Numerical Simulation of Hydraulic Fracture Propagation in Conglomerate Reservoirs: A Case Study of Mahu Oilfield
Abstract
:1. Introduction
2. Characteristics of Mahu Conglomerate Reservoir
3. Theoretical Model
3.1. Basic Control Equation
3.2. Damage and Initiation Criteria
3.3. Fracturing Fluid Flow Model
4. Finite Element Model of Conglomerate Reservoirs
4.1. Finite Element Model
4.2. Model Accuracy Verification
4.3. Model Basic Parameter Settings
5. Calculation Results
5.1. Influence of Horizontal Stress Difference
5.2. Effect of Interface Bonding Strength
5.3. Impact of Gravel Strength
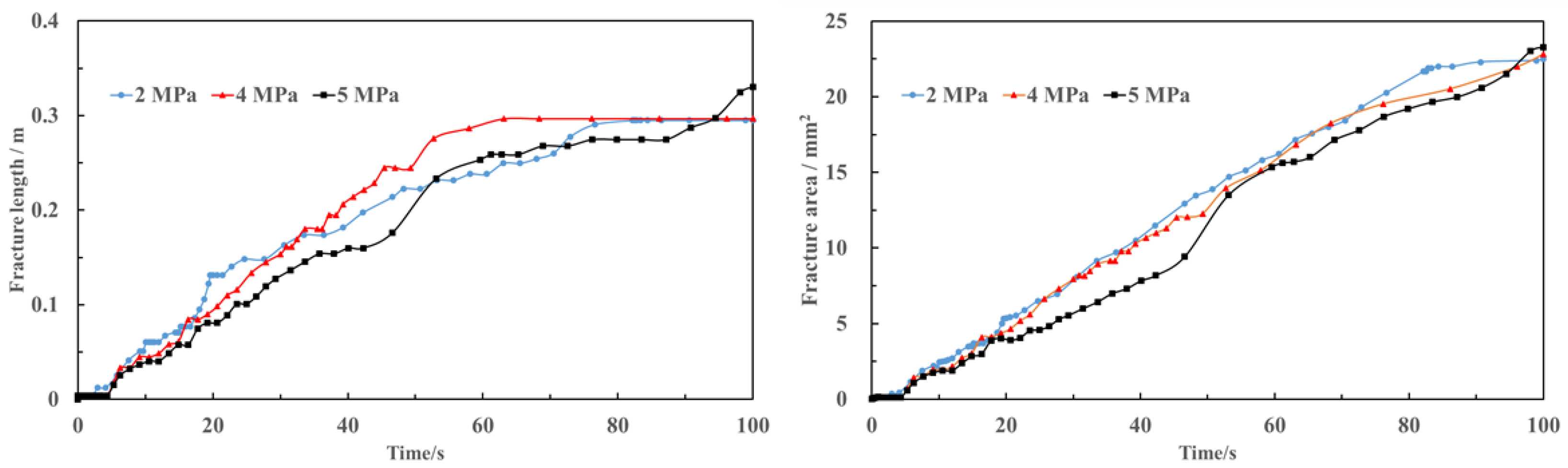
5.4. Impact of Injection Rate
6. Conclusions
Author Contributions
Funding
Data Availability Statement
Conflicts of Interest
References
- Hou, Q.j.; He, H.Q.; Li, J.Z.; Tao, Y. Recent Progress and Prospect of Oil and Gas Exploration by Petro China Company Limited. China Pet. Explor. 2018, 23, 1–13. [Google Scholar]
- Jia, C.Z.; Zou, C.N.; Yang, Z.; Zhu, R.; Chen, Z.; Zhang, B.; Jiang, L. Significant Progress of Continental Petroleum Geology Theory in Basins of Central and Western China. Pet. Explor. Dev. 2018, 45, 546–560. [Google Scholar] [CrossRef]
- Guo, H.; Ji, B.Q.; Yang, S.; Ran, W.; Zhang, S.; Li, J.; Zhang, S.; Zou, N.; Shi, J. Formation of Zeolite Cements in Permian Sandy Conglomerate Reservoir in the Circum-Mahu Sag, Junggar Basin and its Petroleum Geological Significance. Acta Pet. Sin. 2022, 43, 341–354. [Google Scholar]
- Xu, J.W.; Li, J.M.; Wu, Y.Y.; Kun, D.; Hong, J. Exploration and Practice of Volume Fracturing Technology in Horizontal Well of Mahu Tight Conglomerate Reservoirs. China Pet. Explor. 2019, 24, 241–249. [Google Scholar]
- Zou, L.Z.; Zou, L.X.; Jiang, X.M.; Liu, Z.Y.; Lu, W.X. The Horizontal Drilling Technology in Tight Sandy Conglomerate Reservoirs in Mahuu Sag. Xinjiang Oil Gas 2018, 14, 19–24. [Google Scholar]
- Li, W.X.; Song, L.; Xi, C.M.; Rong, K.S. Drilling and Completion Technology for Horizontal Well with Ultra-Long Horizontal Section in Tight Conglomerate Reservoir of Xinjiang Mahu Oilfield Sag. Xinjiang Oil Gas 2021, 17, 86–91. [Google Scholar]
