The Effect of Airfoil Camber on Pressure Fluctuation in Bidirectional Axial-Flow Pump
Abstract
:1. Introduction
2. Impeller Design and Three-Dimensional Modeling
2.1. Hydraulic Design of Blade Profile
2.2. Three-Dimensional Modeling
3. Numerical Simulation
3.1. Mesh Generation
3.2. Boundary Condition and Governing Equation
4. Results and Discussion
4.1. Test Validation
4.2. Pump Performance Curves
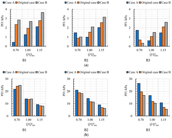
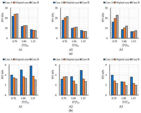
4.3. Distribution of PFI in Impeller and Guide Vanes
4.4. Time- and Frequency-Domain Analyses of Pressure Signal in Impeller
5. Conclusions
- (1)
- The forward highest efficiency, best efficiency point and head declined with a decrease in airfoil camber angle, and the reverse highest efficiency, best efficiency and head increased with a decrease in airfoil camber angle.
- (2)
- Under the forward condition, the area of high PFI on the leading edge and outlet of the impeller increased with the decrease in airfoil camber angle due to the enhanced flow separation. Under the reverse condition, the area of high PFI on the leading edge and inlet of the impeller decreased with the decline in airfoil camber angle, which was caused by the suppressed impeller distortion inflow.
- (3)
- The main frequency at the inlet and outlet of the three kinds of impeller is the blade-passing frequency. Under the forward condition, the main frequency amplitude near the impeller–guide vanes interface increased with a decline in the airfoil camber angle. Under the reverse condition, the main frequency amplitude near the impeller–straight pipe interface and impeller–guide vanes interface decreased with a decrease in airfoil camber angle.
Author Contributions
Funding
Conflicts of Interest
Nomenclature
| (m3/s) | Flow rate |
| (m3/s) | Forward design flow rate |
| Reverse design flow rate | |
| H (m) | Pump head |
| (%) | Pump efficiency |
| Lift coefficient | |
| (m) | Chord length |
| (°) | Camber angle |
| (m/s) | Time-averaged velocity |
| (Pa) | Time-averaged pressure |
| (kg/m3) | Water density |
| Source item | |
| (Pa·s) | Dynamic viscosity |
| 3D | Three-dimensional |
| URANS | Unsteady Reynolds time-averaged Navier–Stokes |
| CFD | Computational fluid dynamics |
| EXP | Experiment |
| PFI | Pressure fluctuation intensity |
| BPF | Blade-passing frequency |
| FFT | Fast Fourier transform |
References
- Xie, R.; Wu, Z.; He, Y.; Tang, F.; Xie, C.; Tu, L. Optimization research on passage of bidirectional shaft tubular pump. Trans. Chin. Soc. Agric. Mach. 2015, 46, 68–74. [Google Scholar]
- Shi, L.; Liu, X.; Tang, F.; Yao, Y.; Xie, R.; Zhang, W. Design optimization and experimental analysis of bidirectional shaft tubular pump device. Trans. Chin. Soc. Agric. Mach. 2016, 47, 85–91. [Google Scholar]
- Mao, N.; Kang, C.; Zhu, Y.; Zhang, W. Performance prediction and internal flow analysis of the reversible axial-flow pump unit. Mach. Electron. 2016, 34, 3–7+12. [Google Scholar]
- Ma, P.F.; Wang, J.; Wang, H.F. Investigation of performances and flow characteristics of two bi-directional pumps with different airfoil blades. Sci. China Technol. Sci. 2018, 61, 1588–1599. [Google Scholar] [CrossRef]
- Luo, X.; Ye, W.; Huang, R.; Wang, Y.; Du, T.; Huang, C. Numerical investigations of the energy performance and pressure fluctuations for a waterjet pump in a non-uniform inflow. Renew. Energy 2020, 153, 1042–1052. [Google Scholar] [CrossRef]
