Thermal Behavior Prediction of Sludge Co-Combustion with Coal: Curve Extraction and Artificial Neural Networks
Abstract
1. Introduction
2. Materials and Methods
2.1. Raw Material
2.2. Thermogravimetric Experiment
2.3. Thermogravimetric Curve Extraction
2.4. Artificial Neural Networks
3. Results and Discussion
3.1. Co-Combustion Characteristics
3.2. Thermogravimetric Curve Extraction
3.3. Thermal Behavior Prediction
3.3.1. TCE
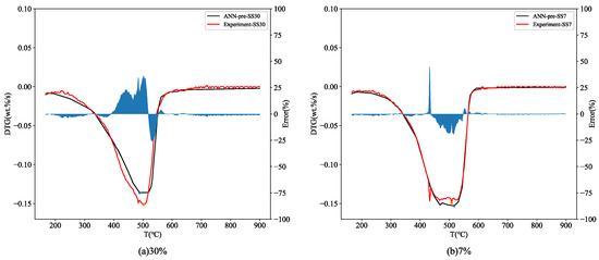
3.3.2. ANN Models
4. Conclusions
Author Contributions
Funding
Data Availability Statement
Conflicts of Interest
Nomenclature
| TGA | Thermogravimetric analysis | M | Moisture, wt% |
| TCE | Thermogravimetric curve extraction | A | Ash, wt% |
| ANN | Artificial neural networks | V | Volatile matter, wt% |
| DTG | The weight loss rate | FC | Fixed carbon, wt% |
| MAE | Mean absolute error | C | Carbon, wt% |
| MSE | Mean squared error | H | Hydrogen, wt% |
| TG | The total mass loss | N | Nitrogen, wt% |
| ZC | The mixture (0% sludge and 100% coal) | S | Sulfur, wt% |
| SS | The mixture (100% sludge and 0% coal) | O | Oxygen, wt% |
References
- Park, J.M.; Keel, S.; Yun, J.; Yun, J.H.; Lee, S.-S. Thermogravimetric study for the co-combustion of coal and dried sewage sludge. Korean J. Chem. Eng. 2017, 34, 2204–2210. [Google Scholar] [CrossRef]
- Liu, J.-z.; Wang, R.-k.; Gao, F.-y.; Zhou, J.-H.; Cen, K.-F. Rheology and thixotropic properties of slurry fuel prepared using municipal wastewater sludge and coal. Chem. Eng. Sci. 2012, 76, 1–8. [Google Scholar] [CrossRef]
- Merdun, H.; Laougé, Z.B.; Çığgın, A.S. Synergistic effects on co-pyrolysis and co-combustion of sludge and coal investigated by thermogravimetric analysis. J. Therm. Anal. Calorim. 2021, 146, 2623–2637. [Google Scholar] [CrossRef]
- Kang, J.H.; Kang, J.Y.; Lee, S.H.; Kim, B.T.; Lee, N.-H. A Study on the Evaluation of Fuel Characteristic and Economic Benefit for Co-combustion of Dried Sewage Sludge with Coal. J. Korea Org. Resour. Recycl. Assoc. 2014, 22, 11–19. [Google Scholar]
- Yang, Z.; Zhang, Y.; Liu, L.; Wang, X.; Zhang, Z. Environmental investigation on co-combustion of sewage sludge and coal gangue: SO2, NOx and trace elements emissions. Waste Manag. 2016, 50, 213–221. [Google Scholar] [CrossRef] [PubMed]
- Fu, B.; Liu, G.; Mian, M.M.; Zhou, C.; Sun, M.; Wu, D.; Liu, Y. Co-combustion of industrial coal slurry and sewage sludge: Thermochemical and emission behavior of heavy metals. Chemosphere 2019, 233, 440–451. [Google Scholar] [CrossRef] [PubMed]
- Wang, Y.; Jia, L.; Guo, J.; Wang, B.; Zhang, L.; Xiang, J.; Jin, Y. Thermogravimetric analysis of co-combustion between municipal sewage sludge and coal slime: Combustion characteristics, interaction and kinetics. Thermochim. Acta 2021, 706, 179056. [Google Scholar] [CrossRef]
- Wu, J.; Wang, B.; Cheng, F. Thermal and kinetic characteristics of combustion of coal sludge. J. Therm. Anal. Calorim. 2017, 129, 1899–1909. [Google Scholar] [CrossRef]
- Xiao, F.; Zhang, H.; Ma, P.; Wang, C. Fault diagnosis of variable rotating speed rolling bearing using generalized features based on MTFCE. Vib. Shock. 2022, 41, 152–159+188. [Google Scholar] [CrossRef]
- Yochum, M.; Renaud, C.; Jacquir, S. Automatic detection of P, QRS and T patterns in 12 leads ECG signal based on CWT. Biomed. Signal Process. Control. 2016, 25, 46–52. [Google Scholar] [CrossRef]
