Study on the Reservoir Heterogeneity of Different Volcanic Facies Based on Electrical Imaging Log in the Liaohe Eastern Sag
Abstract
1. Introduction
2. Geological Setting
3. Materials and Methods
3.1. Materials
3.2. Methods
3.2.1. Resistivity Calibration
3.2.2. Porosity Calibration
3.2.3. Porosity Spectra, Porosity Bins, Porosity Variation Coefficient, and Porosity Width
4. Results
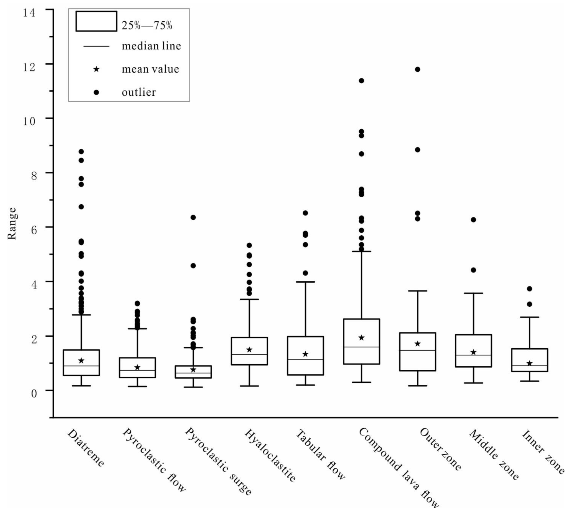
4.1. Heterogeneity Characteristics of Diatreme Subfacies in Volcanic Conduit Facies
4.2. Heterogeneity Characteristics of Explosive Facies
4.2.1. Heterogeneity Characteristics of Pyroclastic Surge Subfacies in Explosive Facies
4.2.2. Heterogeneity Characteristics of the Pyroclastic Flow Subfacies in Explosive Facies
4.3. Heterogeneity Characteristics of Effusive Facies
4.3.1. Heterogeneity Characteristics of Hyaloclastite Subfacies in Effusive Facies
4.3.2. Heterogeneity Characteristics of Tabular Flow Subfacies in Effusive Facies
4.3.3. Heterogeneity Characteristics of Compound Lava Flow Subfacies in Effusive Facies
4.4. Heterogeneity Characteristics in Extrusive Facies
4.4.1. Heterogeneity Characteristics of Outer Zone Subfacies in Extrusive Facies
4.4.2. Heterogeneity Characteristics of Middle Zone Subfacies in Extrusive Facies
4.4.3. Heterogeneity Characteristics of Inner Zone Subfacies in Extrusive Facies
5. Discussion
5.1. Analysis of Pore Characteristics and Favorable Reservoirs in Different Volcanic Facies
5.2. Heterogeneity Classification of Different Volcanic Facies
6. Conclusions
Author Contributions
Funding
Data Availability Statement
Conflicts of Interest
References
- Zou, C.; Zhao, W.; Jia, C. Formation and distribution of volcanic hydrocarbon reservoirs in sedimentary basins of China. Pet. Explor. Dev. 2008, 35, 257–271, (In Chinese with English Abstract). [Google Scholar] [CrossRef]
- Yu, Y.; Xu, H.; Bai, Y. CT-based 3D pore-fracture network analysis of volcanic reservoirs of Lower Cretaceous Yingcheng formation in southern Songliao Basin, China: Impact on natural gas migration. Geoenergy Sci. Eng. 2023, 223, 211581. [Google Scholar] [CrossRef]
- Tang, H.; Tian, Z.; Gao, Y. Review of volcanic reservoir geology in China. Earth-Sci. Rev. 2022, 232, 104158. [Google Scholar]
- Bian, B.; Iming, A.; Gao, T.; Liu, H.; Jiang, W.; Wang, X.; Ding, X. Petroleum Geology and Exploration of Deep-Seated Volcanic Condensate Gas Reservoir around the Penyijingxi Sag in the Junggar Basin. Processes 2022, 10, 2430. [Google Scholar] [CrossRef]
- Liu, Z.; Wang, Z.; Liu, J. The logging characteristics of the intermediate and mafic igneous rock from the depression in the Eastern Liaohe Basin. Geophys. Prospect. Pet. 2015, 54, 787–795, (In Chinese with English Abstract). [Google Scholar]
- Han, R.; Wang, Z.; Guo, Y.; Wang, X.; Ruhan, A.; Zhong, G. Multi-label prediction method for lithology, lithofacies and fluid classes based on data augmentation by cascade forest. Adv. Geo-Energy Res. 2023, 9, 25–37. [Google Scholar] [CrossRef]
- Nian, T.; Wang, G.; Cang, D. The diagnostic criteria of borehole electrical imaging log for volcanic reservoir interpretation: An example from the Yingcheng Formation in the Xujiaweizi Depression, Songliao Basin, China. J. Pet. Sci. Eng. 2022, 208, 109713. [Google Scholar] [CrossRef]
