Abstract
The condition of the bearing is closely related to the condition and remaining life of the rotating machine. Targeting the problem of the large number of harmonic signals and noise signals during the operation of rolling bearings, and given that it is difficult to identify the fault in time, an adaptive orthogonal matching pursuit algorithm (OMP) and an improved K-singular value decomposition (K-SVD) for bearing fault feature extraction are proposed. An adaptive OMP algorithm is applied, which uses the Fourier dictionary to improve the solution method of the OMP algorithm so that it can separate the harmonic components in the signal faster and more accurately. At the same time, the stopping criterion of the adaptive sparsity is improved in dictionary learning. There is no need to manually set the sparsity in the algorithm initialization process, which avoids the problem of algorithm performance degradation due to improper sparsity settings, and improves the efficiency of the K-SVD algorithm. As shown by theoretical verification, algorithm comparison, and experimental comparisons, the algorithm has certain advantages in fault feature extraction during rolling bearing operation, and the algorithm still has considerable practical value in long-duration and strong noise environments.
1. Introduction
In total, 40% of the failure of rotating machinery come from rolling bearings, and the failure of bearings is a progressive process [1]. When premature failure occurs, the operator is difficult to find with the naked eye, and when an obvious failure occurs, it has caused damage to the machinery. Therefore, finding an abnormal bearing in time and accurately, and making decisions are the keys to preventing this kind of failure.
The vibration analysis method is the most used bearing fault diagnosis method at present. By installing sensors on the bearing base or inside the box, the vibration signals generated by the bearing during the operation of mechanical equipment are collected, and the vibration signals obtained by the sensors are processed by computer software to determine the type and nature of the bearing faults [2,3,4].
The processing and analysis of the bearing signal mainly includes time domain, frequency domain, and time–frequency domain analysis. The evolutionary trend of bearing faults can be determined by time domain analysis, and the location and degree of bearing faults can be determined by frequency domain analysis. Vibration analysis shows some superior features to other methods of fault diagnosis analysis of advantages, such as being suitable for bearings of multiple types and variable working conditions, which can realize online monitoring and offline monitoring, which is more effective for early fault diagnosis and high efficiency of diagnosis, the fault location is accurate, so the diagnosis results are also reliable, and it is widely used in many fields [5]. Dictionary learning is a key component of sparse representation. Just like querying entries in a real dictionary, in sparse representation, we abstract the existing knowledge into a dictionary matrix. Each element feature is known as an atom. We can define the attributes of the current object by comparing the object with the atom. In fact, with the development and application of dictionary learning, in more and more methods, the dictionary is no longer static but constantly updated to keep pace with the needs of the research object.
In recent years, more and more algorithms have been used in the field of fault diagnosis. Many scholars turn to the sparse representation method to find the greatest number of features behind samples, and to represent as much information as possible with as few resources as possible [6,7,8]. Sparse representation is a dimensional-reduction representation—or a form of information compression—of large data sets, which have the added benefit of fast computation.
The construction of an over-complete dictionary and the solution methods of a sparse coefficient are two important problems in sparse representation. Cai et al. [9] constructed a tunable Q-factor wavelet dictionary to minimize the objective function of morphological component analysis, and used the split-augmented Lagrangian contraction algorithm to separate the impact and grid frequency components of the vibration signals of a faulty gearbox. Feng et al. [10] constructed a Fourier dictionary and used the IADT (Iterative Atomic Decomposition Threshold) method to extract fault feature components from the signals of planetary gearboxes of wind turbines. Greedy algorithms are mostly improved based on matching pursuit and orthogonal matching pursuit. This kind of algorithm has the characteristics of a rapid computing speed, being suitable for orthogonal dictionaries, a high resolution, and good sparsity. Cui et al. [11] established a new pulse dictionary according to the characteristics of rolling bearings and used the extra dictionary combined with a genetic algorithm for matching tracking for bearing fault diagnosis. Qin et al. [12] proposed an iterative basis tracking algorithm based on different types of transformation basis dictionaries in order to effectively separate the vibration signal components of faulty machines. Peng et al. [13] proposed a sparse signal decomposition method based on a multi-scale linear frequency modulation signal, and applied the method to the fault diagnosis of a time-varying speed gearbox. At the same time, more algorithms were derived, such as regularized orthogonal matching pursuit [14,15], segmented orthogonal matching pursuit [16], compressed sampling matching pursuit [17], segmented weak orthogonal matching pursuit [18,19], and subspace tracking [20].
On the other hand, the two typical methods for the construction of sparse dictionaries are the analysis method and the learning-based method [21]. The analysis method is tantamount to the dictionary based on known rapid transformations and their variations, such as Fourier, wavelet, and discrete cosine [12,22]. These dictionaries are highly structured and rapid to implement, but they are limited by many constraints or assumptions, such that they are not very effective in practice [23]. Learning-based methods are built on machine learning to obtain sparse dictionaries. Dictionary learning algorithms include the optimal direction method (MOD) [24], sparse K-SVD [25], multi-scale dictionary learning [26], the recursive least squares dictionary learning algorithm (RLS-DLA) [27], and shift-invariant sparse coding (SISC) [28]. These dictionaries can describe signals more flexibly, and have been successfully used in image processing [29] and audio processing [30], but their disadvantages are their low computational speed and poor anti-noise performance.
Therefore, this paper combined the constructed adaptive OMP algorithm with the improved K-SVD algorithm to solve the problem that rolling bearing fault signals are too difficult to extract in an environment of strong noise or over a long duration.