- Chen, J.; Liu, J.; He, Y.; Huang, L.; Sun, S.; Sun, J.; Chang, K.; Kuo, J.; Huang, S.; Ning, X. Investigation of co-combustion characteristics of sewage sludge and coffee grounds mixtures using thermogravimetric analysis coupled to artificial neural networks modeling. Bioresour. Technol. 2017, 225, 234–245. [Google Scholar] [CrossRef] [PubMed]
- Witek-Krowiak, A.; Chojnacka, K.; Podstawczyk, D.; Dawiec, A.; Pokomeda, K. Application of response surface methodology and artificial neural network methods in modelling and optimization of biosorption process. Bioresour. Technol. 2014, 160, 150–160. [Google Scholar] [CrossRef] [PubMed]
- Aghbashlo, M.; Peng, W.X.; Tabatabaei, M.; Kalogirou, S.A.; Soltanian, S.; Hosseinzadeh-Bandbafha, H.; Mahian, O.; Lam, S.S. Machine learning technology in biodiesel research: A review. Prog. Energy Combust. Sci. 2021, 85, 100904. [Google Scholar] [CrossRef]
- Ni, Z.S.; Bi, H.B.; Jiang, C.L.; Sun, H.; Zhou, W.L.; Tian, J.J.; Lin, Q.Z. Investigation of co-combustion of sewage sludge and coffee industry residue by TG-FTIR and machine learning methods. Fuel 2022, 309, 122082. [Google Scholar] [CrossRef]
- Muravyev, N.V.; Luciano, G.; Ornaghi, H.L.; Svoboda, R.; Vyazovkin, S. Artificial Neural Networks for Pyrolysis, Thermal Analysis, and Thermokinetic Studies: The Status Quo. Molecules 2021, 26, 3727. [Google Scholar] [CrossRef]
- Yildiz, Z.; Uzun, H.; Ceylan, S.; Topcu, Y. Application of artificial neural networks to co-combustion of hazelnut husk-lignite coal blends. Bioresour. Technol. 2016, 200, 42–47. [Google Scholar] [CrossRef]
- Mian, I.; Li, X.; Jian, Y.; Dacres, O.D.; Zhong, M.; Liu, J.; Ma, F.; Rahman, N. Kinetic study of biomass pellet pyrolysis by using distributed activation energy model and Coats Redfern methods and their comparison. Bioresour. Technol. 2019, 294, 122099. [Google Scholar] [CrossRef]
- SP, S.P.; Swaminathan, G.; Joshi, V.V. Energy conservation–A novel approach of co-combustion of paint sludge and Australian lignite by principal component analysis, response surface methodology and artificial neural network modeling. Environ. Technol. Innov. 2020, 20, 101061. [Google Scholar]
- Xie, C.; Liu, J.; Zhang, X.; Xie, W.; Sun, J.; Chang, K.; Kuo, J.; Xie, W.; Liu, C.; Sun, S. Co-combustion thermal conversion characteristics of textile dyeing sludge and pomelo peel using TGA and artificial neural networks. Appl. Energy 2018, 212, 786–795. [Google Scholar] [CrossRef]
- Yan, J.-d.; Cui, H.; Yang, J.; Liu, Z. Research on pyrolysis behavior of Yanzhou coal using TG/MS. Zhongguo Kuangye Daxue Xuebao 2003, 32, 102–106. [Google Scholar]
- Bifan, H.; Liao, W.; Chuan, H. Study on combustion characteristics and kinetics of Chongqing municipal sewage sludge. Proc. CSEE 2010, 30, 32–37. [Google Scholar]
- Liu, J.; Jiang, X.; Shen, J.; Zhang, H. Chemical properties of superfine pulverized coal particles. Part 1. Electron paramagnetic resonance analysis of free radical characteristics. Adv. Powder Technol. 2014, 25, 916–925. [Google Scholar] [CrossRef]
- Folgueras, M.B.; Díaz, R.M. Influence of FeCl3 and lime added to sludge on sludge–coal pyrolysis. Energy 2010, 35, 5250–5259. [Google Scholar] [CrossRef]
