Next Article in Journal
Discrete and Continuous Glucose Monitoring Systems: The Point of View of a Patient Affected by Type-1 Diabetes
Previous Article in Journal
Optimization of Grinding Process of Sunflower Meal for Obtaining Protein-Enriched Fractions
 
 
Font Type:
Arial Georgia Verdana
Font Size:
Aa Aa Aa
Line Spacing:
Column Width:
Background:
Article

Modelling of Propylene Polymerization in a Loop Reactor on the Titanium–Magnesium Catalyst Taking into Account the Transformation of Active Centers

by
Galiya Manuyko
1,
Veronika Bronskaya
1,2,
Olga Kharitonova
1,*,
Tatiana Ignashina
1,
Dmitriy Bashkirov
1,
Denis Balzamov
3,
Vladimir Pliushchev
1 and
Ramiliya Shaikhetdinova
1
1
Institute of Mechanical Engineering for Chemical and Petrochemical Industry, Kazan National Research Technological University, 68 Karl Marx Street, 420015 Kazan, Russia
2
Institute of Computational Mathematics and Information Technologies, Kazan Federal University, 18 Kremlyovskaya Street, 420008 Kazan, Russia
3
Department of Energy Supply of Enterprises, Construction of Buildings and Facilities, Kazan State Power Engineering University, 51 Krasnoselskaya Street, 420066 Kazan, Russia
*
Author to whom correspondence should be addressed.
Processes 2022, 10(12), 2705; https://doi.org/10.3390/pr10122705
Submission received: 26 October 2022 / Revised: 23 November 2022 / Accepted: 8 December 2022 / Published: 14 December 2022
(This article belongs to the Section Chemical Processes and Systems)

Abstract

:
The volume of consumed and produced polymers is increasing in the market every day. This is due to the indispensability and convenience of polymers in all industries. The article presents the distinctive features of the use of titanium–magnesium catalysts in the process of propylene polymerization. A mathematical model of the polypropylene polymerization is presented. This model is the basis of creating an expert control complex of the propylene–ethylene block copolymer (PEBC) synthesis process and allowing a quantitative connection to be made between technological parameters of reactors, which allows control of the technological mode with the acceptable accuracy. The experiment catalytic system is microspheric titanium trichloride (MS-TiCl3) and co-catalyst-diethylaluminum chloride. Dependences of different parameters on others are illustrated. The result of the research is as follows: according to the calculations, when increasing the number of blocks in the chain, the average values of molecular weights increase and the polydispersity index decreases; changing the values of the transformation rate coefficients of active centers by the donor k 12 and k 21 allows research into the effect of the donor type.