2. Theoretical Derivation
Rolling bearing faults are periodically distributed. When the fault damage occurs, its vibration waveform will change, and the fault damage can be identified, using algorithms, from the collected vibration signals [31]. The OMP algorithm and K-SVD algorithm are both common algorithms for bearing signal extraction, but they have certain limitations when used alone, such as the weak adaptability of the OMP algorithm and the easy occurrence of artificial errors with the K-SVD algorithm. The adaptive OMP algorithm and improved K-SVD with a changed termination rule were therefore proposed to solve these problems.
2.1. Adaptive OMP Algorithm
In the running process of rolling bearing, because of the low manufacturing accuracy, inaccurate installation and positioning, or failure, load misalignment will result in harmonic components, and the harmonic components will modulate the impact components, resulting in a large number of harmonic components and modulation components in the collected signals, thus affecting the extraction of instantaneous pulse components.
The transience signal is composed of a transient impact component , a harmonic component and noise , which can be expressed as
In order to separate harmonic components from vibration signals, we can choose a suitable over-complete dictionary to separate harmonic components from vibration signals using an orthogonal matching tracking algorithm. We choose the Fourier dictionary as the over-complete basis because it is comprised of a series of sine and cosine functions, in line with the waveform characteristics of harmonic signals. The Fourier dictionary is set as , and its sparsity means that the sparse matrix is . By introducing the over-complete dictionary, the original vibration signal can be expressed as
Atoms in a Fourier dictionary can be represented by the function , in which determines the type of phase, and when , the atomic waveform is a cosine function; when the waveform of the atom is a sine function, the mathematical expression is
In which is the frequency parameter, and the optimization problem of matching vibration signals and separating harmonic components through a Fourier dictionary can be described as follows:
An orthogonal matching pursuit algorithm is used to solve the problem. The solution process is split into a traversal process and a temporary solution updating process. Harmonic components in vibration signals can be expressed by the result of the multiplication of and . In order to select the most suitable column in the dictionary, it is necessary to verify every column in the dictionary. Set the columns in the dictionary as , where is the number of columns in the dictionary, the behavior in the sparse coefficient matrix , and is the number of rows in the coefficient matrix. In the traversal, the error can be expressed as
By minimizing its error, it can be obtained from Equation (5):
Then, the error is
Therefore, in the traversal process of an orthogonal matching pursuit, the error value between the product of multiplying the current dictionary atoms by sparse coefficients and the original signal can be obtained, which is very similar to Equation (7):
where is the residual after the iteration. In order to minimize the error, we only need to maximize the productivity of the dictionary atom , which is selected for the time, and the residual . This process is the process of obtaining the maximum inner product (the absolute value form):
where represents the atoms extracted for the time, represents the atom in Fourier dictionary , and the atoms obtained from the dictionary are stored in support set . In the stage of updating the temporary solution, is minimized for sparse coefficient matrix under the condition of support set .
We write the matrix composed of the columns in the dictionary as ; at this time, it becomes necessary to find the minimum value of , which is the remaining part of sparse matrix after removing zero elements. Making the derivative of this quadratic form equal to zero can provide the solution of the minimization problem, as follows:
Equation (10) uses the residual formula of the th iteration, . This relationship shows that the column selected in the support set in Fourier dictionary must be orthogonal to the residual , which also leads to the next iteration. Because the atoms in the Fourier dictionary are sine wave unit functions of a specific frequency and orthogonal to each other, the inner product of any two atoms is zero. The interpretation of the vibration signal from the energy point of view can be expressed as:
There are two kinds of stopping conditions for the traditional orthogonal matching pursuit algorithm: one is that the residual error is less than the preset value, and the other is that it reaches the preset number of iterations and then stops.
An adaptive orthogonal matching pursuit algorithm is used to separate harmonic components. From Formula (11), it can be seen that harmonic components and modulation components are distributed on sine waves with definite frequencies, such that we can perform the calculation according to the sparse coefficients of these atoms. Supposing that the maximum value of the sparse coefficients obtained after iterations is and the minimum value is , when the iteration stops outputting sparse coefficients. In order to better recover signals, can be set through experiments. Finally, the residual signal is the composite signal of the impact component and noise. The flow chart of the use of the adaptive orthogonal matching pursuit algorithm to separate harmonic and modulation components is shown in Figure 1.
Figure 1.
Adaptive OMP algorithm for separating harmonics and modulation components.
2.2. K-SVD Dictionary Learning Algorithm with an Improved Termination Criterion
In order to solve the problem that the pre-built dictionary has poor adaptability when faced with different types of fault signals, a feature extraction method of learning dictionaries is proposed. For different types of fault signals, the feature information can be extracted more accurately through dictionary learning, and the interference of irrelevant information can be reduced so that the fault types can be detected. The sparse feature extraction method of learning of a dictionary is divided into two essential steps: a sparse representation solution and dictionary learning. We improve the K-SVD algorithm to optimize the stopping criterion of the dictionary learning feature extraction method, in order to better identify the fault information.
K-SVD is an over-complete dictionary learning algorithm, which is proposed to reduce the sparsity of the sparse coefficient matrix corresponding to the dictionary, and the atoms learned by K-SVD can be used to better represent the original signal. The problem can be described as
where represents the original signal, represents the dictionary matrix containing atoms , and represents the sparse coefficient matrix, where represents the number of samples.
