Abstract
To improve the operating performance of the large-capacity battery pack of electric vehicles during continuous charging and discharging and to avoid its thermal runaway, in this paper we propose a new hybrid thermal management system that couples the PCM with the liquid cooling plate with microchannels. The flow direction of the microchannel structure in the bottom plate is designed according to the characteristics of the large axial thermal conductivity of the battery, and the cooling performance of the whole system under continuous charge/discharge cycles is numerically simulated. The results show that the hybrid PCM/liquid cooling plate can maintain good cooling performance under the discharge process of a large-capacity battery pack. After each cycle the temperature of the battery pack can be reduced to less than 30°, and the maximum temperature change rate of multiple cycles is controlled within 0.8%. With the application of the hybrid PCM/liquid-cooled plate battery cooling system, a safe temperature range of the battery pack is ensured even under multiple cycles of charging and discharging. The present work can facilitate future optimizations of the thermal management system of the large-capacity battery pack of electric vehicles.
1. Introduction
With the increasing attention paid to environmental issues, electric vehicles are gradually replacing fossil fuel vehicles because of their renewable energy and cleanliness [1]. Compared with other power batteries, the Li-ion battery is usually considered the best power source for electric vehicles [2] because of its properties such as high energy density, no memory and low self-discharge rate [3]. Temperature is a key factor affecting the capacity, charge and discharge performance and safety of Li-ion battery cells [4]. When the battery pack is in a high-temperature environment for a long time, it will cause the decomposition and exotherm of the solid electrolyte interfacial film, and even lead to thermal runaway [5,6]. With an ambient temperature of −23.15 °C, the operating performance and energy of the battery will drop sharply [7]. In addition, the uneven temperature distribution inside the battery may lead to partial overcharge or over-discharge, as well as the inconsistency of the side reaction speed, thus leading to the inconsistency of the internal decay speed of the battery. Therefore, it is crucial to control the temperature of the battery module in the optimum temperature interval of 20–60 °C and the maximum temperature inhomogeneity of the battery module within 5 °C through the battery cooling system [8]. The existing conventional battery thermal management methods are air cooling systems [9], liquid active cooling systems [10] and phase-change-material (PCM)-based cooling systems. When dealing with large-capacity battery packs, there are limitations if using only one of the above-mentioned cooling systems, and a hybrid BTM system coupling different cooling methods can have better cooling performance [11].
Phase change materials can absorb a large amount of heat during the phase change process by taking advantage of their high latent heat, so they have good prospects for ap-plication in the thermal management of new energy vehicles, especially in preventing thermal runaway [12,13]. Kizilel et al. [14] investigated the thermal performance of a passive thermal management system using phase change materials under pressure or abuse conditions and compared it with air cooling. They found that under air cooling conditions, the temperature difference between cells was as high as 3 °C, and the higher the delivery rate, the greater the inhomogeneity. On the other hand, the temperature homogeneity in PCM-cooled modules and cells was very good, with less than 0.2 °C temperature variation between cells. Kai [15] used a numerical method to compare the cooling performance of pure heat pipes with a combination of phase change materials and heat pipes, and found that PCM was effective in reducing the temperature difference within the cell pack. He also found that increasing the ambient convective heat transfer coefficient, PCM latent heat, PCM thickness or decreasing the ambient temperature can reduce the maximum temperature inside the cell while increasing the temperature difference.
However, since the low thermal conductivity of pure PCM hinders the overall heat dissipation of the battery pack, many scholars have investigated various methods to in-crease the thermal conductivity of PCM. Since materials such as metallic materials and graphite have high thermal conductivity, they have been incorporated into PCM to increase the overall thermal conductivity in related studies. Temel [16] added graphene nanosheets (GNP) to PCM to enhance heat transfer. It was found that for the hybrid material with 7% GNP, the solid-phase and liquid-phase thermal conductivity increased by 230% and 130%, respectively. Moreover, at a 3.9 W discharge rate and 30 °C ambient temperature, the effective thermal protection time of this material was 1.96 times and 7.90 times longer than that of pure PCM and the natural convection case, respectively. Babapoor et al. [17] added carbon fibers to PCM to improve its heat transfer potential, and they investigated the effect of the carbon fiber size and weight percentage within PCM on thermal performance. The results showed that the thermal performance was the best when PCM was mixed with 2 mm carbon fiber, and the mass percentage was 0.46%, with the maximum temperature rise of the battery simulator being reduced by 45%. Sun et al. [18] proposed a structure with additional fins in PCM and verified it by experiments and simulations. The fin structure was found to increase the heat exchange area and create a new multi-path heat transfer network. The PCM system with fins can increase the operating time by 54–90% compared to the PCM system. PCM-based BTM systems all show good cooling performance and a more uniform temperature distribution [19,20].
