A Novel Hybrid Approach for Modeling and Optimisation of Phosphoric Acid Production through the Integration of AspenTech, SciLab Unit Operation, Artificial Neural Networks and Genetic Algorithm
Abstract
1. Introduction
2. Materials and Methods
2.1. Process Simulation of Phosphoric Acid Production
2.1.1. Experimental Determination of Specific Resistance
2.1.2. Obtaining Data for Simulation
2.1.3. Description of the Chosen Filter and Separator Model
2.1.4. Artificial Neural Network
2.1.5. Multi-Objective Optimization
- Limiting loses of phosphoric acid in gypsum;
 - Increasing filtration rate;
 - Achieving high quantity of strong phosphoric acid;
 - Increasing fraction of H3PO4 in strong acid.
 
Procedure
3. Results and Discussion
3.1. Model Validation
3.2. Confirmation and Validation of Simulation
3.3. Selection of Input Variables for ANN Model
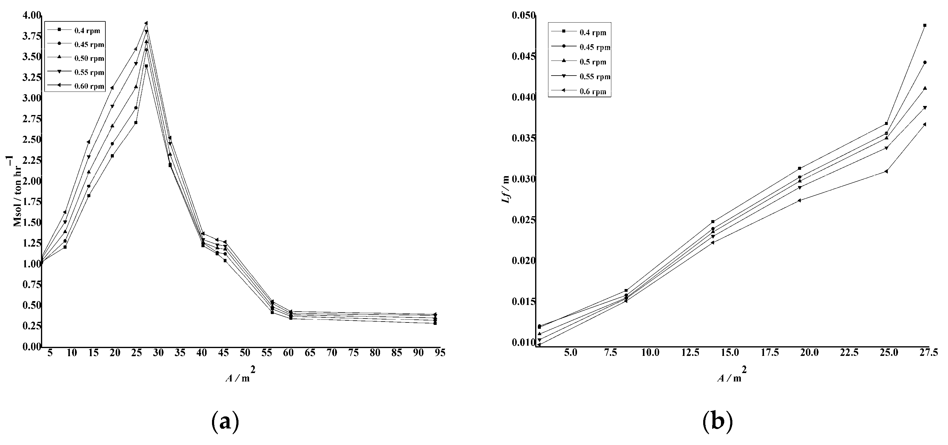
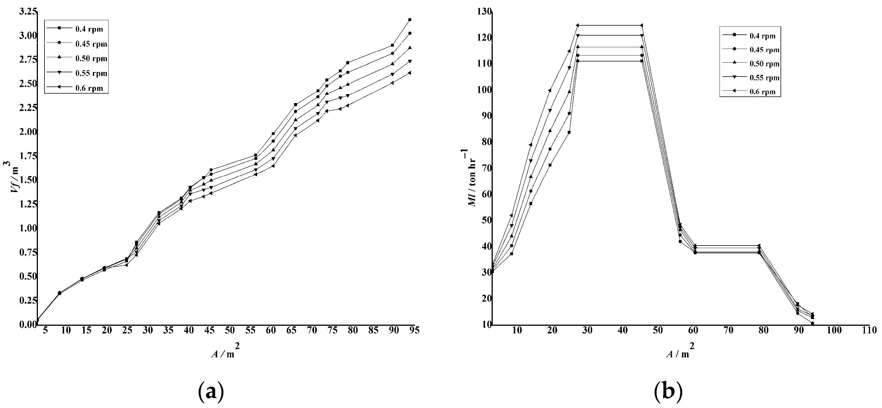
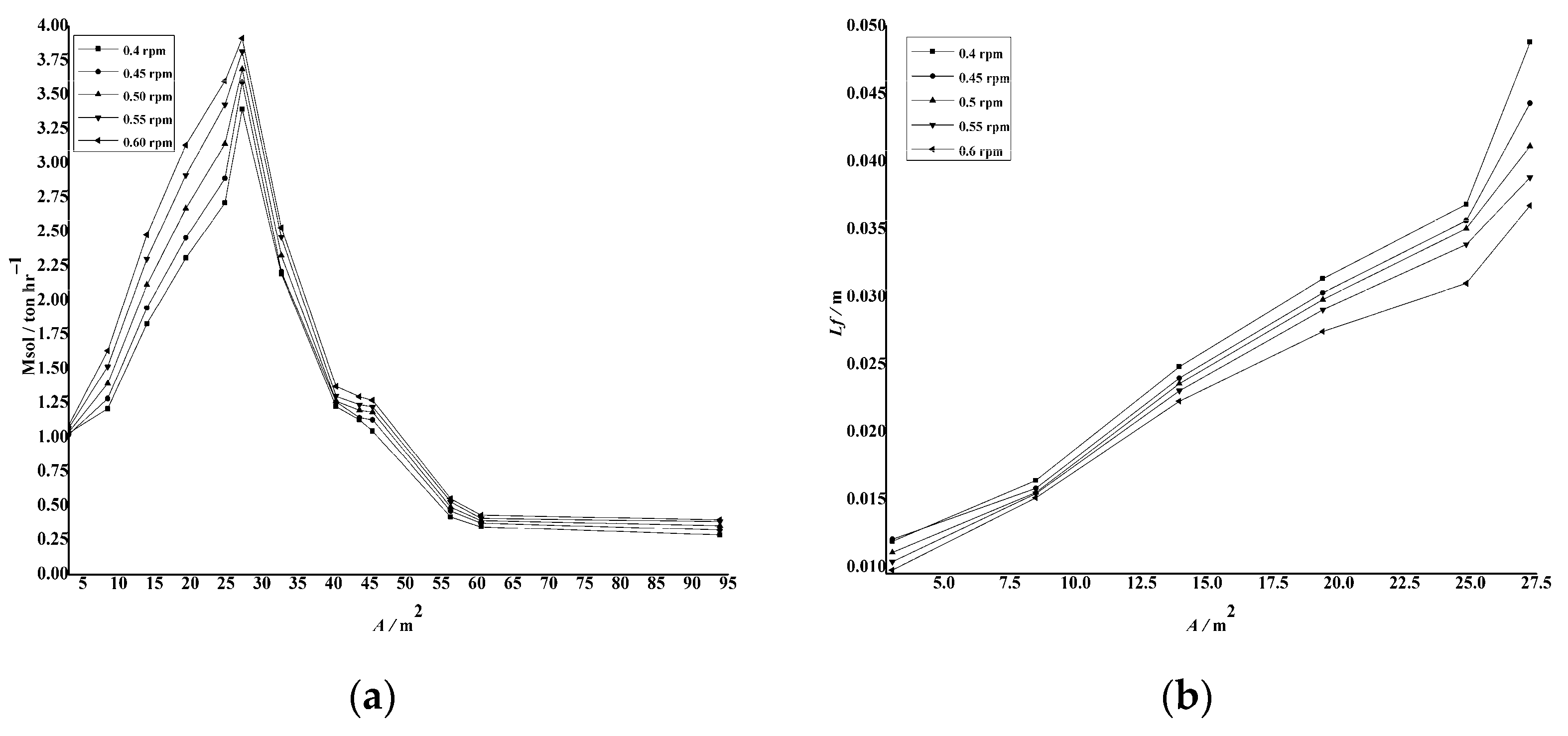
3.3.1. Effect of Pressure on Filtration
3.3.2. Effect of Filter Speed on Filtration
3.3.3. Process Water Temperature Effect on Return Acid and Weak Acid Sector
3.3.4. Influence of Filter Feed Temperature
3.4. ANN Development
Complete Filtration and Reaction Section
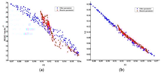
3.5. MO (Multi-Objective Analysis)
3.5.1. MO (Multi-Objective Analysis Using GA) Strong Acid Sector
3.5.2. Multi-Objective Analysis Using GA: Recycled Acid Sector
3.5.3. Multi-Objective Analysis Using GA: Weak Acid Sector
4. Conclusions
Supplementary Materials
Author Contributions
Funding
Data Availability Statement
Acknowledgments
Conflicts of Interest
Nomenclature
| A | Filtration area, m2 | 
| Af | Filtration area of woven filter in Buhner funnel, m2 | 
| ANN | Artificial Neural Network | 
| B | Mass fraction of gypsum per unit mass of slurry in reactor | 
| Becker | Conversion degree in a reactor based on calculation from Becker | 
| c | Solid concentration in feed, kg m−3 | 
| D | Molecular diffusivity of solute, m2 s−1 | 
| Da | Specific gravity of phosphoric acid | 
| DI1 | Impeller diameter for Reactor 1, m | 
| DI2 | Impeller diameter for Reactor 2, m | 
| DI3 | Impeller diameter for Reactor 2, m | 
| DT1 | Reactor tank 1 diameter, m | 
| DT2 | Reactor tank 2 diameter, m | 
| DT3 | Reactor tank 2 diameter, m | 
| dP | Vacuum pressure, kPa | 
| F1 | Fraction of solute removed from a filter cake in washing section 1 | 
| F1 | Fraction of solute removed from a filter cake in washing section 2 | 
