRef] [PubMed]
- Karges, J.; Stokes, R.W.; Cohen, S.M. Metal Complexes for Therapeutic Applications. Trends Chem. 2022, 3, 523–534. [Google Scholar] [CrossRef] [PubMed]
- Carmona, D.; Lamata, M.P.; Sánchez, A.; Viguri, F.; Rodríguez, R.; Oro, L.A.; Liu, C.; Díez-Gonzálezb, S.; Maseras, F. Chiral Transition-Metal Complexes as Brønsted-Acid Catalysts for the Asymmetric Friedel—Crafts Hydroxyalkylation of Indoles †. Dalt. Trans. 2014, 43, 11260–11268. [Google Scholar] [CrossRef] [PubMed]
- Endo, K.; Liu, Y.; Ube, H.; Nagata, K.; Shionoya, M. Asymmetric Construction of Tetrahedral Chiral Zinc with High Configurational Stability and Catalytic. Nat. Commun. 2020, 11, 6263. [Google Scholar] [CrossRef] [PubMed]
- Ye, S.X.; Tan, C. Chemical Science by Chiral Cations. Chem. Sci. 2021, 12, 533–539. [Google Scholar] [CrossRef] [PubMed]
- Carmona, M.; Rodríguez, R.; Passarelli, V.; Carmona, D. Mechanism of the Alkylation of Indoles with Nitrostyrenes Catalyzed by Chiral-at-Metal Complexes. Organometallics 2019, 38, 988–995. [Google Scholar] [CrossRef]
- Hong, Y.; Jarrige, L.; Harms, K.; Meggers, E. Chiral-at-Iron Catalyst: Expanding the Chemical Space for Asymmetric Earth-Abundant Metal Catalysis. J. Am. Chem. Soc. 2019, 141, 4569–4572. [Google Scholar] [CrossRef]
- Hong, Y.; Cui, T.; Ivlev, S.; Xie, X.; Meggers, E. Chiral-at-Iron Catalyst for Highly Enantioselective and Diastereoselective Hetero-Diels-Alder Reaction. Chem. Eur. J. 2021, 27, 8557–8563. [Google Scholar] [CrossRef]
- León, F.; Comas-Vives, A.; Álvarez, E.; Pizzano, A. A Combined Experimental and Computational Study to Decipher Complexity in the Asymmetric Hydrogenation of Imines with Ru Catalysts Bearing Atropisomerizable Ligands. Catal. Sci. Technol. 2021, 11, 2497–2511. [Google Scholar] [CrossRef]
- Steinlandt, P.S.; Zhang, L.; Meggers, E. Metal Stereogenicity in Asymmetric Transition Metal Catalysis. Chem. Rev. 2023, 123, 4764–4794. [Google Scholar] [CrossRef]
- Steinlandt, P.S.; Xie, X.; Ivlev, S.; Meggers, E. Stereogenic-at-Iron Catalysts with a Chiral Tripodal Pentadentate Ligand. ACS Catal. 2021, 11, 7467–7476. [Google Scholar] [CrossRef]
- Wang, M.; Li, W. Feng Ligand: Privileged Chiral Ligand in Asymmetric Catalysis. Chin. J. Chem. 2021, 39, 969–984. [Google Scholar] [CrossRef]
- Wang, H.; Wen, J.; Zhang, X. Chiral Tridentate Ligands in Transition Metal-Catalyzed Asymmetric Hydrogenation. Chem. Rev. 2021, 121, 7530–7567. [Google Scholar] [CrossRef]
- Diéguez, M. (Ed.) . Chiral Ligands: Evolution of Ligand Libraries for Asymmetric Catalysis (New Directions in Organic & Biological Chemistry); CRC Press: Boca Raton, FL, USA, 2021. [Google Scholar]
- Huang, Y.; Hayashi, T. Chiral Diene Ligands in Asymmetric Catalysis. Chem. Rev. 2022, 122, 14346–14404. [Google Scholar] [CrossRef]
- Su, B.; Hartwig, J.F. Development of Chiral Ligands for the Transition-Metal- Catalyzed Enantioselective Silylation and Borylation of C-H Bonds. Angew. Chem. Int. Ed. 2022, 61, e202113343. [Google Scholar] [CrossRef]
- Karpin, G.W.; Merola, J.S.; Falkinham III, J.O. Transition Metal–Alfa-Amino Acid Complexes with Antibiotic Activity against Mycobacterium spp. Antimicrob. Agents Chemother. 2013, 57, 3434–3436. [Google Scholar] [CrossRef] [PubMed][Green Version]
- Wang, C.; Zhang, N.; Hou, C.; Han, X.; Liu, C.; Xing, Y.; Bai, F.; Sun, L. Transition Metal Complexes Constructed by Pyridine–Amino Acid: Fluorescence Sensing and Catalytic Properties. Transit. Met. Chem. 2020, 45, 423–433. [Google Scholar] [CrossRef]
- Rusanov, D.A.; Zou, J.; Babak, M.V. Biological Properties of Transition Metal Complexes with Metformin and Its Analogues. Pharmaceuticals 2022, 15, 453. [Google Scholar] [CrossRef]
- Dolui, D.; Das, S.; Bharti, J.; Kumar, S.; Kumar, P.; Dutta, A. Bio-Inspired Cobalt Catalyst Enables Natural-Sunlight-Driven Hydrogen Production from Aerobic Neutral Aqueous Solution. Cell Rep. Phys. Sci. 2020, 1, 100007. [Google Scholar] [CrossRef]