On the other hand, liquid cooling has a higher thermal conductivity and can bring higher cooling efficiency to large battery packs [21]. Chen et al. [22] studied a number of battery cooling methods: air cooling, direct liquid cooling, indirect liquid cooling, etc. The results showed that the air cooling system required 2–3 times more energy than the other methods to maintain the same average temperature. Moreover, indirect liquid cooling system had the lowest maximum temperature rise and was more efficient than direct cooling. Wang [23] designed a side liquid cooling system for cylindrical lithium batteries through numerical simulation and experiments. When the flow rate was small, increasing the flow rate of cooling water significantly reduced the maximum temperature in the battery module and improved the temperature uniformity. When the flow rate increased to a certain value, the cooling effect was no longer obvious, but the power consumption increased rapidly. The optimized cooling layout allowed the maximum temperature of the battery pack to be controlled at 35.74 °C. Monika et al. [24] designed a liquid thermal management system with a miniature-channel cold plate for prismatic LiFePO4 cells. A series of optimizations were made to keep the cell module temperature in the interval of 25 °C to 40 °C and maintain a uniform heat distribution. Wiriyasart et al. [25] used nanofluids as coolants to give numerical calculation results of nanofluids flowing through corrugated microchannels of an electric vehicle battery cooling module. He found that the motion of the nanoparticles suspended in the base fluid had a significant effect on the cooling ability of the coolant, which resulted in a lower maximum temperature of the battery at higher nanofluid concentrations. In addition, the heat dissipation capacity of the upstream was first enhanced, followed by the heat dissipation capacity of the downstream being weakened. Rui et al. [26] studied the temperature distribution of lithium batteries in the process of discharging power from different cooling modules. They found that the effect of the Reynolds number on liquid cooling was significant, but negligible in air cooling. Additionally, with a normal ambient temperature, liquid cooling leads to the strongest cooling effect of the lowest temperature whereas PCM cooling yields the most homogeneous temperature distribution and an acceptable cooling effect.
In summary, the liquid cooling method can achieve a higher cooling efficiency, while the PCM cooling method can produce a uniform temperature distribution. As PCM can be easily formed into a variety of shapes, it can be integrated into a mold with a variety of geometric shapes, making liquid cooling easier for cylindrical batteries. The combination of passive cooling and active cooling makes the battery cooling module work more flexibly and reduces the probability of thermal runaway. However, to the best of the authors’ knowledge, there are few studies on the battery cooling system under continuous charging and discharging condition of large-capacity cylindrical battery pack. It is necessary to discuss the relationship between the mass fraction of the liquid cooling module and the liquid fraction of the PCM cooling module under this condition, so that the hybrid cooling system can not only make full use of the latent heat of the phase transition in the discharge process, but also quickly recover the latent heat of the phase transition by using the liquid cooling in the charging process.
Therefore, in this study, the PCM is coupled with the liquid-cooled plate with a microchannel, and the hybrid cooling module of the PCM/liquid-cooled plate is pro-posed. In addition, the channel in the liquid cooling plate is connected to the bottom plate to further cool the bottom plate and improve the efficiency of the overall cooling system by taking advantage of the factor of high axial thermal conductivity of the lithium battery. The composite PCM cultured in a graphite matrix has good thermal conductivity. The liquid cooling recovers the latent heat in the PCM by conducting heat, and reduces the liquid fraction of the PCM when the battery pack is charged, thus ensuring the sustainability of the overall cooling system. In the present work, a 3D thermal simulation of the coupled PCM/liquid cold plate thermal management system is conducted, and the effects of different influencing factors, such as battery spacing, battery and cold plate spacing, flow direction, and mass flow rates, are discussed in detail. The thermal characteristics of the PCM/liquid-cooled plate cooling system are compared with the passive PCM cooling system, and its ability to prevent thermal runaway is studied by three consecutive uninterrupted charging and discharging cycles.
2. Simulation Model
2.1. Battery Details
The battery pack of an electric vehicle contains multiple modules, and each module is composed of multiple batteries connected in series (S) and parallel (P). Most of the cylindrical batteries are arranged in a rectangular or diagonally order. A total of 96 lithium-ion batteries of 21,700, with a 6 P × 16 S battery structure are used in this project. The rated capacity (1C) of each battery is 3.2 Ah, and the rated discharge voltage is 3.56 V. It is assumed that the heat generation, density and heat capacity of the battery are homogeneous. The axial and radial thermal conductivity of the cylindrical lithium battery differs due to the different material composition in different directions. The basic geometrical and physical parameters of the battery are shown in Table 1.
Table 1.
The basic parameters of the battery used in the study.
2.2. Thermal Behavior of the Battery
There is reversible heat and irreversible heat of lithium-ion batteries. Irreversible heat includes active polarization heat and Joule heat. Reversible heat refers to the electrochemical reaction heat from the reversible heat source, and it is also called the heat of reaction. The heat of reaction is expressed as [27,28]:
The energy required to overcome the potential barrier during lithium intercalation and deintercalation is called the heat of polarization and is expressed as
Joule heat is generated because of the resistance to electron conduction in the solid phase and is expressed as:
So, the heat emitted by the battery material can be expressed as:
This equation considers only the case where the cell generates homogeneous heat and has no phase change or mixed exothermic term, no concentration gradient in the electrolyte, and no open-circuit potential change. The average heat generation rate of the battery at different discharge rates is shown in Figure 1, and they are measured using the heat flux sensor (HFM) method according to the experimental data of Lei et al. [29].
Figure 1.
The average heating rate of 21700 batteries at different discharge rates. (Data from Lei et al. [29]).