| G | Degree of supersaturation in Reactor 1 | 
| G2 | Degree of supersaturation in Reactor 1 | 
| G3 | Degree of supersaturation in Reactor 3 | 
| Gdi | Gypsum cake production, gypsum cake/ton rock | 
| I | Impurities apart from the P2O5 component in phosphate rock | 
| KL | Physical mass transfer coefficient of H+ in solution (m/h) | 
| Lf | The thickness of the filter cake, m | 
| MLD1 | Throughput of liquids in filter cake, ton h−1 | 
| MLD1 | Throughput of liquids in filter cake, ton h−1 | 
| MLS1 | Throughput of solute in filter cake, ton h−1 | 
| MLs2 | Throughput of solute in filter cake, ton h−1 | 
| Mliquid | Throughput of liquids in filter cake, ton h−1 | 
| MO | Multi-objective | 
| Msolid | Throughput of solids in filter cake, ton h−1 | 
| Msolub | Throughput of solute in filter cake, ton h−1 | 
| R | Resistance of fluid flow through a filter cloth, m−1 | 
| Re1 | Reynolds number in Reactor 1 | 
| Re2 | Reynolds number in Reactor 2 | 
| Re3 | Reynolds number in Reactor 3 | 
| S | Supersaturation of calcium sulfate in Reactor 1 | 
| S2 | Supersaturation of calcium sulfate in Reactor 2 | 
| S3 | Supersaturation of calcium sulfate in Reactor 3 | 
| T | Temperature in Reactor 1 | 
| T2 | Temperature in Reactor 2 | 
| T3 | Temperature in Reactor 2 | 
| Tavg | Average or mean residence time in Reactor 1 | 
| Tavg2 | Average or mean residence time in Reactor 2 | 
| Tavg3 | Average or mean residence time in Reactor 3 | 
| TD | Deliquoring time, s | 
| TD1 | Deliquoring time for first section, s | 
| TD2 | Deliquoring time for second section, s | 
| TR | Complete dissolution time of a single particle of radius R, h | 
| TR1 | Complete dissolution time of a single particle of radius R in R1, h | 
| TR2 | Complete dissolution time of a single particle of radius R in R2, h | 
| TR3 | Complete dissolution time of a single particle of radius R in R3, h | 
| Tw1 | Time of filtration for first washing section, s | 
| Tw2 | Time of filtration for second washing section, s | 
| Uw1 | Superficial velocity of a fluid first washing section, m3 m2 s−1 | 
| Uw2 | Superficial velocity of a fluid second washing section, m3 m2 s−1 | 
| V | Volume of reactor 1, m3 | 
| V2 | Volume of reactor 2, m3 | 
| V3 | Volume of reactor 3, m3 | 
| Vf | Filtrate volume—strong acid sector, m3 | 
| Vf2 | Filtrate volume—second washing sector, m3 | 
| Vf1 | Filtrate volume—first washing sector, m3 | 
| VISKOZ | Viscosity of reaction solution in Reactor 1, kg m h−1 | 