- Benessere, V.; Del Litto, R.; De Roma, A.; Ruffo, F. Carbohydrates as Building Blocks of Privileged Ligands. Coord. Chem. Rev. 2010, 254, 390–401. [Google Scholar] [CrossRef]
- Yoon, T.P.; Jacobsen, E.N. Privileged Chiral Catalysts. Science 2003, 299, 1691–1693. [Google Scholar] [CrossRef] [PubMed]
- Zhou, Q.-L. (Ed.) Privileged Chiral Ligands and Catalysts; Wiley-VCH Verlag GmbH & Co., KGaA: Weinheim, Germany, 2011. [Google Scholar]
- Pàmies, O.; Ruiz, A.; Yolanda, D.; Castillón, S.; Claver, C. Carbohydrate Derivative Ligands in Asymmetric Catalysis. Coord. Chem. Rev. 2004, 248, 2165–2192. [Google Scholar] [CrossRef]
- Bandwar, R.P.; Raghavan, M.S.S.; Rao, C.P. Transition Metai-Saccharide Chemistry: O-Glucose Complexes of Mn (II), Co (II), Ni (II), Cu (II) and Zn (II). BioMetals 1995, 8, 19–24. [Google Scholar] [CrossRef]
- Dieguez, M.; Pamies, O.; Claver, C. Ligands Derived from Carbohydrates for Asymmetric Catalysis. Chem. Rev. 2004, 104, 3189–3215. [Google Scholar] [CrossRef] [PubMed]
- Woodward, S.; Diéguez, M.; Pàmies, O. Use of Sugar-Based Ligands in Selective Catalysis: Recent Developments. Coord. Chem. Rev. 2010, 254, 2007–2030. [Google Scholar] [CrossRef]
- Benessere, V.; De Roma, A.; Ruffo, F. Carbohydrates as Building Blocks of Privileged Ligands for Multiphasic Asymmetric Catalysis. ChemSusChem 2008, 1, 425–430. [Google Scholar] [CrossRef] [PubMed]
- Lichtenthaler, F.W. (Ed.) Carbohydrates as Organic Raw Materials; VCH Weinheim: Weinheim, Germany, 1991. [Google Scholar]
- Francis, M.B.; Finney, N.S.; Jacobsen, E.N. Combinatorial Approach to the Discovery of Novel Coordination Complexes. J. Am. Chem. Soc. 1996, 118, 8983–8984. [Google Scholar] [CrossRef]
- Severin, K.; Bergs, R.; Beck, W. Bioorganometallic Chemistry-Transition Metal Complexes with a-Amino Acids and Peptides. Angew. Chem. Int. Ed. 1998, 37, 1634–1654. [Google Scholar] [CrossRef]
- Alexeev, Y.E.; Vasilchenko, I.S.; Kharisov, B.I.; Blanco, L.M.; Garnovskii, A.D.; Zhdanov, Y.A. Review: Synthetically Modified Carbohydrates as Ligands. J. Coord. Chem. 2004, 57, 1447–1517. [Google Scholar] [CrossRef]
- Ohta, T.; Nakahara, S.; Shigemura, Y.; Hattori, K.; Furukawa, I. A-Amino Acid: An Effective Ligand for Asymmetric Catalysis of Transfer Hydrogenation of Ketones. Appl. Organometal. Chem. 2001, 15, 699–709. [Google Scholar] [CrossRef]
- Lakatos, A.; Gyurcsik, B.; Nagy, N.V.; Csendes, Z.; Weber, E.; Fulopd, L.; Kiss, T. Histidine-Rich Branched Peptides as Cu (II) and Zn (II) Chelators with Potential Therapeutic Application in Alzheimer’s Disease. Dalt. Trans 2012, 41, 1713–1726. [Google Scholar] [CrossRef] [PubMed]
- Schuhmann, E.; Beck, W. Metal Complexes of Biologically Important Ligands, Part CLXIX [1]. Palladium (II) and Platinum(II) N,O-Chelate Complexes (R3P)(Cl) M(α-Aminoacidate) with the Anions of Serine, Threonine, 3,4-Dehydroproline and 4-Hydroxyproline. Z. Naturforsch. 2008, 63, 124–128. [Google Scholar] [CrossRef]
- Schreiner, B.; Wagnerschuh, B.; Beck, W. Metal Complexes of Biologically Important Ligands, Part CLXXV [1]. Pentamethylcyclopentadienyl Halfsandwich Complexes of Rhodium (III) and Iridium (III) with Schiff Bases from 2-(Diphenylphosphino)- Benzaldehyde and α-Amino Acid Esters. Z. Naturforsch. 2010, 65, 679–686. [Google Scholar]
- Beck, W. Metal Complexes of Biologically Important Ligands, Part CLXXVI. [1] Formation of Peptides within the Coordination Sphere of Metal Ions and of Classical and Organometallic Complexes and Some Aspects of Prebiotic Chemistry. Z. Anorg. Allg. Chem. 2011, 637, 1647–1672. [Google Scholar] [CrossRef]
- Schweiger, M.J.; Beck, W. Metal Complexes of Biologically Important Ligands, Part CLXXVIII. [1] Addition of the Pentacarbonylrhenium Cation [(OC)5Re]+ to the Xanthine Alkaloids Caffeine, Theophylline, and Theobromine. Z. Anorg. Allg. Chem. 2017, 643, 1335–1337. [Google Scholar] [CrossRef]
- Available online: https://www.mdpi.com/journal/molecules/special_issues/metal_biological_ligands (accessed on 20 November 2023).