1. Introduction

Polyolefins are the most important plastics produced in the world. Although polyolefins have the largest market share in the plastics industry, competition in this market is hardened with the regular construction of new plants around the world, prompting old plants to reduce their operating costs in order to remain competitive. The demand for polyolefins is growing, taking into account specific needs. Polyolefin manufacturers that can respond to this demand guarantee a market share with higher profits.
Polypropylene production is the largest petrochemical production at present. The demand for this high-quality and inexpensive polymer is growing, so it is gradually replacing polyethylene. It is indispensable for creating rigid packaging, plates, films, automotive parts, synthetic paper, ropes, carpets, as well as for creating a variety of domestic equipment. At the beginning of the twenty-first century, the production of polypropylene occupied the second place in the polymer industry. Taking into account the demands of various industries, it can be concluded that in the near future the trend of large-scale production of propylene and ethylene will continue.
Currently, the bulk of polypropylene in the world is produced using titanium-containing Ziegler–Natta catalysts. Titanium–magnesium catalysts of the IV generation provide a polymer yield during the polymerization in a liquid monomer of 30–60 kg per 1 kg of catalyst with polypropylene isotacticity of more than 96 wt. %. However, in Russia today there is no industrial production of catalysts of the IV generation. All domestic polypropylene producers traditionally use imported catalysts. Within the framework of import substitution, the task is to produce and use domestic olefin polymerization catalysts.
Usually, the production of polypropylene is carried out using mathematical models of the production process [1], presented in the form of simulators. Scientific research continues on modeling olefin polymerization reactions using domestic titanium–magnesium catalysts. In addition to well-founded reactor models, reliable kinetic parameters are needed for the correct use of these models and simulators. If reliable estimates of kinetic parameters are not available, engineers are forced to rely on rough assumptions, which can lead to undesirable uncertainty when making decisions in the production process.
Polymerization of propylene in the liquid phase is one of the most important industrial processes in the production of polypropylene. This process in liquid monomer accounts for about 35% of the total polypropylene production.
Polymerization process: a catalyst (titanium–magnesium Ziegler–Natta catalyst of the fourth generation), pre-activated with alkyl aluminum and treated with an external electron donor, is continuously fed into the first reactor together with a monomer and a chain transfer agent (hydrogen). The flow coming out of the first reactor, after mixing with the side feed flow containing a monomer and a chain transfer agent, is fed to the second loop reactor. The flow coming out of the second reactor is processed to separate the solid-phase polymer from the unreacted monomer. The solid phase of the polymer particles is deactivated by steam and then extruded. In the case of heterogeneous (impact-resistant) copolymers, polymerization is continued in a gas-phase reactor, where the addition of ethylene-propylene rubber provides better impact resistance. The loop reactor operates completely filled with the suspension. The axial pump located in the lower part of the reactor promotes high-speed (5–7 m/s) recirculation of the reaction mixture. The resulting turbulent flow ensures efficient heat transfer between the cooling water of the jacket and the reaction medium.
Although the process can operate with a single loop reactor, it is usually designed using two loop reactors. One or two additional gas-phase reactors can be placed in series to produce heterogeneous copolymers. The two-loop reactor system has the ability to produce bimodal polymers with enhanced mechanical properties.
In the works of Alshaiban A. et al. [2], the kinetic scheme of the polymerization process using Ziegler–Natta catalysts is most fully presented. It can be concluded that when creating a model of the industrial polymerization process of propylene on a titanium–magnesium catalyst, a simplified kinetics model is usually used.