| Viskoz2 | Viscosity of reaction solution in Reactor 2, kg m h−1 | 
| Viskoz3 | Viscosity of reaction solution in Reactor 3, kg m h−1 | 
| Vw1 | Pore velocity of a fluid, first washing section, m s−1 | 
| Vw2 | Pore velocity of a fluid, second washing section, m s−1 | 
| Vsi | Volume of slurry produced in the reactor (slurry/ton rock) | 
| X1 | Conversion degree in a Reactor 1 | 
| X2 | Conversion degree in a Reactor 2 | 
| X3 | Conversion degree in a Reactor 3 | 
| Xav | Particle diameter, μm | 
| Greek Letter | |
| αav | Specific resistance of a filter cake, m kg−1 | 
| ΔPf | Vacuum pressure, kPa | 
| θP1 | Dewatering time—first Deliquoring section, s | 
| θP2 | Dewatering time—second Deliquoring time, s | 
| μl | Viscosity of the liquid in a feed, Pa*s | 
| υe | Crystal growth rate in Reactor 1, kg h−1 m2 | 
| υe2 | Crystal growth rate in Reactor 2, kg h−1 m2 | 
| υe3 | Crystal growth rate in Reactor 3, kg h−1 m2 | 
| υl | Linear crystal growth rate in Reactor 1, m h−1 | 
| υl2 | Linear crystal growth rate in Reactor 2, m h−1 | 
| υl3 | Linear crystal growth rate in Reactor 3, m h−1 | 
| υm1 | Dissolution rate of phosphate rock per unit of particle surface in R1, kg h−1 m2 | 
| υm2 | Dissolution rate of phosphate rock per unit of particle surface in R2, kg h−1 m2 | 
| υm3 | Dissolution rate of phosphate rock per unit of particle surface in R3, kg h−1 m2 | 
| Φm1 | Mineral particle shape factor in Reactor 1 | 
| Φm2 | Mineral particle shape factor in Reactor 2 | 
| Φm3 | Mineral particle shape factor in Reactor 3 | 
| φd1 | Number of filtration segments dedicated to first Deliquoring sector | 
| φd2 | Number of filtration segments dedicated to second Deliquoring sector | 
| φf | Number of filtration segments dedicated to pre-sector | 
| φf2 | Number of filtration segments dedicated to strong acid sector | 
| φT | Total number of UCEGO filter segments | 
| φw1 | Number of filtration segments dedicated to first washing sector | 
| φw2 | Number of filtration segments dedicated to second washing sector | 
| ω | Rotation speed of filter, rpm | 
| ω1 | Reactor 1 impeller speed, rpm | 
| ω2 | Reactor 2 impeller speed, rpm | 
| ω3 | Reactor 3 impeller speed, rpm | 
References
- Salas, B.V.; Wiener, M.S.; Martinez, J.R.S. Phosphoric Acid Industry—Problems and Solutions; InTech: London, UK, 2017. [Google Scholar]
 - Global Phosphoric Acid Market—Industry Trends and Forecast to 2028. Available online: https://www.databridgemarketresearch.com/reports/global-phosphoric-acid-market (accessed on 8 August 2022).