- Chernyshev, V.M.; Ananikov, V.P. Nickel and Palladium Catalysis: Stronger Demand than Ever. ACS Catal. 2022, 12, 1180–1200. [Google Scholar] [CrossRef]
- Ananikov, V.P. The dawn of cross-coupling. Nat. Catal. 2021, 4, 732–733. [Google Scholar] [CrossRef]
- Beletskaya, I.P.; Cheprakov, A. V The Complementary Competitors: Palladium and Copper in C–N Cross-Coupling Reactions. Organometallics 2012, 31, 7753–7808. [Google Scholar] [CrossRef]
- Nie, R.; Tao, Y.; Nie, Y.; Lu, T.; Wang, J.; Zhang, Y.; Lu, X.; Xu, C.C. Recent Advances in Catalytic Transfer Hydrogenation with Formic Acid over Heterogeneous Transition Metal Catalysts. ACS Catal. 2021, 11, 1071–1095. [Google Scholar] [CrossRef]
- Shi, B.; Maugel, N.; Zhang, Y.; Yu, J. PdII-Catalyzed Enantioselective Activation of C(Sp2)-H and C(Sp3)-H Bonds Using Monoprotected Amino Acids as Chiral Ligands. Angew. Chem. Int. Ed. 2008, 47, 4882–4886. [Google Scholar] [CrossRef]
- Chen, G.; Gong, W.; Zhuang, Z.; Chen, Y.; Hong, X.; Yang, Y.; Liu, T.; Houk, K.N.; Yu, J.-Q. Ligand-Accelerated Enantioselective Methylene C(Sp3)–H Bond Activation. Science 2016, 353, 1023–1027. [Google Scholar] [CrossRef] [PubMed]
- Zhang, F.-L.; Hong, K.; Li, T.-J.; Park, H.; Yu, J.-Q. Functionalization of C(Sp3)–H Bonds Using a Transient Directing Group. Science 2016, 351, 252–256. [Google Scholar] [CrossRef]
- Wu, Q.; Shen, P.; He, J.; Wang, X.; Zhang, F.; Poss, M.A.; Yu, J. Formation of A-Chiral Centers by Asymmetric b-C(Sp3)–H Arylation, Alkenylation, and Alkynylation. Science 2017, 355, 499–503. [Google Scholar] [CrossRef]
- Hu, L.; Shen, P.; Shao, Q.; Hong, K.; Qiao, J.X.; Yu, J. PdII-Catalyzed Enantioselective C(Sp3)-H Activation/Cross-Coupling Reactions of Free Carboxylic Acids. Angew. Chem. Int. Ed. 2019, 58, 2134–2138. [Google Scholar] [CrossRef]
- Zhuang, Z.; Yu, J. Pd(II) -Catalyzed Enantioselective γ-C(Sp3)−H Functionalizations of Free Cyclopropylmethylamines. J. Am. Chem. Soc. 2020, 142, 12015–12019. [Google Scholar] [CrossRef]
- Xiao, L.-J.; Hong, K.; Luo, F.; Hu, L.; Ewing, W.R.; Yeung, K.-S.; Yu, J.-Q. Pd(II)-Catalyzed Enantioselective C(Sp3)−H Arylation of Cyclobutyl Ketones Using a Chiral Transient Directing Group. Angew. Chem. Int. Ed. 2020, 59, 9594–9600. [Google Scholar] [CrossRef] [PubMed]
- Li, H.; Yang, D.; Jing, H.; Antilla, J.C.; Kuninobu, Y. Palladium-Catalyzed Enantioselective C(Sp3)−H Arylation of 2-Propyl Azaaryls Enabled by an Amino Acid Ligand. Org. Lett. 2022, 24, 1286–1291. [Google Scholar] [CrossRef]
- Zhang, G.; Zhang, Y.; Wang, R. Catalytic Asymmetric Activation of a Csp3-H Bond Adjacent to a Nitrogen Atom: A Versatile Approach to Optically Active a-Alkyl a-Amino Acids and C1-Alkylated Tetrahydroisoquinoline Derivatives. Angew. Chem. Int. Ed. 2011, 50, 10429–10432. [Google Scholar] [CrossRef]
- Liu, W.; Yang, W.; Zhu, J.; Guo, Y.; Wang, N.; Ke, J.; Yu, P.; He, C.; Liu, W.; Yang, W.; et al. Dual Ligand Enabled Ir(III)-Catalyzed Enantioselective C–H Amidation for the Synthesis of Chiral Sulfoxides. ACS Catal. 2020, 10, 7207–7215. [Google Scholar] [CrossRef]
- Peris, G.; Jakobsche, C.E.; Miller, S.J. Aspartate-Catalyzed Asymmetric Epoxidation Reactions. J. Am. Chem. Soc. 2007, 129, 8710–8711. [Google Scholar] [CrossRef] [PubMed]
- Tabassum, S.; Fawad, A.; Sajjad, Z.; Razia, A.; Samreen, N.; Khan, G. Cross-Coupling Reactions towards the Synthesis of Natural Products. Mol. Divers. 2022, 26, 647–689. [Google Scholar] [CrossRef]
- Campeau, L.; Hazari, N. Cross-Coupling and Related Reactions: Connecting Past Success to the Development of New Reactions for the Future. Organometallics 2019, 38, 3–35. [Google Scholar] [CrossRef]
- Beletskaya, I.P.; Ananikov, V.P. Transition-Metal-Catalyzed C−S, C−Se, and C−Te Bond Formations via Cross-Coupling and Atom-Economic Addition Reactions. Achievements and Challenges. Chem. Rev. 2022, 122, 16110–16293. [Google Scholar] [CrossRef]
- Heck, R.F.; Negishi, E.-I.; Suzuki, A. The Nobel Prize in Chemistry 2010 “for Palladium-Catalyzed Cross Couplings in Organic Synthesis”. Available online: http://www.nobelprize.org (accessed on 7 May 2023).
