Abstract
Undesired solid precipitation in coal slag at high temperatures can cause serious blockages, or even the shutdown of coal gasifiers, due to a rapid increase in slag viscosity. In this study, the solid precipitation behaviors of coal slag from different primary phases and under different atmospheres were both experimentally and theoretically investigated. Our results demonstrated that the viscosity of the coal slag in the primary phase of mullite was strongly influenced by the atmosphere at a typical tapping temperature of 1300 °C because of the high content of network formers. The viscosity of the partially crystallized slag was significantly affected by solid precipitation behavior. Iron was converted to magnetite and hematite in air and was reduced to metallic iron under a reducing atmosphere. Increasing CaO content improved both the iron reduction reaction and the slag crystallization behavior. Anorthite precipitation was largely inhibited under a mild reducing atmosphere, leading to a large difference in the viscosity of coal slag under different atmospheres. In contrast, the viscosity of the coal slag in the primary phase of mullite was slightly influenced by the atmosphere due to the weak crystallization tendency of mullite, as well as its high slag viscosity.
1. Introduction
Coal gasification is the main and most reliable technology for hydrogen production [1,2]. Entrained-flow coal gasification employs a high gasification temperature of approximately 1300–1500 °C to achieve a high carbon conversion ratio and a large output. The inorganic elements in coal are transformed to coal slag and are continuously tapped due to the force of gravity. To ensure a smooth slag-tapping process, the slag viscosity should be in the range of 2.5–25 Pa·s, and the tapping temperature range should be maintained [3,4,5,6,7]. However, a solid phase may precipitate from the slag and lead to a sharp increase in its viscosity, resulting in blockage or even shutdown of the gasifier [8,9,10]. The temperature at which slag viscosity is significantly influenced by solid precipitation is called the temperature of critical viscosity (Tcv) [3,11]. Therefore, a deep understanding of solid precipitation behavior in coal slag could inform the establishment of a smooth tapping process using an entrained-flow coal gasifier.
Coal slag viscosity is determined by the slag structure above the liquidus temperature (Tliq) and is governed by solid precipitation behavior at a low temperature [12,13,14]. The main components (expressed as oxides) of coal slag are SiO2 (20–80 wt.%), Al2O3 (5–45 wt.%), Fe2O3 (0.2–30 wt.%), CaO (0.2–35 wt.%), MgO (0.1–4.0 wt.%), Na2O (0.2–20 wt.%), K2O (0.1–4.0 wt.%), and TiO2 (0.6–3.0 wt.%) [15]. The crystallization behavior of silicate melt is also connected with the pyrometamorphism phenomenon described in Earth science [16]. Si4+ is a major network former that connects the network structure and increases slag viscosity. In contrast, Ca2+, Mg2+, Fe2+, Na+, and K+ are network modifiers that disrupt the network structure and reduce slag viscosity [17,18]. Al3+ and Fe3+ are amphoteric and can either decrease or increase slag viscosity. Based on the roles of the different components, coal slag viscosity increases with the Si/Al ratio and decreases with increasing CaO content, Fe2O3 content, or Na2O content. In addition, the charge compensation effect of Na+ or K+ on tetrahedrally coordinated Al3+ results in a viscosity increase in coal slag [19].
Solid precipitation behavior at a low temperature is determined by the primary phase and slag components [7,20]. Slag viscosity decreases at high temperatures due to structure depolymerization, but it increases at low temperatures, due to intense solid precipitation behavior [21,22]. Mullite is a precipitated solid phase found in low-CaO coal slag, and it is transformed into anorthite and then to gehlenite with increasing CaO content [15]. Xuan et al. found that the crystallization tendency of slag with a Si/Al ratio of 0.5 was the weakest due to the high Al2O3 content, and that slag with a Si/Al ratio in the range of 1.5–3.5 was the strongest [23]. However, the high Si/Al ratio of slag was sufficient to mask the sharp viscosity increase that occurred during solid precipitation [15]. In addition, solid precipitation behavior was also found to be influenced by the atmosphere as iron valence was changed [24]. The Fe2+ in the reducing atmosphere rejected the crystallization temperature of coal slag, making anorthite crystallization behavior weakest. The presence of metallic iron was found to accelerate anorthite crystallization by acting as a crystal seed. Furthermore, water vapor impeded crystals’ growth and reduced their average particle size [25]. Additionally, solid precipitation behavior can be predicted via thermodynamic modeling. The content of precipitated solid phase in quenched slag, which was determined using EPMA, corresponded well with a thermodynamic model [15]. However, the atmosphere in a gasifier varies with the gasifier’s type and geometry. The total content of the reducing gas in an entrained-flow coal gasifier varied from 60 vol.% to 94 vol.%, and the atmosphere around the burner even oxidized [26]. Therefore, the iron in coal slags differed in valence. However, the precipitation behavior of typical solid phase in coal slags with different iron valences is scarcely reported.
In this study, the precipitation behaviors of the typical solid phases of coal slag (anorthite, mullite, and gehlenite) were investigated under different atmospheres, using both thermodynamic modeling and experimental methods, and their corresponding effects on slag viscosity were also estimated. This study aimed to provide some basic insights into the viscosity of coal slag based on solid precipitation behavior.
2. Experimental Section
2.1. Preparation of the Synthetic Coal Slag
Yanzhou coal, which has high iron content, was selected in this study. The raw coal was crushed, ground, sieved to less than 0.075 mm, and properly stored for use. To characterize the ash composition of Yanzhou coal, Yanzhou ash was prepared at 815 °C, in air, according to the Chinese standard GB/T 212-2008. The ash composition was analyzed via XRF, according to ASTM D6349, and is shown in Table 1.
Table 1.
Chemical composition (wt.%) of Yanzhou ash.
The coal slag was mainly composed of SiO2, Al2O3, CaO, and Fe2O3; thus, the chemical components of Yanzhou ash were simplified to Si-Al-Ca-Fe-O [27]. It should be noted that the thermodynamic properties of the Si-Al-Fe-Ca-O system have been widely studied since 1942 [28,29,30]. Additionally, many researchers have employed this system to model the fusion and viscosity of coal ash or coal slag systems [27,31,32,33,34,35]. The simplified composition of Yanzhou ash is denoted as S-A and is shown in Table 2. The common solid phases in coal slag include anorthite, gehlenite, and mullite at a tapping temperature range of 1300–1500 °C. In order to modify the precipitated solid phase of S-A at a high temperature, the CaO content was decreased or increased until the primary phase of the new coal slag was mullite or gehlenite. The designed coal slags are denoted as S-M and S-G, respectively, as shown in Table 2. To prepare the synthetic coal ash, four laboratory reagents (SiO2, Al2O3, Fe2O3, and CaO) were treated at 815 °C for 2 h to remove impurities. After the heating treatment, these four laboratory reagents were ground to less than 0.075 mm. The synthetic coal ash was prepared by mixing the laboratory reagents SiO2, Al2O3, Fe2O3, and CaO in an agate mortar for 24 h.
Table 2.
Chemical composition of synthetic coal ash.
2.2. Thermodynamic Modeling
The thermodynamic simulation software FactSage (version 7.2) represents a fusion of two well-known software packages in computational thermochemistry: Fact-Win and ChemSage [36]. FactSage includes a series of information, databases, calculations, and manipulation modules that enable one to access and manipulate pure solid and solution databases. The theoretical background of FactSage calculation is complex and can be described using the Gibbs energy tree [37]. The basis of FactSage simulation is represented by Gibbs energy minimization of a multicomponent system at a given temperature and composition ranges. FactSage has been widely used to predict the phase composition of coal slag systems at high temperatures, supporting predictions of ash fusion temperatures, the temperature of critical viscosity (Tcv), and slag viscosity [7,15,31,38,39,40,41,42,43,44,45]. FactSage (version 7.2) was employed to investigate the solid precipitation behavior of coal slag under different atmospheres [36]. The “Equilib” module, along with the databases “FactPS: and “FToxid”, was selected during modeling.