 - Mathias, P.M.; Mendez, M. Simulation of phosphoric acid production by the dihydrate process. In Proceedings of the 22nd Clearwater Convention on Phosphate Fertilizer & Sulfuric Acid Technology Sheraton Sand Key Resort, Clearwater Beach, FL, USA, 22–23 May 1998. [Google Scholar]
 - Kannamma, B.; Kannadasan, T.; Prabhakaran, D. Analysis and Simulation of Dihydrate Process for the Production of Phosphoric Acid (Reactor Section). Am. J. Eng. Res. 2013, 2, 1–8. [Google Scholar]
 - Messnaoui, B.; Bouhaouss, A.; Derja, A. A Steady State Model for Describing the Phosphate Lattice Loss. Procedia Eng. 2012, 46, 134–142. [Google Scholar] [CrossRef]
 - Mathias, P.M.; Chen, C.-C.; Walters, M. Modeling the Complex Chemical Reactions and Mass Transfer in a Phosphoric Acid Reactor. In Proceedings of the Third Joint China/USA Chemical Engineering Conference, Beijing, China, 25–28 September 2000. [Google Scholar]
 - Papadopoulos, A.I.; Theodosiadis, K.; Seferlis, P. Modeling, Design and Optimisation of Industrial Phosphoric Acid Production Processes. In Proceedings of the 10th Conference on Process Integration, Modelling and Optimisation for Energy Saving and Pollution Reduction, Thessaloniki, Greece, 2007; Available online: https://folk.ntnu.no/skoge/prost/proceedings/icheap8-pres07/pres07webpapers/28%20Papadopoulos.pdf (accessed on 8 August 2022).
 - Bouchkira, I.; Latifi, A.M.; Khamar, L.; Benjelloun, S. Modeling and Multi-Objective Optimization of the Digestion Tank of an Industrial Process for Manufacturing Phosphoric Acid by Wet Process. Comput. Chem. Eng. 2022, 156, 107536. [Google Scholar] [CrossRef]
 - Abu-Eishah, S.I.; Abu-Jabal, N.M. Parametric Study on the Production of Phosphoric Acid by the Dihydrate Process. J. Chem. Eng. 2001, 81, 231–250. [Google Scholar] [CrossRef]
 - Peng, Y.; Zhu, Z.; Braatz, R.D.; Myerson, A.S. Gypsum Crystallization during Phosphoric Acid Production: Modeling and Experiments Using the Mixed-Solvent-Electrolyte Thermodynamic Model. Ind. Eng. Chem. Res. 2015, 54, 7914–7924. [Google Scholar] [CrossRef]
 - Yeo, Y.K.; Cho, Y.S.; Moon, B.K. Simulation of the Dihydrate Process for the Production of Phosphoric Acid. Proc. Korean Soc. Autom. Control. 1988, 1, 875–878. [Google Scholar] [CrossRef]
 - Grema, A.S.; Iyodo, H.M.; Grema, A.S.; Imam, Y.Y.; Mohammed, H.I. Modeling and Simulation of Hemihydrate Phosphoric Acid Plant. Arid Zone J. Eng. Technol. Environ. 2018, 14, 169–171. [Google Scholar]
 - Papadopoulos, A.I.; Seferlis, P. Generic Modelling, Design and Optimization of Industrial Phosphoric Acid Production Processes. Chem. Eng.Process. Process Intensif. 2009, 48, 493–506. [Google Scholar] [CrossRef]
 - Tarleton, E.S.; Wakeman, R.J. Solid/Liquid Separation; Elsevier: Amsterdam, The Netherlands, 2007; ISBN 9781856174213. [Google Scholar]
 - Richard, J.; Wakeman, E.S. Tarleton Filtration Equipment Selection, Modelling and Process Simulation, 1st ed.; Elsevier Advanced Technology: Amsterdam, The Netherlands, 1999. [Google Scholar]
 - Becker, P. Phosphates and Phosphoric Acid: Raw Materials, Technology, and Economics of the Wet Process. Revised and Expanded; Marcel Dekker, Inc.: New York, NY, USA, 1989; Volume 6. [Google Scholar]
 - Kybartiene, N.; Valancius, Z.; Leskeviciene, V.; Urbonas, L. Influence of the composition of phosphate rock on the amount of water-insoluble phosphate impurities in semi-hydrate phosphogypsum. Ceramics-Silikáty 2015, 29, 29–36. [Google Scholar]