The K-SVD algorithm is divided into two stages: sparse coding and dictionary learning. In the sparse representation solving stage, the orthogonal matching pursuit algorithm with an improved error threshold (OMPerr) is used to replace the orthogonal matching pursuit algorithm, and the objective function and constraint conditions of Formula (12) are changed:
The biggest advantage of changing the constraint condition is that it is no longer necessary to set the sparsity to stop the program, and it also avoids the problem that the sparsity of the sparse coefficient matrix cannot meet the precision requirement due to there being too few iterations; thus, the original signal cannot be accurately restored, which also avoids the problem that the calculation time is too long due to there being too many iterations. By setting the error goal of the objective function, the iteration is stopped when the error of the original signal and the sparse approximation is less than a given value, such that the accurate form of the signal can be recovered and a more accurate reconstruction can be realized.
Each symbol in Formula (14) has the same meaning as the symbol in Formula (12), and is the set of solution vectors of . By solving the optimization problem in Formula (13), we obtain the sparse coefficient vector corresponding to the initialization dictionary through the sparse representation solution process. Next, the dictionary learning stage—knowing the sparse vectors obtained by the sparse coding process—updates the dictionary column by column. Suppose we want to update the atom of the dictionary, denoted as , and the kth coefficient of the sparse coefficient matrix.
In which represents the calculation residual, and the optimization problem at this time is transformed into finding
It is necessary to find the optimal solution of to obtain the minimum error. This is a least square problem, which can be solved by the least square method or singular value decomposition (SVD). In this paper, the SVD method is utilized to solve the optimal solution of two variables. However, if is directly used to solve this, the sparsity of obtained will be larger or no longer sparse, such that the elements corresponding to zero elements in and can be eliminated here to form a new residual matrix , as shown in Figure 2.
Figure 2.
Schematic diagram of the OMP algorithm extracting partial residuals.
The mathematical expression is used to describe this step. The position of non-zero in the sparse coefficient vector is recorded as 1 and the position of zero element is recorded as 0; that is, set a set represents the index value when , define a matrix as a matrix of N×, and its element at the position of () is 1, and the elements in the remaining positions are 0:
At this time, the objective equation can be described as
Therefore, we require the best to perform singular value decomposition on :
Take the first column of the left singular matrix as , that is, . Take the product of the first row of the right singular matrix and the first singular value as , that is, . Use this method to replace the columns in the original dictionary in turn to generate a new learning dictionary. After this repeated process, the dictionary matrix and the coefficient matrix corresponding to the original signal can be calculated again and again. The iteration stops if . At this time, the sparse vector matrix and the learning dictionary matrix calculated by the K-SVD algorithm are output, and the reconstructed signal is obtained by multiplying the learning dictionary by the sparse coefficient vector. At this time, the reconstructed signal contains rich transient impact components, which eliminate the interference of a large number of harmonic components and noise components. The envelope spectrum can be used to obtain the fault frequency of the reconstructed signal, so as to identify the fault type of the faulty bearing, highlighting the effectiveness and reliability of this method of extracting the transient pulse component.
3. Bearing Fault Feature Extraction Method Based on Adaptive OMP and Improved K-SVD
The overall method of bearing fault feature extraction based on adaptive OMP and improved K-SVD is given in Figure 3.
Figure 3.
The flow chart of bearing fault feature extraction based on adaptive OMP and improved K-SVD.
First, the Fourier dictionary is constructed, and the adaptive OMP algorithm is used to predominantly process the signal in order to separate the harmonic signal.
Second, the sparse objective equation is constructed, and the termination condition modified in this paper is used as the termination condition of the equation to update the constructed dictionary, in order to carry out the next iteration. Finally, the envelope analysis of the signal is performed in order to extract the fault features.
4. Signal Simulation Analysis
4.1. Comparison of the Harmonic Component Extraction Simulation of the Adaptive OMP Algorithm
Amplitude Modulation (AM) and Frequency Modulation (FM) are the most frequent signals in our lives. They often overlap and interfere with each other to form complex background noise, which causes serious interference for the extraction of transient pulse components. According to the theory of the analytical model, a synthetic signal is generated, which consists of a harmonic signal, ; two modulation signals, and Gaussian white noise with a variance of 1 and a mean of 0, as in Formula (20). The harmonic components, noise, and time-domain waveforms of the synthesized signal are presented in Figure 4.
Figure 4.
Synthetic signal time-domain waveform. (a) Harmonic signal; (b) noise; (c) composite signal.
In which:
The time is , and the sampling interval is 0.0005 s. Harmonic components are extracted by an adaptive orthogonal matching pursuit algorithm, wavelet basis decomposition, and EEMD. The wavelet base decomposition adopts the SYM wavelet base, and the number of decomposition layers is five layers. EEMD decomposition discards the first IMF component because it denoises EEMD the most frequently. Figure 5 shows the experimental results of the comparison between the proposed method and the other two methods for extracting harmonic components. The blue lines are the harmonic components, and the red lines are the harmonic components extracted from the noise. The harmonic component signal extracted by the adaptive quadrature matching pursuit algorithm is smooth, and the noise component is greatly suppressed. Compared with other methods, the effect is the best and the calculation time is shorter, and the harmonic separation signal is at the peak of the original harmonic signal. The similarity with the trough is high, and the best extraction effect is achieved. The calculation time of the three algorithms to extract the harmonic components and the similarity between the extracted harmonic components and the original signal are shown in Table 1.
Figure 5.