- Ye, T. Lithofacies characteristics and controlling on volcanic reservoirs in the basement: A case study of the offshore Bohai Bay Basin, Eastern China. J. Pet. Sci. Eng. 2022, 209, 109860. [Google Scholar] [CrossRef]
- Li, R.; Xiong, Z.; Wang, Z.; Xie, W.; Li, W.; Hu, J. Lithofacies Characteristics and Pore Controlling Factors of New Type of Permian Unconventional Reservoir in Sichuan Basin. Processes 2023, 11, 625. [Google Scholar] [CrossRef]
- Jiang, F.; Cheng, R.H.; Ruan, B.T.; Lin, B.; Xu, Z.; Li, Z. Formation mechanism of volcanic reservoirs within a volcanostratigraphic framework: The case of the Wangfu fault depression in the Songliao Basin, China. Mar. Pet. Geol. 2017, 84, 160–178. [Google Scholar] [CrossRef]
- Lu, X. Key factors controlling deep Carboniferous volcanic reservoirs in the east slope of Mahu Sag, Junggar Basin, NW China. J. Pet. Sci. Eng. 2023, 220, 111223. [Google Scholar]
- Mao, Z.; Zhu, R.; Wang, J. Characteristics of Diagenesis and Pore Evolution of Volcanic Reservoir: A Case Study of Junggar Basin, Northwest China. J. Earth Sci. 2021, 32, 960–971. [Google Scholar] [CrossRef]
- Fan, H.; Shi, J.; Fan, T. Sedimentary Microfacies Analysis of carbonate Formation Based on FMI and conventional Logs: A case study from the Ordovician in the Tahe Oilfield, Tarim Basin, China. J. Pet. Sci. Eng. 2021, 203, 108603. [Google Scholar] [CrossRef]
- Wang, W.; La, W.; Fan, T. A Comparative Study on Microscopic Characteristics of Volcanic Reservoirs in the Carboniferous Kalagang and Haerjiawu Formations in the Santanghu Basin, China. Front. Earth Sci. 2021, 9, 735703. [Google Scholar] [CrossRef]
- Huang, Y.; Hu, W.; Yuan, B.T. Evaluation of pore structures in volcanic reservoirs: A case study of the Lower Cretaceous Yingcheng Formation in the Southern Songliao Basin, NE China. Environ. Earth Sci. 2019, 78, 102. [Google Scholar] [CrossRef]
- Sun, H.; Zhong, D.; Zhan, W. Reservoir characteristics in the Cretaceous volcanic rocks of Songliao Basin, China: A case of dynamics and evolution of the volcano-porosity and diagenesis. Energy Explor. Exploit. 2019, 37, 607–625. [Google Scholar] [CrossRef]
- Nemes, I. Revisiting the applications of drainage capillary pressure curves in water-wet hydrocarbon systems. Open Geosci. 2016, 8, 22–38. [Google Scholar]
- Schmitt, M.; Fernandes, C.; Neto, J. Characterization of pore systems in seal rocks using nitrogen gas adsorptioncombined with mercury injection capillary pressure techniques. Mar. Petrol. Geol. 2013, 39, 138–149. [Google Scholar] [CrossRef]
- Xiao, D.; Lu, S.; Lu, Z. Combining nuclear magnetic resonance and rate-controlled porosimetry to probe the pore-throat structure of tight sandstones. Pet. Explor. Dev. 2016, 43, 961–970. [Google Scholar] [CrossRef]
- Zuo, C.; Wang, Z.; Xiang, M.; Zhou, D.; Liu, Z. The radial pore heterogeneity of volcanic reservoir based on the porosity analysis of micro-electric imaging logging. Geophys. Prospect. Pet. 2016, 55, 449–454. [Google Scholar]
- Liu, Z.; Wang, Z.; Zhou, D. Pore Distribution Characteristics of the Igneous Reservoirs in the Eastern Sag of the Liaohe Depression. Open Geosci. 2017, 9, 161–173. [Google Scholar]
- Alizadeh, M.; Movahed, Z.; Junin, R. Porosity Analysis using Image Logs. Environ. Sci. 2015, 10, 326–337. [Google Scholar]