 - Pyagai, I.; Zubkova, O.; Babykin, R.; Toropchina, M.; Fediuk, R. Influence of Impurities on the Process of Obtaining Calcium Carbonate during the Processing of Phosphogypsum. Materials 2022, 15, 4335. [Google Scholar] [CrossRef] [PubMed]
 - Fernandes, N.J.; Galvão, M.A.; Araujo, L.R.; Ataíde, C.H.; Barrozo, M.A.S. Effect of the Impurities on the Phosphoric Acid Process. In Materials Science Forum; Trans Tech Publications Ltd.: Stafa-Zurich, Switzerland, 2012; Volume 727, pp. 386–391. [Google Scholar]
 - Zarenezhad, B. Effect of Impurities in Phosphoric Acid on the Granulometery of the Produced DAP(Di-Ammonium Phosphate) in Petrochemical Plants. Korean J. Chem. Eng. 2002, 19, 928–931. [Google Scholar] [CrossRef]
 - Chaabouni, A.; Chtara, C.; Nzihou, C.A.; El Feki, H. Study the Nature and the Effects of the Impurities of Phosphate Rock in the Plants of Production of Phosphoric Acid. Adv. J. Chem. 2014, 7, 1296–1299. [Google Scholar] [CrossRef]
 - Little, D.; Berberat, C. Ucego Filters in Phosphoric Acid Production; Peninsular Florida Section of the American Institute of Chemical Engineering: Tallahassee, FL, USA, 1981. [Google Scholar]
 















| Time, s | 14 | 40.8 | 52.9 | 63.2 | 84 | 117.4 | 151.3 | 196 | 
| Volume, L | 0.05046 | 0.1439 | 0.18505 | 0.21956 | 0.28504 | 0.39575 | 0.5012 | 0.63709 | 
| Composition/ Phosphate  | Morocco—Khourigba 65–66 BPL  | Russia Kola 85 BPL  | Morocco—Khourigba 70–71 BPL  | Israel—Negev 72 BPL  | 
|---|---|---|---|---|
| H2O | 1.3 | 1 | 1.3 | 0.3 | 
| P2O5 | 30.55 | 39.1 | 32 | 33.2 | 
| SO3 | 1.83 | 0 | 1.88 | 2 | 
| F | 3.7 | 2.89 | 3.9 | 3.7 | 
| SiO2 | 2.1 | 1.2 | 2.1 | 1 | 
| CO2 | 7.1 | 2 | 6 | 4.9 | 
| Cl | 0.02 | 0 | 0.02 | 0.04 | 
| CaO | 50.2 | 50.5 | 51.2 | 53 | 
| Al2O3 | 0.4 | 0.85 | 0.3 | 0.1 | 
| Fe2O3 | 0.2 | 0.45 | 0.2 | 0.05 | 
| MgO | 0.9 | 0.12 | 0.5 | 0.2 | 
| Na2O | 0.9 | 0.52 | 0.9 | 0.7 | 
| K2O | 0.07 | 0.13 | 0.07 | 0.01 | 
| C(org) | 0.21 | 0 | 0.22 | 0 | 
| Composition/ Phosphate  | Algeria—Dyobel Onk 65 BPL | Brazil 76–78 BPL  | Algeria—Dyobel Onk 75–77 BPL | US—North Carolina 59 BPL | 
| H2O | / | / | / | 1.3 | 
| P2O5 | 29.6 | 35.8 | 34.6 | 28 | 
| SO3 | 2.4 | 0 | 1.6 | 2.5 | 
| F | 3.7 | 1.56 | 4 | 3.4 | 
| SiO2 | 2.4 | 1.46 | 2.2 | 14.4 | 
| CO2 | 7 | 4.88 | 1.2 | 4.1 | 
| Cl | 0.02 | 0.003 | / | 0.004 | 
| CaO | 48.5 | 52.9 | 54.2 | 44.1 | 
| Al2O3 | 0.4 | 0.35 | 0.5 | 0.4 | 
| Fe2O3 | 0.4 | 0.25 | 0.4 | 0.6 | 
| MgO | 1.4 | 0.79 | 0.8 | 0.5 | 
| Na2O | 1.4 | 0.26 | 0.6 | 0.9 | 
| K2O | 0.15 | 0.15 | 0.01 | 0.1 | 
| C(org) | 0.3 | 0 | 0 | 1.6 | 
| Composition/ Phosphate  | US—North Carolina 72 BPL  | Finland 80–81 BPL  | ||
| H2O | 0.2 | 8 | ||
| P2O5 | 32.8 | 36.8 | ||
| SO3 | 3 | 0 | ||
| F | 3.9 | 2.6 | ||
| SiO2 | 1.6 | 2.7 | ||
| CO2 | 2.4 | 4.3 | ||
| Cl | 0.018 | 0.006 | ||
| CaO | 52.5 | 51.6 | ||
| Al2O3 | 0.4 | 0.3 | ||
| Fe2O3 | 0.65 | 0.6 | ||
| MgO | 0.63 | 1.07 | ||
| Na2O | 1 | 0.27 | ||
| K2O | 0.12 | 0.26 | ||
| C(org) | 0.15 | 0 | ||
| Filter Characteristic | |||||||
|---|---|---|---|---|---|---|---|
| A/m2 | φT | φf | φf2 | φw1 | φd1 | φw2 | φd2 | 
| 109 | 36 | 1 | 8 | 10 | 2 | 9 | 2 | 
| Working Conditions | |||||||
| ΔPf/kPa | xav/μm | D/m2 s−1 | ω/rpm | ||||
| 50 | 20 | 1 × 10−9 | 0.6 | ||||
| Models/Stream | Simulation ID | Model Usage | 