Different methods to extract harmonic components. (a) Harmonic components; (b) adapOMP extract harmonic components; (c) wavelet SYM5 decomposition extract harmonic components; (d) EEMD extract harmonic components.
Table 1.
Performance of different methods of extracting harmonic components.
4.2. Signal Simulation Comparisons of Bearing Fault Feature Extraction Based on Adaptive OMP and Improved K-SVD
In order to verify the effectiveness and accuracy of the method proposed in this paper, the method proposed in this paper and the traditional K-SVD method are used to analyze the same set of synthetic signals. It can be known from the mechanical vibration model that a set of synthetic signals usually consists of harmonic components, shock components, and noise. Its specific expression is as follows:
The initial position of the shock component is , the failure period is , the failure frequency is , and the time ; then, the entire cycle contains 10 shock components to learn dictionary atoms. Natural frequency , and damping coefficient . Harmonic interference frequency , and ; we add Gaussian white noise with variance 1 and mean 0, and its amplitude . The sampling frequency is at least twice the natural frequency. In this simulation, the sampling frequency is set to 4000 Hz, and the number of sampling points is 4000. The time-domain waveform of the harmonic components is shown in Figure 6a, the time-domain waveform of impulse components is shown in Figure 6b, and the time-domain waveform of noise is shown in Figure 6c. The figure is shown in Figure 6d.
Figure 6.
Synthetic signal time-domain waveform: (a) harmonic components; (b) impact component; (c) noise; (d) synthetic signal.
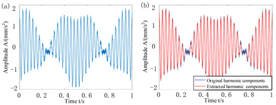
First, a Fourier dictionary conforming to the waveform of the harmonic components is constructed, and the harmonic components in the synthesized signal are separated by an adaptive quadrature matching pursuit algorithm. The iteration stops when the largest element in the sparse vector is five times or more the smallest element, and the harmonic components are separated from the composite signal. Through the calculation, it can be shown that the sparseness of the harmonic and modulation components of the simulated signal is 4, which appear at the disposal of the points, and their values are 2 respectively. In the obtained sparse matrix, all of the coefficients except these four points are zero. Finally, the Fourier dictionary is used to multiply the sparse coefficient matrix to obtain the harmonics and modulation components in the simulated signal, as shown in Figure 7a. The harmonic components are plotted in the same graph as those extracted from the simulated signal by adaptive quadrature matching tracing, with the original harmonic components in red and the adaptive quadrature matching tracing extracted from the simulated signal in blue. The extracted harmonic components are shown in Figure 7b; it can be seen that the extracted harmonic components are very similar to the original harmonic components, and the correlation is calculated by the corroded function to obtain 0.9967, which shows the effectiveness of this method in eliminating harmonic components. When the harmonic components are removed from the simulated signal, as shown in Figure 8, the combined time-domain waveform of the remaining impulse components and noise can be seen, which further proves the effectiveness of the method in separating the interference of harmonic components.
Figure 7.
The adapOMP algorithm extracts harmonic components. (a) Adaptive extraction of the harmonic components’ time-domain waveform; (b) comparison of the extracted harmonic components and original harmonic components.
Figure 8.
The time-domain waveform of the synthesized signal after the removal of the harmonic components extracted by adapOMP.
In order to verify the advantages of this method in separating the harmonic components in the signal, the OMP algorithm is now used to select a set of control experiments for the separation of harmonic components with a sparsity K = 7 and a set of sparsity K = 10 as a comparison. When the sparsity K = 7, it can be seen from Figure 9. Although the transient shock components are consistent with the original set time at the shock time, there are still transient shock components submerged in the harmonic components and noise, which is relatively sparse. The separation effect is insignificant when K = 4. When we increase the sparsity to K = 10, we obtain the results shown in Figure 10. It can be observed that with the increase of sparsity, the effect of harmonic separation is worse and worse. However, it is impossible to calculate every sparsity to obtain the best sparsity during the experiment; the adaptive orthogonal matching pursuit algorithm used in this paper makes up for this defect, and can quickly calculate the optimal sparsity. The calculation time is greatly reduced, and the harmonic components are better separated from the signal.
Figure 9.
Time-domain waveform diagram of a synthesized signal with the harmonic components removed when sparsity K = 7.
Figure 10.
Time-domain waveform diagram of a synthesized signal with the harmonic components removed when sparsity K = 10.
The adaptive quadrature matching pursuit algorithm is used to separate the harmonic components from the synthesized signal, and the K-SVD—an algorithm with an improved termination criterion—is used to denoise the signal. Set errorGoal = 0.35 to construct a random over-complete dictionary. Through the algorithm proposed in this paper, the sparse coefficient and the learning dictionary are calculated. Six atoms in the learning dictionary are randomly selected, and their waveforms are shown in Figure 11. It can be observed that the waveforms of the atoms are in the form of unilateral attenuation, which is consistent with the waveform of the transient shock component. The transient impact component can be reconstructed using a sparse coefficient and a learning dictionary.

Figure 11.
Six atoms randomly selected from the learn dictionary.
