Thermal Efficiency of Spherical Nanoparticles Al2O3-Cu Dispersion in Ethylene Glycol via the MHD Non-Newtonian Maxwell Fluid Model Past the Stretching Inclined Sheet with Suction Effects in a Porous Space
Abstract
:1. Introduction
2. Mathematical Modeling
3. Solutions Mythology
3.1. Similarity Variable Formulation
3.2. Quantities of Engineering
3.3. Solution Technique
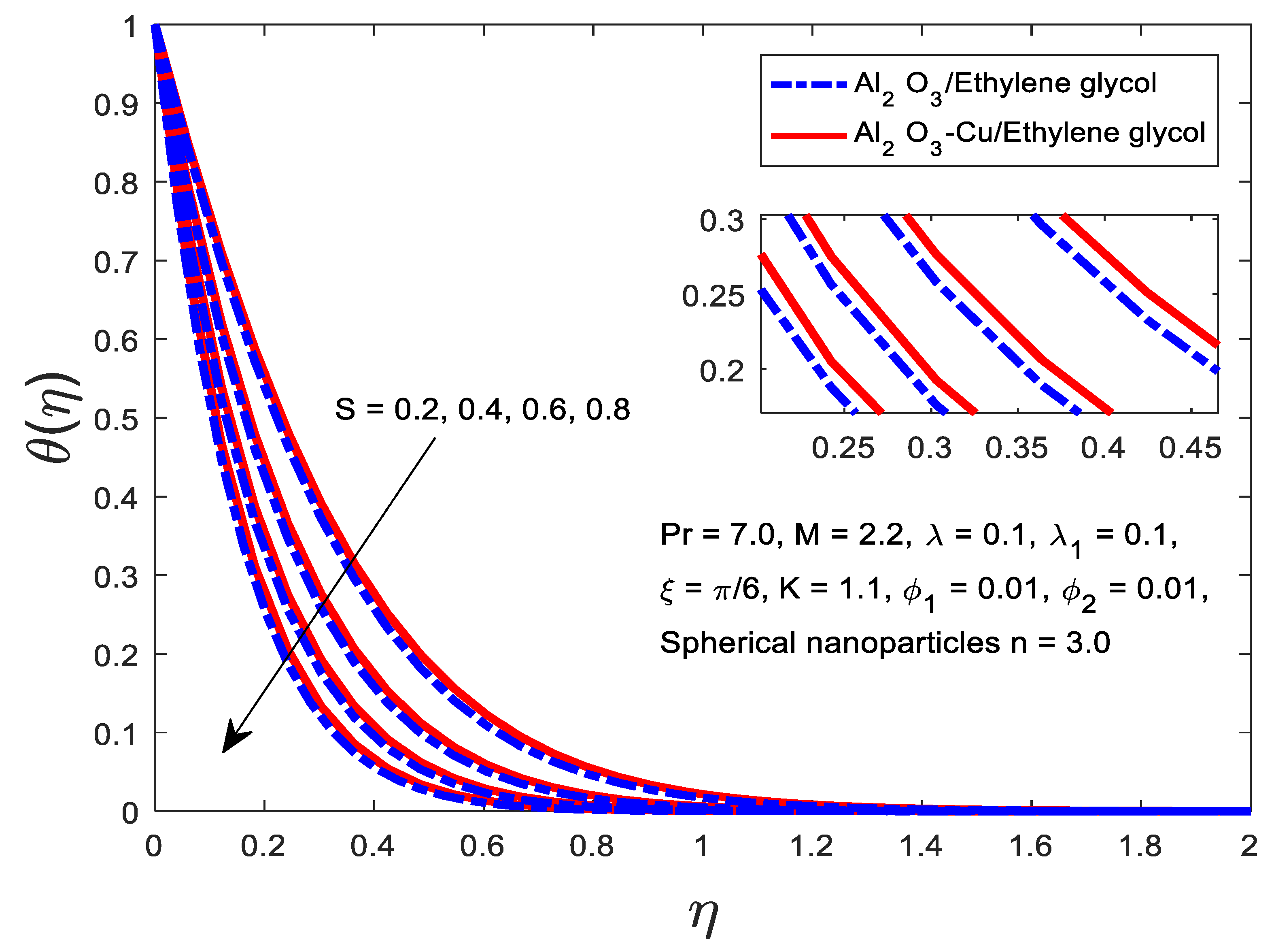
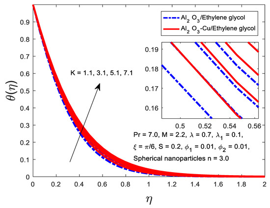
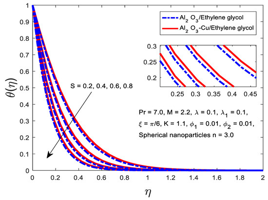
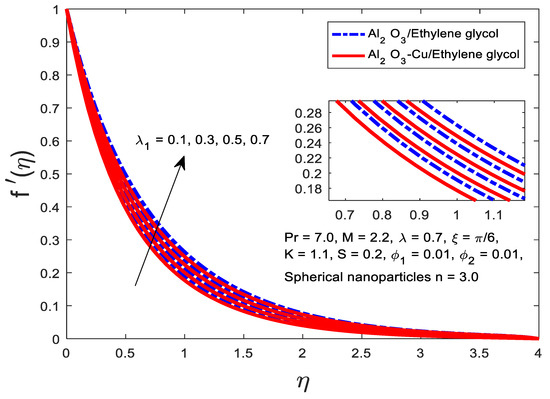
4. Results and Discussion
5. Conclusions
- The main outcomes of the results are that fluid velocity increases with increasing values for the angle of inclination number, Maxwell fluid parameter, and suction parameter;
- The fluid velocity decreases for rising values of the porous medium parameter and the magnetic field parameter;
- Due to a decrease in the density of the base fluid, the stretching rate constant and relaxation time increase, which aids in the fluid’s increase in speed;
- A Lorentz force is produced when a magnetic field is present. This force causes resistance, which reduces the fluid’s speed. This resistance raises the fluid flow domain’s temperature;
- According to the definition for the porosity parameter, an increase in the porosity parameter results from an increase in the kinematic viscosity and a decrease in the porous spaces, which impedes fluid flow and reduces speed. Additionally, when we compare nanofluid and hybrid nanofluid, the volume proportion of nanoparticles in nanofluid is lower than that in hybrid nanofluid, which results in stronger velocity curves for nanofluids;
- As the Prandtl number increases, the fluid’s thermal conductance decreases, causing the temperature distribution to be smaller and reducing heat transmission;
- All the graphs satisfy the given boundary conditions asymptotically;
- For validation of the current results, a comparison between the present solutions for the Nusselt number and the already published results is given. From the comparison, it was concluded that there is excellent agreement between the present and published solutions, which confirms the accuracy of the proposed model.
Author Contributions
Funding
Data Availability Statement
Acknowledgments
Conflicts of Interest
Nomenclature
| Dynamic viscosity of hybrid nanofluid: Unit | Maxwell fluid parameter | ||
| Dynamic viscosity of base fluid: Unit | Buoyancy parameter | ||
| Kinematic viscosity of hybrid nanofluid: Unit | Magnetic field parameter | ||
| Density of hybrid nanofluid: Unit | Porous medium parameter | ||
| Density of base fluid: Unit | Thermal diffusivity of hybrid nanofluid | ||
| Thermal conductivity of hybrid nanofluid: Unit | Thermal diffusivity of base fluid | ||