|---|---|---|
| Reactor 1 | Reactor 1 | SciLab model of reactor | 
| Reactor 2 | Reactor 2 | SciLab model of reactor | 
| Reactor 3 | Reactor 3 | SciLab model of reactor | 
| UCEGO filter | UCEGO | UCEGO filter: for separation of phosphoric acid from gypsum | 
| Pump | 13-01-03 | Strong acid pump: pump for sending collected strong acid in separator to warehouse | 
| Pump | 13-01-04 | Return/recycled acid pump: pump for sending collected recycled acid from separator back to reactor | 
| Pump | 13-01-05 | Weak acid pump: pump for sending collected weak acid from separator to recycled acid sector through filter for washing gypsum cake | 
| Absorber 1 | B54 | For removing fluoride from gas phase produced in reactor | 
| Absorber 2 | B55 | For removing fluoride from gas phase produced in reactor | 
| Pump | B58 | Pump for sending separated liquid phase from Absorber B54, which is used as washing media | 
| Vacuum cooler | B66 | Vacuum cooling is used to cool down part of produced mixture from the reactor, in order to control the temperature in the reactor | 
| Pump | B62 | Pump sends water for washing weak acid section through filter | 
| SciLab model | B60 | Model control quantity of water sent to the pump B62 and, afterward, to the filter section | 
| H2SO4 tank | B24 | Storage acid tank | 
| H2SO4 pump | B29, B31 | Pumps for sending H2SO4 to reactor. Depending on necessary capacity, they can work parallel or separately | 
| Separator | B23 | SciLab model of separator, which is used to store and separate different types of H3PO4 acid removed from UCEGO filter | 
| Pump | B27 | Pump sends weak acid as washing medium for recycled acid section through filter | 
| Recycled acid correction | S242 | This stream is used in combination with the model of separator B23, as replacement for the frequency regulator of pump 13-01-04, to control the quantity of recycled acid that will be sent back to reactor | 
| Strong acid correction | KOREK | This stream is used in combination with the model of separator B23, as replacement of the frequency regulator of pump 13-01-03, to control the quantity of strong acid that is sent to the storage tank. Excess of acid will overflow to the recycled acid sector in the separator | 
| Morocco—Khouribga 65–66 BPL | Russia Kolav 85 BPL | Morocco-Khouribga 70–71 BPL | ||||||
| Component | Model | Literature | Component | Model | Literature | Component | Model | Literature | 
| P2O5 | 29.964 | / | P2O5 | 30.1 | 28 | P2O5 | 29.984 | 30.2 | 
| Izrael—Negev 72 BPL | Algeria—Dyobel Onk 65 BPL | Brazil 76–79 | ||||||
| Component | Model | Literature | Component | Model | Literature | Component | Model | Literature | 
| P2O5 | 29.157 | 29 | P2O5 | 29.915 | 29.1 | P2O5 | 28.456 | 28 | 
| Algeria—Djebel Onk 75–77 BPL | US—North Carolina 59 BPL | US—North Carolina 72 BPL | ||||||
| Component | Model | Literature | Component | Model | Literature | Component | Model | Literature | 
| P2O5 | 27.659 | 27 | P2O5 | 26.954 | / | P2O5 | 28.637 | 27.6 | 
| Finland 80–81 BPL | ||||||||
| Component | Model | Literature | ||||||
| P2O5 | 27.659 | 27 | ||||||
| Inputs | Value | Extent/Increment | 
|---|---|---|
| Phosphate ore capacity (ton/h) | 70–90 | 5 | 
| Temperature (°C) | 65–80 | 5 | 
| Filter speed (rpm) | 0.45–0.6 | 0.03 | 
| Vacuum on filter (mbar) | 450–600 | 30 | 
| Strong acid flow (ton/h) | 60–110 | * | 