- Fu, H.; Zou, C.; Li, N. A quantitative approach to characterize porosity structure from borehole electrical images and its application in a carbonate reservoir in the Tazhong Area, Tarim Basin. SPE Reserv. Eval. Eng. 2016, 55, 18–23. [Google Scholar]
- Zhang, C.; Pan, B.; Zhang, X. Application of FMI logging data in evaluation of heterogeneity reservoirs. Geophys. Prospect. Petrol. 2011, 50, 630–633, (In Chinese with English Abstract). [Google Scholar]
- Lai, J.; Pang, X.; Xiao, Q. Prediction of reservoir quality in carbonates via porosity spectrum from image log. J. Petrol. Sci. Eng. 2019, 173, 197–208. [Google Scholar] [CrossRef]
- Ghasem, A.; Reza, M.; Ruhangiz, M. Reservoir heterogeneity and fracture parameter determination using electrical image logs and petrophysical data (a case study, carbonate Asmari Formation, Zagros Basin, SW Iran). Pet. Sci. 2020, 17, 51–69. [Google Scholar]
- Li, X.; Zhou, Y.; Gou, Y. Porosity analysis of micro-electric imaging logging and its application in carbonate reservoir production capacity forecast. J. Jilin Univ. (Earth Sci. Ed.) 2012, 42, 928–934, (In Chinese with English Abstract). [Google Scholar]
- Xie, H.; Wu, L.; Jiao, Y. The Quantitative Evaluation Index System for Uranium Reservoir Heterogeneity in Hantaimiao Region. Ordos Basin. Earth Sci. 2016, 41, 279–292. [Google Scholar]
- Saeed, Y.; Ali, K.; Sirous, H. An integrated approach for heterogeneity analysis of carbonate reservoirs by using image log based porosity distributions, NMR T2 curves, velocity deviation log and petrographic studies: A case study from the South Pars gas field, Persian Gulf Basin. J. Petrol. Sci. Eng. 2020, 192, 107283. [Google Scholar]
- Tadayoni, M.; Khalilbeyg, M.; Junin, R. A new approach to heterogeneity analysis in a highly complex carbonate reservoir by using borehole image and conventional log data. J. Pet. Explor. Prod. Technol. 2020, 10, 2613–2629. [Google Scholar] [CrossRef]
- Liu, Z.; Wu, H.; Chen, R. Evaluation of volcanic reservoir heterogeneity in eastern sag of Liaohe Basin based on electrical image logs. J. Pet. Sci. Eng. 2022, 211, 110115. [Google Scholar] [CrossRef]
- Mou, D.; Wang, Z.; Huang, Y. Lithological identification of volcanic rocks from SVM well logging data: Case study in the eastern depression of Liaohe Basin. Chin. J. Geophys. 2015, 58, 1785–1793, (In Chinese with English Abstract). [Google Scholar]
- Huang, Y.; Shan, J.; Bian, W. Facies classification and reservoir significance of the Cenozoic intermediate and mafic igneous rocks in Liaohe Depression, East China. Petrol. Explor. Dev. 2014, 41, 734–744. [Google Scholar] [CrossRef]
- Chu, Z. Structural Design for Micro-resistivity Scanner Imaging Logging Tool. Well Logging Technol. 1996, 20, 139–145, (In Chinese with English Abstract). [Google Scholar]
- Lai, J.; Wang, G.; Fan, Z.; Chen, J. Sedimentary characterization of a braided delta using well logs: The upper Triassic Xujiahe formation in Central Sichuan basin, China. J. Petrol. Sci. Eng. 2017, 154, 172–193. [Google Scholar] [CrossRef]











| Geological Period | Strata | Lithology | |||
|---|---|---|---|---|---|
| Formation | Member | Symbol | |||
| Paleogene | Oligocene | Dongying | first | Ed1 | basalt |
| second | Ed2 | Basalt and trachyte | |||
| third | Ed3 | basalt | |||
| Shahejie | first | Es1 | basalt | ||