2.3. Model Analysis
The schematic diagram of the whole system is shown in Figure 2. Sixteen lithium batteries are first connected in series, and then six groups of batteries are wired in parallel to form a battery pack. The graphite matrix has the advantages of a high porosity, high thermal conductivity and no chemical reaction, which can enhance the thermal conductivity of phase change materials, improve the phase change heat transfer process and prevent leakage problems. Through the capillary force between liquid PCM and graphite, the PCM is impregnated and encapsulated into the graphite matrix to prepare the composite PCM with high thermal conductivity [14], which is then filled between the battery pack and the cold plate. The battery pack is wrapped with an aluminum base plate and side plates, and a cooling plate is inserted between adjacent cells. The cooling plate is connected to the bottom plate with a miniature liquid channel. The inlet of the liquid channel is located at the upper region of the cooling plate, while the outlet of the liquid channel is located at the side of the bottom plate. The liquid microchannel is in a circular shape, with an inlet diameter of 3 mm and an outlet diameter of 5 mm. The working fluid is a 1:1 mixture of water and ethylene glycol, which shows good performance in low-temperature environments [30]. The thermophysical properties of the PCM and coolant are shown in Table 2. The heat from the cell is transferred through the contact surface to the hybrid PCM composite material, and then conducted by the PCM to the cold plate, where it is carried away by the flowing mass in the cold plate. It is noticed that the cylindrical battery has different axial and radial thermal conductivity because of the different materials in different directions, and the thermal conductivity at the bottom of the battery is higher. Since the bottom plate also has microchannels, which can be sufficiently cooled, the overall cooling efficiency of the battery pack is improved.
Figure 2.
Schematic diagrams of the battery module heat dissipation configuration: (a) the overall system; (b) the internal flow channel of the cooling plate; (c) the cross-section view of the top of the battery.
Table 2.
Thermophysical parameters of coolant and PCM.
2.4. Control Equation
The heat generated by the battery charging and discharging is first absorbed by the PCM as heat storage, which is taken away by the coolant in the cold plate. For the coolant in the cooling plate, the energy conservation equation is:
The momentum conservation equation of the coolant is as follows:
The continuity equation of the coolant in the cooling plate is as follows:
Among them, and are the density and specific heat of the cooling liquid, respectively. is the temperature of the cooling liquid, is the static pressure, is the thermal conductivity, and represents the velocity vector of the coolant in the cooling plate.
The heat transfer within the PCM is controlled by the following equation:
where is the enthalpy at the reference temperature, is the latent heat, and represent the sensible and latent heats already stored in the PCM, is the enthalpy, and the liquid fraction is defined as follows:
where = 0 and 1 denote the solid and liquid phases, and between 0 and 1 denotes the pasty region. and represent the upper and lower limits of the PCM melting temperature, respectively.
In this work, the commercial CFD software ANSYS FLUENT is used for numerical simulation. The cooling channel inlet is set as the mass flow inlet, and the pressure outlet boundary condition of 0 pa relative to the atmospheric pressure is set at the outlet. The inner surface of the microchannel is a no-slip wall. Due to the small characteristic length of the channel and the low velocity, the maximum Reynolds number in this study is less than 2300, the coolant is assumed to be incompressible, and the flow is laminar. The movement and volume change of solid PCM are ignored in the phase change process. The contact thermal resistance is ignored. The main discussion is based on the fact that the battery is discharged at a rate of 2C, and the discharge time is 1800 s. The time step used is 1 s and the number of time steps is 1800. The computation is considered to reach convergence when the normalized residuals of the mass/momentum equations are less than 10−5, and the normalized residuals of the energy equation are less than 10−8.
2.5. Mesh Independent Verification
To ensure the reliability of the final results, a grid independence study is conducted. The maximum temperature differences of the battery pack predicted by different grids with different grid numbers are compared in Figure 3. When the number of grids increases from 4,502,617 to 6,916,726, the difference is only 0.05%. Therefore, the grid number of 4,502,617 is selected for the following numerical study to obtain accurate results.
Figure 3.
Mesh number independence test.
2.6. Scheme Validation
Experimental studies [18] of phase change materials wrapped around an individual battery are used to validate the results of the current numerical modeling. The geometry model is a 26 mm diameter, 65 mm height battery, surrounded by a 43 mm inner diameter PCM. The PCM is made of paraffin wax and encapsulated with a 75 mm height, 2 mm thickness nylon material. The same boundary conditions and grid are used to test the temperature profile of the battery as it ramps up from the ambient temperature (20 °C) to the safe limit temperature (60 °C) with 16 W of power and then cools down to 40 °C.
In this work, an enthalpy–porosity approach is used for the simulation of the melting process of phase change materials. The liquid fraction increases from 0 to 1 as the melting process progresses; 0 represents the solid state and 1 represents the liquid state of the phase change material. The following assumptions are made to simplify the model: (a) Boussinesq approximation for the PCM buoyancy effect. (b) The radiation is neglected. (c) The melting behavior in the PCM is laminar and incompressible. The temperature curve predicted by the current simulation and those from reference [18] are shown in Figure 4. Obviously, the current simulation curve matches well with the verified simulation, and it shows a similar trend to the experimental results, with a maximum error of 5.06%. The reliability of the numerical model is verified.
Figure 4.
Validation of numerical scheme. (Data from Sun et al. [18]).
3. Results and Discussion
3.1. Impact of Battery Spacing
Wider cell spacing at the same flow rate increases the volume of the PCM to achieve greater heat storage, resulting in more efficient cooling of the battery pack as a whole, and improves the performance of the battery pack against thermal runaway. However, the increased volume of PCM needs more pumping power for the liquid active cooling to take away the heat storage of the PCM, which poses a greater challenge to the cooling capacity of the liquid cooling system, and a lower degree of PCM usage is also uneconomical from economic considerations. In this section, eight cell pitches (22–29 mm) are chosen to investigate the thermal effects of different pitches on the packs at 20 °C ambient temperature. Figure 5a shows the maximum temperature difference of the battery pack, the maximum temperature and the minimum temperature at the end of the discharge of the battery pack with different cell spacings at the discharge rate of 2C. As the battery spacing increases from 22 mm to 23 mm, the cooling effect significantly improves, and the maximum battery temperature and temperature difference decreases from 48.22 °C and 3.05 °C to 47.33 °C and 2.88 °C, respectively. This indicates that the battery spacing of 22 mm is relatively short, which may cause heat accumulation. When the spacing increases further, the maximum battery temperature and temperature difference continue to decrease, but at a lower rate. When the battery spacing increases to 29 mm, the maximum battery temperature and temperature difference are only 45.92 °C and 2.79 °C, respectively. The lower temperature difference indicates that the PCM cooling method can produce a uniform temperature distribution. However, the larger the distance between the battery, the lower the energy density and the more complex the structure, which is not suitable from the practical and installation points of view.