| Thermal conductivity of base fluid Unit | Suction parameter | ||
| Specific heat of hybrid nanofluid: Unit | Similarity variable | ||
| Specific heat of base fluid: Unit | Reynolds number | ||
| Electrical conductivity of hybrid nanofluid | Volume fraction of solid aluminum ( nanoparticles | ||
| Electrical conductivity electrical conductivity | Volume fraction of solid copper nanoparticles | ||
| Thermal expansion of hybrid nanofluid: Unit | Skin friction coefficient | ||
| Thermal expansion of base fluid: Unit | Nussle number | ||
| Temperature of the fluid: Unit | Stretching rate constant | ||
| Temperature of the surface of stretching sheet: Unit | Porosity constant | ||
| Temperature of free stream region: Unit | Prandtl number | ||
| Time relaxation constant | Magnetic field strength | ||
| Angle of inclination of the stretching sheet | Horizontal and normal coordinates: Unit (m) | ||
| Gravity force: Unit () | Ambient conditions | ||
| Velocity components in and directions (Unit: m/s) | Wall conditions |
References
- Choi, S.U.S.; Jeffrey, A. Eastman. Enhancing Thermal Conductivity of Fluids with Nanoparticles; No. ANL/MSD/CP-84938; CONF-951135-29; Argonne National Lab. (ANL): Argonne, IL, USA, 1995. [Google Scholar]
- Choi, S.U. Nanofluids: A new field of scientific research and innovative applications. Heat Transf. Eng. 2008, 29, 429–431. [Google Scholar] [CrossRef]
- Turcu, R.; Darabont, A.L.; Nan, A.; Aldea, N.; Macovei, D.; Bica, D.; Vekas, L.; Pana, O.; Soran, M.L.; Koos, A.A.; et al. New polypyrrole-multiwall carbon nanotubes hybrid materials. J. Optoelectron. Adv. Mater. 2006, 8, 643–647. [Google Scholar]
- Yaseen, M.; Rawat, S.K.; Shah, N.A.; Kumar, M.; Eldin, S.M. Ternary hybrid nanofluid flow containing gyrotactic microorganisms over three different geometries with Cattaneo–Christov model. Mathematics 2023, 11, 1237. [Google Scholar] [CrossRef]
- Kavya, S.; Nagendramma, V.; Ahammad, N.A.; Ahmad, S.; Raju, C.S.K.; Shah, N.A. Magnetic-hybrid nanoparticles with stretching/shrinking cylinder in a suspension of MoS4 and copper nanoparticles. Int. Commun. Heat Mass Transf. 2022, 136, 106150. [Google Scholar] [CrossRef]
- Ramesh, G.K.; Madhukesh, J.K.; Shah, N.A.; Yook, S.J. Flow of hybrid CNTs past a rotating sphere subjected to thermal radiation and thermophoretic particle deposition. Alex. Eng. J. 2023, 64, 969–979. [Google Scholar] [CrossRef]
- Wakif, A.; Shah, N.A. Hydrothermal and mass impacts of azimuthal and transverse components of Lorentz forces on reacting Von Kármán nanofluid flows considering zero mass flux and convective heating conditions. Waves Random Complex Media 2022, 1–22. [Google Scholar] [CrossRef]