The oxides of coal slag were used as inputs during thermodynamic modeling. The simulation temperature was set from 1000 °C to 1600 °C, with an interval of 50 °C. The simulation pressure was 1 bar. The types of atmosphere employed in this study were air, a mild reducing atmosphere (VCO:VCO2 = 60%:40%, denoted as MR), and a shell atmosphere. The gas composition is listed in Table 3.
Table 3.
The gas composition of different atmospheres.
2.3. Viscosity Modeling of Coal Slag
There are many models for calculating the viscosity of silicate melts [46,47,48,49,50,51]. Viscosity models are commonly built based on the specific composition of silicate melts. Therefore, it is challenging to identify the optimal viscosity model for a specific silicate melt. In this study, the viscosity of coal silicate slag was calculated using the “viscosity” module embedded in FactSage because this model was established based on slag structure (short-range ordering), especially for the silicate melts with high iron content [36,44,45,52]. The FLS was transformed into partially crystallized slag (PCS) below the liquidus temperature. The viscosity (η) of the PCS was calculated based on the Einstein–Roscoe equation, as shown in Equation (1); , , and are the liquid viscosity, the volume fraction of the solid phase, and the maximum amount of solid phase required for the slag viscosity to become infinite [3]. It should be noted that was influenced by the geometry of the solid phases. A of 0.74 was suitable for face-centered cubic packing, which was selected in this study [3]. A of 1.00 was applied to spheres of diverse sizes [53], and was chosen to be π/6 in cases where cubes were the same size [54]. Note that it is difficult to determine the size and geometric distribution of solid phase in the slag. The determination of in cases of the uniform spheres cannot provide adequate or accurate calculations of the effective viscosity for PCS [55,56,57]. The viscosity of was calculated according to the chemical composition of the liquid phase, which was obtained via thermodynamic simulation. The density (, kg/m3) of the slag was calculated based on Equation (2), with an accuracy of ±5%, where Xi was the weight fraction of species i in the coal slag [58]. The densities of anorthite, mullite, and gehlenite were 2.61 g/cm3, 2.95 g/cm3, and 3.15 g/cm3, respectively.
2.4. DSC Analysis
The DSC was used to detect the crystallization heat of coal slag during the cooling process. Briefly, a corundum crucible which contained an approximately 20 mg sample was loaded in the sample chamber of a NETZSCH STA 449F5. Before conducting the experiment, the instrument was stabilized under Ar flow for 48 h. A blank test was performed using an empty corundum crucible. The flow rates of the Ar were 20 mL/min and 80 mL/min for the protect gas and carrier gas, respectively. The heating rates were 20 °C/min from 35 °C to 1100 °C and 10 °C/min from 1100 °C to 1500 °C, respectively. After holding the sample at 1500 °C for 1 min, the slag was cooled to 900 °C at a cooling rate of 3 °C/min. The Ar was used as both the carrier gas and the protective gas. The exothermal behavior of slag during cooling, caused by solid precipitation, was recorded. To better monitor the crystallization heat of the slag, the crucible was covered with a lid during the test.
2.5. Quenching Experiment
The solid precipitation behavior was experimentally determined using the slag quenching method. The corundum crucible, which was loaded with a 1.0 g sample, was placed in a horizontal tube furnace, and then it was heated to 1300 °C, under specific atmospheric conditions, at a flow rate of 120 mL/min. The temperature program of the quenching experiment is shown in Figure 1. After the sample was kept at 1300 °C (S-A and S-G) or 1350 °C (S-M) for 60 min, it was removed and quenched in ice water. The atmospheres employed in the quenching experiment included MR and air. The corresponding gas composition is shown in Table 3. In addition, a gas mixture (SR) of 97.4 vol.% CO and 2.6 vol.% CO2 was used to simulate the shell gasifier atmosphere. The oxygen partial pressure of SR was close to that of the shell atmosphere. The quenched slag was dried and pulverized to less than 0.075 mm for mineral determination. The solid species of the pulverized slag was determined via X-ray powder diffraction (XRD), using Cu Kα radiation at 40 kV, 40 mA, and λ = 0.154 nm. The step size was 0.02°, and the scanning speed was 4°/min. The microstructure of the quenched slag was determined using a scanning electron microscope equipped with an energy-dispersive X-ray analyzer (SEM-EDX, JSM-7001F).
Figure 1.
Temperature program of the quenching experiment.
3. Results and Discussion
3.1. Distribution of Iron Valences under Different Atmospheres
It has been experimentally proven that the iron valence in coal slag is mainly influenced by the atmosphere and is slightly affected by slag composition [25]. Thus, the effect of slag composition was not considered in this study. The distribution of iron valence in the S-A slag under different atmospheres is shown in Figure 2, which shows that iron mainly existed as Fe2+ under an MR atmosphere and was partly exited as Fe3+ in air. Iron was reduced to Fe2+ under an MR atmosphere due to the presence of the reducing gases, including CO and H2. Fe2+ is more stable than Fe3+ at a high temperature, and hence, Fe2+/Fe3+ increases with temperature in air [59]. The variation in Fe2+/Fe3+ below Tliq was attributed to the solid crystallization reaction in the melt. Nevertheless, the iron valence distribution was mainly influenced by the atmosphere.
Figure 2.
Distribution of iron valences in S-A slag under different atmospheres.
3.2. Effect of Iron Valence on the Viscosity of FLS
Slag viscosity is influenced by both the slag composition and the crystallization reaction at a relatively low tapping temperature. To avoid the effect of solid precipitation on slag viscosity, the coal slag was assumed to form FLS in the range of 1200–1500 °C. Additionally, the iron in the slag was in the form of Fe2+ under the reducing atmosphere, and it was in the form of Fe3+ in air during the viscosity modeling.