| Particle size (µm) | 4–7 | 1 | 
| Steam flow (ton/h) | 3–5 | 0.5 | 
| Inputs | Value | Extent/Increment | 
|---|---|---|
| Phosphate ore capacity (ton/h) | 70–90 | 5 | 
| Temperature (°C) | 65–80 | 5 | 
| Recycled acid flow (ton/h) | 240–290 | 10 | 
| H2SO4 flow (ton/h) | 55–78 | * | 
| Strong acid flow (ton/h) | 60–100 | * | 
| Return slurry flow (ton/h) | 8–9.5 | 0.3 | 
| Filtration water flow (ton/h) | 70–120 | * | 
| Filtration Parameter | ||
|---|---|---|
| Min | Max | |
| Phosphate Ore Capacity (ton/h) | 74.13048 | 74.7 | 
| Temperature (°C) | 78.312 | 78.07 | 
| Vacuum (kPa) | 51 | 51.21 | 
| Filter speed (rpm) | 0.54 | 0.41 | 
| Particle size (μm) | 5.69 ×10−5 | 5.4 × 10−5 | 
| Steam flow (ton/h) | 4.687 | 4.682 | 
| Strong acid flow (ton/h) | 90.4 | 91.08 | 
| H3PO4 (ton/h) | 124.19863 | 110.862 | 
| H3PO4 losses in gypsum (ton/h) | 4.5004 | 0.055 | 
| Reaction Parameters | ||
|---|---|---|
| Min | Max | |
| Phosphate Ore Capacity (ton/h) | 86.489 | 88.554 | 
| Temperature (°C) | 73.9 | 76.26 | 
| Recycled acid flow (ton/h) | 227.14 | 250.565 | 
| H2SO4 mass flow (ton/h) | 69.128 | 65.5 | 
| Strong acid flow (ton/h) | 85.3 | 89.6 | 
| Slurry return (ton/h) | 8.06 | 11.99 | 
| Water for filtration (ton/h) | 76.03 | 82.65 | 
| H3PO4 mass fraction in strong acid | 0.464 | 0.385 | 
| H3PO4 losses in gypsum (ton/h) | 3.078 | 0.672 | 
| F1 | 0.928 | 0.943 | 
| F2 | 0.932 | 0.936 | 
| SO4 fraction in strong acid | 0.0165 | 0.026 | 
| Filter Parameters | Reaction Parameters | ||||
|---|---|---|---|---|---|
| Min | Max | Min | Max | ||
| Phosphate ore capacity (ton/h) | 70.00995 | 89.992949 | Phosphate ore capacity (ton/h) | 70.0267 | 89.76 | 
| Temperature (°C) | 79.048895 | 70.058808 | Temperature (°C) | 79.629 | 75.84 | 
| Vacuum (kPa) | 54.984397 | 45.002289 | Recycled acid flow (ton/h) | 240.896 | 254.99 | 
| Filter speed (rpm) | 0.407062 | 0.402549 | H2SO4 mass flow (ton/h) | 60.1 | 74.54 | 
| Particle size (μm) | 5.59 × 10−5 | 4.05 × 10−5 | Strong acid flow (ton/h) | 70.023 | 87.5 | 
| Steam flow (ton/h) | 4.594334 | 4.0367736 | Slurry return (ton/h) | 11.98 | 11.7 | 
| Strong acid flow (ton/h) | 94.972762 | 61.679838 | Water for filtration (ton/h) | 83.39 | 73 | 
| F1 | 0.9625254 | 0.8673016 | F1 | 0.968 | 0.913 | 
| MLD1 (ton/h) | 36.574536 | 73.55024 | MLD1 (ton/h) | 27.016 | 0.111 | 
| Filter Parameters | Reaction Parameters | ||||
|---|---|---|---|---|---|
| Min | Max | Min | Max | ||
| Phosphate ore capacity (ton/h) | 70.00856 | 89.982 | Phosphate ore capacity (ton/h) | 70 | 89.76 | 
| Temperature (°C) | 79.4 | 71.36 | Temperature (°C) | 79.004 | 75.84 | 
| Vacuum (kPa) | 54.9 | 45.057 | Recycled acid flow (ton/h) | 246.93 | 255 | 
| Filter speed (rpm) | 0.548 | 0.402 | H2SO4 mass flow (ton/h) | 60 | 74.54 | 
| Particle size (μm) | 5.6 × 10−5 | 4.02 × 10−5 | Strong acid flow (ton/h) | 70.2 | 87.5 | 
| Steam flow (ton/h) | 4.468 | 4.521 | Slurry return (ton/h) | 12 | 11.7 | 
| Strong acid flow (ton/h) | 72.9 | 65.1 | Water for filtration (ton/h) | 70 | 73 | 
| F1 | 0.9676 | 0.889 | F1 | 0.9587 | 0.913 | 
| Y1 | 0.0146 | 0.1871 | Y1 | 0.0134 | 0.112 | 
| Filter Parameters | Reaction Parameters | ||||
|---|---|---|---|---|---|
| Min | Max | Min | Max | ||
| Phosphate ore capacity (ton/h) | 70.06 | 89.97166 | Phosphate ore capacity (ton/h) | 83.01 | 88.6 | 
| Temperature (°C) | 78.4069 | 74.60292 | Temperature (°C) | 79.878 | 76.9 | 