- Ragupathi, P.; Ahammad, N.A.; Wakif, A.; Shah, N.A.; Jeon, Y. Exploration of multiple transfer phenomena within viscous fluid flows over a curved stretching sheet in the co-existence of gyrotactic micro-organisms and tiny particles. Mathematics 2022, 10, 4133. [Google Scholar] [CrossRef]
- Zhang, K.; Shah, N.A.; Alshehri, M.; Alkarni, S.; Wakif, A.; Eldin, S.M. Water thermal enhancement in a porous medium via a suspension of hybrid nanoparticles: MHD mixed convective Falkner’s-Skan flow case study. Case Stud. Therm. Eng. 2023, 47, 103062. [Google Scholar] [CrossRef]
- Abbas, A.; Khandelwal, R.; Ahmad, H.; Ilyas, A.; Ali, L.; Ghachem, K.; Hassen, W.; Kolsi, L. Magnetohydrodynamic Bioconvective Flow of Williamson Nanofluid over a Moving Inclined Plate Embedded in a Porous Medium. Mathematics 2023, 11, 1043. [Google Scholar] [CrossRef]
- Ali, L.; Ali, B.; Iqbal, T. Finite element analysis of the impact of particles aggregation on the thermal conductivity of nanofluid under chemical reaction. Waves Random Complex Media 2023, 1–21. [Google Scholar] [CrossRef]
- Ali, L.; Kumar, P.; Iqbal, Z.; Alhazmi, S.E.; Areekara, S.; Alqarni, M.M.; Mathew, A.; Apsari, R. The optimization of heat transfer in thermally convective micropolar-based nanofluid flow by the influence of nanoparticle’s diameter and nanolayer via stretching sheet: Sensitivity analysis approach. J. Non-Equilib. Thermodyn. 2023, 48, 313–330. [Google Scholar] [CrossRef]
- Ali, L.; Liu, X.; Ali, B.; Mujeed, S.; Abdal, S. Finite element simulation of multi-slip effects on unsteady MHD bioconvective micropolar nanofluid flow over a sheet with solutal and thermal convective boundary conditions. Coatings 2019, 9, 842. [Google Scholar] [CrossRef]
- Ali, L.; Ali, B.; Ghori, M.B. Melting effect on Cattaneo–Christov and thermal radiation features for aligned MHD nanofluid flow comprising microorganisms to leading edge: FEM approach. Comput. Math. Appl. 2022, 109, 260–269. [Google Scholar] [CrossRef]
- Kumar, P.; Poonia, H.; Ali, L.; Areekara, S. The numerical simulation of nanoparticle size and thermal radiation with the magnetic field effect based on tangent hyperbolic nanofluid flow. Case Stud. Therm. Eng. 2022, 37, 102247. [Google Scholar] [CrossRef]
- Lee, S.; Choi, S.U.-S.; Li, S.; Eastman, J.A. Measuring thermal conductivity of fluids containing oxide nanoparticles. J. Heat Transf. 1999, 121, 280–289. [Google Scholar] [CrossRef]
- Das, S.K.; Putra, N.; Thiesen, P.; Roetzel, W. Temperature dependence of thermal conductivity enhancement for nanofluids. J. Heat Transf. 2003, 125, 567–574. [Google Scholar] [CrossRef]
- Godson, L.; Raja, B.; Lal, D.M.; Wongwises, S.E.A. Enhancement of heat transfer using nanofluids—An overview. Renew. Sustain. Energy Rev. 2010, 14, 629–641. [Google Scholar] [CrossRef]