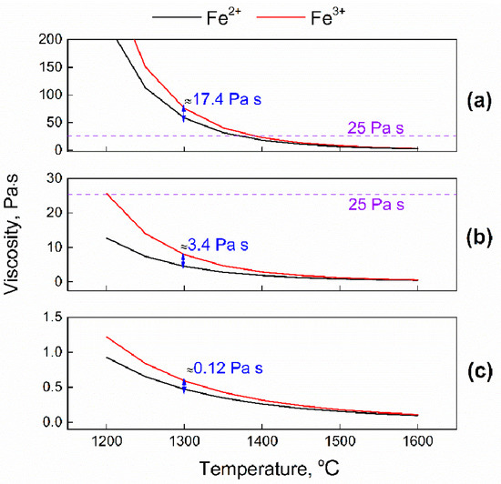
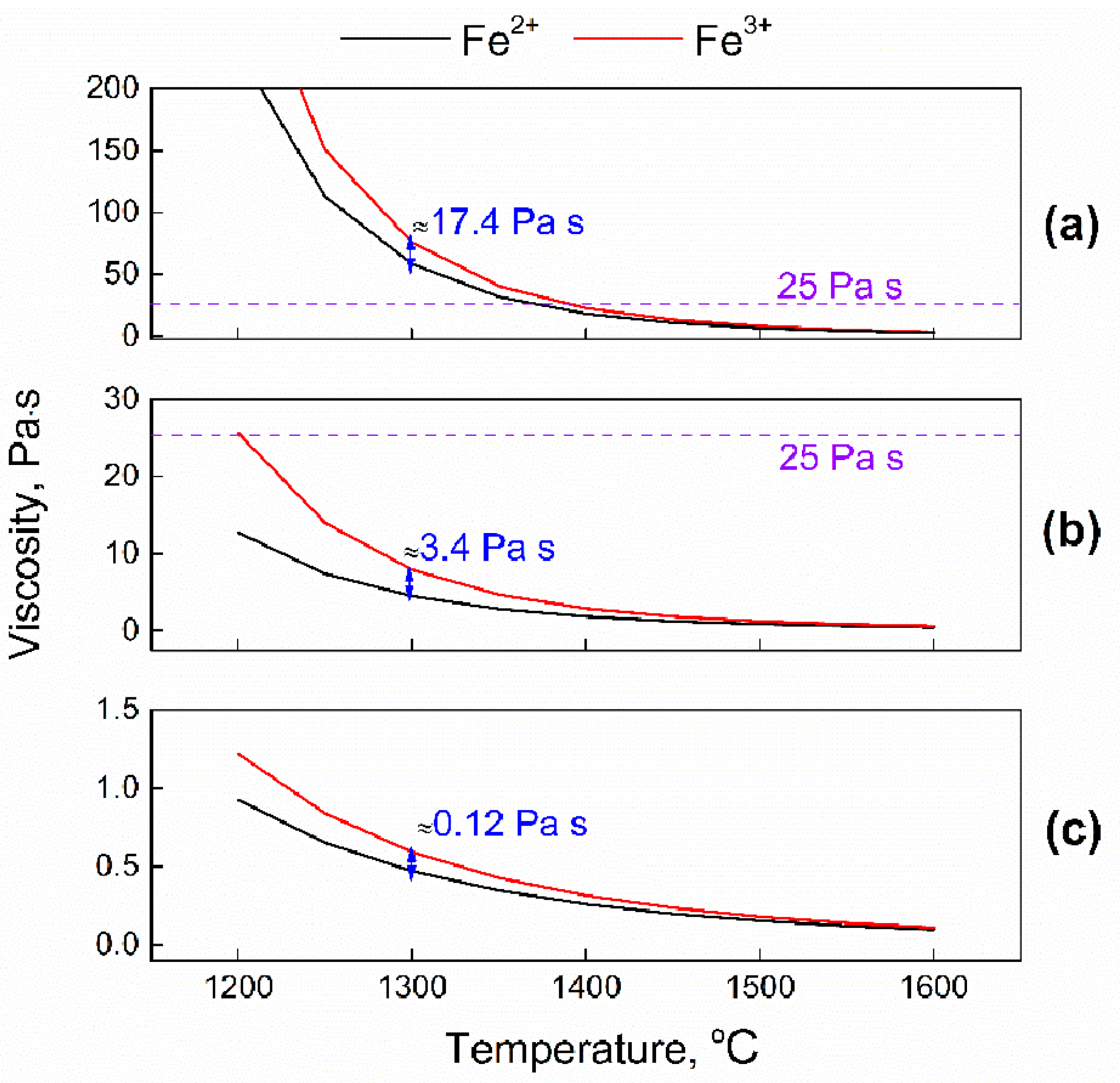
The viscosities of slag containing different iron valences are shown in Table 4 and Figure 3. As shown in Figure 3, the viscosity of the slag containing Fe2+ was lower than that of the slag containing Fe3+. Fe2+ is a network modifier that can disrupt slag’s structure and decrease its viscosity, while Fe3+ is amphoteric and can either bond or disrupt slag viscosity. Therefore, the viscosity of coal slag containing Fe2+ was lower. In addition, the effect of iron valence on the viscosity of coal slag weakened with increasing CaO content, as shown in Figure 3. The viscosity difference in slags containing different iron valences was 17.4 Pa·s for the S-M slag and 0.12 Pa·s for the S-G slag, respectively. The viscosity of coal slag decreased with increasing CaO content, because Ca2+ is a network modifier that decreases the slag’s structure. However, Ca2+ may compensate for the charge deficiency of tetrahedral-coordinated Al3+, leading to a slight viscosity increase. Therefore, the effect of iron valence on slag viscosity weakened with increasing CaO content.
Table 4.
Viscosity of slag containing different iron valences.
Figure 3.
Effect of iron valence on coal slag viscosity: (a) S-M, (b) S-A, and (c) S-G.
Overall, the effect of iron valence distribution on viscosity is relatively weak in the optimal slagging viscosity range of 2.5–25 Pa·s. Therefore, there is a need to investigate the viscosity of coal slag under the conditions of solid precipitation.
3.3. Effect of Solid Precipitation on the Viscosity of PCS
The solid precipitated when the temperature was below the liquidus temperature, and the coal slag was transformed into partially crystallized slag (PCS, a mixture of the solid and liquid phases). Therefore, the viscosity of the PCS was influenced by both the solid properties and the liquid viscosity. The primary phases of S-A, S-G, and S-M are anorthite, gehlenite, and mullite, respectively.
3.3.1. The Viscosity of the Slag from the Primary Phase of Anorthite
Anorthite Precipitation Behavior
The viscosity of coal slag was tested from a high temperature to a low temperature. When the solid was not precipitated, the increasing trend of slag viscosity with decreasing temperature was mild. However, solid precipitation and the crystallization reaction led to an abrupt increase in slag viscosity. The x-axis of Figure 4 was reversed to highlight the temperature range at which slag viscosity was significantly influenced by solid precipitation. As shown in Figure 4, the precipitation order of the solid phase was influenced by the atmosphere. Anorthite was the first precipitated solid phase (also known as the primary phase) in air and MR (Figure 4a,b), though it precipitated after the metallic iron in a shell atmosphere (Figure 4c). In addition, the iron in the slag was reduced to metallic iron under in a shell atmosphere. The metallic iron had a high melting point of 1537 °C and was immiscible with the slag phase. Therefore, the metallic iron precipitated first. In addition, the Fe3+-containing minerals, including corundum and andradite, were precipitated after anorthite in air. Kong et al. found that the temperature of critical viscosity (Tcv) is closely related to the formation rate of solid phase [43]. As shown in Figure 4d, the anorthite precipitation rate increased first, and then it decreased with a temperature decrease. The maximum anorthite precipitation rate was found to be between 1400 °C and 1350 °C. Furthermore, the anorthite precipitated at a higher temperature, and the precipitation rate of anorthite in air was higher than that under MR and shell atmospheres. With the temperature decreasing to 1350 °C, the precipitation rate of anorthite under a shell atmosphere was the highest. In addition, the precipitation rate of anorthite under an MR atmosphere was the lowest of the three atmospheres. It should be noted that anorthite precipitation was influenced by other solid phases. The low precipitation rate of anorthite below 1300 °C was attributed to corundum crystallization in air. In contrast, metallic iron precipitation resulted in a relative increase in Si4+ and Al3+ in the slag, improving the anorthite crystallization under an SR atmosphere. The above results demonstrate that anorthite precipitation was inhibited by Fe2+ but was improved by Fe3+. This is consistent with the experimental results [25]. The increase in the anorthite precipitation rate under a shell atmosphere was caused by metallic iron precipitation, which led to a relative increase in CaO content in the liquid phase.
Figure 4.
Anorthite precipitation behavior under different atmospheres of S-A slag: (a) air, (b) MR, and (c) shell. (d) Anorthite precipitation rate.
In addition, the metallic iron content was less than 2 wt.% in the S-A slag at 1400 °C. According to the Einstein–Roscoe equation, the change of viscosity due to metallic iron precipitation was within 5%, which can be ignored above 1400 °C, as shown in Figure 5. Considerable precipitation of anorthite was found to occur below 1400 °C. Therefore, the slag viscosity increase was related to anorthite crystallization.
Figure 5.
Relationship between the solid content and slag viscosity estimated using the Einstein–Roscoe equation.