Figure 5.
(a) Tmax, Tmin, and ∆T at 1800 s for different cell spacings. (b) PCM liquid fraction at 1800 s for different cell spacings.
The liquid fraction of PCM is an important indicator of PCM performance throughout the whole thermal process. Figure 5b shows the liquid fraction of the cells with multiple battery pitches at the end of the 2C discharge. As the cell spacing increases, the volume of PCM increases and the heat storage capacity increases, leading to a decrease in the liquid fraction at the end of the exotherm, and at 1800 s, the PCM liquid fraction changes from 100% for a cell spacing of 22 mm to 44.16% for a cell spacing of 29 mm. Although a larger cell spacing can increase the thermal storage capacity, the increased PCM volume reduces the overall PCM utilization and overall pack energy density. Additionally, a larger PCM capacity needs more pumping power for the liquid active cooling, making the liquid cooling system take more time to recover the heat storage. All things considered, the 23 mm cell spacing is more appropriate.
3.2. Impact of Battery to Cold Plate Spacing
The distance (d) from the battery to the cooling plate is another key geometric element. The closer the battery is to the tube in the cooling plate, the greater the influence of the cooling tube on the cell temperature and the better the cooling effect. This also determines the length of the entire battery pack and the volume of the PCM. Therefore, choosing a suitable distance from the battery to the cooling plate is necessary for practical applications and economy. In this section, the distance between the battery and the center of the cooling plate is set to 3, 3.5, 4, 4.5, and 5 mm, and the inlet mass flow rate is fixed as 1 × 10−4 kg/s. The distance between batteries is 23 mm. Figure 6 illustrates the battery pack temperature contour for different cell-to-cooling-plate distances at the end of the 2C discharge (1800 s). Obviously, from d = 3 mm to d = 5 mm, the temperature distribution of the battery pack and PCM is significantly improved. Figure 7a shows the maximum temperature difference, the maximum temperature and the minimum temperature after the 2C discharge of battery packs with different cell-to-cold plate distances. When the distance changes from d = 3 mm to d = 3.5 mm, the maximum temperature of the battery pack drops from 49.97 °C to 48.22 °C. The cooling effect of the battery pack is significantly improved. When the distance changes from d = 3.5 mm to d = 5 mm, the improvement of battery thermal performance gradually reduces. It can be noticed that the maximum temperature difference of the battery pack increases as the distance from the battery to the cold plate increases. As the thickness of the PCM between the battery and the cold plate increases, the leading role of water in the process decreases. The speed at which the cooling plate takes away heat decreases, and the temperature difference rises slightly. Overall, the shorter the distance between the battery and the cooling plate, the better the cooling capability of liquid cooling.
Figure 6.
The temperature contour of the battery pack with different distances from the battery to the cold plate at 1800 s.
Figure 7.
(a) Tmax, Tmin, and ΔT at different distances from battery to cold plate at 1800 s. (b) PCM liquid fraction at different distances from the battery to the cold plate at 1800 s.
Figure 7b depicts the liquid fraction of PCM within the battery at the end of discharge for different distances from battery to cold plate. Obviously, the closer the cell is to the cooling plate, the higher the liquid fraction of PCM at the end of the discharge. At 1800 s, the PCM liquid fraction changes from 100% at the distance d = 3 mm to 72.9% at d = 5 mm. For every 1 mm increase in the distance, the volume increase of the PCM in the battery pack is large. In addition, the distance from the battery to the liquid cooling system increases, which makes the liquid cooling system recover and store heat slower at the same flow rate. Overall, as the distance increases, the PCM volume increases while reducing the liquid cooling effect. These results mean that the distance from the battery to the plate of 3.5 mm should be selected.
3.3. Impact of Cold Plate Flow Layout
The ideal locations of the inlet and outlet portions of the microchannels are determined through the selection of four arrangements of the cold plate (Figure 8). Under the battery spacing of 23 mm and the distance between the battery and the cold plate of 3.5 mm, the maximum temperature evolution of the battery pack under the four cold plate flow channel arrangements at a constant discharge rate of 2C is shown in Figure 9. Design 2 shows the best performance, with the maximum temperature reduced by 1.11 °C, 0.8 °C and 0.7 °C compared to designs 1, 3 and 4, respectively (Table 3). Judging from the slope of the curve, design 2 is the last to start the phase transition in all the arrangements. If the phase change material prematurely and completely melts out, then the large heat storage capacity will disappear, which is not good for thermal diffusion. Among all the arrangements, the maximum temperature difference between design 3 and design 4 is the worst, close to the critical temperature difference of 5 °C. This may be due to: (a) a longer flow path; (b) a poor flow distribution along the center channel of the cold plate. Therefore, only design 1 and design 2 remain as choices. It can be noticed that the pressure drop of design 1 (ΔP = 51.77 Pa) is the highest among the four layouts, which is about five times the pressure drop of design 2 (ΔP = 10.33 Pa). So, design 2 is selected for further research.
Figure 8.
Schematic diagram of different cold plate flow layouts.