- Zhang, G.; Sun, S.; Chao., K.; Niu, R.; Liu, B.; Li, Y.; Wang, F. Investigation of the Nucleation Propagation and Coalescence of Hydraulic Fractures in Glutenite Reservoirs Using a Coupled Fluid Flow-DEM Approach. Powder Technol. 2019, 354, 301–313. [Google Scholar] [CrossRef]
- Tang, H.Y.; Liang, H.P.; Zhang, L.H.; Kin, J.; Li, Y.; Zhang, J. Hydraulic Fracture Extension Patterns of Conglomerate Reservoirs and Relevant Influencing Factors. Acta Pet. Sin. 2022, 43, 871–884. [Google Scholar]
- Xu, Z.H.; Liu, X.J.; Liang, L.X. Numerical Investigation of Hydraulic Fracture Propagation Morphology in the Conglomerate Reservoir. Geofluids 2022, 22, 6811300. [Google Scholar] [CrossRef]
- Li, J.R.; Duan, K.; Meng, H.; Wang, J.; Zhang, Q.; Wang, L. On the Mechanical Properties and Failure Mechanism of Conglomerate Specimens Subjected to Triaxial Compression Tests. Rock Mech. Rock Eng. 2023, 56, 973–995. [Google Scholar] [CrossRef]
- Li, S.F.; Li, T.W.; Wang, J.T.; Yin, Y.P. The Performance Test and Application of the Fracture Fiction in Glutenite Reservoir. Sci. Technol. Eng. 2015, 15, 127–130. [Google Scholar]
- Meng, Q.M.; Zhang, S.C.; Guo, X.M.; Chen, X.H.; Zhang, Y. A Primary Investigation on Propagation Mechanism for Hydraulic Fractures in Glutenite Formation. J. Oil Gas Technol. 2010, 32, 119–123. [Google Scholar]
- Li, N.; Zhang, S.C.; Ma, X.F.; Zhang, Z.; Li, S.; Chen, M.; Sun, Y. Experimental Study on the Propagation Mechanism of Hydraulic Fracture in Glutenite Formations. Chin. J. Rock Mech. Eng. 2017, 36, 2383–2392. [Google Scholar]
- Li, L.C.; Li, G.; Meng, Q.M.; Wang, Z. Numerical Simulation of Propagation of Hydraulic Fractures in Glutenite Formation. Rock Soil Mech. 2013, 34, 1501–1507. [Google Scholar]
- Luo, P.; Li, Y.M.; Jiang, Y.S.; Li, Y. esearch on Micro-morphology Characteristics of Hydraulic Fractures for Conglomerate Reservoir. Pet. Geol. Recovery Effic. 2013, 20, 103–106. [Google Scholar]
- Ju, Y.; Yang, Y.M.; Chen, J.L.; Liu, P.; Dai, T.; Guo, Y.; Zheng, L.G. 3D Reconstruction of Low-permeability Heterogeneous Glutenites and Numerical Simulation of Hydraulic Fracturing behavior. Chin. Sci. Bull. 2016, 61, 82–93. [Google Scholar]