- Zhang, H.; Cai, Q.; Ma, D. Amino Acid Promoted CuI-Catalyzed C-N Bond Formation between Aryl Halides and Amines or N-Containing Heterocycles Coupling Reaction of Aryl Halides with Aliphatic. J. Org. Chem. 2005, 70, 5164–5173. [Google Scholar] [CrossRef] [PubMed]
- Ma, D.; Xia, C. CuI-Catalyzed Coupling Reaction of Betta-Amino Acids or Esters with Aryl Halides at Temperature Lower Than That Employed in the Normal Ullmann Reaction. Facile Synthesis of SB-214857. Org. Lett. 2001, 3, 2583–2586. [Google Scholar] [CrossRef] [PubMed]
- Ma, D.; Xia, C.; Jiang, J.; Zhang, J. First Total Synthesis of Martinellic Acid, a Naturally Occurring Bradykinin Receptor Antagonist. Org. Lett. 2001, 3, 2189–2191. [Google Scholar] [CrossRef] [PubMed]
- Ma, D.; Cai, Q. N,N-Dimethyl Glycine-Promoted Ullmann Coupling Reaction of Phenols and Aryl Halides. Org. Lett. 2003, 5, 3799–3802. [Google Scholar] [CrossRef]
- Ma, D.; Cai, Q.; Zhang, H. Mild Method for Ullmann Coupling Reaction of Amines and Aryl Halides. Org. Lett. 2003, 5, 2453–2455. [Google Scholar] [CrossRef]
- Ma, R.; Cai, Q. L-Proline Promoted Ullmann-Type Coupling Reactions of Aryl Iodides with Indoles, Pyrroles, Imidazoles or Pyrazoles. Synlett 2004, 1, 128–130. [Google Scholar] [CrossRef]
- Ma, D.; Liu, F. CuI-Catalyzed Coupling Reaction of Aryl Halides with Terminal Alkynes in the Absence of Palladium and Phosphine. Chem. Commun. 2004, 2004, 1934–1935. [Google Scholar] [CrossRef]
- Zhu, W.; Ma, D. Synthesis of Aryl Azides and Vinyl Azides via Proline-Promoted CuI-Catalyzed Coupling Reactions. Chem. Commun. 2004, 2004, 888–889. [Google Scholar] [CrossRef] [PubMed]
- Zhou, C.; Ma, D. A Copper-Catalyzed Coupling Reaction of Vinyl Halides and Carbazates: Application in the Assembly of Polysubstituted Pyrroles. Chem. Commun. 2014, 50, 3085–3088. [Google Scholar] [CrossRef][Green Version]
- Cai, Q.; Zhu, W.; Zhang, H.; Zhang, Y.; Ma, D. Preparation of N-Aryl Compounds by Amino Acid-Promoted Ullmann-Type Coupling Reactions. Synthesis 2005, 3, 496–499. [Google Scholar] [CrossRef]
- Zhu, W.; Ma, D. Synthesis of Aryl Sulfones via L-Proline-Promoted CuI-Catalyzed Coupling Reaction of Aryl Halides with Sulfinic Acid Salts. J. Org. Chem. 2005, 70, 2696–2700. [Google Scholar] [CrossRef] [PubMed]
- Baskin, J.M.; Wang, Z. An Efficient Copper Catalyst for the Formation of Sulfones from Sulfinic Acid Salts and Aryl Iodides. Org. Lett. 2002, 4, 4423–4425. [Google Scholar] [CrossRef] [PubMed]
- Deng, W.; Wang, Y.; Zou, Y.; Liu, L.; Guo, Q. Amino Acid-Mediated Goldberg Reactions between Amides and Aryl Iodides. Tetrahedron Lett. 2004, 45, 2311–2315. [Google Scholar] [CrossRef]
- Deng, W.; Zou, Y.; Wang, Y.-F.; Liu, L.; Guo, Q.-X. CuI-Catalyzed Coupling Reactions of Aryl Iodides and Bromides with Thiols Promoted by Amino Acid Ligands. Synlett 2004, 7, 1254–1258. [Google Scholar] [CrossRef]
- Deng, W.; Liu, L.; Zhang, C.; Liu, M.; Guo, Q. Copper-Catalyzed Cross-Coupling of Sulfonamides with Aryl Iodides and Bromides Facilitated by Amino Acid Ligands. Tetrahedron Lett. 2005, 46, 7295–7298. [Google Scholar] [CrossRef]
- Tsvelikhovsky, D.; Popov, I.; Gutkin, V.; Rozin, A.; Shvartsman, A.; Blum, J. On the Involvement of Palladium Nanoparticles in the Heck and Suzuki Reactions. Eur. J. Org. Chem. 2009, 2009, 98–102. [Google Scholar] [CrossRef]
- Hobart, D.B.; Merola, J.S.; Rogers, H.M.; Saghal, S.; Mitchell, J.; Florio, J.; Merola, J.W. Synthesis, Structure, and Catalytic Reactivity of Pd (II) Complexes of Proline and Proline Homologs. Catalysts 2019, 9, 515. [Google Scholar] [CrossRef]
- Kederien, V.; Jaglinskaite, I.; Voznikaite, P.; Rousseau, J.; Šackus, A.; Tatibouët, A. Mild Copper-Catalyzed, L-Proline-Promoted Cross-Coupling of Methyl 3-Amino-1-Benzothiophene-2-Carboxylate. Molecules 2021, 26, 6822. [Google Scholar] [CrossRef] [PubMed]
- Zhou, Z.; Xie, Q.; Zhou, X.; Yuan, Y.; Pan, Y.; Lu, D.; Du, Z.; Xue, J. Synthesis of Glucoside-Based Imidazolium Salts for Pd-Catalyzed Cross-Coupling Reaction in Water. Carbohydr. Res. 2020, 496, 108079. [Google Scholar] [CrossRef] [PubMed]
- Zhou, Z.; Xie, Q.; Li, J.; Yuan, Y.; Liu, Y.; Liu, Y.; Lu, D.; Xie, Y. Glucopyranoside-Functionalized NHCs-Pd (II)- PEPPSI Complexes: Anomeric Isomerism Controlled and Catalytic Activity in Aqueous Suzuki Reaction. Catal. Lett. 2022, 152, 838–847. [Google Scholar] [CrossRef]