2. Features of the Process of Polymerization of Propylene on Titanium–Magnesium Catalysts

Despite the fact that heterogeneous Ziegler–Natta catalysts have been used in industry for almost half a century, understanding the differences between the types of active centers that are presented in heterogeneous titanium–magnesium catalysts is a difficult task [3,4,5,6]. Due to their interaction with co-catalysts, internal and external donors, resistance to the transfer of mass and heat between and inside the particles during the polymerization, the effect of hydrogen on the polymerization rate, as well as sensitivity to poisons because of this complexity, it is difficult to obtain polyolefins with a controlled microstructure using titanium–magnesium catalysts [7,8,9].
When the same heterogeneous Ziegler–Natta catalyst is combined with various external donors, it can produce polypropylene with different average molecular weights, polydispersity and tacticity under the same polymerization conditions [10,11,12]. For example, the addition of an external silane donor, such as dicyclopentyldimethoxysilane, can double the average molecular weight of polypropylene obtained using TiCl4/dialkyl phthalate/MgCl2 [13]. Various internal/external donor systems also affect the stereoregularity of polypropylene [14,15,16].
Hydrogen increases the polymerization rate of propylene when using highly active catalysts based on TiCl4 [17,18,19]. Studies with TiCl4/dialkyl phthalate/MgCl2 have shown a significant increase in the polymerization rate with the addition of hydrogen during polymerization [20]. Busico et al. [21] explained this effect of increasing the rate by releasing 2,1-terminal dormant centers, which is further confirmed by analyses of the polymer terminal group [22,23]. In publications [24,25], it is also noted that hydrogen increases the tacticity of polypropylene.
Temperature is an important variable affecting the polymerization rate of propylene. The polymerization rate with most TiCl4/MgCl2 catalysts is the highest, from 60 to 70 °C, starting to decrease above 70 °C [26,27,28]. The polymerization temperature also affects the stereoregularity of polypropylene [29]. Polypropylene chains can be classified according to their crystallizability into three main fractions: low, medium and high-crystalline. Kissin et al. It has been shown that when the polymerization temperature increases, the fraction with a high degree of crystallinity increases, but the average number of mmmm pentads for the entire polymer sample decreases [30,31], which reflects the complex nature of the active centers of heterogeneous Ziegler–Natta catalysts.
The article [32,33] quantified the effect of an electron and hydrogen donor on the kinetics of propylene polymerization for a fourth-generation commercial Ziegler–Natta catalyst modified by an external electron donor. A quantitative calculation model has been developed, taking into account the influence of hydrogen and an external electron donor on the polymerization rate of propylene for this type of catalytic system (TiCl4/MgCI2 with a Ti content of 1.7% by weight, the co-catalyst is triethylaluminium, the electron donor is dicyclopentyldimethoxysilane).
Despite the fact that heterogeneous Ziegler–Natta catalysts have been used in industry for almost half a century, understanding the differences between the types of active centers that are in heterogeneous titanium–magnesium catalysts is a difficult task. That is, because of this complexity, it is difficult to obtain polyolefins with a controlled microstructure using titanium–magnesium catalysts [32].
When the heterogeneous Ziegler–Natta catalyst is combined with different external donors, it can produce polypropylenes with different average molecular weights, polydispersity and tacticity under the same polymerization conditions [33]. For example, the addition of an external silane donor such as dicyclopentyldimethoxysilane can double the weight average molecular weight of polypropylene produced with TiCl4/dialkyl phthalate/MgCl2 [16]. Various internal/external donor systems also affect the stereoregularity of polypropylene [17].
Hydrogen increases the rate of propylene polymerization when highly active catalysts based on TiCl4 are used [18,19]. Researches about TiCl4/dialkyl phthalate/MgCl2 have shown a significant increase in the polymerization rate when hydrogen is added during the polymerization. Busico et al. [20] explained this rate increase effect by releasing the 2,1-terminal dormant centers, which was additionally supported by polymer end group analyses. It was also noted that hydrogen increases the tacticity of polypropylene [2,21,22].