Figure 9.
The evolution of battery pack Tmax under different cold plate layouts in a cycle.
Table 3.
Performance of different cold plate flow arrangements in battery modules.
3.4. Impact of Mass Flow Rate
In an active battery cooling system with PCM, the mass flow rate of the coolant is an essential element. In this project, following the previous design, ten types of inlet mass flow rates from 1 × 10−3 kg/s to 1 × 10−4 kg/s are selected to study the effect of the mass flow rate on the thermal performance of the whole battery, with the maximum temperature difference, maximum temperature and minimum temperature shown in Figure 10a. It shows that as the mass flow rate increases from 1 × 10−4 kg/s to 1 × 10−3 kg/s, the maximum and minimum cell temperatures decrease by 1.56 °C and 3.54 °C, respectively. The thermal performance of the battery pack does not improve significantly as the coolant flow rate is further increased, and the downward trend of the maximum temperature decreases as the entrance quality traffic increases. This also indicates that the influence of liquid cooling on the thermal performance of the battery pack is limited. As the coolant flow rate increases, the heat transfer rate between the coolant and the battery increases significantly, which improves the cooling performance and makes the minimum temperature of the battery surface near the edge of the cooling plate decrease, increasing the maximum temperature difference of the battery pack. As much as possible, the maximum temperature difference of the battery pack should be controlled within 5 °C.
Figure 10.
(a) Tmax, Tmin, and ΔT at different mass flow rates at 1800 s. (b) PCM liquid fraction at different mass flow rates at 1800 s.
Figure 10b shows the liquid fraction of PCM at different mass flow rates at the end of the 2C discharge. The mass flow rate of the coolant has a greater impact on the PCM parameters. As the mass flow rate increases, the heat generated by the battery is rapidly transported to the outside by the liquid water, so the phase change material close to the microchannel quickly melts, and the liquid fraction decreases. From Figure 10, it can be concluded that in the coupled PCM/liquid cooling plate system, the effect of the liquid mass flow rate on the PCM parameters is much greater than that on the battery pack thermal performance. The higher mass flow rate reduces the PCM liquid fraction and also increases the maximum temperature difference across the battery pack, causing lower PCM utilization and a safety hazard for the battery pack. A mass flow rate should be selected above 1 × 10−4 kg/s to ensure that the PCM still has latent heat for absorbing the heat emitted from the battery pack during charging after the battery has been discharged, in order to achieve the sustainability of the cooling system in the case of multiple charges and discharges.
3.5. Thermal Performance of PCM/Liquid-Cooled Plates
To test the cooling performance of the PCM/liquid cooling plate cooling module, the battery pack is simulated in two thermal management modes: PCM without active cooling and the PCM/liquid cold plate. The simulation is under one cycle, that is, a 2C discharge (1800 s) and then a 0.5C charge (7200 s). The ambient temperature is 20 °C, and the liquid mass flow rate is 0.001 kg/s. The maximum battery temperature (Tmax), the minimum temperature (Tmin) and the PCM liquid fraction over a cycle for PCM/liquid-cooled panels and PCM module battery packs without active cooling are shown in Figure 11.
Figure 11.
Tmax and Tmin curves and PCM liquid fraction curve with PCM module and PCM/liquid cooling plate under 1 cycle.
The results show that during the discharge phase, as the depth of the discharge increases, the slope of the temperature rise of pure PCM is greater than that in the case of the PCM/liquid cold plate, the temperature rise of pure PCM is faster, and the phase change is earlier. The latent heat of pure PCM is quickly consumed, and after the discharge is over, the liquid fraction reaches nearly 90%. This shows that under the large-capacity battery pack module such as the one investigated, the heat storage of pure PCM cannot be dumped out to the environment in time through natural convection during high-power discharge. In contrast, the liquid in the PCM/liquid cooling plate removes the stored heat from the PCM in time, thus avoiding the heat accumulation of the battery pack. During the charging process, the PCM continues to absorb the heat released from the battery charge and the heat transfer to the environment through the PCM is very weak. When the liquid fraction reaches 100%, the PCM can only function as a thermal conductive material and the cell pack temperature continues to increase. The battery pack of the PCM/liquid cold plate module can well recover the heat storage in the PCM through active cooling. When the charging is completed, the heat storage of the PCM is completely recovered, keeping the battery pack module temperature below 30 °C. This also provides good conditions for subsequent continuous cycles.