- Labib, M.N.; Nine, J.; Afrianto, H.; Chung, H.; Jeong, H. Numerical investigation on effect of base fluids and hybrid nanofluid in forced convective heat transfer. Int. J. Therm. Sci. 2013, 71, 163–171. [Google Scholar] [CrossRef]
- Sarkar, J.; Pradyumna, G.; Arjumand, A. A review on hybrid nanofluids: Recent research, development and applications. Renew. Sustain. Energy Rev. 2015, 43, 164–177. [Google Scholar] [CrossRef]
- Khan, U.; Ahmad, S.; Hayyat, A.; Khan, I.; Nisar, K.S.; Baleanu, D.J.A.S. On the Cattaneo–Christov heat flux model and OHAM analysis for three different types of nanofluids. Appl. Sci. 2020, 10, 886. [Google Scholar] [CrossRef]
- Lu, D.; Ramzan, M.; Mohammad, M.; Howari, F.; Chung, J.D. A thin film flow of nanofluid comprising carbon nanotubes influenced by Cattaneo-Christov heat flux and entropy generation. Coatings 2019, 9, 296. [Google Scholar] [CrossRef]
- Basit, M.A.; Imran, M.; Khan, S.A.; Alhushaybari, A.; Sadat, R.; Ali, M.R. Partial differential equations modeling of bio-convective sutterby nanofluid flow through paraboloid surface. Sci. Rep. 2023, 13, 6152. [Google Scholar] [CrossRef]
- Oreyeni, T.; Akindele, A.O.; Obalalu, A.M.; OlakunleSalawu, S.; Ramesh, K. Thermal performance of radiative magnetohydrodynamic Oldroyd-B hybrid nanofluid with Cattaneo–Christov heat flux model: Solar-powered ship application. Numer. Heat Transf. Part A Appl. 2023, 1–19. [Google Scholar] [CrossRef]
- Asghar, A.; Chandio, A.F.; Shah, Z.; Vrinceanu, N.; Deebani, W.; Shutaywi, M.; Lund, L.A. Magnetized mixed convection hybrid nanofluid with effect of heat generation/absorption and velocity slip condition. Heliyon 2023, 9, e13189. [Google Scholar] [CrossRef] [PubMed]
- Koriko, O.K.; Shah, N.A.; Saleem, S.; Chung, J.D.; Omowaye, A.J.; Oreyeni, T. Exploration of bioconvection flow of MHD thixotropic nanofluid past a vertical surface coexisting with both nanoparticles and gyrotactic microorganisms. Sci. Rep. 2021, 11, 16627. [Google Scholar] [CrossRef] [PubMed]
- Waini, I.; Ishak, A.; Pop, I. Hybrid nanofluid flow past a permeable moving thin needle. Mathematics 2020, 8, 612. [Google Scholar] [CrossRef]
- Qureshi, M.A. Thermal capability and entropy optimization for Prandtl-Eyring hybrid nanofluid flow in solar aircraft implementation: Thermal capability for Prandtl-Eyring hybrid nanofluid flow in solar aircraft. Alex. Eng. J. 2021. [Google Scholar] [CrossRef]
- Obalalu, A.; Salawu, S.; Memon, M.A.; Olayemi, O.; Ali, M.R.; Sadat, R.; Odetunde, C.; Ajala, O.; Akindele, A. Computational study of Cattaneo–Christov heat flux on cylindrical surfaces using CNT hybrid nanofluids: A solar-powered ship implementation. Case Stud. Therm. Eng. 2023, 45, 102959. [Google Scholar] [CrossRef]