- Wang, T.; Cheng, L.M.; Xiang, Y.K.; Cheng, N.; Wang, B.; Zhou, H. Numerical Simulation of Fracture Propagation Pattern in the Presence of Gravel. Xinjiang Oil Gas 2023, 19, 42–48. [Google Scholar]
- Rui, Z.H.; Guo, T.K.; Feng, Q.; Qu, Z.; Qi, N.; Gong, F. Influence of Gravel on the Propagation Pattern of Hydraulic Fracture in the Glutenite Reservoir. J. Pet. Sci. Eng. 2018, 165, 627–639. [Google Scholar] [CrossRef]
- Sharafisafa, M.; Sato, A.; Sainoki, A.; Shen, L.; Aliabadian, Z. Combined finite-discrete element modelling of hydraulic fracturing in deep geologically complex reservoirs. Int. J. Rock Mech. Min. Sci. 2023, 167, 105406. [Google Scholar] [CrossRef]
- Xiong, D.; Ma, X.F. Influence of natural fractures on hydraulic fracture propagation behaviour. Eng. Fract. Mech. 2022, 276, 108932. [Google Scholar] [CrossRef]
- Biot, M. General Theory of Three-dimensional Consolidation. J. Appl. Phys. 1941, 12, 155–164. [Google Scholar] [CrossRef]
- Zienkiewicz, O.; Taylor, R. The Finite Element Method, 5th ed.; Elsevier Pte Ltd.: London, UK, 2005. [Google Scholar]
- Gong, D.; Qu, Z.; Li, J.; Qu, G.Z.; Cao, Y.C.; Guo, T.K. Extended Finite Element Simulation of Hydraulic Fracture based on ABAQUS Platform. Rock Soil Mech. 2016, 37, 302–310. [Google Scholar]
- Haddad, M.; Sepehrnoori, K. Simulation of Hydraulic Fracturing in Quasi-brittle Shale Formations using Characterized Cohesive Layer: Simulation Controlling Factors. J. Unconv. Oil Gas Resour. 2015, 9, 65–83. [Google Scholar] [CrossRef]
- Abaqus, S. Abaqus Analysis User’s Manual; Dassault Systémes Simulia Corp.: Providence, RI, USA, 2014. [Google Scholar]
- Sun, X.; Yu, L.; Rentschler, M.; Wu, H.; Long, R. Delamination of a Rigid Punch from an Elastic Substrate under Normal and Shear Forces. J. Mech. Phys. Solids 2019, 122, 141–160. [Google Scholar] [CrossRef]
- Camanho, P.; Davila, C. Mixed-Mode Decohesion Finite Elements for the Simulation of Delamination in Composite Materials; Technical Report NASA/TM-2002-211737; NASA: Washington, DC, USA, 2002; pp. 1–42.