| second | Es2 | Basalt and diabase | |||
| Eocene | third | Es3 | basalt, trachyte, and diabase | ||
| fourth | Es4 | basalt, basaltic sedimentary tuff, and tuffaceous sandstone | |||
| Fangshenpao | upper | Efu | basalt | ||
| Paleocene | lower | Efl | Basalt and tuffaceous sandstone | ||
| Facies | Subfacies | Depth | Variation Coefficient | Porosity Width | Porosity Spectrum | Porosity Bin | VC × Porosity Width | Type |
|---|---|---|---|---|---|---|---|---|
| volcanic conduit | diatreme | 4550–4583 m | 0.131 | 8.4 | unimodal | concentrated | 1.100 | Ⅰ |
| explosive | pyroclastic surge | 4440–4465 m | 0.144 | 5.3 | unimodal | concentrated | 0.763 | Ⅰ |
| pyroclastic flow | 4450–4478 m | 0.104 | 8.2 | unimodal | concentrated | 0.853 | Ⅰ | |
| effusive | hyaloclastite | 3802–3835 m | 0.166 | 9.0 | bimodal with tails, broad | less concentrated | 1.494 | Ⅱ |
| tabular flow | 3825–3845 m | 0.186 | 7.2 | bimodal with tails | less concentrated | 1.339 | Ⅱ | |
| compound lava flow | 3811–3840 m | 0.17 | 11.4 | multimodal with tails | scattered | 1.938 | Ⅲ | |
| extrusive | outer zone | 4273–4281 m | 0.189 | 9.1 | multimodal with tails | scattered | 1.720 | Ⅲ |
| middle zone | 4382–4302 m | 0.212 | 6.8 | bimodal with tails, broad | less concentrated | 1.442 | Ⅱ | |
| inner zone | 4302–4318 m | 0.174 | 6.0 | unimodal, narrow | concentrated | 1.044 | Ⅰ |
| Type | VC × Porosity Width | VC | Porosity Width | Porosity Spectrum | Porosity Bin | Evaluation |
|---|---|---|---|---|---|---|
| Ⅰ | <1.1 | <0.15 | <6 | unimodal, narrow | concentrated | weak |
| Ⅱ | 1.1~1.6 | 0.15~0.25 | 6~9 | bimodal with tails, broad | less concentrated | moderate |
| Ⅲ | >1.6 | >0.25 | >9 | multimodal with tails, very broad | scattered | strong |
Disclaimer/Publisher’s Note: The statements, opinions and data contained in all publications are solely those of the individual author(s) and contributor(s) and not of MDPI and/or the editor(s). MDPI and/or the editor(s) disclaim responsibility for any injury to people or property resulting from any ideas, methods, instructions or products referred to in the content. |
© 2023 by the authors. Licensee MDPI, Basel, Switzerland. This article is an open access article distributed under the terms and conditions of the Creative Commons Attribution (CC BY) license (https://creativecommons.org/licenses/by/4.0/).
Share and Cite
Liu, Z.; Wu, H.; Zhang, S.; Zhao, X. Study on the Reservoir Heterogeneity of Different Volcanic Facies Based on Electrical Imaging Log in the Liaohe Eastern Sag. Processes 2023, 11, 2427. https://doi.org/10.3390/pr11082427
Liu Z, Wu H, Zhang S, Zhao X. Study on the Reservoir Heterogeneity of Different Volcanic Facies Based on Electrical Imaging Log in the Liaohe Eastern Sag. Processes. 2023; 11(8):2427. https://doi.org/10.3390/pr11082427
Chicago/Turabian StyleLiu, Zongli, Huanping Wu, Shanyi Zhang, and Xiaoqing Zhao. 2023. "Study on the Reservoir Heterogeneity of Different Volcanic Facies Based on Electrical Imaging Log in the Liaohe Eastern Sag" Processes 11, no. 8: 2427. https://doi.org/10.3390/pr11082427
APA StyleLiu, Z., Wu, H., Zhang, S., & Zhao, X. (2023). Study on the Reservoir Heterogeneity of Different Volcanic Facies Based on Electrical Imaging Log in the Liaohe Eastern Sag. Processes, 11(8), 2427. https://doi.org/10.3390/pr11082427