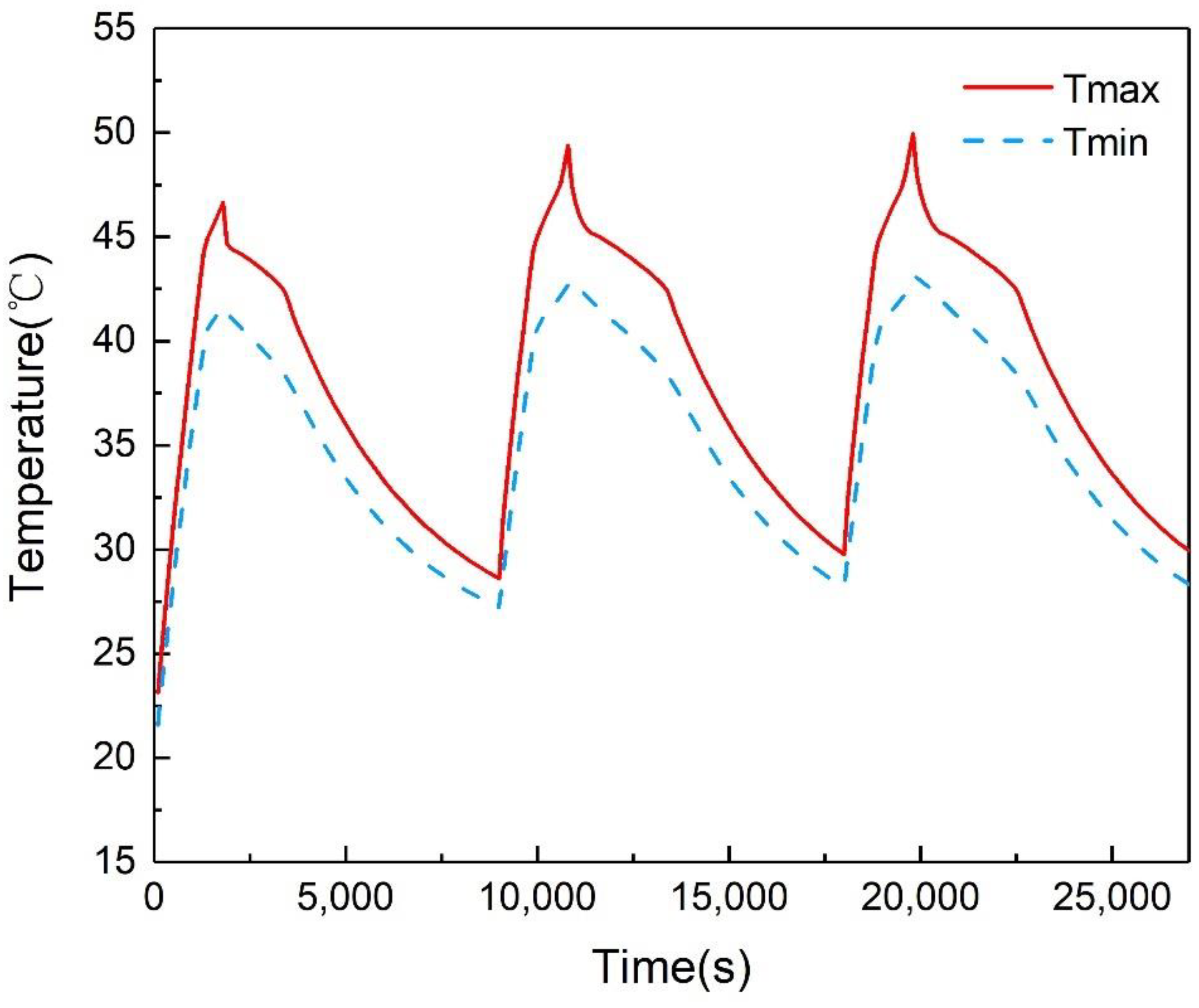
Continuous charging and discharging of the battery pack will cause the overall temperature to rise. If the temperature exceeds the battery’s limit service temperature (60 °C), then it will reduce the battery life and even cause thermal runaway. To test the cooling effect of the PCM/liquid cooling plate under multiple charges and discharges, we conduct another simulation of the battery pack under three consecutive cycles. Each cycle lasts for 9000 s, including a 2C discharge process and a 0.5C charge process. The ambient temperature is set to 20 °C and the inlet mass flow rate is 0.001 kg/s.
As can be seen in Figure 12, the maximum temperature of the battery pack reaches 46.22 °C during the first cycle and 49.37 °C and 49.93 °C during the second and third cycles, respectively. The maximum temperature variation of the battery is controlled to within 0.8% and the maximum temperature of the battery basically plateaus with an increasing number of cycles. This indicates that a battery pack with a PCM/liquid-cooled plate cooling system can control the maximum temperature during continuous charging and discharging. Additionally, at the end of each charge/discharge cycle, the temperature of the battery pack is kept within 30 °C. This indicates that the PCM latent heat comes into play in the cooling process of the whole system, fully absorbing the heat, and the liquid cooling plate can recover the latent heat in the PCM in time, so that the whole PCM/liquid cooling plate cooling system can still maintain a healthy and normal state in multiple cycles. The PCM/liquid cooling plate can suppress the maximum temperature, so that the battery pack is in a safe temperature range under multiple cycles of charging and discharging, which is sustainable, and thermal runaway is prevented.
Figure 12.
The maximum and minimum temperature curves of a battery pack with a PCM/liquid cold plate module after three consecutive charge and discharge cycles.
4. Conclusions
Considering that liquid cooling methods provide higher cooling efficiency, while the PCM cooling method produces a homogenous temperature distribution, a hybrid PCM coupled with a liquid cooling plate with microchannels, i.e., a PCM/liquid cooling plate cooling module, is proposed and numerically simulated in this paper to enhance the operating performance of a lithium battery module. The distance between batteries, the distance between the battery and the liquid cooling plate, the flow direction and the inlet mass flow rate are the main variations, and their effects on the overall battery pack cooling performance are investigated. The difference in cooling performance between passive PCM cooling and the PCM/liquid cooling plate under the discharge condition of a large-capacity battery pack are compared. The ability of the PCM/liquid cold plate cooling system to prevent thermal runaway is studied through three consecutive uninterrupted charging and discharging cycles.
The following conclusions can be made:
(1) The design 2 layout reduces the pressure drop while ensuring good cooling performance. It is observed that a cell spacing of 23 mm and a battery-to-cold-plate distance of 3.5 mm is an optimal balance between battery module heat transfer and PCM liquid fraction.