- Mishra, N.; Singh, S.K.; Singh, A.S.; Agrahari, A.K.; Tiwari, V.K. Glycosyl Triazole Ligand for Temperature-Dependent Competitive Reactions of Cu-Catalyzed Sonogashira Coupling and Glaser Coupling. J. Org. Chem. 2021, 86, 17884–17895. [Google Scholar] [CrossRef] [PubMed]
- Wang, D.; Astruc, D. The Golden Age of Transfer Hydrogenation. Chem. Rev. 2015, 115, 6621–6686. [Google Scholar] [CrossRef]
- Wills, A.M.; Zheng, Y.; Martinez-Acosta, J.; Barbosa, L.C.; Clarkson, G. Asymmetric Transfer Hydrogenation of Aryl Heteroaryl Ketones Using Noyori-Ikariya Catalysts. ChemCatChem 2020, 13, 4384–4391. [Google Scholar] [CrossRef]
- Shoola, C.O.; Delmastro, T.; Wu, R.; Sowa, J.R. Asymmetric Transfer Hydrogenation of Secondary Allylic Alcohols. Eur. J. Org. Chem. 2015, 2015, 1670–1673. [Google Scholar] [CrossRef]
- Ratovelomanana-Vidal, V.; Phansavath, P. (Eds.) Asymmetric Hydrogenation and Transfer Hydrogenation; Wiley-VCH: Weinheim, Germany, 2021. [Google Scholar]
- Chen, F.; Jin, M.Y.; Wang, D.Z.; Xu, C.; Wang, J.; Xing, X. Simultaneous Access to Two Enantio-enriched Alcohols by a Single Ru-Catalyst: Asymmetric Hydrogen Transfer from Racemic Alcohols to Matching Ketones. ACS Catal. 2022, 12, 14429–14435. [Google Scholar] [CrossRef]
- Espinosa, M.R.; Ertem, M.Z.; Barakat, M.; Bruch, Q.J.; Deziel, A.P.; Elsby, M.R.; Hasanayn, F.; Hazari, N.; Miller, A.J.M.; Pecoraro, M.V.; et al. Correlating Thermodynamic and Kinetic Hydricities of Rhenium Hydrides. J. Am. Chem. Soc. 2022, 144, 17939–17954. [Google Scholar] [CrossRef]
- Morris, D.M.; Mcgeagh, M.; De Peña, D.; Merola, J.S. Extending the Range of Pentasubstituted Cyclopentadienyl Compounds: The Synthesis of a Series of Tetramethyl (Alkyl or Aryl) Cyclopentadienes (Cp⁄R), Their Iridium Complexes and Their Catalytic Activity for Asymmetric Transfer Hydrogenation. Polyhedron 2014, 84, 120–135. [Google Scholar] [CrossRef]
- Bernier, C.M.; Merola, J.S. Design of Iridium N-Heterocyclic Carbene Amino Acid Catalysts for Asymmetric Transfer Hydrogenation of Aryl Ketones. Catalysts 2021, 11, 671. [Google Scholar] [CrossRef]
- Wang, L.; Lin, J.; Xia, C.; Sun, W. Iridium-Catalyzed Asymmetric Transfer Hydrogenation of Quinolines in Biphasic Systems or Water. J. Org. Chem. 2021, 86, 16641–16651. [Google Scholar] [CrossRef] [PubMed]
- Pastor, I.M.; Västilä, P.; Adolfsson, H. Novel Simple and Highly Modular Ligands for Efficient Asymmetric Transfer-Hydrogenation of Ketones. Chem. Commun. 2002, 2002, 2046–2047. [Google Scholar] [CrossRef]
- Pastor, I.M.; Patrik, V.; Adolfsson, H. Employing the Structural Diversity of Nature: Development of Modular Dipeptide-Analogue Ligands for Ruthenium-Catalyzed Enantioselective Transfer Hydrogenation of Ketones. Chem. Eur. J. 2003, 2003, 4031–4035. [Google Scholar] [CrossRef]
- Lundberg, H.; Adolfsson, H. Ruthenium-Catalyzed Asymmetric Transfer Hydrogenation of Ketones in Ethanol. Tetrahedron Lett. 2011, 52, 2754–2758. [Google Scholar] [CrossRef]
- Shatskiy, A.; Kivijärvi, T.; Lundberg, H.; Tinnis, F.; Adolfsson, H. Ruthenium-Catalyzed Asymmetric Transfer Hydrogenation of Propargylic Ketones. ChemCatChem 2015, 7, 3818–3821. [Google Scholar] [CrossRef]
- Västilä, P.; Zaitsev, A.B.; Wettergren, J.; Privalov, T.; Adolfsson, H. The Importance of Alkali Cations in the [{RuCl2(p-Cymene)}2]–Pseudo-Dipeptide-Catalyzed Enantioselective Transfer Hydrogenation of Ketones. Chem. Eur. J. 2006, 12, 3218–3225. [Google Scholar] [CrossRef]
- Slagbrand, T.; Lundberg, H.; Adolfsson, H. Ruthenium-Catalyzed Tandem-Isomerization/Asymmetric Transfer Hydrogenation of Allylic Alcohols. Chem. Eur. J. 2014, 20, 16102–16106. [Google Scholar] [CrossRef]
- Buitrago, E.; Lundberg, H.; Andersson, H.; Ryberg, P.; Adolfsson, H. High Throughput Screening of a Catalyst Library for the Asymmetric Transfer Hydrogenation of Heteroaromatic Ketones: Formal Syntheses of (R)-Fluoxetine and (S)-Duloxetine. ChemCatChem 2012, 4, 2082–2089. [Google Scholar] [CrossRef]
- Coll, M.; Pamies, O.; Adolfsson, H.; Dieguez, M. Carbohydrate-Based Pseudo-Dipeptides: New Ligands for the Highly Enantioselective Ru-Catalyzed Transfer Hydrogenation Reaction. Chem. Commun. 2011, 47, 12188–12190. [Google Scholar] [CrossRef]