Temperature is an important parameter affecting the rate of polymerization of propylene. The polymerization rate with TiCl4/MgCl2 catalysts has the highest values from 60 to 70 °C, starting to decrease above 70 °C [23,24,25]. The polymerization temperature also affects the stereoregularity of polypropylene. Kissin et al. [26] showed that when the polymerization temperature is increased, the fraction yield with a high degree of crystallinity increases, but the average number of pentads for the entire polymer sample decreases, which reflects the complex nature of the active sites of heterogeneous Ziegler–Natta catalysts.
Keii et al. [23] presented the influence of an electron donor and hydrogen on the kinetics of propylene polymerization for a commercial fourth-generation Ziegler–Natta catalyst modified with an external electron donor. A quantitative calculation model has been developed, taking into account the effect of hydrogen and an external electron donor on the propylene polymerization rate for a given type of catalytic system (TiCl4/MgCI2 with a Ti content of 1.7 wt %, triethylaluminum as a co-catalyst, and dicyclopentyldimethoxysilane as an electron donor).
The highest activity values in the polymerization system are observed for temperatures of 70–90 °C, monomer concentration of 403 g/L in the presence of hydrogen (0.15 mol under the studied conditions). Under the specified polymerization conditions, polypropylene powder is characterized by optimal characteristics in terms of bulk density and morphology, i.e., high value of the average particle size and the absence of a dusty fraction. The isotacticity of PP slightly increases with increasing temperature, hydrogen concentration and the duration of the polymerization process. As for the molecular characteristics of the resulting PP, a decrease in the temperature and hydrogen content, an increase in the duration of polymerization and monomer content leads to an increase in average molecular weights and decrease the melt flow index. The molecular weight distribution (MWD) of PP samples slightly narrows with increasing temperature, duration of process and hydrogen concentration.
The results obtained in this work make it possible to choose the optimal conditions for the synthesis of propylene in liquid monomer for the catalytic system under study, and the identified process parameters effectively control the molecular and rheological characteristics of PP.
Ti-Mg catalysts (TMC) are of great importance in the production of polypropylene. Their typical composition is as follows: TiCl4/D1/MgCl2-AlEt3/D2, where the electron donor compounds D1 (internal donor) and D2 (external donor) provide high stereospecificity of the catalytic system.
Tsutsui T. et al. [21] studied the chain transfer reaction with hydrogen during the polymerization of propylene on Ti-Mg catalysts of the TiCl4/D1/MgCl2-AlEt3/D2 composition in a wide range of hydrogen concentrations. A two-step reaction mechanism was proposed. This mechanism takes into account the fractional order of the reaction with respect to the hydrogen concentration. The reaction constants for the chain transfer reaction with hydrogen are determined for TMC with various donors: 1,3-diester or dibutyl phthalate as D1 and tetra-ethoxysilane or dicyclopentyldimethoxysilane as D2. In the polymerization of propylene with the TMC, the length of the polymer chain is mainly determined by the ratio of propylene and hydrogen concentrations, since the rate constants of chain propagation and transfer are comparable. The rate constant of chain transfer with hydrogen in the polymerization of ethylene is much lower, and higher concentrations of hydrogen are required to achieve the same degree of polymerization.
Despite the fact that the model is idealized and ignores the presence of different types of centers and mass transfer resistances inside the particles, it is able to estimate the apparent kinetic constants of polymerization, which adequately describe the kinetics of polymerization, and it can be included in the process simulator for better prediction of polymer properties, and used to develop more economical transitions between brands.
The need to create a mathematical model of the process consists in the high demand for obtaining high-quality plastic with specified physical and mechanical properties (melt flow rate, Izod impact strength, elastic modulus, frost resistance). Consequently, it is reasonable, on the basis of mathematical modelling of the process, to analyse the kinetic laws and molecular weights of the resulting polymer with the aim of further practical application, in particular, to identify a rational thermal regime for conducting the copolymerization process. A mathematical model of the copolymerization of propylene and ethylene in a reactor with a fluidized bed was created, taking into account the main reactions, the identification of the kinetic constants of the reaction rates, numerical experiments based on the obtained models of chemical kinetics. Research has been carried out and mathematical models have been developed for the chemical kinetics of propylene homopolymerization processes in a liquid monomer medium on titanium–magnesium catalysts.