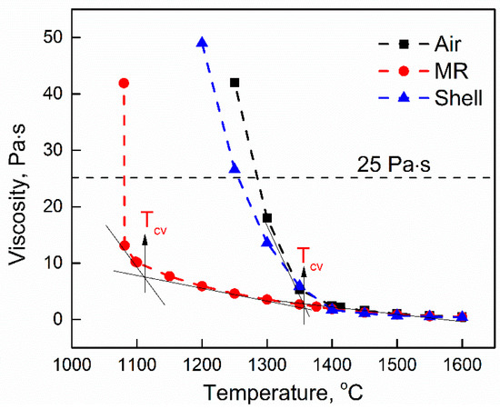
Effect of Anorthite Precipitation on Slag Viscosity
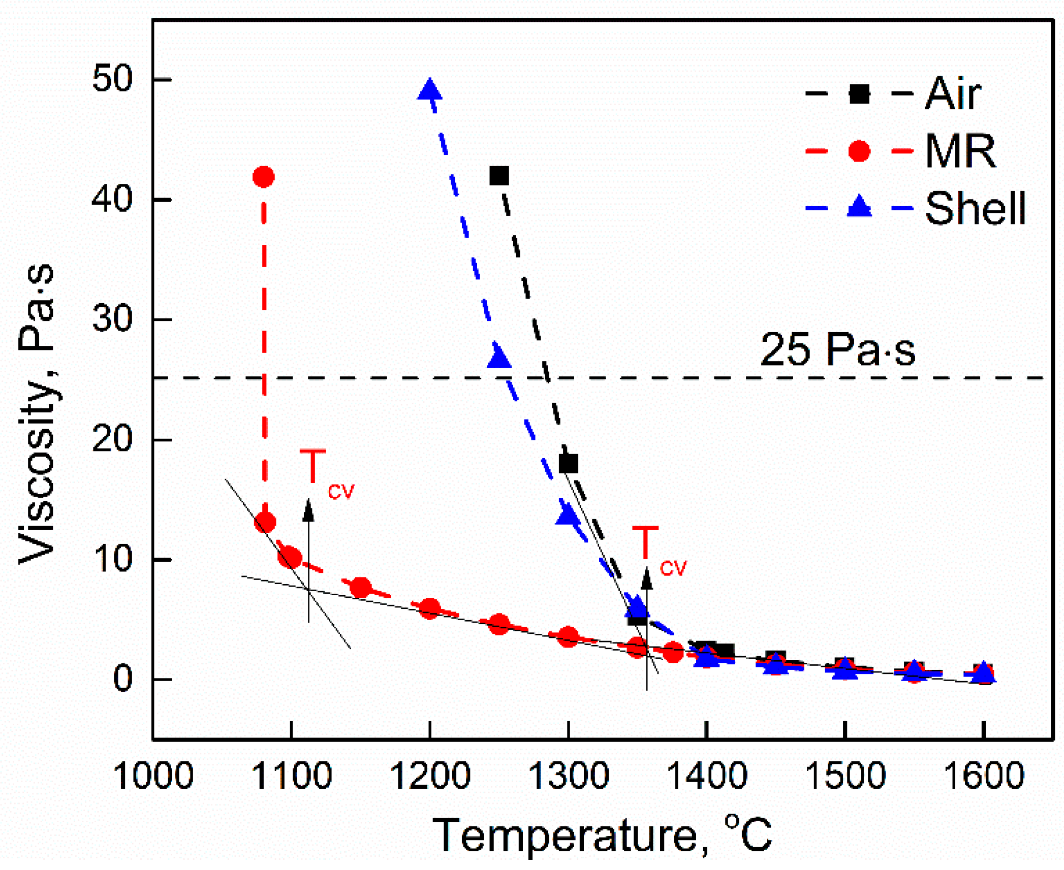
As shown in Figure 6, the viscosities of S-A slag under different atmospheres were close at temperatures above 1400 °C, because the solid content was low. Below 1400 °C, the viscosity difference between the air and shell atmospheres was significant with the decreasing temperature. The slag viscosity achieved its upper limit of 25 Pa s at 1300 °C in the smooth slag-tapping process. In contrast, the slag viscosity increased slightly with the decreasing temperature under an MR atmosphere, and an abrupt increase in viscosity was found at temperatures below 1100 °C. Solid precipitation behavior was the main influencing factor in the viscosity of PCS. Therefore, anorthite precipitation behavior was strong under air and shell atmospheres, but it was weak under an MR atmosphere. The Tcv (the temperature of critical viscosity) denotes the temperature at which the viscosity abruptly increases. Hence, the slag-tapping temperature of the entrained-flow coal gasifier should be above the Tcv. As shown in Figure 6, the Tcv under an MR atmosphere was much lower than that under air and shell atmospheres. Therefore, S-A exhibited the best tapping performance under an MR atmosphere. The Tcv was influenced by both the solid phase properties and liquid viscosity. The high Tcv of air was ascribed to corundum precipitation. The content of the network modifier (Fe2+ and Ca2+) decreased with metallic iron precipitation, leading to the high viscosity of the liquid phase. Therefore, the Tcv under a shell atmosphere was higher than that under an MR atmosphere.
Figure 6.
Viscosities of S-A slag under different atmospheres.
3.3.2. The Viscosity of the Slag from the Primary Phase of Gehlenite
Gehlenite Precipitation Behavior
In Figure 7, the major solid phase that precipitated from the slag was melilite rather than gehlenite. Note that melilite was a solid solution. For the Si-Al-Fe-Ca-O system, the melilite was composed of iron–akermanite, gehlenite, and iron–gehlenite. As shown in Figure 7a–c, significant precipitation of melilite was observed under the three atmospheres. Under the shell atmosphere, metallic iron was precipitated, and the metallic iron content of S-G slag was higher than that of S-A slag. The Ca2+ and Fe2+ competed with each other in the slag structure [60]. The high Ca2+ in the S-G slag disrupted the bond between Fe2+ and Si4+, improving the metallic iron precipitation [60]. In addition, the melilite content was highest under the MR atmosphere and was lowest in air. Xuan et al. also found that melilite crystallization improved under the mild reducing atmosphere [61]. In Figure 7d, the precipitation rate of melilite under the air and MR atmospheres was lower than that under the shell atmosphere at temperatures above 1350 °C. However, the precipitation rate of melilite increased sharply under the MR atmosphere until 1300 °C. In contrast, the decrease in the melilite precipitation rate under the shell and air atmospheres was attributed to the precipitation rate of other solid phases, including anorthite, wollastonite, and clinpyroxene. Additionally, the effect of metallic iron precipitation on the melilite precipitation rate was stronger than that of clinpyroxene and wollastonite because the Ca2+ content of the liquid phase was increased. Therefore, Fe2+ improved melilite crystallization, while Fe3+ slightly inhibited it.

Figure 7.
The solid precipitation of S-G slag under different atmospheres: (a) air, (b) MR, and (c) shell. (d) Melilite precipitation rate.