- Xiao, P.; Xu, L.; Wang, X.; Chang, Z. Co-pyrolysis characteristics of coal and sludge blends using thermogravimetric analysis. Environ. Prog. Sustain. Energy 2015, 34, 1780–1789. [Google Scholar] [CrossRef]
- Coimbra, R.N.; Paniagua, S.; Escapa, C.; Calvo, L.F.; Otero, M. Thermogravimetric analysis of the co-pyrolysis of a bituminous coal and pulp mill sludge. J. Therm. Anal. Calorim. 2015, 122, 1385–1394. [Google Scholar] [CrossRef]
- Shen, L.; Zhang, D.-K. An experimental study of oil recovery from sewage sludge by low-temperature pyrolysis in a fluidised-bed. Fuel 2003, 82, 465–472. [Google Scholar] [CrossRef]
- Lutz, H.; Romeiro, G.A.; Damasceno, R.N.; Kutubuddin, M.; Bayer, E. Low temperature conversion of some Brazilian municipal and industrial sludges. Bioresour. Technol. 2000, 74, 103–107. [Google Scholar] [CrossRef]
- Schmidhuber, J. Deep learning in neural networks: An overview. Neural Netw. 2015, 61, 85–117. [Google Scholar] [CrossRef] [PubMed]
- Hippert, H.S.; Pedreira, C.E.; Souza, R.C. Neural networks for short-term load forecasting: A review and evaluation. IEEE Trans. Power Syst. 2001, 16, 44–55. [Google Scholar] [CrossRef]
- Xu, T.; Wang, C.B.; Hong, D.K.; Li, S.; Yue, S. The synergistic effect during co-combustion of municipal sludge and coal: Experimental and ReaxFF molecular dynamic study. Energy 2023, 262, 125553. [Google Scholar] [CrossRef]
- Lee, J.G.; Jun, S.; Cho, Y.W.; Lee, H.; Kim, G.B.; Seo, J.B.; Kim, N. Deep Learning in Medical Imaging: General Overview. Korean J. Radiol. 2017, 18, 570–584. [Google Scholar] [CrossRef] [PubMed]







| Sample | Proximate Analysis (wt.%) | Ultimate Analysis (wt.%) | |||||||||
|---|---|---|---|---|---|---|---|---|---|---|---|
| M | A | V | FC | V/FC | C | H | N | S | O | C/H | |
| SS | 2.60 | 63.63 | 33.57 | 0.20 | 167.85 | 12.07 | 1.86 | 1.41 | 0.23 | 18.20 | 6.49 |
| ZC | 1.68 | 3.63 | 44.06 | 50.63 | 0.87 | 70.75 | 4.65 | 1.57 | 0.55 | 17.17 | 15.22 |
| Condition | Value |
|---|---|
| Temperature | room temperature ~900 °C |
| Temperature accuracy | ±5 °C |
| Sample quality | 8 mg |
| Heating rate | 20 °C/min. |
| Air flow rate | 50 mL/min |
| Sample | ||||||
|---|---|---|---|---|---|---|
| ZC | 10.67 | 0.193 | 0.053 | 393.53 | 617.17 | 470.62 |
| SS5 | 8.53 | 0.152 | 0.054 | 391.93 | 615.88 | 481.23 |
| SS7 | 8.26 | 0.143 | 0.054 | 389.88 | 608.80 | 492.82 |
| SS10 | 9.14 | 0.158 | 0.054 | 389.19 | 612.35 | 511.66 |
| SS15 | 6.83 | 0.136 | 0.045 | 384.19 | 612.03 | 525.77 |
| SS20 | 7.77 | 0.140 | 0.050 | 383.04 | 611.71 | 513.61 |
| SS30 | 7.23 | 0.149 | 0.048 | 380.76 | 682.63 | 497.50 |
| SS50 | 4.56 | 0.123 | 0.037 | 374.64 | 703.64 | 512.11 |
| SS | 1.56 | 0.044 | 0.019 | 266.76 | 750.21 | 312.21 |
| Sample | (|dw/dt|)max (wt.%/s) | Tmax (°C) | R2 | |
|---|---|---|---|---|
| SS5 | Predicted value | −0.148 | 487.12 | 99.3% |
| Error (%) | 2.76 | 1.22 | ||
| SS7 | Predicted value | −0.146 | 495.39 | 99.7% |
| Error (%) | 2.01 | 2.48 | ||
| SS15 | Predicted value | −0.137 | 517.72 | 99.6% |
| Error (%) | 1.03 | 1.53 | ||
| SS20 | Predicted value | −0.141 | 524.50 | 97.4% |
| Error (%) | 0.50 | 2.21 | ||
| SS30 | Predicted value | −0.147 | 503.67 | 99.7% |
| Error (%) | 2.65 | 0.31 | ||
| SS50 | Predicted value | −0.122 | 506.68 | 96.5% |
| Error (%) | 0.89 | 1.06 |
| Model | Layers Size | MSE | MAE | R2 |
|---|---|---|---|---|
| ANN 1 | (2, 8, 1) | 0.00104 | 0.022132 | 0.9433 |