(2) Improving the inlet mass flow will enhance the thermal performance and reduce the PCM liquid fraction. However, as the coolant flow rate increases further, the downward trend of the maximum temperature decreases, and the differential temperature of the battery pack increases. The effect of the liquid mass flow on the PCM parameters is much greater than the effect on the thermal performance of the battery pack. A mass flow rate should be selected to ensure the sustainability of the cooling system under multiple charge/discharge situations.
(3) The PCM/liquid-cooled plate can ensure higher cooling efficiency and sustainability by recovering heat stored in PCM and reducing the liquid fraction through the liquid-cooled plate in time compared with the passive PCM cooling system. Additionally, the maximum temperature change rate of the battery pack under multiple charge/discharge cycles is controlled within 0.8%, and the temperature of the battery pack is reduced to within 30 °C at the end of each cycle, so that the battery pack operates in a safe temperature range.
Author Contributions
Conceptualization, W.W.; investigation, B.L.; validation, Y.L.; methodology, Y.Z.; software, Z.K.; writing—review& editing, Q.F.; All authors have read and agreed to the published version of the manuscript.
Funding
This work was supported by the National Natural Science Foundation of China under Grant 52166009.
Institutional Review Board Statement
Not applicable.
Informed Consent Statement
Not applicable.
Data Availability Statement
The data that support the findings of this study are available from the corresponding author upon reasonable request.
Conflicts of Interest
The authors declare no conflict of interest.
Nomenclature
| E | Open-circuit voltage (V) |
| F | faraday constant |
| H | total enthalpy (J/kg) |
| h | heat transfer coefficient (W m−3·°C−1) |
| I | current per unit volume (A·m−3) |
| L | characteristic length (m) |
| P | static pressure (Pa) |
| L | latent heat of paraffin (J/kg) |
| heat generation rate (W) | |
| t | time (s) |
| T | static temperature (°C) |
| Tmax | maximum temperature (°C) |
| Tmin | minimum temperature (°C) |
| V | operating voltage (V) |
| average velocity (m·s−1) | |
| thermal conductivity (W/m·K) | |
| ∆S | entropy change (W °C−1) |
| ∆T | maximum temperature difference (°C) |
| Greek symbols | |
| density (kg·m−3) | |
| gradient operator | |
| γ | liquid fraction (%) |
| Subscripts | |
| B | battery |
| J | joule heat |
| max | maximum |
| min | minimum |
| p | polarization |
| r | reaction |
| m1, m2 | lower and upper limits of the PCM melting temperature, respectively |
| l | coolant |
| pcm | phase change material |
| ref | reference |
| Acronyms | |
| BTM | battery thermal management |
| PCM | phase change material |
| LCP | liquid cold plate |
References
- Masayoshi, W. Research and development of electric vehicles for clean transportation. J. Environ. Sci. 2009, 21, 745–749. [Google Scholar]
- Chen, J.; Kang, S.; E, J.; Huang, Z.; Wei, K.; Zhang, B.; Zhu, H.; Deng, Y.; Zhang, F.; Liao, G. Effects of different phase change material thermal management strategies on the cooling performance of the power lithium-ion batteries: A review. J. Power Sources 2019, 442, 227228. [Google Scholar] [CrossRef]
- Wan, H.; Xu, D.; Jia, G.; Mao, Z.; Gong, Y.; He, B.; Wang, R.; Fan, H.J. Integration of Flexibility, Cyclability and High-Capacity into one Electrode for Sodium-Ion Hybrid Capacitors with Low Self-Discharge Rate. Energy Storage Mater. 2019, 25, 114–123. [Google Scholar]
- Saw, L.H.; Ye, Y.; Tay, A. Electro-thermal analysis and integration issues of lithium-ion battery for electric vehicles. Appl. Energy 2014, 131, 97–107. [Google Scholar] [CrossRef]
- Wang, Q.; Ping, P.; Zhao, X.; Chu, G.; Sun, J.; Chen, C. ChemInform Abstract: Thermal Runaway Caused Fire and Explosion of Lithium Ion Battery. J. Power Sources 2012, 208, 210–224. [Google Scholar] [CrossRef]
- Sun, J.; Li, J.; Zhou, T.; Yang, K.; Wei, S.; Tang, N.; Dang, N.; Li, H.; Qiu, X.; Chen, L. Toxicity, a serious concern of thermal runaway from commercial Li-ion battery. Nano Energy 2016, 27, 313–319. [Google Scholar] [CrossRef]
- Senyshyn, A.; Mühlbauer, M.J.; Dolotko, O.; Ehrenberg, H. Low-temperature performance of Li-ion batteries: The behavior of lithiated graphite. J. Power Sources 2015, 282, 235–240. [Google Scholar] [CrossRef]
- Lv, Y.; Yang, X.; Li, X.; Zhang, G.; Wang, Z.; Yang, C. Experimental study on a novel battery thermal management technology based on low density polyethylene-enhanced composite phase change materials coupled with low fins. Appl. Energy 2016, 178, 376–382. [Google Scholar] [CrossRef]
- Liu, Y.; Zhang, J. Design a J-type air-based battery thermal management system through surrogate-based optimization. Appl. Energy 2019, 252, 113426. [Google Scholar] [CrossRef]