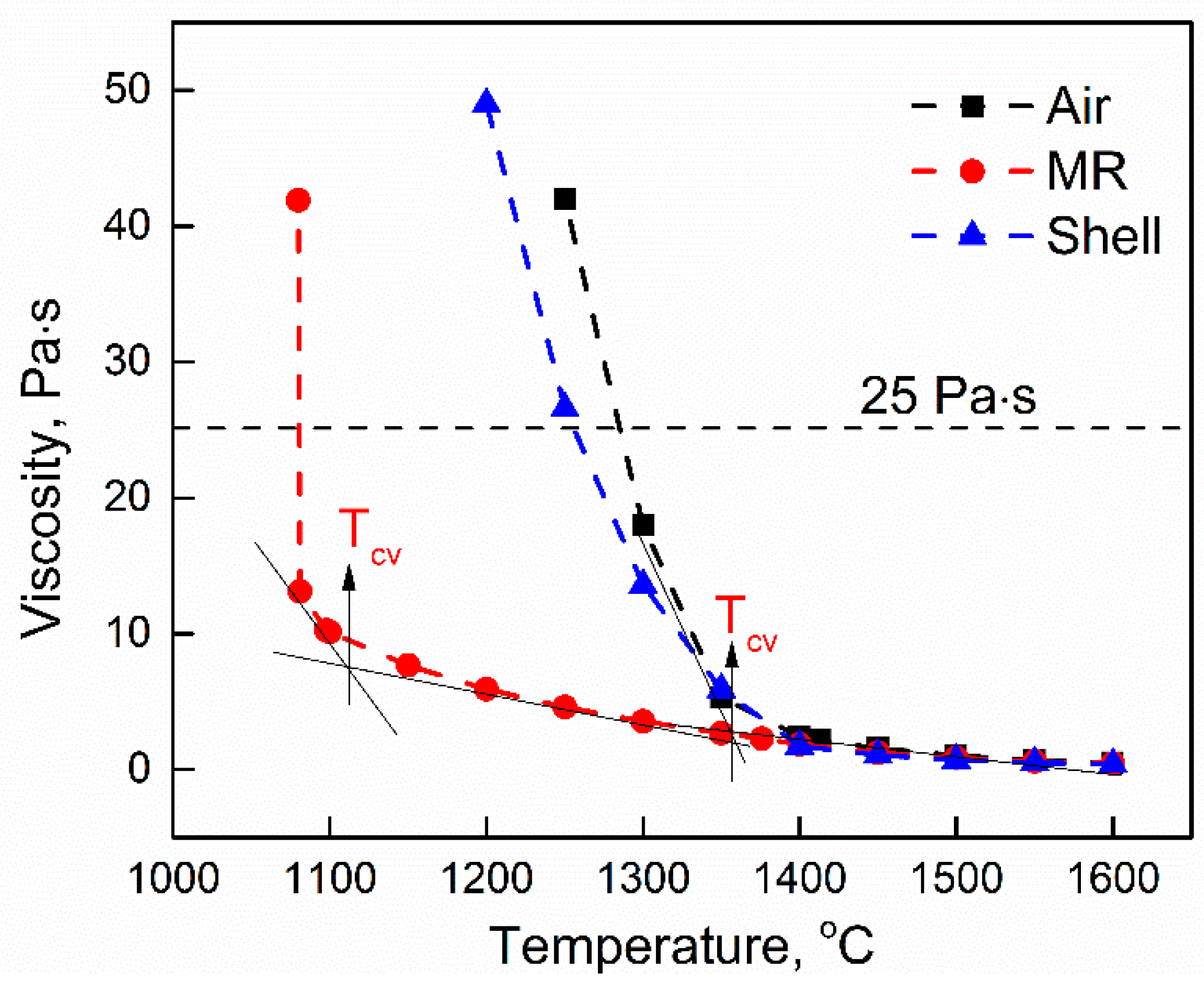
Effect of Gehlenite Precipitation on Slag Viscosity
As shown in Figure 8, the low viscosity of S-G slag at temperatures above 1400 °C was attributed to the high content of network modifiers (Ca2+ and Fe2+) in the slag. The gehlenite precipitated below 1400 °C, leading to viscosity differences between different atmospheres. The co-precipitation of gehlenite and metallic iron led to a sharp increase in viscosity under the shell atmosphere. The precipitation behavior of gehlenite in air was close to that under the MR atmosphere, and hence, the viscosity difference was similar under these two atmospheres. Furthermore, the Tcv under the MR atmosphere was the lowest among the three atmospheres. This was attributed to changes in the solid content and the liquid component.
Figure 8.
The viscosities of S-G slag under different atmospheres.
3.3.3. The Viscosity of the Slag in the Primary Phase of Mullite
Mullite Precipitation Behavior
Mull is a solid solution of non-stoichiometric mullite with Fe2O3 that was used for the Si-Al-Fe-Ca-O system. As was shown in Figure 9a–c, mull was the primary phase of S-M slag, and its precipitation behavior was almost uninfluenced by the atmosphere. Alex et al. found that mullite was crystallized in low-CaO, low-Fe2O3 slags, and this was consistent with our simulation results. The mull content in air was higher, while the mull contents under MR and shell atmospheres were almost identical. Our results demonstrate that Fe3+ can improve mull crystallization, because the Al3+ in the mull structure can be replaced by Fe3+ [62]. In Figure 9d, the mull precipitation rate in air was relatively higher compared with the other two atmospheres, which was attributed to the high Fe3+ content in air. The crystallization of quartz and anorthite under the shell atmosphere led to a high precipitation rate in mull at temperatures below 1300 °C. Furthermore, the precipitation rate of mull was much lower than that of anorthite and gehlenite.
Figure 9.
The solid precipitation of S-M slag under different atmospheres: (a) air, (b) MR, and (c) shell. (d) Mull precipitation rate.
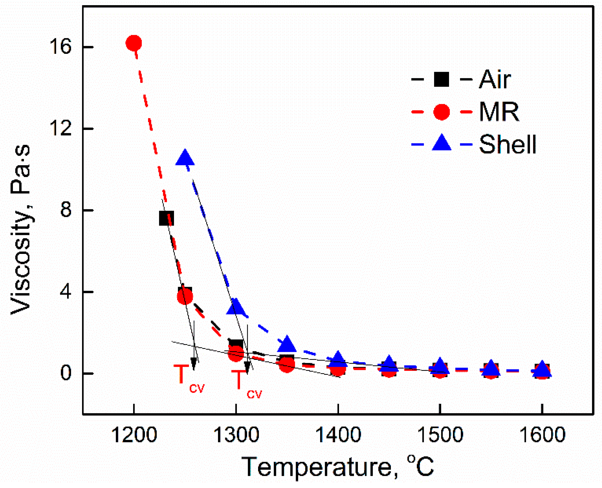
Effect of Mullite Precipitation on Slag Viscosity
As shown in Figure 10, the viscosity of S-M slag was higher than that of S-A and S-G at 1500 °C because it had a higher content of network formers (Si4+ and Al3+). This viscosity decrease was related to mullite precipitation behavior at low temperature. Fe3+ tended to replace Al3+ in mullite’s structure, improving its crystallization. Hence, the viscosity of S-M slag in air was relatively higher. The increased viscosity in S-M slag caused by the mullite precipitation was masked due to the low mullite content, and the Tcv was barely detectable. Furthermore, the viscosity increase in S-M was mild with decreasing temperature. The slag tapping temperature was assumed to be the T25, at which the slag viscosity is 25 Pa s. The tapping temperature of S-M under the MR and shell atmospheres was 1420 °C, which was lower than that under air. Overall, the viscosity of the slag in the primary phase of mullite was less influenced by iron valence distribution, considering that the Tcv was barely detectable. This was related to the high viscosity of S-M slag, which masked the influence of solid precipitation.
Figure 10.
The viscosities of S-M slag under different atmospheres.
3.4. Experimental Investigation of Precipitation Behavior of Solid Phases
3.4.1. DSC Results
The exothermal behavior of the slags was caused by solid precipitation during the cooling process. As shown in Figure 11, the crystallization behavior of the S-A slag and S-G slag was much stronger than that of the S-M slag. Xuan et al. found that the crystallization tendency of the coal slag (Si-Al-Fe-Ca-Mg-O) system increased with CaO content, which is consistent with our experiment results [63]. The primary phases of the S-A and S-G were anorthite and gehlenite, and these two solid phases had much lower Gibbs free energy than mullite [64,65]. Therefore, the crystallization behavior of S-M was relatively mild. Furthermore, the low viscosity of S-G slag improved its crystallization behavior, and its initial crystallization temperature (1371 °C) was higher than that of the S-A slag (1306 °C). The slag viscosity increased with decreasing CaO content, and hence, the crystallization temperature of the S-A slag was lower than that of the S-G slag. Mullite crystallization was barely detectable because the crystallization heat was only 0.48 mW/mg, which was related to the high slag viscosity.