- Coll, M.; Ahlford, K.; Pàmies, O.; Adolfsson, H.; Dieguez, M. Modular Furanoside Pseudodipeptides and Thioamides, Readily Available Ligand Libraries for Metal-Catalyzed Transfer Hydrogenation Reactions: Scope and Limitations. Adv. Synth. Catal. 2012, 354, 415–427. [Google Scholar] [CrossRef]
- Böge, M.; Heck, J. Chemical Catalytic Sugar-Assisted Transfer Hydrogenation with Ru(II), Rh(III) and Ir(III) Halfsandwich Complexes. J. Mol. Catal. A Chem. 2015, 408, 107–122. [Google Scholar] [CrossRef]
- Ahlford, K.; Adolfsson, H. Amino Acid Derived Amides and Hydroxamic Acids as Ligands for Asymmetric Transfer Hydrogenation in Aqueous Media. Catal. Commun. 2011, 12, 1118–1121. [Google Scholar] [CrossRef]
- Ahlford, K.; Zaitsev, A.B.; Ryberg, P.; Eriksson, L.; Adolfsson, H. Asymmetric Transfer Hydrogenation of Ketones Catalyzed by Amino Acid Derived Rhodium Complexes: On the Origin of Enantioselectivity and Enantioswitchability. Chem. Eur. J. 2009, 15, 11197–11209. [Google Scholar] [CrossRef] [PubMed]
- Coll, M.; Pàmies, O.; Adolfsson, H.; Dieguez, M. Second-Generation Amino Acid Furanoside Based Ligands from d-Glucose for the Asymmetric Transfer Hydrogenation of Ketones. ChemCatChem 2013, 5, 3821–3828. [Google Scholar] [CrossRef]
- Margalef, J.; Slagbrand, T.; Tinnis, F.; Adolfsson, H.; Pàmies, O. Third-Generation Amino Acid Furanoside-Based Ligands from d-Mannose for the Asymmetric Transfer Hydrogenation of Ketones: Catalysts with an Exceptionally Wide Substrate Scope. Adv. Synth. Catal. 2016, 358, 4006–4018. [Google Scholar] [CrossRef]
- Carmona, D.; Lahoz, F.J.; García-Orduña, P.; Oro, L.A. Half-Sandwich Complexes of Osmium(II) with L-α-Amino Carboxylate Ligands as Asymmetric Transfer Hydrogenation Catalysts. On the Origin of the Enantioselectivity. Organometallics 2012, 31, 3333–3345. [Google Scholar] [CrossRef]
- Byrne, J.P.; Musembi, P.; Albrecht, M. Carbohydrate-Functionalized N-Heterocyclic Carbene Ru(II) Complexes: Synthesis, Characterization and Catalytic Transfer Hydrogenation Activity. Dalt. Trans. 2019, 48, 11838–11847. [Google Scholar] [CrossRef]
- Coverdale, J.P.C.; Sanchez-Cano, C.; Clarkson, G.J.; Soni, R.; Wills, M.; Sadler, P.J. Easy to Synthesize, Robust Organo-osmium Asymmetric Transfer Hydrogenation Catalysts. Chem. Eur. J. 2015, 21, 8043–8046. [Google Scholar]
- Wang, L.; Lin, J.; Sun, Q.; Xia, C.; Sun, W. Amino Acid Derived Chiral Aminobenzimidazole Manganese Catalysts for Asymmetric Transfer Hydrogenation of Ketones. ACS Catal. 2021, 11, 8033–8041. [Google Scholar] [CrossRef]
- Margalef, J.; Borràs, C.; Alegre, S.; Alberico, E.; Pàmies, O.; Diéguez, M. Phosphite-Thioether / Selenoether Ligands from Carbohydrates: An Easily Accessible Ligand Library for the Asymmetric Hydrogenation of Functionalized and Unfunctionalized Olefins. ChemCatChem 2019, 11, 2142–2168. [Google Scholar] [CrossRef]
- Elías-Rodríguez, P.; Borràs, C.; Carmona, A.T.; Faiges, J.; Robina, I.; Pamies, O.; Diéguez, M. Pyrrolidine-Based P,O Ligands from Carbohydrates: Easily Accessible and Modular Ligands for the Ir-Catalyzed Asymmetric Hydrogenation of Minimally Functionalized Olefins. ChemCatChem 2018, 10, 5414–5424. [Google Scholar] [CrossRef]
- Böge, M.; Heck, J. Catalytic Diamino-Sugar-Assisted Enantioselective Hydrogenation. Eur. J. Inorg. Chem. 2015, 2015, 2858–2864. [Google Scholar] [CrossRef]
- Doucet, H.; Ohkuma, T.; Murata, K.; Yokozawa, T.; Kozawa, M.; Katayama, E.; England, A.F.; Ikariya, T.; Noyori, R. Productive, and Stereoselective Hydrogenation of Ketones. Angew. Chem. Int. Ed. 1998, 37, 1703–1707. [Google Scholar] [CrossRef]
- Chandan, N.; Thompson, A.L.; Moloney, M.G. Rapid Synthesis of Substituted Pyrrolines and Pyrrolidines by Nucleophilic Ring Closure at Activated Oximes. Org. Biomol. Chem. 2012, 10, 7863–7868. [Google Scholar] [CrossRef] [PubMed]
- Xu, Y.; Ohori, K.; Ohshima, T.; Shibasaki, M. A Practical Large-Scale Synthesis of Enantiomerically Pure 3-[Bis (Methoxycarbonyl)Methyl] Cyclohexanone via Catalytic Asymmetric Michael Reaction. Tetrahedron 2002, 58, 2585–2588. [Google Scholar] [CrossRef]
- Hui, C.; Pu, F.; Xu, J. Metal-Catalyzed Asymmetric Michael Addition in Natural Product Synthesis. Chem. Eur. J. 2017, 23, 4023–4036. [Google Scholar] [CrossRef]
- Aplander, K.; Ding, R.; Lindström, U.M.; Wennerberg, J.; Schultz, S. A-Amino Acid Induced Rate Acceleration in Aqueous Biphasic Lewis Acid Catalyzed Michael Addition Reactions. Angew. Chem. Int. Ed. 2007, 46, 4543–4546. [Google Scholar] [CrossRef]