3. Kinetic Scheme of the Polymerization Process

Experimental data show that the introduction of hydrogen makes it possible to increase the activity by nearly 40%. This increase in activity is the result of the transition of centers that were deactivated by regioirregular insertion into an active state. After regular insertion of propylene through the Ti–C bond the centers remain in the active state, while upon regioirregular insertion, the active centers pass into an inactive “dormant” state due to steric hindrance between propylene and the methyl group of the growing end of the chain at the titanium atom. After the chain transfer with such centers, hydrogen forms Ti–H bonds, which form active Ti–C bonds upon subsequent insertion of propylene. As a result, in the presence of hydrogen, the center passes from the dormant state to the active state (Figure 1).
An increase in the hydrogen concentration in the system leads to the expected decrease in the molecular weight of polyplopylene and to an increase in the MFI (melt flow index) values due to the chain transfer reaction with hydrogen.
Table 1 presents the mechanism of the polymerization reaction of polypropylene on a titanium–magnesium catalyst.
The following notation is used:
  • P j , r —a living chain of polymerization degree r with an active centre of type j;
  • D j , r —a dead chain of polymerization degree r synthesized on an active centre of type j;
  • C j —a potential active center of type j;
  • A—alkyl aluminum co-catalyst;
  • Don—electron donor.
Speed constants are as follows:
  • k aj —activation;
  • k pj —growth;
  • k Hj —transfer of the chain to hydrogen;
  • k mj —transfer of the chain to the monomer;
  • k dj —deactivation;
  • k 21 , k 12 —transformations of active centers.
The kinetic scheme does not explicitly identify the initiation stage, since calculations usually consider the initiation rate constant to be equal to the growth rate constant, so these stages are combined.
The mathematical model being compiled includes a stage of reversible transformation of a stereospecific active centre of the first type into a non-specific active centre of the second type in the presence of an electron donor (Don). When the type of centre changes from 2 to 1 (coordination with the electron donor molecule) or from 1 to 2 (when the electron donor molecule is released), the length of the polymer chain does not change (r remains unchanged), but the number of stereo blocks increases by 1 (i + 1).
Due to the complexity of describing heterogeneous systems, due to the need to take into account many parameters, the mathematical model for describing the ethylene polymerization process will be supplemented by a number of equations taking into account the effect of the growth of a polymer particle on the nature of the flow structure, the effect of temperature on the growth and transfer constants of the chain, and a change in catalyst activity.
Molar balances of reagents entering the reactor are as follows:
dC 1 dt = V ˙ f V R C 1 f ( k a 1 A + s ) C 1 ,
s = V ˙ o V R ,
dC 2 dt = V ˙ f V R C 2 f ( k a 2 A + s ) C 2 ,
dM dt = V ˙ f V R M f M ( P 1 , 0 k p 1 + P 2 , 0 k p 2 + Y I 0 ( k p 1 + k m 1 ) + Y II 0 ( k p 2 + k m 2 ) + s ) ,
dH dt = V ˙ f V R H f ( Y I 0 k H 1 + Y II 0 k H 2 + s ) H ,
dDon dt = V ˙ f V R Don f + k 12 ( P 1 , 0 + Y I 0 ) ( k 21 ( P 2 , 0 + Y II 0 ) + s ) Don ,
Molar balances of vacant AC of two types are as follows:
dP 1 , 0 dt =   k a 1 AC 1 + k 21 DonP 2 , 0 + k H 1 HY I 0 ( k p 1 M + k 12 + k d 1 + s ) P 1 , 0 ,
dP 2 , 0 dt =   k a 2 AC 2 + k 12 P 1 , 0 + k H 2 HY II 0 ( k p 2 M + k 21 Don + k d 2 + s ) P 2 , 0 .
To reduce the number of equations included in the polymerization process model, the method of moments was used. The moments of the distributions of living and dead chains were entirely determined by the formulas:
Y j n = r = 1 r n P j , r j = 1 , 2
X j n = r = 1 r n D j , r
where n is the order of moments, j is the type of active centres.
Equations of the moments of the distribution of live chains with two types of AC are as follows:
dY I 0 dt = k p 1 MP 1 , 0 + k 21 DonY II 0 ( k 12 + k H 1 H + k d 1 + s )   Y I 0
dY I 1 dt = k m 1 MY I 0 + k 21 DonY II 1 + k p 1 M ( Y I 0 + P 1 , 0 ) ( k 12 + k H 1 H + k m 1 M + k d 1 + s ) Y I 1
dY I 2 dt = k m 1 MY I 0 + k 21 DonY II 2 + k p 1 M ( 2 Y I 1 + Y I 0 + P 1 , 0 ) ( k 12 + k H 1 H + k m 1 M + k d 1 + s ) Y I 2
dY II 0 dt = k p 2 MP 2 , 0 + k 12 Y I 0 ( k 21 Don + k H 2 H + k d 2 + s ) Y II 0 ,
dY II 1 dt = k m 2 MY II 0 + k 12 Y I 1 + k p 2 M ( Y II 0 + P 2 , 0 ) ( k 21 Don + k H 2 H + k m 2 M + k d 2 + s ) Y II 1 ,
dY II 2 dt = k m 2 MY II 0 + k 12 Y I 2 + k p 2 M ( 2 Y II 1 + Y II 0 + P 2 , 0 ) ( k 21 Don + k H 2 H + k m 2 M + k d 2 + s ) Y II 2 ,
Equations of the moments of the distribution of dead chains of two types are as follows:
dX I n dt = (   k H 1 H + k m 1 M + k d 1 ) Y I n sX I n ,   n = 0 , 1 , 2 ,
dX II n dt = (   k H 2 H + k m 2 M + k d 2 ) Y II n sX II n ,   n = 0 , 1 , 2 ,
Formulas for calculating average molecular weights and polydispersity coefficient are as follows:
M n = m m X I 1 + Y I 1 + X II 1 + Y II 1 X I 0 + Y I 0 + X II 0 + Y II 0 ,
M w = m m X I 2 + Y I 2 + X II 2 + Y II 2 X I 1 + Y I 1 + X II 1 + Y II 1 ,
K wn = M n / M w ,
where m m - the molecular weight of the monomer link ( m m = 42 g/mol).
Equations of the moments of the distribution of isotactic chains are as follows:
dY I , 1 0 dt = k p 1 P 1 , 0 M + k m 1 MY I 0 ( k 12 + k H 1 H + k m 1 M + k d 1 + s ) Y I , 1 0 ,
dY I , 1 1 dt = k p 1 M ( Y I , 1 0 + P 1 , 0 ) + k m 1 MY I 0 ( k 12 + k H 1 H + k m 1 M + k d 1 + s ) Y I , 1 1 ,
dY I , 1 2 dt = k p 1 M ( 2 Y I , 1 1 + Y I , 1 0 + P 1 , 0 ) + k m 1 MY I 0 ( k 12 + k H 1 H + k m 1 M + k d 1 + s ) Y I , 1 2
dX I , 1 n dt = (   k H 1 H + k m 1 M + k d 1 ) Y I , 1 n sX I , 1 n ,   n = 0 , 1 , 2 .
The molar and mass fractions of purely isotactic chains are calculated by the formulas:
Iso n = X I , 1 0 + Y I , 1 0 X I 0 + Y I 0 + X II 0 + Y II 0 ,
Iso w = X I , 1 1 + Y I , 1 1 X I 1 + Y I 1 + X II 1 + Y II 1 ,
Equations of the moments of the distribution of atactic chains are as follows:
dY II , 1 0 dt = k p 2 P 2 , 0 M + k m 2 MY II 0 ( k 21 Don + k H 2 H + k m 2 M + k d 2 + s ) Y II , 1 0
dY II , 1 1 dt = k p 2 M ( Y II , 1 0 + P 2 , 0 ) + k m 2 MY II 0 ( k 21 Don + k H 2 H + k m 2 M + k d 2 + s ) Y II , 1 1
dY II , 1 2 dt = k p 2 M ( 2 Y II , 1 1 + Y II , 1 0 + P 2 , 0 ) + k m 2 MY II 0 ( k 21 Don + k H 2 H + k m 2 M + k d 2 + s ) Y II , 1 2
dX II , 1 n dt = (   k H 2 H + k m 2 M + k d 2 ) Y II , 1 n sX II , 1 n ,   n = 0 , 1 , 2 .
The molar and mass fractions of purely atactic chains are calculated by the formulas:
Ata n = X II , 1 0 + Y II , 1 0 X I 0 + Y I 0 + X II 0 + Y II 0 ,
Ata w = X II , 1 1 + Y II , 1 1 X I 1 + Y I 1 + X II 1 + Y II 1 ,
Equations of the moments of the distribution of stereoblock chains are as follows:
dY I , i 0 dt = k 21 DonY II , i 1 0 ( k 12 + k H 1 H + k m 1 M + k d 1 + s ) Y I , i 0 , i = 2 , 3  
dY I , i 1 dt =   k p 1 MY I , i 0 +   k 21 DonY II , i 1 1 ( k 12 + k H 1 H + k m 1 M + k d 1 + s ) Y I , i 1 ,
dY I , i 2 dt =   k p 1 M ( 2 Y I , i 1 + Y I , i 0 ) +   k 21 DonY II , i 1 1 ( k 12 + k H 1 H + k m 1 M + k d 1 + s ) Y I , i 1
dX I , i n dt = (   k H 1 H + k m 1 M + k d 1 ) Y I , i n sX I , i n , n = 0 , 1 , 2 , i = 2 , 3
dY II , i 0 dt =   k 12 Y I , i 1 0 ( k 21 Don + k H 2 H + k m 2 M + k d 2 + s ) Y II , i 0 ,
dY II , i 1 dt = k p 2 MY II , i 0 + k 12 Y I , i 1 0 ( k 21 Don + k H 2 H + k m 2 M + k d 2 + s ) Y II , i 1 ,
dY II , i 2 dt = k p 2 M ( 2 Y II , i 1 + Y II , i 0   ) + k 12 Y I , i 1 0 ( k 21 Don + k H 2 H + k m 2 M + k d 2 + s ) Y II , i 2
dX II , i n dt = (   k H 2 H + k m 2 M + k d 2 ) Y II , i n sX II , i n , n = 0 , 1 , 2 , i = 2 , 3
The molar and mass fractions of block chains are calculated using the formulas:
block n = 1 Iso n Ata n , block w = 1 Iso w Ata w
According to the compiled model (1)–(42), calculations were carried out for the following basic values of the model parameters:
T = 70 °C, kp1 = 6316 L/(mol min), kp2 = 631 L/(mol min),
ka1 = 2829 L/(mol min), ka2 = 2829 L/(mol min), km1 = 0 L/(mol min),