- Hayat, T.; Abbas, Z.; Pop, I. Mixed convection in the stagnation point flow adjacent to a vertical surface in a viscoelastic fluid. Int. J. Heat Mass Transf. 2008, 51, 3200–3206. [Google Scholar] [CrossRef]
- Balci, N.; Thomases, B.; Renardy, M.; Doering, C.R. Symmetric factorization of the conformation tensor in viscoelastic fluid models. J. Non-Newton. Fluid Mech. 2011, 166, 546–553. [Google Scholar] [CrossRef]
- Hayat, T.; Alsaedi, A. On thermal radiation and Joule heating effects in MHD flow of an Oldroyd-B fluid with thermophoresis. Arab. J. Sci. Eng. 2011, 36, 1113–1124. [Google Scholar] [CrossRef]
- Hayat, T.; Khan, M.I.; Farooq, M.; Alsaedi, A.; Yasmeen, T. Impact of Marangoni convection in the flow of carbon–water nanofluid with thermal radiation. Int. J. Heat Mass Transf. 2017, 106, 810–815. [Google Scholar] [CrossRef]
- Ishak, A.; Lok, Y.Y.; Pop, I. Stagnation-point flow over a shrinking sheet in a micropolar fluid. Chem. Eng. Commun. 2010, 197, 1417–1427. [Google Scholar] [CrossRef]
- Khan, W.A.; Pop, I. Boundary-layer flow of a nanofluid past a stretching sheet. Int. J. Heat Mass Transf. 2010, 53, 2477–2483. [Google Scholar] [CrossRef]
- Devi, S.A.; Devi, S.S.U. Numerical investigation of hydromagnetic hybrid Cu–Al2O3/water nanofluid flow over a permeable stretching sheet with suction. Int. J. Nonlinear Sci. Numer. Simul. 2016, 17, 249–257. [Google Scholar] [CrossRef]
- Rauf, A.; Hussain, F.; Mushtaq, A.; Shah, N.A.; Ali, M.R. MHD mixed convection flow for Maxwell Hybrid nanofluid with Soret, Dufour and Morphology effects. Arab. J. Chem. 2023, 16, 104965. [Google Scholar] [CrossRef]
- Ashraf, M.; Khan, A.; Abbas, A.; Hussanan, A.; Ghachem, K.; Maatki, C.; Kolsi, L. Finite Difference Method to Evaluate the Characteristics of Optically Dense Gray Nanofluid Heat Transfer around the Surface of a Sphere and in the Plume Region. Mathematics 2023, 11, 908. [Google Scholar] [CrossRef]
- Abbas, A.; Wakif, A.; Shafique, M.; Ahmad, H.; Ain, Q.U.; Muhammad, T. Thermal and mass aspects of Maxwell fluid flows over a moving inclined surface via generalized Fourier’s and Fick’s laws. Waves Random Complex Media 2023, 1–27. [Google Scholar] [CrossRef]
- Abbas, A.; Noreen, A.; Ali, M.A.; Ashraf, M.; Alzahrani, E.; Marzouki, R.; Goodarzi, M. Solar radiation over a roof in the presence of temperature-dependent thermal conductivity of a Casson flow for energy saving in buildings. Sustain. Energy Technol. Assess. 2022, 53, 102606. [Google Scholar] [CrossRef]
- Abbas, A.; Ashraf, M.; Chamkha, A.J. Combined effects of thermal radiation and thermophoretic motion on mixed convection boundary layer flow. Alex. Eng. J. 2021, 60, 3243–3252. [Google Scholar] [CrossRef]