- Aplander, K.; Ding, R.; Krasavin, M.; Lindström, U.M.; Wennerberg, J. Asymmetric Lewis Acid Catalysis in Water: α-Amino Acids as Effective Ligands in Aqueous Biphasic Catalytic Michael Additions. Eur. J. Org. Chem. 2009, 2009, 810–821. [Google Scholar] [CrossRef]
- Singh, S.K.; Kumar, S.; Yadav, M.S.; Tiwari, V.K. Pyridyl Glycosyl Triazole/CuI-Mediated Domino/Tandem Synthesis of Quinazolinones. J. Org. Chem. 2022, 87, 15389–15402. [Google Scholar] [CrossRef]
- Kolb, H.C.; Finn, M.G.; Sharpless, K.B. Click Chemistry: Diverse Chemical Function from a Few Good Reactions. Angew. Chem. Int. Ed. 2001, 40, 2004–2021. [Google Scholar] [CrossRef]
- Kolb, H.C.; Sharpless, K.B. The Growing Impact of Click Chemistry on Drug Discovery. Drug Discov. Today 2003, 8, 1128–1137. [Google Scholar] [CrossRef] [PubMed]
- Vilé, G.; Albani, D.; Almora-Barrios, N.; López, N.; Pérez-Ramírez, J. Advances in the Design of Nanostructured Catalysts for Selective Hydrogenation. ChemCatChem 2015, 8, 21–33. [Google Scholar] [CrossRef]








| Serial Number | Description of the Complex | Graphical Form | Literature |
|---|---|---|---|
| (1) | Pd(OAc)2 and amino acid (L) formation in situ | Pd(OAc)2–L, L = ![]() | [56] |
| (2) | Pd(OAc)2 (10 mol%) and L (10 mol%) (L = APAO) formation in situ | Pd(OAc)2–L, L = ![]() | [57] |
| (3) | Pd(OAc)2 (10 mol%) and L (10 mol%) (L = glycine) formation in situ | Pd(OAc)2–L, L = ![]() | [58] |
| (4) | Pd(OAc)2 (10 mol%) and L (20 mol%) (L = glycine) formation in situ | Pd(OAc)2–L, L = ![]() | [59] |
| (5) | Pd(OPiv)2 (5 mol%) and L (17.5 mol%) (L = N-Boc-2-pentyl proline) formation in situ | Pd(OPiv)2–L, L = ![]() | [63] |
| (6) | Cu(OTf)2 (10 mol%) and L (12 mol%) formation in situ | Cu(OTf)2 –L, L = ![]() | [64] |
| (7) | [Cp*IrIIICl2]2 (5 mol%), [Ag] (20 mol%) and L | [Cp*IrIIICl2]2–L, L = ![]() | [65] |
| (8) | CuI (0.5 mmol), L (1 mmol) and base (10 mmol) formation in situ | CuI–L, L = ![]() | [81] |
| (9) | (CuOTf)2·PhH (5 mol%) and L (10 mol%) (1,2-Dimethylethylene-diamine) formation in situ | (CuOTf)2·PhH–L, L = ![]() | [82] |
| (10) | CuI (5 mol%), L (20 mol%) and KOH (12.5 mmol) formation in situ | CuI–L, L = ![]() | [84] |
| (11) | CuI (5–20 mol%), L (20 mol%) and K3PO4 formation in situ | CuI–L, L = (for aryl iodides) | [85] |
| (12) | CuI (5–20 mol%), L (20 mol%) and K3PO4 formation in situ | CuI–L, L = (for aryl bromides) | [85] |
| (13) | Pd(OAc)2 and amino acid = proline, tyrosine, or alanine (L) | Palladium colloids | [86] |
| (14) | Pd(acac)2 and amino acid (L) Palladium(II) Amino Acid Complexes were pre-synthesized | amino acid = L-proline/N-methyl-L-proline/4-hydroxy-L-proline/trans-4-fluoro-L-proline/2-benzylproline hydrochloride/L-azetidine-2-carboxylic acid/L-pipecolinic acid/D-proline/D-pipecolinic acid | [87] |
| (15) | CuI (0.05 mmol), L (0.048 mmol) and Cs2CO3 (0.965 mmol) formation in situ | CuI–L, L = ![]() | [88] |
| (16) | PdCl2 and Glu-IMS, Glu-IMS = Glucoside-based imidazolium salts (combining glu- coside and imidazolium head groups) | ~4.0 nm palladium nanoparticles stabilized by Glu-IMS | [89] |
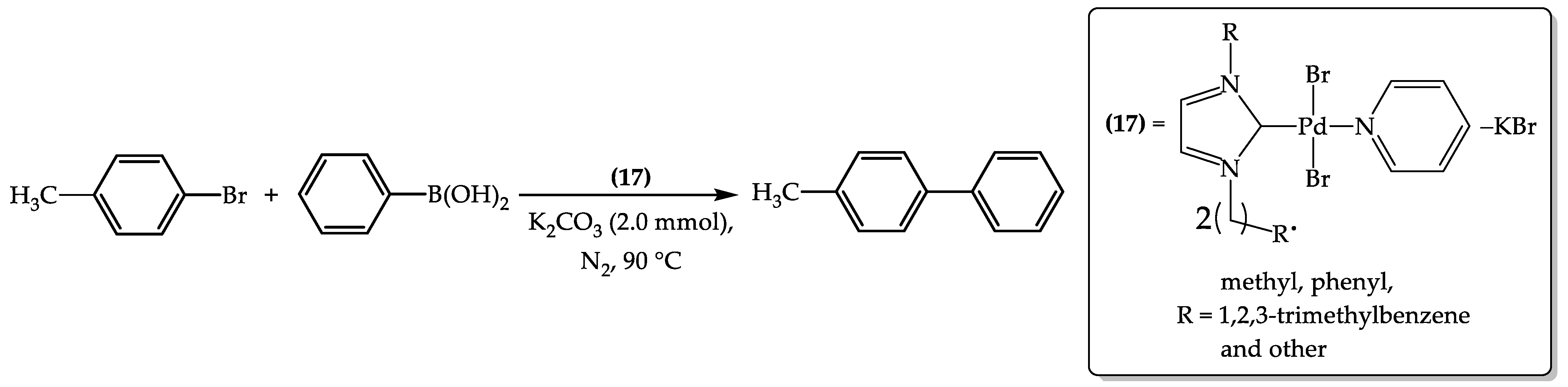
| (17) | Pd(OAc)2 (1.0 mmol), Glu-NHCs precursor (1.0 mmol), KBr (2.0 mmol) and dry pyridine (3.0 mL) were pre-synthesized | ![]() Glu-NHCs-Pd(II)-PEPPSI complex R = methyl, phenyl, 1,2,3-trimethylbenzene and other | [90] |
| (18) | CuI (2–20 mol%), L (5–20 mol%) and K2CO3 (1–2 equiv.) formation in situ | CuI–L, L = Glycosyl triazoles | [91] |
| (19) | [(η5-Cp*R)IrCl2]2, amino acid (L) and NaHCO3 were pre-synthesized | [(η5-Cp*R)IrCl2]2, Cp*R = tetramethyl(phenyl)cyclopentadienyl (Cp*Ph), tetramethyl(benzyl)cyclopentadienyl (Cp*Bn), tetramethyl(2-propyl)cyclopentadienyl (Cp*iPr), or tetra- methyl(cyclohexyl)cyclopentadienyl (Cp*Cy) L = L-alanine, L-phenylglycine, L-phenylalanine, L-proline, L-piperidine-2-carboxylic acid, L-phenylalanine, L-azetidine-2-carboxylic acid, L-piperidine-2-carboxylic acid, glycine, N,N-dimethyl-glycine | [98] |
| (20) | [Ir(COD)(NHC)2]X and amino acid (L) were pre-synthesized | X = Cl, I NHC = N-heterocyclic carbene, L = glycine, L-alanine, L-valine, L-phenylglycine, L-azetidine-2-carboxylic acid, L-proline, D-proline, cis-4-fluoro-L-prolin, L-pipecolic acid | [99] |