| ANN 2 | (2, 16, 1) | 0.001064 | 0.019928 | 0.942 |
| ANN 3 | (2, 32, 1) | 0.017427 | 0.09442 | 0.0501 |
| ANN 4 | (2, 64, 1) | 0.017925 | 0.096915 | 0.023 |
| ANN 5 | (2, 128, 1) | 0.013364 | 0.072531 | 0.2716 |
| ANN 6 | (4, 8, 1) | 0.000991 | 0.020615 | 0.946 |
| ANN 7 | (4, 16, 1) | 0.001184 | 0.019918 | 0.9355 |
| ANN 8 | (4, 32, 1) | 0.001295 | 0.021509 | 0.9294 |
| ANN 9 | (4, 64, 1) | 0.001787 | 0.022526 | 0.9026 |
| ANN 10 | (4, 128, 1) | 0.00101 | 0.018309 | 0.945 |
| ANN 11 | (8, 8, 1) | 0.00115 | 0.021255 | 0.9373 |
| ANN 12 | (8, 16, 1) | 0.000723 | 0.015966 | 0.9606 |
| ANN 13 | (8, 32, 1) | 0.001363 | 0.020865 | 0.9257 |
| ANN 14 | (8, 64, 1) | 0.000961 | 0.0179 | 0.9476 |
| ANN 15 | (8, 128, 1) | 0.001038 | 0.017388 | 0.9434 |
| ANN 16 | (16, 8, 1) | 0.00126 | 0.019521 | 0.9313 |
| ANN 17 | (16, 16, 1) | 0.001354 | 0.019959 | 0.9262 |
| ANN 18 | (16, 32, 1) | 0.000931 | 0.016625 | 0.9492 |
| ANN 19 | (16, 64, 1) | 0.000983 | 0.018556 | 0.9464 |
| ANN 20 | (16, 128, 1) | 0.001179 | 0.021205 | 0.9357 |
| ANN 21 | (32, 8, 1) | 0.001418 | 0.022844 | 0.9227 |
| ANN 22 | (32, 16, 1) | 0.000711 | 0.015996 | 0.9613 |
| ANN 23 | (32, 32, 1) | 0.001004 | 0.01887 | 0.9453 |
| ANN 24 | (32, 64, 1) | 0.000467 | 0.010857 | 0.9746 |
| ANN 25 | (32, 128, 1) | 0.000948 | 0.018843 | 0.9483 |
| Sample | (wt.%/s) | (°C) | R2 | |
|---|---|---|---|---|
| SS7 | Predicted value | −0.153 | 516.15 | 99.1% |
| Experimental value | −0.149 | 507.99 | ||
| Error (%) | 2.68 | 1.61 | ||
| SS30 | Predicted value | −0.136 | 488.77 | 94.9% |
| Experimental value | −0.151 | 502.13 | ||
| Error (%) | 9.93 | 2.66 |
Disclaimer/Publisher’s Note: The statements, opinions and data contained in all publications are solely those of the individual author(s) and contributor(s) and not of MDPI and/or the editor(s). MDPI and/or the editor(s) disclaim responsibility for any injury to people or property resulting from any ideas, methods, instructions or products referred to in the content. |
© 2023 by the authors. Licensee MDPI, Basel, Switzerland. This article is an open access article distributed under the terms and conditions of the Creative Commons Attribution (CC BY) license (https://creativecommons.org/licenses/by/4.0/).
Share and Cite
Wen, C.; Lu, J.; Lin, X.; Ying, Y.; Ma, Y.; Yu, H.; Yu, W.; Huang, Q.; Li, X.; Yan, J. Thermal Behavior Prediction of Sludge Co-Combustion with Coal: Curve Extraction and Artificial Neural Networks. Processes 2023, 11, 2275. https://doi.org/10.3390/pr11082275
Wen C, Lu J, Lin X, Ying Y, Ma Y, Yu H, Yu W, Huang Q, Li X, Yan J. Thermal Behavior Prediction of Sludge Co-Combustion with Coal: Curve Extraction and Artificial Neural Networks. Processes. 2023; 11(8):2275. https://doi.org/10.3390/pr11082275
Chicago/Turabian StyleWen, Chaojun, Junlin Lu, Xiaoqing Lin, Yuxuan Ying, Yunfeng Ma, Hong Yu, Wenxin Yu, Qunxing Huang, Xiaodong Li, and Jianhua Yan. 2023. "Thermal Behavior Prediction of Sludge Co-Combustion with Coal: Curve Extraction and Artificial Neural Networks" Processes 11, no. 8: 2275. https://doi.org/10.3390/pr11082275
APA StyleWen, C., Lu, J., Lin, X., Ying, Y., Ma, Y., Yu, H., Yu, W., Huang, Q., Li, X., & Yan, J. (2023). Thermal Behavior Prediction of Sludge Co-Combustion with Coal: Curve Extraction and Artificial Neural Networks. Processes, 11(8), 2275. https://doi.org/10.3390/pr11082275