Figure 11.
DSC curve of the slags: (a) S-A, (b) S-G, and (c) S-M.
3.4.2. Mineral Species Analysis
The crystallization behavior of coal slag was investigated via XRD. As shown in Figure 12a, anorthite was crystallized in the S-A slag under the three atmospheres, which was consistent with the thermodynamic modeling results. In addition, metallic iron precipitation was found to occur under the SR atmosphere, while hematite and hercynite were generated in air. Additionally, the diffraction peak intensity of anorthite in the S-A slag at 28° was strongest under the SR atmosphere, which indicated higher anorthite content, as shown in Table 5. As shown in Figure 12b, gehlenite crystallization was identified in the S-G slag. Wollastonite, hedenbergite, and magnetite were crystallized in the S-G slag in air. Furthermore, the gehlenite content was highest under the MR atmosphere because the diffraction peak of gehlenite at 31° was strongest under this atmosphere. This was in accord with the thermodynamic results. Mullite crystallization was identified in the S-M slag. The diffraction intensity of mullite was much weaker than that of anorthite and gehlenite, demonstrating that the crystallization content of mullite was much lower, even at higher temperatures. This was consistent with the DSC results. The diffraction peak of mullite at 16° was strongest in air, indicating high mullite content. Furthermore, the diffraction peak of metallic iron at 44° was highest in the S-G slag, which is in line with the thermodynamic results.
Figure 12.
Solid precipitation behavior in coal slag under different atmospheres: (a) S-A slag quenched at 1300 °C, (b) S-G slag quenched at 1300 °C, (c) S-M slag quenched at 1350 °C. W = wollastonite; M = mullite; 1 = anorthite; 2 = hematite; 3 = hercynite; 4 = metallic iron; 5 = larnite; 6 = gehlenite; 7 = hedenbergite; 8 = corundum; 9 = quartz; 10 = magnetite; 11 = cristobalite.
Table 5.
The 2θ and intensity of minerals detected via XRD.
3.4.3. Microstructure Analysis
The microstructure of quenched slag was analyzed via SEM-EDS. The phase in the quenched slag was determined based on the element distribution of the EDS mapping results and XRD results. As shown in Figure 13a, Si, Al, Fe, and Ca were uniformly distributed, indicating an abundance of the slag phase. Anorthite crystal was determined to occur in the zone with low Ca content. In Figure 13b, S-G slag shows a uniform element distribution which is similar to that of the S-A slag under MR. Therefore, the high CaO content improved slag formation. In contrast, Si and Al were bonded together in the S-M slag under the MR atmosphere to form mullite, as shown in Figure 13c. Metallic iron and quartz were determined in S-G slag under the SR atmosphere, as shown in Figure 13d. Quartz was bonded with metallic iron, indicating a strong connection between Si and Fe. Magnetite was easily identified in the S-M slag in air, as shown in Figure 13e. Additionally, quartz and mullite were also found.


Figure 13.
Microstructure of quenched slags: (a) S-A slag under the MR atmosphere, (b) S-G slag under the MR atmosphere, (c) S-M slag under the MR atmosphere, (d) S-G slag under the SR atmosphere, and (e) S-M slag in air.
4. Conclusions
The solid precipitation behaviors of coal slags under different atmospheres were revealed using thermodynamic modeling and experimental methods. Our main conclusions are as follows:
- (1)
- Iron valence had limited influence on the viscosity of the coal slags of S-A and S-G because these two slags had a high content of network modifiers (Ca2+ and Fe2+). Nevertheless, the viscosity of S-M slag was strongly influenced by iron valence because the slag structure was more polymerized due to the high content of network formers (Si4+ and Al3+).
- (2)
- The viscosity of the partially crystallized slag was governed by the solid precipitation behavior and liquid viscosity. The anorthite precipitation rate was largely improved by both metallic iron and corundum crystallization. Therefore, the viscosities of the S-A slag in the primary phase of anorthite under the air and shell atmospheres were relatively higher. In contrast, the viscosity of slags in the primary phases of gehlenite and mullite was less influenced by the atmosphere because the solid precipitation behavior was hardly influenced by iron valence. In addition, the high viscosity of the S-M slag masked the viscosity increase caused by solid precipitation.
- (3)
- The iron distribution of slag was affected by the atmosphere. Iron occurred in the form of magnetite and hematite in air and was reduced to metallic iron under the strongly reducing atmosphere (SR). Furthermore, the metallic iron formation reaction was improved in high-CaO coal slag (S-G slag) under the SR atmosphere because Ca2+ competed with Fe2+ or Fe3+ in the slag structure.
- (4)
- The experimental results demonstrated that the crystallization tendency of coal slag was promoted by the increasing CaO content, and mullite showed the lowest crystallization rate among the three primary phases. The low crystallization rate of mullite also contributed to a mild increase in slag viscosity with decreasing temperature. To some extent, our thermodynamic modeling corresponded well with our experiment results.
Author Contributions
Conceptualization, C.H. and J.Y.; methodology, J.G.; validation, C.H.; formal analysis, J.G. and M.Y.; investigation, Y.Q.; resources, F.F. and M.Y.; data curation, J.G.; writing—original draft preparation, J.G.; writing—review and editing, C.H. and J.Y.; visualization, Y.Q.; supervision, C.H. and J.Y.; project administration, C.H.; funding acquisition, C.H., J.Y. and Y.Q. All authors have read and agreed to the published version of the manuscript.
Funding
This work was funded by the National Natural Science Foundation of China (Grant numbers: 22108190, 21975172, and 22178001). Additionally, we appreciate the financial support from the Research Project for Outstanding Youth of the Department of Education of Anhui Province (2022AH030045).
Data Availability Statement
The data presented in this study are available on request from the corresponding author.
Acknowledgments
The authors thank the National Natural Science Foundation of China and the Research Project for Outstanding Youth of the Department of Education of Anhui Province. Additionally, the thermodynamic modelling assistance of the Chinese Academy Sciences was highly appreciated.
Conflicts of Interest
The authors declare no conflict of interest.