- Cui, B.; Zhang, Y.; Huang, Y. Analysis of the Pressure Pulsation and Vibration in a Low-Specific-Speed Centrifugal Pump. J. Fluids Eng. 2021, 143, 021201. [Google Scholar] [CrossRef]
- Cui, B.; Li, W.; Zhang, C. Effect of blade trailing edge cutting angle on unstable flow and vibration in a centrifugal pump. J. Fluids Eng. 2020, 142, 101203. [Google Scholar] [CrossRef]
- Gao, B.; Zhang, N.; Li, Z.; Ni, D.; Yang, M. Influence of the blade trailing edge profile on the performance and unsteady pressure pulsations in a low specific speed centrifugal pump. J. Fluids Eng. 2016, 138, 051106. [Google Scholar] [CrossRef]
- Lin, Y.; Li, X.; Li, B.; Jia, X.-Q.; Zhu, Z. Influence of Impeller Sinusoidal Tubercle Trailing-Edge on Pressure Pulsation in a Centrifugal Pump at Nominal Flow Rate. J. Fluids Eng. 2021, 143, 091205. [Google Scholar] [CrossRef]
- Zhang, J.; Li, G.; Mao, J.; Yuan, S.; Qu, Y.; Jia, J. Numerical investigation of the effects of splitter blade deflection on the pressure pulsation in a low specific speed centrifugal pump. Proc. Inst. Mech. Eng. Part A J. Power Energy 2020, 234, 420–432. [Google Scholar] [CrossRef]
- Li, W.; Ji, L.; Shi, W.; Yang, Y.; Awais, M.; Wang, Y.; Xu, X. Correlation research of rotor–stator interaction and shafting vibration in a mixed-flow pump. J. Low Freq. Noise Vib. Act. Control. 2020, 39, 72–83. [Google Scholar] [CrossRef]
- Ji, L.; Li, W.; Shi, W.; Zhou, L.; Agarwal, R. Experimental study of pressure pulsation in a mixed-flow pump with different tip clearances based on wavelet analysis. Shock. Vib. 2020, 2020, 9041686. [Google Scholar] [CrossRef]
- Lei, T.; Zhiyi, Y.; Yun, X.; Yabin, L.; Shuliang, C. Role of blade rotational angle on energy performance and pressure fluctuation of a mixed-flow pump. Proc. Inst. Mech. Eng. Part A J. Power Energy 2017, 231, 227–238. [Google Scholar] [CrossRef]
- Yang, F.; Chang, P.; Hu, W.; Mao, B.; Liu, C.; Li, Z. Numerical Study on Pressure Pulsation in a Slanted Axial-Flow Pump Device under Partial Loads. Processes 2021, 9, 1404. [Google Scholar] [CrossRef]
- Yang, F.; Chang, P.; Yuan, Y.; Li, N.; Xie, R.; Zhang, X.; Lin, Z. Analysis of Timing Effect on Flow Field and Pulsation in Vertical Axial Flow Pump. J. Mar. Sci. Eng. 2021, 9, 1429. [Google Scholar] [CrossRef]
- Shi, L.; Yuan, Y.; Jiao, H.; Tang, F.; Cheng, L.; Yang, F.; Jin, Y.; Zhu, J. Numerical investigation and experiment on pressure pulsation characteristics in a full tubular pump. Renew. Energy 2021, 163, 987–1000. [Google Scholar] [CrossRef]
- Ma, P.; Wang, J.; Li, H. Numerical analysis of pressure pulsation for a bidirectional pump under positive and reverse operation. Adv. Mech. Eng. 2014, 6, 730280. [Google Scholar] [CrossRef] [Green Version]
- Ma, P.; Wang, J. An analysis on the flow characteristics of bi-directional axial-flow pump under reverse operation. Proc. Inst. Mech. Eng. Part A J. Power Energy 2017, 231, 239–249. [Google Scholar] [CrossRef]
- Baofeng, T.; Kai, Z.; Jun, H. Investigation on performance of compressor cascade with tubercle leading edge blade. Int. J. Turbo Jet-Engines 2020, 37, 295–303. [Google Scholar] [CrossRef]
- Shi, L.; Fu, L.; Xia, Y.; Tang, F.; Sun, D.; Zhai, L. Influence of Maximum Airfoil Camber Position on Hydraulic Performance of Axial-flow Pump. Trans. Chin. Soc. Agric. Mach. 2018, 49, 148–154. [Google Scholar]
- Medic, G.; Zhang, V.; Wang, G.; Joo, J.; Sharma, O.P. Prediction of transition and losses in compressor cascades using large-eddy simulation. J. Turbomach. 2016, 138, 121001. [Google Scholar] [CrossRef]