- Benzeggagh, M.; Kenane, M. Measurement of Mixed-mode Delamination Fracture Toughness of Unidirectional Glass/Epoxy Composites with Mixed-mode Bending Apparatus. Compos. Sci. Technol. 1996, 56, 439–449. [Google Scholar] [CrossRef]
- Boone, T.; Ingraffea, A. A numerical Procedure for Simulation of Hydraulically Driven Fracture Propagation in Poroelastic Media. Int. J. Rock Mech. Min. Sci. Geomech. Abstr. 1990, 27, 27–47. [Google Scholar] [CrossRef]
- Chen, Z. Finite Element Modeling of Viscosity-dominated Hydraulic Fractures. J. Pet. Sci. Eng. 2012, 9, 136–144. [Google Scholar] [CrossRef]
- Khoei, A.R.; Mortazavi, S.M.S.; Simoni, L.; Schrefler, B. Irregular and Stepwise Behaviour of Hydraulic Fracturing: Insights from Linear Cohesive Crack Modelling with Maximum Stress Criterion. Comput. Geotech. 2023, 161, 105570. [Google Scholar] [CrossRef]
- Detournay, E. Mechanics of Hydraulic Fractures. Annu. Rev. Fluid Mech. 2016, 48, 311–339. [Google Scholar] [CrossRef]
- Hu, J.; Garagashd, I. Plane-strain Propagation of a Fluid-driven Crack in a Permeable Rock with Fracture Toughness. J. Eng. Mech. 2010, 136, 1152–1166. [Google Scholar] [CrossRef]
















| Km | Cm | Energy Dissipation in the Process | |
|---|---|---|---|
| ① | Km < 1 | Cm < 0.1 | The viscosity storage mechanism dominates |
| ② | Km > 4 | Cm < 0.1 | The toughness storage mechanism dominates |
| ③ | Km < 1 | Cm > 2 | The viscosity filtration mechanism dominates |
| ④ | Km > 4 | Cm > 2 | The toughness filtration mechanism dominates |
| Matrix Parameters | Gravel Parameters | ||
|---|---|---|---|
| Young’s modulus, GPa | 20 | Young’s modulus, GPa | 40 |
| Poisson ratio, dimensionless | 0.3 | Poisson ratio, dimensionless | 0.22 |
| Filtration coefficient, m/s | 1 × 10−7 | Filtration coefficient, m/s | 1 × 10−7 |
| Void ratio, dimensionless | 0.1 | Void ratio, dimensionless | 0.1 |
| Tensile strength, MPa | 5 | Tensile strength, MPa | 10 |
| Leak-off coefficient/m3·s−1·Pa−1 | 1 × 10−14 | Leak-off coefficient/m3·s−1·Pa−1 | 1 × 10−14 |
Disclaimer/Publisher’s Note: The statements, opinions and data contained in all publications are solely those of the individual author(s) and contributor(s) and not of MDPI and/or the editor(s). MDPI and/or the editor(s) disclaim responsibility for any injury to people or property resulting from any ideas, methods, instructions or products referred to in the content. |
© 2023 by the authors. Licensee MDPI, Basel, Switzerland. This article is an open access article distributed under the terms and conditions of the Creative Commons Attribution (CC BY) license (https://creativecommons.org/licenses/by/4.0/).
Share and Cite
Pan, Y.; Ma, X.; Li, J.; Xie, B.; Xiong, D. Numerical Simulation of Hydraulic Fracture Propagation in Conglomerate Reservoirs: A Case Study of Mahu Oilfield. Processes 2023, 11, 2073. https://doi.org/10.3390/pr11072073
Pan Y, Ma X, Li J, Xie B, Xiong D. Numerical Simulation of Hydraulic Fracture Propagation in Conglomerate Reservoirs: A Case Study of Mahu Oilfield. Processes. 2023; 11(7):2073. https://doi.org/10.3390/pr11072073
Chicago/Turabian StylePan, Yuting, Xinfang Ma, Jianmin Li, Bobo Xie, and Dong Xiong. 2023. "Numerical Simulation of Hydraulic Fracture Propagation in Conglomerate Reservoirs: A Case Study of Mahu Oilfield" Processes 11, no. 7: 2073. https://doi.org/10.3390/pr11072073
APA StylePan, Y., Ma, X., Li, J., Xie, B., & Xiong, D. (2023). Numerical Simulation of Hydraulic Fracture Propagation in Conglomerate Reservoirs: A Case Study of Mahu Oilfield. Processes, 11(7), 2073. https://doi.org/10.3390/pr11072073