References
- Burchart, D.; Gazda-Grzywacz, M.; Grzywacz, P.; Burmistrz, P.; Zarębska, K. Life cycle assessment of hydrogen production from coal gasification as an alternative transport fuel. Energies 2023, 16, 383. [Google Scholar] [CrossRef]
- Huang, X.; Hu, F.; Liu, W.; Wang, P.; Sun, H.; Liu, Z. Volatile releasing characteristics of pulverized coals under moderate or intense low-oxygen dilution oxy-combustion conditions in a flat-flame assisted entrained flow reactor. Processes 2022, 10, 358. [Google Scholar] [CrossRef]
- Kondratiev, A.; Ilyushechkin, A. Flow behaviour of crystallising coal ash slags: Shear viscosity, non-Newtonian flow and temperature of critical viscosity. Fuel 2018, 224, 783–800. [Google Scholar] [CrossRef]
- Kong, L.; Bai, J.; Li, W. Viscosity-temperature property of coal ash slag at the condition of entrained flow gasification: A review. Fuel Process. Technol. 2021, 215, 106751. [Google Scholar] [CrossRef]
- Li, H.; Song, X.; Li, G.; Kong, L.; Li, H.; Bai, J.; Li, W. Effect of coal blending on ash fusibility and slurryability of Xinjiang low-rank coal. Processes 2022, 10, 1693. [Google Scholar] [CrossRef]
- Xuan, W.; Guhl, S.; Zhang, Y.; Zhang, J.; Meyer, B. A structural viscosity model for silicate slag melts based on MD simulation. Ceram. Int. 2022, 48, 28291–28298. [Google Scholar] [CrossRef]
- He, C.; Ilyushechkin, A.; Bai, J.; Hla, S.S.; Kong, L.-X.; Li, W. Viscosity and crystallisation behaviour of coal ash slag from the primary phase of anorthite. Fuel Process. Technol. 2021, 213, 106680. [Google Scholar] [CrossRef]
- Yu, S.; Chu, R.; Li, X.; Wu, G.; Meng, X. Nonequilibrium Molecular Dynamics Simulations of Coal Ash. Energies 2020, 14, 11. [Google Scholar] [CrossRef]
- Xuan, W.; Wang, H.; Xia, D. In-situ observation of crystallization inside coal slags and influence of crystals on flow behavior. Fuel 2019, 251, 242–248. [Google Scholar] [CrossRef]
- Shen, Z.; Hua, X.; Liang, Q.; Xu, J.; Han, D.; Liu, H. Reaction, crystallization and element migration in coal slag melt during isothermal molten process. Fuel 2017, 191, 221–229. [Google Scholar] [CrossRef]
- Bai, J.; Li, W.; Bai, Z. Effects of mineral matter and coal blending on gasification. Energy Fuels 2011, 25, 1127–1131. [Google Scholar] [CrossRef]
- He, C.; Bai, J.; Li, W.; Kong, L.; Xu, J.; Guhl, S.; Li, X.; Bai, Z.; Li, W. Iron transformation behavior in coal ash slag in the entrained flow gasifier and the application for Yanzhou coal. Fuel 2019, 237, 851–859. [Google Scholar] [CrossRef]
- Seebold, S.; Wu, G.; Müller, M. The influence of crystallization on the flow of coal ash-slags. Fuel 2017, 187, 376–387. [Google Scholar] [CrossRef]
- Lu, H.; Bai, J.; Vassilev, S.V.; Kong, L.; Li, H.; Bai, Z.; Li, W. The crystallization behavior of anorthite in coal ash slag under gasification condition. Chem. Eng. J. 2022, 445, 136683. [Google Scholar] [CrossRef]
- Ilyushechkin, A.Y.; Hla, S.S.; Roberts, D.G.; Kinaev, N.N. The effect of solids and phase compositions on viscosity behaviour and TCV of slags from Australian bituminous coals. J. Non-Cryst. Solids 2011, 357, 893–902. [Google Scholar] [CrossRef]
- Grapes, R.H. Pyrometamorphism, 2nd ed.; Springer: Berlin/Heidelberg, Germany, 2011; pp. 101–111. [Google Scholar]
- Cao, X.; Kong, L.; Bai, J.; Ge, Z.; He, C.; Li, H.; Bai, Z.; Li, W. Effect of water vapor on coal ash slag viscosity under gasification condition. Fuel 2019, 237, 18–27. [Google Scholar] [CrossRef]
- Vargas, S.; Frandsen, F.J.; Dam-Johansen, K. Rheological properties of high-temperature melts of coal ashes and other silicates. Prog. Energ Combust. 2001, 27, 237–429. [Google Scholar] [CrossRef]
- Ge, Z.; Kong, L.; Bai, J.; Chen, X.; He, C.; Li, H.; Bai, Z.; Li, P.; Li, W. Effect of CaO/Na2O on slag viscosity behavior under entrained flow gasification conditions. Fuel Process. Technol. 2018, 181, 352–360. [Google Scholar] [CrossRef]
- Ilyushechkin, A.Y.; Kondratiev, A.; He, C.; Bai, J.; Chen, X.; Hla, S.S. Viscosity of spinel primary phase field slags from Australian brown coals. Energy Fuels 2020, 34, 3041–3056. [Google Scholar] [CrossRef]
- Wang, P.; Massoudi, M. Slag Behavior in Gasifiers. Part I: Influence of Coal Properties and Gasification Conditions. Energies 2013, 6, 784. [Google Scholar] [CrossRef]
- Massoudi, M.; Wang, P. Slag Behavior in Gasifiers. Part II: Constitutive Modeling of Slag. Energies 2013, 6, 807–838. [Google Scholar] [CrossRef]
- Xuan, W.; Whitty, K.J.; Guan, Q.; Bi, D.; Zhan, Z.; Zhang, J. Influence of SiO2/Al2O3 on crystallization characteristics of synthetic coal slags. Fuel 2015, 144, 103–110. [Google Scholar] [CrossRef]
- Xuan, W.; Whitty, K.J.; Guan, Q.; Bi, D.; Zhan, Z.; Zhang, J. Influence of Fe2O3 and atmosphere on crystallization characteristics of synthetic coal slags. Energy Fuels 2015, 29, 405–412. [Google Scholar] [CrossRef]
- He, C.; Bai, J.; Kong, L.; Xu, J.; Guhl, S.; Li, X.; Ge, Z.; Cao, X.; Bai, Z.; Li, W. Effects of atmosphere on the oxidation state of iron and viscosity behavior of coal ash slag. Fuel 2019, 243, 41–51. [Google Scholar] [CrossRef]
- Bell, D.A.; Towler, B.F.; Fan, M. Coal Gasification and Its Applications, 1st ed.; Elsevier Ltd.: Amsterdam, The Netherlands, 2011; p. 92. [Google Scholar] [CrossRef]
- Ilyushechkin, A.Y.; Hla, S.S. Viscosity of high-iron slags from Australian coals. Energy Fuels 2013, 27, 3736–3742. [Google Scholar] [CrossRef]
- Schairer, J.F.; Yagi, K. The system FeO-Al2O3-SiO2. J. Jpn. Assoc. Mineral. Petrol. Econ. Geol. 1953, 37, 83–102. [Google Scholar] [CrossRef]
- Prostakova, V.; Shishin, D.; Shevchenko, M.; Jak, E. Thermodynamic optimization of the Al2O3–FeO–Fe2O3–SiO2 oxide system. Calphad 2019, 67, 101680. [Google Scholar] [CrossRef]
- Snow, R.B.; McCaughey, W.J. Equilibrium studies in the system FeO-Al2O3-SiO2. J. Am. Ceram. Soc. 1942, 25, 151–160. [Google Scholar] [CrossRef]
- Jak, E.; Degterov, S.; Hayes, P.C.; Pelton, A.D. Thermodynamic modelling of the system Al2O3-SiO2-CaO-FeO-Fe2O3 to predict the flux requirements for coal ash slags. Fuel 1998, 77, 77–84. [Google Scholar] [CrossRef]
- Song, W.; Tang, L.; Zhu, X.; Wu, Y.; Rong, Y.; Zhu, Z.; Koyama, S. Fusibility and flow properties of coal ash and slag. Fuel 2009, 88, 297–304. [Google Scholar] [CrossRef]
- Hurst, H.J.; Novak, F.; Patterson, J.H. Viscosity measurements and empirical predictions for some model gasifier slags. Fuel 1999, 78, 439–444. [Google Scholar] [CrossRef]
- Hurst, H.J.; Novak, F.; Patterson, J.H. Phase diagram approach to the fluxing effect of additions of CaCO3 on Australian coal ashes. Energy Fuels 1996, 10, 1215–1219. [Google Scholar] [CrossRef]
- Yan, T.; Kong, L.; Bai, J.; Bai, Z.; Li, W. Thermomechanical analysis of coal ash fusion behavior. Chem. Eng. Sci. 2016, 147, 74–82. [Google Scholar] [CrossRef]