The sparse coefficient matrix and learning dictionary are obtained at the end of the K-SVD algorithm cycle. The signal is reconstructed and restored to obtain the time-domain waveform of the sparse signal, as shown in Figure 12a. It can be observed that most of the noise has been removed and restored. The signal is close to the impact component of the composite signal without adding noise and harmonic components, and the transient impact period is discernible. Using the classical K-SVD algorithm and the orthogonal matching pursuit algorithm, the time-domain waveform of the sparse signal is obtained, as in Figure 13a. The reconstructed signal is still disturbed by noise and harmonic components, and the transient impact period is not obvious. The envelope spectrum analysis of the sparse signal is carried out, as shown in Figure 12b; it can be seen that the spectral peak of the fault frequency and the spectral peak at the frequency doubling are more obvious, and all of the transient shock components in the cut-off period are identified. The higher harmonics are almost eliminated. In Figure 13b it is found that the spectral peaks at the multiplier of the fault frequency are not obvious; some transient impulse components are submerged in the noise, and are difficult to identify. This shows the effectiveness and reliability of this algorithm in the extraction of transient impulse components in intense noise.
Figure 12.
Denoising effect of K-SVD algorithm with improved termination criterion on filtered signal. (a) Time-domain waveform of denoised signal; (b) Denoised Signal Envelope Spectrogram.
Figure 13.
The original K-SVD algorithm to denoise the filtered signal. (a) Time-domain waveform of the denoised signal; (b) denoised signal envelope spectrogram.
In order to illustrate the applicability of the improved K-SVD, we further compare the performance of the original K-SVD with that of the improved K-SVD. For the same simulation signal, the termination condition needs to be set manually in traditional K-SVD, which requires a certain discipline background. In order to achieve better results, it usually needs to be set many times to achieve the optimal sparsity, while the improved K-SVD can automatically terminate only by setting the final goal, which is better in terms of the time and labor costs of practical application; see Table 2 for details.
Table 2.
Comparison of the level of performance between the original K-SVD and the improved K-SVD.
5. Experimental Verification and Analysis
5.1. Experimental Verification 1
Experimental data were used to verify the validity and reliability of the proposed method for extracting transient shock features, and more authoritative public data in this field were selected [32]. The rolling bearing vibration signal of Case Western Reserve University Bearing Laboratory (CWRU) was invoked as the target signal for the analysis. The schematic diagram of the rolling bearing test bench and the test bench is illustrated in Figure 14. A 2HP (1.5KW) three-phase induction motor (Reliance Electric 2HP IQPreAlert motor) is arranged on the left, and the torque sensor in the middle is connected to the right through a self-aligning coupling. A dynamometer is attached to the motor in order to ensure that the desired torque load level is achieved, and the rolling bearing supporting the motor at the drive end is our bearing to be tested. The accelerator is installed on the motor casing of the driving end to sense vibration, and a 16-channel DAT recorder is used to collect vibration signals with a sampling frequency of 12 kHz. The model of the bearing to be tested is the SKF6205-2RS-type bearing. The single-point damage with a width of 0.1778 mm and a depth of 0.2794 mm is machined by EDM. The center position is at 6 o’clock, in order to detect the outer ring fault of the rolling bearing. The detailed parameters of the rolling bearing are given in Table 3.
Figure 14.
CWRU bearing test bench and its schematic diagram.
Table 3.
Detailed parameters of the SKF6205-2RS-type rolling bearing.
In the experiment, the rotating speed of the motor is 1797 r/min, the rotating frequency is 29.95 Hz, and the fault frequency of the outer ring of the rolling bearing is calculated to be 107.36 Hz. In total, 12,000 data points in 1s were intercepted for the experimental analysis. In order to reflect the performance of the algorithm proposed in this paper for the processing of long signals, is added to the original signal, where the harmonic components of and Gaussian white noise with variance 1 and mean 0 are added to the original signal. The difficulty lies in extracting the transient pulse component in the signal to be detected. Its time-domain waveform diagram within 0–1 s is shown in Figure 15, and the transient impulse components are all submerged in noise and harmonic components. The envelope spectrum analysis is performed on the signal after adding noise, and the obtained envelope spectrum is given in Figure 16. It can be seen that due to the influence of noise, only the first and second harmonic of the fault frequency can be observed; the other multiple frequencies are not obvious, and the higher harmonic is more prominent.
Figure 15.
Time-domain waveform diagram of the noise-added vibration signal of the outer ring damage of the rolling bearing.
Figure 16.
Envelope spectrogram of the noised signal.
The adaptive orthogonal matching pursuit algorithm is used to separate the harmonic components in the original signal, and the sparsity and sparse vector coefficients are identified as shown in Figure 17. The sparsity is obtained as 44, which can be obtained by using the 44 atoms in the Fourier dictionary. This represents the harmonic component, the absolute value of the coefficient of which is 23.1857, and the absolute value of the coefficient is 4.5894. At this time, the maximum value of the coefficient is larger than five times the minimum value of the coefficient, the iteration stops, and the mixed signal is obtained by multiplying the Fourier dictionary and the sparse vector matrix. The harmonic components in the signal are shown in Figure 18. The harmonic components are removed from the signal, and the filtered signal is obtained as shown in Figure 19. After the calculation and processing of the adaptive quadrature matching pursuit algorithm, most of the harmonic signals can be eliminated from the original signal, and the period of the transient influence component is gradually more obvious.
Figure 17.
Sparse representation coefficients.
Figure 18.
Time-domain waveform of the harmonic components extracted by the adapOMP.
Figure 19.
Filtered signal Time-domain waveform.