km2 = 0 L/(mol min), k21 = 150 L/(mol min), k12 = 0.01 min−1,
kH1 = 110 L/(mol min), kH2 = 110 L/(mol min), kd1 = 0.023 min−1,
kd2 = 0.023 min−1, V ˙ f V R C 1 f C ^ 1 = 0.000021 mol/(L min), C ^ 2 = 0.000021 mol/(L min), M ^ = 1.96 mol/(L min), H ^   = 0.00144 mol/(L min), A ^   = 0.000042 mol/(L min), Don ^ = 0.0000173 mol/(L min).
The concentration and type of donor play an important role in the polymerization of propylene, modeling their effect on the properties of PP is important for controlling transitions between brands to ensure that the required properties of the polymer are achieved in a short transition time. Controlling the concentration of electron donors is the most common way to control the tacticity of polypropylene synthesized at TMC.
Figure 2 and Figure 3 show the effect of the initial electron donor concentration on the average molecular weights Mn, Mw and the polydispersity coefficient Kwn.
The effect of changing the donor concentration is shown in Figure 4, Figure 5, Figure 6, Figure 7, Figure 8, Figure 9 and Figure 10.
It can be seen from calculations based on the model that in the absence of an electron donor, stereoblock chains are not formed, only purely isotactic or atactic chains are synthesized. When an electron donor is introduced into the reactor, a significant part of the second type centres (non-specific) is transformed into the first type (isospecific) centres, reducing the proportion of atactic polypropylene, followed by an increase in the proportion of isotactic and stereoblock chains, as is shown in Figure 6, Figure 8, Figure 9 and Figure 10. According to the calculations, most stereoblock chains are diblocks with a very small proportion of multiblock chains (Figure 10).
Figure 6 shows that the proportion of purely isotactic chains increases with increasing donor concentration. At the same time, the average molecular weight of isotactic chains decreases, which can be explained by the action of the donor as a pseudo-chain transfer agent, reducing the average length of the stereoblock.
When the initial donor concentration is reduced by half compared to the base value, the mass fraction of atactic polypropylene increases, and if the donor concentration doubles, the mass fraction of atactic polypropylene decreases. The mass fraction of stereoblock chains is also affected by the concentration of the electron donor, but diblock chains continue to be the dominant population among stereoblock chains for all calculations, according to the model.
Calculations show that the average values of molecular weights increase, and the polydispersity index decreases with an increase in the number of blocks in the chain. Both trends are expected, since longer chains will have a higher probability of the active centre transformation stage than shorter chains. The effect on Kwn is a simple consequence of sampling a narrow fraction of polymers: single-block chains follow Flory statistics with Kwn = 2, and chains with two, three or more blocks will have narrower MWDs, since they are selected from a narrower fraction with increasing molecular weight.
The influence of the donor type can also be studied by changing the values of the coefficients of the rate of transformation of active centers by the donor k12 and k21. The use of the best donors reduces the mass fraction of stereo block chains, since the transformation of isotactic centers into atactic centers is less likely during the lifetime of the polypropylene chain.
Similarly, the effect of changes in hydrogen concentration on the microstructure of polypropylene is studied. The molecular weight decreases with increasing hydrogen concentration. A change in the hydrogen concentration also affects the proportion of stereoblock chains: with an increase in the hydrogen concentration, polymer chains become shorter on average and, consequently, the probability of transformation of active centers occurring during the growth time of polymer chains decreases. Therefore, when the concentration of hydrogen increases, the proportion of stereoblock chains decreases.