- Abbas, A.; Ashraf, M.; Sarris, I.E.; Ghachem, K.; Labidi, T.; Kolsi, L.; Ahmad, H. Numerical Simulation of the Effects of Reduced Gravity, Radiation and Magnetic Field on Heat Transfer Past a Solid Sphere Using Finite Difference Method. Symmetry 2023, 15, 772. [Google Scholar] [CrossRef]









| Properties | |||||
|---|---|---|---|---|---|
| Base fluid ethylene glycol (EG) | 1114.0 | 2415.5 | 0.2520 | 5.5 × | 6.50 |
| 3970.0 | 765.0 | 40.0 | 59.6 × | 0.850 | |
| 8933 | 385.0 | 400.0 | 35.83 × | 1.670 |
| Khan and Pop [35] | Present | |
|---|---|---|
| 2.0 | 0.9113 | 0.9112 |
| 7.0 | 1.8954 | 1.8951 |
| 20.0 | 3.3539 | 3.3537 |
| 1.1 | −1.452835511815828 | 2.688782204329869 |
| 2.1 | −1.729712232531427 | 2.641554863951038 |
| 3.1 | −1.972973099856444 | 2.600713480407114 |
| 4.1 | −2.192166289606980 | 2.564607845547635 |
| 1.0 | 2.084797010856962 | 3.004090465530723 |
| 5.0 | 2.084797003357515 | 4.208464222080616 |
| 7.0 | 2.084797003558477 | 4.540285722763926 |
| 10.0 | 2.084797036865179 | 4.937408055356648 |
Disclaimer/Publisher’s Note: The statements, opinions and data contained in all publications are solely those of the individual author(s) and contributor(s) and not of MDPI and/or the editor(s). MDPI and/or the editor(s) disclaim responsibility for any injury to people or property resulting from any ideas, methods, instructions or products referred to in the content. |
© 2023 by the authors. Licensee MDPI, Basel, Switzerland. This article is an open access article distributed under the terms and conditions of the Creative Commons Attribution (CC BY) license (https://creativecommons.org/licenses/by/4.0/).
Share and Cite
Jeelani, M.B.; Abbas, A. Thermal Efficiency of Spherical Nanoparticles Al2O3-Cu Dispersion in Ethylene Glycol via the MHD Non-Newtonian Maxwell Fluid Model Past the Stretching Inclined Sheet with Suction Effects in a Porous Space. Processes 2023, 11, 2842. https://doi.org/10.3390/pr11102842
Jeelani MB, Abbas A. Thermal Efficiency of Spherical Nanoparticles Al2O3-Cu Dispersion in Ethylene Glycol via the MHD Non-Newtonian Maxwell Fluid Model Past the Stretching Inclined Sheet with Suction Effects in a Porous Space. Processes. 2023; 11(10):2842. https://doi.org/10.3390/pr11102842
Chicago/Turabian StyleJeelani, Mdi Begum, and Amir Abbas. 2023. "Thermal Efficiency of Spherical Nanoparticles Al2O3-Cu Dispersion in Ethylene Glycol via the MHD Non-Newtonian Maxwell Fluid Model Past the Stretching Inclined Sheet with Suction Effects in a Porous Space" Processes 11, no. 10: 2842. https://doi.org/10.3390/pr11102842
APA StyleJeelani, M. B., & Abbas, A. (2023). Thermal Efficiency of Spherical Nanoparticles Al2O3-Cu Dispersion in Ethylene Glycol via the MHD Non-Newtonian Maxwell Fluid Model Past the Stretching Inclined Sheet with Suction Effects in a Porous Space. Processes, 11(10), 2842. https://doi.org/10.3390/pr11102842