- Lieblein, S. Incidence and deviation-angle correlations for compressor cascades. J. Basic Eng. 1960, 82, 575–584. [Google Scholar] [CrossRef]
- Zhang, F.; Appiah, D.; Hong, F.; Zhang, J.; Yuan, S.; Adu-Poku, K.A.; Wei, X. Energy loss evaluation in a side channel pump under different wrapping angles using entropy production method. Int. Commun. Heat Mass Transf. 2020, 113, 104526. [Google Scholar] [CrossRef]
- Shi, L.; Zhu, J.; Tang, F.; Wang, C. Multi-Disciplinary optimization design of axial-flow pump impellers based on the approximation model. Energies 2020, 13, 779. [Google Scholar] [CrossRef] [Green Version]
- Wang, Y.; Zhang, W.; Huang, D.; Jiang, S.; Chen, Y. Numerical Study on Vortex Structures and Loss Characteristics in a Transonic Turbine with Various Squealer Tips. Energies 2022, 15, 1018. [Google Scholar] [CrossRef]
- Mai, T.D.; Ryu, J. Effects of Damaged Rotor Blades on the Aerodynamic Behavior and Heat-Transfer Characteristics of High-Pressure Gas Turbines. Mathematics 2021, 9, 627. [Google Scholar] [CrossRef]
- Liu, Y.; Tan, L. Tip clearance on pressure fluctuation intensity and vortex characteristic of a mixed flow pump as turbine at pump mode. Renew. Energy 2018, 129, 606–615. [Google Scholar] [CrossRef]



























| Airfoil Case | /° | /° | /° | /° | /° |
|---|---|---|---|---|---|
| Case A | 18 | 15 | 12 | 9 | 6 |
| Original case | 7.6 | 5.8 | 3.9 | 2 | 0.2 |
| Case B | 0 | 0 | 0 | 0 | 0 |
| Parameter | Unit | Value |
|---|---|---|
| Forward design flow rate | m3/s | 0.34 |
| Reverse design flow rate | m3/s | 0.28 |
| Rotation speed | r/min | 1350 |
| Number of impeller blades | - | 3 |
| Impeller diameter | mm | 300 |
| Hub diameter of impeller | mm | 120 |
| Tip clearance radius | mm | 0.2 |
| Number of guide vane | - | 5 |
| Hub diameter of guide vanes | mm | 108 |
| Parameters | Value |
|---|---|
| Time step | 0.00037037 s |
| Total time | 0.5333 s |
| Roughness of impeller | 0.0125 mm |
| Roughness of guide vanes | 0.0125 mm |
| Roughness of straight pipe | 0.05 mm |
| Roughness of elbow | 0.05 mm |
| Maximum number of coefficient loops | 10 |
| Residual target of convergence criteria | 0.0001 |
Publisher’s Note: MDPI stays neutral with regard to jurisdictional claims in published maps and institutional affiliations. |
© 2022 by the authors. Licensee MDPI, Basel, Switzerland. This article is an open access article distributed under the terms and conditions of the Creative Commons Attribution (CC BY) license (https://creativecommons.org/licenses/by/4.0/).
Share and Cite
Meng, F.; Li, Y.; Chen, J.; Xu, L.; Li, Y. The Effect of Airfoil Camber on Pressure Fluctuation in Bidirectional Axial-Flow Pump. Processes 2022, 10, 468. https://doi.org/10.3390/pr10030468
Meng F, Li Y, Chen J, Xu L, Li Y. The Effect of Airfoil Camber on Pressure Fluctuation in Bidirectional Axial-Flow Pump. Processes. 2022; 10(3):468. https://doi.org/10.3390/pr10030468
Chicago/Turabian StyleMeng, Fan, Yanjun Li, Jia Chen, Lei Xu, and Yalin Li. 2022. "The Effect of Airfoil Camber on Pressure Fluctuation in Bidirectional Axial-Flow Pump" Processes 10, no. 3: 468. https://doi.org/10.3390/pr10030468
APA StyleMeng, F., Li, Y., Chen, J., Xu, L., & Li, Y. (2022). The Effect of Airfoil Camber on Pressure Fluctuation in Bidirectional Axial-Flow Pump. Processes, 10(3), 468. https://doi.org/10.3390/pr10030468