- Bale, C.W.; Bélisle, E.; Chartrand, P.; Decterov, S.A.; Eriksson, G.; Gheribi, A.E.; Hack, K.; Jung, I.H.; Kang, Y.B.; Melançon, J.; et al. FactSage thermochemical software and databases, 2010–2016. Calphad 2016, 54, 35–53. [Google Scholar] [CrossRef]
- Hack, K. Computational thermodynamics: A mature scientific tool for industry and academia. Pure Appl. Chem. 2011, 83, 1031–1044. [Google Scholar] [CrossRef]
- Kondratiev, A.; Jak, E. Predicting coal ash slag flow characteristics (viscosity model for the Al2O3-CaO-’FeO’-SiO2 system). Fuel 2001, 80, 1989–2000. [Google Scholar] [CrossRef]
- Jak, E. Prediction of coal ash fusion temperatures with the F∗A∗C∗T thermodynamic computer package. Fuel 2002, 81, 1655–1668. [Google Scholar] [CrossRef]
- Hanxu, L.; Ninomiya, Y.; Zhongbing, D.; Mingxu, Z. Application of the FactSage to predict the ash melting behavior in reducing conditions. Chin. J. Chem. Eng. 2006, 14, 784–789. [Google Scholar] [CrossRef]
- Reinmoller, M.; Klinger, M.; Schreiner, M.; Gutte, H. Relationship between ash fusion temperatures of ashes from hard coal, brown coal, and biomass and mineral phases under different atmospheres: A combined FactSage (TM) computational and network theoretical approach. Fuel 2015, 151, 118–123. [Google Scholar] [CrossRef]
- Song, W.; Dong, Y.; Wu, Y.; Zhu, Z. Prediction of temperature of critical viscosity for coal ash slag. AIChE J. 2011, 57, 2921–2925. [Google Scholar] [CrossRef]
- Kong, L.; Bai, J.; Bai, Z.; Guo, Z.; Li, W. Effects of CaCO3 on slag flow properties at high temperatures. Fuel 2013, 109, 76–85. [Google Scholar] [CrossRef]
- Wu, G.; Seebold, S.; Yazhenskikh, E.; Hack, K.; Müller, M. Viscosity model for oxide melts relevant to fuel slags. Part 3: The iron oxide containing low order systems in the system SiO2 –Al2O3 –CaO–MgO–Na2O–K2O–FeO–Fe2O3. Fuel Process. Technol. 2018, 171, 339–349. [Google Scholar] [CrossRef]
- Wu, G.; Seebold, S.; Yazhenskikh, E.; Tanner, J.; Hack, K.; Müller, M. Slag mobility in entrained flow gasifiers optimized using a new reliable viscosity model of iron oxide-containing multicomponent melts. Appl. Energy 2019, 236, 837–849. [Google Scholar] [CrossRef]
- Giordano, D.; Russell, J.K.; Dingwell, D.B. Viscosity of magmatic liquids: A model. Earth Planet Sci. Lett. 2008, 271, 123–134. [Google Scholar] [CrossRef]
- Kalmanovitch, D.P.; Frank, M. An effective model of viscosity for ash deposition phenomena. In Proceedings of the Engineering Foundation Conference on Mineral Matter and Ash Deposition from Coal, Santa Barbara, CA, USA, 22–26 February 1988; pp. 89–101. Available online: https://cir.nii.ac.jp/crid/1570854175722646272 (accessed on 18 February 2022).
- Urbain, G.; Bottinga, Y.; Richet, P. Viscosity of liquid silica, silicates and alumino-silicates. Geochim. Cosmochim. Acta 1982, 46, 1061–1072. [Google Scholar] [CrossRef]
- Browning, G.J.; Bryant, G.W.; Hurst, H.J.; Lucas, J.A.; Wall, T.F. An empirical method for the prediction of coal ash slag viscosity. Energy Fuels 2003, 17, 731–737. [Google Scholar] [CrossRef]
- Watt, J.; Fereday, F. The flow properties of slag formed from the ashes of British coals. J. Inst. Fuel 1969, 42, 99–103. [Google Scholar]
- Duchesne, M.A.; Macchi, A.; Lu, D.Y.; Hughes, R.W.; McCalden, D.; Anthony, E.J. Artificial neural network model to predict slag viscosity over a broad range of temperatures and slag compositions. Fuel Process. Technol. 2010, 91, 831–836. [Google Scholar] [CrossRef]
- Bale, C.W.; Bélisle, E.; Chartrand, P.; Decterov, S.A.; Eriksson, G.; Hack, K.; Jung, I.H.; Kang, Y.B.; Melançon, J.; Pelton, A.D.; et al. FactSage thermochemical software and databases—Recent developments. Calphad 2009, 33, 295–311. [Google Scholar] [CrossRef]
- Roscoe, R. The viscosity of suspensions of rigid spheres. Br. J. Appl. Phys. 1952, 3, 267–269. [Google Scholar] [CrossRef]
- Mooney, M. The viscosity of a concentrated suspension of spherical particles. J. Colloid Sci. 1951, 6, 162–170. [Google Scholar] [CrossRef]
- Ilyushechkin, A.; Kondratiev, A. Viscosity of slags with solids: The effect of solids morphology and concentration. J. Rheol. 2019, 63, 719–733. [Google Scholar] [CrossRef]
- van der Kooij, F.M.; Boek, E.S.; Philipse, A.P. Rheology of Dilute Suspensions of Hard Platelike Colloids. J. Colloid Interface Sci. 2001, 235, 344–349. [Google Scholar] [CrossRef] [PubMed]
- Powell, R.L. Rheology of suspensions of rodlike particles. J. Stat. Phys. 1991, 62, 1073–1094. [Google Scholar] [CrossRef]
- Mills, K.C.; Rhine, J.M. The measurement and estimation of the physical properties of slags formed during coal gasification. Fuel 1989, 68, 193–200. [Google Scholar] [CrossRef]
- Wiedenroth, A.; Rüssel, C. Thermodynamics of the redox equilibrium Fe2+/Fe3+ and the diffusivity of iron in 5Na2O·15MgO·xAl2O3·(80−x)SiO2 (x=0–20) melts. J. Non-Cryst. Solids 2002, 297, 173–181. [Google Scholar] [CrossRef]
- He, C.; Bai, J.; Kong, L.-X.; Guhl, S.; Schwitalla, D.H.; Xu, J.; Bai, Z.-Q.; Li, W. The precipitation of metallic iron from coal ash slag in the entrained flow coal gasifier: By thermodynamic calculation. Fuel Process. Technol. 2017, 162, 98–104. [Google Scholar] [CrossRef]
- Xuan, W.w.; Zhang, J.; Xia, D. Crystallization characteristics of a coal slag and influence of crystals on the sharp increase of viscosity. Fuel 2016, 176, 102–109. [Google Scholar] [CrossRef]
- Ceylantekin, R.; Başar, R. Solid solution limit of Fe2O3 in mullite crystals, produced from kaolin by solid state reactions. Ceram. Int. 2018, 44, 7599–7604. [Google Scholar] [CrossRef]
- Xuan, W.; Whitty, K.J.; Guan, Q.; Bi, D.; Zhan, Z.; Zhang, J. Influence of CaO on crystallization characteristics of synthetic coal slags. Energy Fuels 2014, 28, 6627–6634. [Google Scholar] [CrossRef]
- He, C.; Bai, J.; Ilyushechkin, A.; Zhao, H.; Kong, L.; Li, H.; Bai, Z.; Guo, Z.; Li, W. Effect of chemical composition on the fusion behaviour of synthetic high-iron coal ash. Fuel 2019, 253, 1465–1472. [Google Scholar] [CrossRef]
- Zhang, J.; Li, H.; Li, S. Mechanisms of separation and crystal growth of mullite grains during preparation of mullite-based ceramics from high alumina coal fly ash. Processes 2022, 10, 2416. [Google Scholar] [CrossRef]
Disclaimer/Publisher’s Note: The statements, opinions and data contained in all publications are solely those of the individual author(s) and contributor(s) and not of MDPI and/or the editor(s). MDPI and/or the editor(s) disclaim responsibility for any injury to people or property resulting from any ideas, methods, instructions or products referred to in the content. |
© 2023 by the authors. Licensee MDPI, Basel, Switzerland. This article is an open access article distributed under the terms and conditions of the Creative Commons Attribution (CC BY) license (https://creativecommons.org/licenses/by/4.0/).