Set the initialization dictionary, set errorGoal = 0.9, and use the K-SVD algorithm with improved termination criteria for denoising. The sparse representation is performed in the dictionary domain where the original signal is used as the initial dictionary. With the continuous updating of the learning dictionary, the obtained reconstructed signal is more sparse, as shown in Figure 20. The extracted transient shock component is closer to the real transient shock component, and its shock period becomes more and more obvious. The envelope spectrum analysis of the reconstructed signal is illustrated in Figure 21. It can be seen that the fault frequency and frequency multiplication of the outer race of the rolling bearing are outstanding, and the filtering effect of high-order harmonics is excellent, which is not displayed too much on the envelope spectrum. It is highlighted that the method proposed in this paper can accurately extract the fault frequency of the faulty bearing under the interference of strong noise and high-frequency harmonic components, and that it can further improve the effectiveness and reliability of the extraction of transient pulse components.
Figure 20.
Time-domain waveform of the transient shock characteristics.
Figure 21.
Envelope spectra of the transient shock characteristics.
5.2. Experimental Verification 2
In order to further verify the effectiveness of the method proposed in this paper to extract transient shock components in a strong noise background, the data collected by the Gearbox Dynamics Simulator (GDS) was used for analysis. The test bench consists of four parts: a signal acquisition device, motor, gearbox and load device. The acquisition device is comprised of a computer and a piezoelectric sensor of a signal acquisition instrument. The motor is a 3HP three-phase asynchronous motor with a maximum speed of 5000 rpm. It also includes a tachometer, a controller, and other display devices to form a power unit. The test bench is illustrated in Figure 22.
Figure 22.
Gearbox experimental platform.
Using the HG-8916 data acquisition system, the maximum number of sampling points of the signal acquisition card is 32,768, and the maximum sampling frequency is 50 kHz, which is saved in format and imported into MATLAB for analysis. Owing to the limited conditions during the experiment, only the acceleration sensor could be installed on the outside of the gearbox to collect vibration data. Sensors are mounted on seven positions in total (P1−P7 in Figure 23). A piezoelectric accelerometer is placed at the point, mainly collecting vibration data, and a laser speed sensor is installed at the number 7 measuring point, mainly measuring the motor speed. The experimental bearing is an ER-16 K deep groove ball bearing, which supports the input shaft of the drive end. The bearing parameters are given in Table 4.
Figure 23.
Location of sensor measuring points.
Table 4.
Test bearing’s specific parameters.
In this experiment, the sampling frequency is set to 20 kHz, the motor rotation frequency is 23.5 Hz, the acquisition time is 1s, and there are a total of 20,000 data points. According to the bearing data, the outer ring fault frequency is 83.94 Hz. This section intercepts a total of 10,000 data points within 0.5 s for analysis. The time-domain waveform diagram and its envelope spectrum are illustrated in Figure 24. It can be seen from the time-domain waveform diagram that the transient impulse component is completely submerged in the strong background noise and harmonic components, and only the fault characteristic frequency of its double frequency can be seen in the envelope spectrum; all of the other multipliers are submerged. In the high-frequency harmonic components and noise, it is difficult to distinguish the type of bearing failure. The method proposed in this paper is used to extract the transient pulse component in the original signal, and to identify the fault type of the rolling bearing.
Figure 24.
Result of the test bearing. (a) Time-domain waveform of the vibration signal; (b) envelope spectrum of the vibration signal.
First, the adaptive quadrature matching pursuit algorithm is used to separate the harmonic and modulation components, and an over-complete Fourier dictionary of 10,000 × 20,000 is established. The sparsity of the dictionary is 6, which appears in numbers 39, 77, 6998, 7036, and 16,323, respectively. At the atoms of the six Fourier dictionaries of 16,361, the harmonic components and low-frequency noise are extracted from the original signal as shown in Figure 25. The harmonic components and low-frequency noise are extracted from the original signal, and the obtained filtered signal is shown in Figure 26. It can be seen that the signal processed by the adaptive quadrature matching pursuit algorithm has eliminated most of the harmonic signals from the original signal, and the transient impact component is gradually more obvious. After that, the K-SVD algorithm with an improved termination criterion is employed for noise reduction, and the transient shock components are successfully separated from the original signal.
Figure 25.
Time-domain waveform of the harmonic components extracted by adapOMP.
Figure 26.
Filtered signal time-domain waveform.
Set the number of initial dictionaries as 600, set the length as 150, set errorGoal = 1.3, and use the K-SVD algorithm with improved termination criteria to continuously perform sparse representation and dictionary learning in the dictionary domain. With the continuous updating of the learning dictionary, the obtained reconstructed signal is more sparse, and the transient impact component period is more and more obvious. As shown in Figure 27, the envelope spectrum analysis of the reconstructed signal is shown in Figure 28. It can be seen that the fault frequency of the outer ring of the rolling bearing and its frequency multiplication are more bulbous, and the filtering effect of high-order harmonics and noise is better.
Figure 27.
Time-domain waveform of the transient shock characteristics.
Figure 28.
Envelope spectra of the transient shock characteristics.
From the two experimental results, it can be seen that for the signal data in different situations, the algorithm proposed in this paper has a superior effect regarding the extraction of the shock signal. Because of the speed and accuracy of the adaptive OMP algorithm, it provides strong support for the K-SVD algorithm. However, in experiment 2, it can be seen that in an environment with more natural noise, the high-frequency signal is still very obvious, which also proves that this method has certain practicability.
6. Conclusions
Targeting the problem of the low efficiency of bearing fault data extraction, this paper combines the commonly used OMP algorithm with the improved K-SVD algorithm, and proposes a new bearing fault feature extraction method, which is mainly as follows:
(1) According to the characteristics of harmonics, the Fourier dictionary is used to improve the OMP algorithm, which further improves the distinguishing ability and distinguishing speed of harmonic components.