| Vacuum (kPa) | 54.922 | 45.40905 | Recycled acid flow (ton/h) | 265.2 | 265.3 | 
| Filter speed (rpm) | 0.4374 | 0.416919 | H2SO4 mass flow (ton/h) | 60.23 | 73.7 | 
| Particle size (μm) | 5.85 × 10−5 | 4.05 × 10−5 | Strong acid flow (ton/h) | 60.23 | 74 | 
| Steam flow (ton/h) | 4.933 | 4.118 | Slurry return (ton/h) | 11.8 | 9.05 | 
| Strong acid flow (ton/h) | 70.2 | 74.257 | Water for filtration (ton/h) | 77.36 | 84.46 | 
| F2 | 0.9587 | 0.86873 | F2 | 0.9588 | 0.9083 | 
| MLD2 (ton/h) | 13.2291 | 33.43067 | MLD2 (ton/h) | 12.176 | 30.436 | 
| Filter Parameters | Reaction Parameters | ||||
|---|---|---|---|---|---|
| Min | Max | Min | Max | ||
| Phosphate ore capacity (ton/h) | 70.827 | 88.827 | Phosphate ore capacity (ton/h) | 83.73 | 88 | 
| Temperature (°C) | 77.3488 | 70.58 | Temperature (°C) | 77.46 | 70.44 | 
| Vacuum (kPa) | 53.9089 | 45.68 | Recycled acid flow (ton/h) | 276.1 | 261.6 | 
| Filter speed (rpm) | 0.51308 | 0.4352 | H2SO4 mass flow (ton/h) | 60.107 | 74.07 | 
| Particle size (μm) | 6 × 10−5 | 4.06 × 10−5 | Strong acid flow (ton/h) | 95.5 | 73.6 | 
| Steam flow (ton/h) | 4.794 | 4.275 | Slurry return (ton/h) | 11.4 | 10.5 | 
| Strong acid flow (ton/h) | 88.4 | 60.5 | Water for filtration (ton/h) | 77.27 | 79.05 | 
| F2 | 0.9667 | 0.8751 | F2 | 0.958 | 0.90763 | 
| Y2 | 0.01512 | 0.202 | Y2 | 0.0264 | 0.1308 | 
Disclaimer/Publisher’s Note: The statements, opinions and data contained in all publications are solely those of the individual author(s) and contributor(s) and not of MDPI and/or the editor(s). MDPI and/or the editor(s) disclaim responsibility for any injury to people or property resulting from any ideas, methods, instructions or products referred to in the content.  | 
© 2023 by the authors. Licensee MDPI, Basel, Switzerland. This article is an open access article distributed under the terms and conditions of the Creative Commons Attribution (CC BY) license (https://creativecommons.org/licenses/by/4.0/).
Share and Cite
Pavlović, M.; Lubura, J.; Pezo, L.; Pezo, M.; Bera, O.; Kojić, P. A Novel Hybrid Approach for Modeling and Optimisation of Phosphoric Acid Production through the Integration of AspenTech, SciLab Unit Operation, Artificial Neural Networks and Genetic Algorithm. Processes 2023, 11, 1753. https://doi.org/10.3390/pr11061753
Pavlović M, Lubura J, Pezo L, Pezo M, Bera O, Kojić P. A Novel Hybrid Approach for Modeling and Optimisation of Phosphoric Acid Production through the Integration of AspenTech, SciLab Unit Operation, Artificial Neural Networks and Genetic Algorithm. Processes. 2023; 11(6):1753. https://doi.org/10.3390/pr11061753
Chicago/Turabian StylePavlović, Marko, Jelena Lubura, Lato Pezo, Milada Pezo, Oskar Bera, and Predrag Kojić. 2023. "A Novel Hybrid Approach for Modeling and Optimisation of Phosphoric Acid Production through the Integration of AspenTech, SciLab Unit Operation, Artificial Neural Networks and Genetic Algorithm" Processes 11, no. 6: 1753. https://doi.org/10.3390/pr11061753
APA StylePavlović, M., Lubura, J., Pezo, L., Pezo, M., Bera, O., & Kojić, P. (2023). A Novel Hybrid Approach for Modeling and Optimisation of Phosphoric Acid Production through the Integration of AspenTech, SciLab Unit Operation, Artificial Neural Networks and Genetic Algorithm. Processes, 11(6), 1753. https://doi.org/10.3390/pr11061753
        