| (21) | [Cp*IrCl2]2 (0.3 mmol) and L (0.3 mmol) formation in situ | [Cp*IrCl2]2–L, L = or , where L1: R1 = t-Bu, R2 = CH3, R3 = H L2: R1 = t-Bu, R2 = Bn, R3 = H L3: R1 = t-Bu, R2 = CH3, R3 = Ph L4: R1 = i-Pr, R2 = CH3, R3 = H L5: R1 = Ph, R2 = CH3, R3 = H | [100] |
| (22) | [Ru(p-cymene)Cl2]2 (0.25 mol%) and L (0.55 mol%) formation in situ | [Ru(p-cymene)Cl2]2–L, L = ![]() | [103] |
| (23) | [Ru(p-cymene)Cl2]2 (1 mol%) and L (2.2 mol%) formation in situ | [Ru(p-cymene)Cl2]2–L, L = ![]() Ligand (1): R = R″ = Me, R′ = H Ligand (2): R = R″ = Me, R′ = H | [104] |
| (24) | [Ru(p-cymene)Cl2]2 (0.5 mol%) and L (1.1 mol%) formation in situ | [Ru(p-cymene)Cl2]2–L, L = ![]() | [105] |
| (25) | [Ru(p-cymene)Cl2]2 (0.25 mol%) and L (0.55 mol%) formation in situ | [Ru(p-cymene)Cl2]2–L, L = or ![]() | [105] |
| (26) | [RhCl2Cp*]2 (0.5 mol%) and L (1.1 mol%) formation in situ | [RhCl2Cp*]2–L, L = ![]() | [111] |
| (27) | [RhCl2Cp*]2 or [IrCl2Cp*]2 (0.5 mol%), L (1.0 mol%) and SDS (10 mol%) formation in situ | [MCl2Cp*]2–L, L = see Scheme 7, M = Rh or Ir | [114] |
| (28) | [Ru(p-cymene)Cl2]2 (0.25 mol%) and L (0.55 mol%) formation in situ | [Ru(p-cymene)Cl2]2–L, L = , ![]() | [115] |
| (29) | [{(η6-p-CH3C6H4iPr)OsCl}2(μ-Cl)2] (0.63 mmol), L (1.265 mmol) and aqueous KHCO3 (12.6 mL, 0.10 mol) were pre-synthesized | [{(η6-p-CH3C6H4iPr)OsCl}2(μ-Cl)2], L = ![]() R1 = CH3, R2 = H, R3 = H R1 = Bn, R2 = H, R3 = H R1 = Bn, R2 = H, R3 = CH3 R1 = (CH2)2, R2 = (CH2)2, R3 = H R1 = (CH2)3, R2 = (CH2)3, R3 = H R1 = (CH2)4, R2 = (CH2)4, R3 = H R1 = Bn, R2 = CH3, R3 = CH3 R1 = (CH2)3, R2 = (CH2)3, R3 = CH3 | [116] |
| (30) | [Ru(p-cym)Cl2]2 (0.16 mmol) and L (0.43 mmol) were pre-synthesized | L = N-heterocyclic carbene hybrids The method of ligand (L) synthesis is described in the article [117] | [117] |
| (31) | Mn(CO)5Br (1 equiv.), L (0.3 mmol) and toluene, stirring at 110 °C for 4 h were pre-synthesized | The method of ligand (L) synthesis is described in the article [119] | [119] |
| (32) | [Ir(μ-Cl)(cod)]2 (0.0185 mmol), L (0.037 mmol) and Na[{3,5-(CF3)2C6H3}4B] (0.041 mmol) were pre-synthesized | [Ir(cod)(L)][{3,5-(CF3)2C6H3}4B], L = ![]() R1 = Ph, CH3, t-Bu and other | [120] |
| (33) | [Rh(cod)2]BF4 (0.05 mmol) and L (0.05 mmol) were pre-synthesized | [Rh(cod)(L)]BF4, L = ![]() | [120] |
| (34) | [Ir(cod)2][{3,5-(CF3)2C6H3}4B] (0.01 mmol) and L (0.01 mmol) formation in situ | [Ir(cod)2][{3,5-(CF3)2C6H3}4B]–L, L = ![]() | [121] |
| (35) | [(C6H6)RuCl2]2 (0.096 mmol), dppf (0.19 mmol) and L (0.19 mmol) were pre-synthesized | [RuCl2(dppf)(L)], L = ![]() | [122] |
| (36) | Yb(OTf)3 (0.1 mmol), L (0.12 mmol) and NaOH (0.12 mmol) formation in situ | Yb(OTf)3–L, L = ![]() | [127] |
| (37) | CuI (5 mol%), L (5 mol%) and CsCO3 (1.2 equiv.) | CuI–L, L = ![]() | [129] |
Disclaimer/Publisher’s Note: The statements, opinions and data contained in all publications are solely those of the individual author(s) and contributor(s) and not of MDPI and/or the editor(s). MDPI and/or the editor(s) disclaim responsibility for any injury to people or property resulting from any ideas, methods, instructions or products referred to in the content. |
© 2024 by the author. Licensee MDPI, Basel, Switzerland. This article is an open access article distributed under the terms and conditions of the Creative Commons Attribution (CC BY) license (https://creativecommons.org/licenses/by/4.0/).
Share and Cite
Titova, Y. Transition Metal Complexes with Amino Acids, Peptides and Carbohydrates in Catalytic Asymmetric Synthesis: A Short Review. Processes 2024, 12, 214. https://doi.org/10.3390/pr12010214
Titova Y. Transition Metal Complexes with Amino Acids, Peptides and Carbohydrates in Catalytic Asymmetric Synthesis: A Short Review. Processes. 2024; 12(1):214. https://doi.org/10.3390/pr12010214
Chicago/Turabian StyleTitova, Yuliya. 2024. "Transition Metal Complexes with Amino Acids, Peptides and Carbohydrates in Catalytic Asymmetric Synthesis: A Short Review" Processes 12, no. 1: 214. https://doi.org/10.3390/pr12010214
APA StyleTitova, Y. (2024). Transition Metal Complexes with Amino Acids, Peptides and Carbohydrates in Catalytic Asymmetric Synthesis: A Short Review. Processes, 12(1), 214. https://doi.org/10.3390/pr12010214