(2) The termination criterion of the K-SVD algorithm is improved, and there is no need to manually set the sparsity during the initialization process of the algorithm, which avoids the problem of the performance degradation of the algorithm due to improper sparsity setting. The calculation accuracy of the algorithm reduces the reconstruction error of the signal.
After signal simulation and two sets of experimental verifications, the algorithm can effectively extract fault features, especially for high-frequency fault features. The advantages of the bearing fault feature extraction method based on adaptive OMP and improved K-SVD are more obvious. Because of this feature, this method may produce good results in practical fault diagnosis applications for high-speed running machines, such as vehicles and aerospace machines.
Author Contributions
Conceptualization, L.W., D.X. and C.C.; methodology, X.L. and D.X.; software, D.X.; validation, X.L., D.X., S.A. and C.W.; formal analysis, D.X.; investigation, D.X. and C.W.; resources, L.W., S.A. and C.C.; data curation, D.X. and C.W.; writing—original draft preparation, D.X.; writing—review and editing, X.L.; visualization, D.X.; supervision, L.W. and C.C.; project administration, L.W. and C.C.; funding acquisition, L.W. and C.C. All authors have read and agreed to the published version of the manuscript.
Funding
This research was supported by the National Natural Science Foundation of China Youth Fund, grant number 62003315; ZHONGYUAN Talent Program, grant number ZYYCYU202012112; Zhengzhou Measurement and Control Technology and Instrument Key Laboratory, grant number 121PYFZX181; Henan Province “ZHONGYUAN Thousand Talent Program”, grant number ZYQR201810075; the Applied Basic Research Program of Shanxi Province, grant number 201901D211241; Scientific and Technological Project of Henan Province, grant number 212102210069; and The Young Academic Leaders Support Program of the North University of China.
Institutional Review Board Statement
Not applicable.
Informed Consent Statement
Not applicable.
Data Availability Statement
The data of CWRU can be found at https://engineering.case.edu/bearingdatacenter/12k-drive-end-bearing-fault-data (accessed on 20 December 2021).
Conflicts of Interest
The authors declare no conflict of interest.
References
- Sun, R.B.; Yang, Z.B.; Zhai, Z.; Chen, X.F. Sparse representation based on parametric impulsive dictionary design for bearing fault diagnosis. Mech. Syst. Signal Proc. 2019, 122, 737–753. [Google Scholar] [CrossRef]
- Dolenc, B.; Boskoski, P.; Juricic, D. Distributed bearing fault diagnosis based on vibration analysis. Mech. Syst. Signal Proc. 2016, 66–67, 521–532. [Google Scholar] [CrossRef]
- Lyu, X.; Hu, Z.Q.; Zhou, H.L.; Wang, Q. Application of improved MCKD method based on QGA in planetary gear compound fault diagnosis. Measurement 2019, 139, 236–248. [Google Scholar] [CrossRef]
- Shi, H.T.; Guo, J.; Bai, X.T.; Guo, L.; Liu, Z.P.; Sun, J. Research on a Nonlinear Dynamic Incipient Fault Detection Method for Rolling Bearings. Appl. Sci. 2020, 10, 2443. [Google Scholar] [CrossRef] [Green Version]
- Chen, X.H.; Xiao, L.; Zhang, X.H.; Liu, Z.X. A heterogeneous fault diagnosis method for bearings in gearbox. Proc. Inst. Mech. Eng. Part C J. Eng. Mech. Eng. Sci. 2015, 229, 1491–1499. [Google Scholar] [CrossRef]
- Yao, R.H.; Jiang, H.K.; Wu, Z.H.; Wang, K.B. Periodicity-enhanced sparse representation for rolling bearing incipient fault detection. ISA Trans. 2021, 118, 219–237. [Google Scholar] [CrossRef]
- Liu, Z.P.; Tang, X.Q.; Wang, X.F.; Mugica, J.E.; Zhang, L. Wind Turbine Blade Bearing Fault Diagnosis Under Fluctuating Speed Operations via Bayesian Augmented Lagrangian Analysis. IEEE Trans. Ind. Inform. 2021, 17, 4613–4623. [Google Scholar] [CrossRef]
- Deng, F.; Qiang, Y.; Yang, S.; Hao, R.; Liu, Y. Sparse representation of parametric dictionary based on fault impact matching for wheelset bearing fault diagnosis. ISA Trans. 2021, 110, 368–378. [Google Scholar] [CrossRef] [PubMed]
- Cai, G.G.; Chen, X.F.; He, Z.J. Sparsity-enabled signal decomposition using tunable Q-factor wavelet transform for fault feature extraction of gearbox. Mech. Syst. Signal Proc. 2013, 41, 34–53. [Google Scholar] [CrossRef]
- Feng, Z.P.; Liang, M. Complex signal analysis for wind turbine planetary gearbox fault diagnosis via iterative atomic decomposition thresholding. J. Sound Vibr. 2014, 333, 5196–5211. [Google Scholar] [CrossRef]