- Zhang, H.; Wu, X.; Wu, Q.; Xu, S. Experimental Investigation of Thermal Performance of Large-Sized Battery Module Using Hybrid PCM and Bottom Liquid Cooling Configuration. Appl. Therm. Eng. 2019, 159, 113968. [Google Scholar] [CrossRef]
- Tran, T.H.; Harmand, S.; Sahut, B. Experimental investigation on heat pipe cooling for Hybrid Electric Vehicle and Electric Vehicle lithium-ion battery. J. Power Sources 2014, 265, 262–272. [Google Scholar] [CrossRef]
- Yang, X.; Yang, P.; Zhang, Z.; Duan, Y.; Hu, J. Experimental and numerical study on thermal performance of Li(NixCoyMnz)O2 spiral-wound Lithium-ion batteries. Appl. Therm. Eng. 2018, 138, 446–455. [Google Scholar] [CrossRef]
- Murali, G.; Mayilsamy, K. Spiral phase-change material for enhancing natural circulation solar water heater: An experimental study. Exp. Heat Transf. 2016, 30, 151–161. [Google Scholar] [CrossRef]
- Kizilel, R.; Sabbah, R.; Selman, J.R.; Al-Hallaj, S. An alternative cooling system to enhance the safety of Li-ion battery packs. J. Power Sources 2009, 194, 1105–1112. [Google Scholar] [CrossRef]
- Chen, K.; Hou, J.; Song, M.; Wang, S.; Wu, W.; Zhang, Y. Design of battery thermal management system based on phase change material and heat pipe. Appl. Therm. Eng. 2021, 188, 116665. [Google Scholar] [CrossRef]
- Temel, U.N. Passive thermal management of a simulated battery pack at different climate conditions. Appl. Therm. Eng. 2019, 158, 113796. [Google Scholar] [CrossRef]
- Babapoor, A.; Azizi, M.; Karimi, G. Thermal management of a Li-ion battery using carbon fiber-PCM composites. Appl. Therm. Eng. 2015, 82, 281–290. [Google Scholar] [CrossRef]
- Sun, Z.; Fan, R.; Zheng, N. Thermal management of a simulated battery with the compound use of phase change material and fins: Experimental and numerical investigations. Int. J. Therm. Sci. 2021, 165, 106945. [Google Scholar] [CrossRef]
- Samimi, F.; Babapoor, A.; Azizi, M.; Karimi, G. Thermal management analysis of a Li-ion battery cell using phase change material loaded with carbon fibers. Energy 2016, 96, 355–371. [Google Scholar] [CrossRef]
- Zhou, H.; Zhou, F.; Wang, Q.; Ding, Y. Active cooling-based battery thermal management using composite phase change materials. Energy Procedia 2019, 158, 4933–4940. [Google Scholar] [CrossRef]
- Zhou, H.; Zhou, F.; Zhang, Q.; Wang, Q.; Song, Z. Thermal management of cylindrical Lithium-ion battery based on a liquid cooling method with half-helical duct. Appl. Therm. Eng. 2019, 162, 114257. [Google Scholar] [CrossRef]
- Chen, D.; Jiang, J.; Kim, G.-H.; Yang, C.; Pesaran, A. Comparison of different cooling methods for lithium-ion battery cells. Appl. Therm. Eng. 2016, 94, 846–854. [Google Scholar] [CrossRef]
- Wang, H.; Tao, T.; Xu, J.; Mei, X.; Liu, X.; Gou, P. Cooling capacity of a novel modular liquid-cooled battery thermal management system for cylindrical lithium-ion batteries. Appl. Therm. Eng. 2020, 178, 115591. [Google Scholar] [CrossRef]
- Monika, K.; Chakraborty, C.; Roy, S.; Dinda, S.; Singh, S.A.; Datta, S.P. An improved mini-channel based liquid cooling strategy of prismatic LiFePO4 batteries for electric or hybrid vehicles. J. Energy Storage 2021, 35, 102301. [Google Scholar] [CrossRef]
- Wiriyasart, S.; Hommalee, C.; Sirikasemsuk, S.; Prurapark, R.; Naphon, P. Thermal management system with nanofluids for electric vehicle battery cooling modules. Case Stud. Therm. Eng. 2020, 18, 100583. [Google Scholar] [CrossRef]
- Rui, L.; Chen, J.; Xun, J.; Jiao, K.; Du, Q. Numerical investigation of thermal behaviors in lithium-ion battery stack discharge. Appl. Energy 2014, 132, 288–297. [Google Scholar]
- Smith, K.; Wang, C.Y. Power and thermal characterization of a lithium-ion battery pack for hybrid-electric vehicles. J. Power Sources 2006, 160, 662–673. [Google Scholar] [CrossRef]
- Onda, K.; Ohshima, T.; Nakayama, M. Thermal behavior of small lithium-ion battery during rapid charge and discharge cycles. J. Power Sources 2006, 158, 535–542. [Google Scholar] [CrossRef]
- Lei, S.; Zhang, Z.; Lin, S.; Zhang, H.; Zhang, H.; Li, K.; Fang, Y.; Ye, W. A calibration calorimetry method to investigate the thermal characteristics of a cylindrical lithium-ion battery—SetcienceDirect. Int. J. Therm. Sci. 2021, 165. [Google Scholar]
- Chen, K.; Li, X. Accurate determination of battery discharge characteristics—A comparison between two battery temperature control methods. J. Power Sources 2014, 247, 961–966. [Google Scholar] [CrossRef]
Disclaimer/Publisher’s Note: The statements, opinions and data contained in all publications are solely those of the individual author(s) and contributor(s) and not of MDPI and/or the editor(s). MDPI and/or the editor(s) disclaim responsibility for any injury to people or property resulting from any ideas, methods, instructions or products referred to in the content. |
© 2022 by the authors. Licensee MDPI, Basel, Switzerland. This article is an open access article distributed under the terms and conditions of the Creative Commons Attribution (CC BY) license (https://creativecommons.org/licenses/by/4.0/).