- Cui, L.L.; Wang, J.; Lee, S. Matching pursuit of an adaptive impulse dictionary for bearing fault diagnosis. J. Sound Vibr. 2014, 333, 2840–2862. [Google Scholar] [CrossRef]
- Qin, Y.; Mao, Y.F.; Tang, B.P. Vibration signal component separation by iteratively using basis pursuit and its application in mechanical fault detection. J. Sound Vibr. 2013, 332, 5217–5235. [Google Scholar] [CrossRef]
- Peng, F.Q.; Yu, D.J.; Luo, J.S. Sparse signal decomposition method based on multi-scale chirplet and its application to the fault diagnosis of gearboxes. Mech. Syst. Signal Process. 2011, 25, 549–557. [Google Scholar] [CrossRef]
- Vershynin, N.R. Uniform Uncertainty Principle and Signal Recovery via Regularized Orthogonal Matching Pursuit. Found. Comput. Math. 2009, 93, 317–334. [Google Scholar]
- Needell, D.; Vershynin, R. Signal Recovery from Incomplete and Inaccurate Measurements Via Regularized Orthogonal Matching Pursuit. IEEE J. Sel. Top Signal Process. 2010, 4, 310–316. [Google Scholar] [CrossRef] [Green Version]
- Donoho, D.L.; Tsaig, Y.; Drori, I.; Starck, J.L. Sparse Solution of Underdetermined Systems of Linear Equations by Stagewise Orthogonal Matching Pursuit. IEEE Trans. Inf. Theory 2012, 58, 1094–1121. [Google Scholar] [CrossRef]
- Needell, D.; Tropp, J.A. CoSaMP: Iterative Signal Recovery from Incomplete and Inaccurate Samples. Commun. ACM 2010, 53, 93–100. [Google Scholar] [CrossRef]
- Blumensath, M.T. Stagewise Weak Gradient Pursuits Part II: Theoretical Properties. IEEE Trans. Signal Process. 2008, 57, 4333–4346. [Google Scholar] [CrossRef] [Green Version]
- Wang, D.; Wu, Y.Y.; Cao, W.H.; Xu, J. Improved Reconstruction Algorithm for Compressed Sensing. Comput. Simul. 2017, 77, 8711–8728. [Google Scholar]
- Dai, W.; Milenkovic, O. Subspace Pursuit for Compressive Sensing Signal Reconstruction. Trans. Inf. Theory 2008, 55, 2230–2249. [Google Scholar] [CrossRef] [Green Version]
- Rubinstein, R.; Bruckstein, A.M.; Elad, M. Dictionaries for Sparse Representation Modeling. Proc. IEEE 2010, 98, 1045–1057. [Google Scholar] [CrossRef]
- Yan, R.Q.; Gao, R.X.; Chen, X.F. Wavelets for fault diagnosis of rotary machines: A review with applications. Signal Process 2014, 96, 1–15. [Google Scholar] [CrossRef]
- Chen, X.F.; Du, Z.H.; Li, J.M.; Li, X.; Zhang, H. Compressed sensing based on dictionary learning for extracting impulse components. Signal Process 2014, 96, 94–109. [Google Scholar] [CrossRef]
- Kang, S.; Mikulovich, A.V.; Mikulovich, V.I. Roller Bearing Vibration Diagnostics Based on Empirical Mode Decomposition and Support Vector Machines. Kontrol Diagn. 2010, 12, 26–35. [Google Scholar]
- Rubinstein, R.; Zibulevsky, M.; Elad, M. Double Sparsity: Learning Sparse Dictionaries for Sparse Signal Approximation. IEEE Trans. Signal Process. 2010, 58, 1553–1564. [Google Scholar] [CrossRef]
- Ophir, B.; Lustig, M.; Elad, M. Multi-Scale Dictionary Learning Using Wavelets. IEEE J. Sel. Top Signal Process. 2011, 5, 1014–1024. [Google Scholar] [CrossRef]
- Skretting, K.; Engan, K. Recursive Least Squares Dictionary Learning Algorithm. IEEE Trans. Signal Process. 2010, 58, 2121–2130. [Google Scholar] [CrossRef]
- Tang, H.F.; Chen, J.; Dong, G.M. Sparse representation based latent components analysis for machinery weak fault detection. Mech. Syst. Signal Process. 2014, 46, 373–388. [Google Scholar] [CrossRef]
- Yang, L.; Yan, Q.; Fu, Y.; Xiao, C. Surface Reconstruction via Fusing Sparse-Sequence of Depth Images. IEEE Trans. Vis. Comput. Graph. 2018, 24, 1190–1203. [Google Scholar] [CrossRef]
- Taubock, G.; Rajbamshi, S.; Balazs, P. Dictionary Learning for Sparse Audio Inpainting. IEEE J. Sel. Top Signal Process. 2021, 15, 104–119. [Google Scholar] [CrossRef]
- Li, W.; Chen, J.; Li, J.Z.; Xia, K. Derivative and enhanced discrete analytic wavelet algorithm for rolling bearing fault diagnosis. Microprocess. Microsyst. 2021, 82, 103872. [Google Scholar] [CrossRef]
- Mushtaq, S.; Islam, M.M.M.; Sohaib, M. Deep Learning Aided Data-Driven Fault Diagnosis of Rotatory Machine: A Comprehensive Review. Energies 2021, 14, 5150. [Google Scholar] [CrossRef]
Publisher’s Note: MDPI stays neutral with regard to jurisdictional claims in published maps and institutional affiliations. |
© 2022 by the authors. Licensee MDPI, Basel, Switzerland. This article is an open access article distributed under the terms and conditions of the Creative Commons Attribution (CC BY) license (https://creativecommons.org/licenses/by/4.0/).