4. Conclusions

To obtain stereoregular polypropylene with a high index of isotactic polypropylene (iPP), it is essential to carry out the polymerization by the ion-coordination mechanism on the Ziegler–Natta catalysts. The most effective catalysts are TiCl3-Al(C2H5)3 and TiCl3-Al(C2H5)2Cl.
Linear polymer can be formed both in a homogeneous and in a heterogeneous phase during the propylene polymerization by unclaimed isomers. This feature is important for PP when using a catalyst on a solid surface. Additionally, the size of the Ti ions and the difference between them are significant.
Determination of the monomer sorption rate on the catalyst surface results in the formation of a π-complex of the monomer with the TiCl3 surface and, as a result, the orientation of the monomer molecules before the incorporation into the catalytic complex. • TiCl3 exists in the form of various crystalline modifications, which differ from each other by different alternation in the crystal lattice of Ti and Cl, therefore, it has different accessibility of the Ti surface for the sorption of propylene molecules.
An increase in the pressure at T = const leads to an increase in the rate of polymerization. However, the solubility of propylene in the solvent will sharply increase with a high load and the consumption of propylene, which has not entered into thorough polymerization and processing of solvent vapors, will increase. The optimum pressure of the process is from 0.5–1.2 MPa.
When increasing the polymerization time, the polymer yield will increase and it results in worsening heat transfer and the solubility of PP in the solvent. The optimal duration of the process is from 4 to 6 h.
In practice, the molecular weight of the PP is regulated by the consumption of the hydrogen, by the electrolysis of H2O. Evaluation of efficiency of the chain length is carried out according to the melt flow index (MFI). The speed of the polymerization process increases by 30–40% when changing a hydrogen concentration of 0.5 to 2.5%. This can be explained by the maximum saturation of the TiCl3 surface and the formation of active centers.
Due to the presence of more than one type of AC in heterogeneous titanium–magnesium catalysts used in industry for the PP polymerization, the model can be expanded to include several types of centers. Different types of AC will be characterized by different kinetic parameters of polymerization, which can be estimated by deconvolution of experimental MWD.
Modeling of PP polymerization at TMC develops in two directions: the kinetics of the process is detailed and the imperfection of mixing in the polymerizer reactor is taken into account.

Author Contributions

Conceptualization, V.B.; formal analysis, G.M. and T.I.; resources, D.B. (Denis Balzamov); data curation, D.B. (Dmitriy Bashkirov); writing—review and editing, O.K.; visualization, R.S. and V.P. All authors have read and agreed to the published version of the manuscript.

Funding

This research received no external funding.

Informed Consent Statement

Not applicable.

Conflicts of Interest

The authors declare no conflict of interest.

References

  1. De Lucca, E.A.; Filho, R.M.; Melo, P.A.; Pinto, J.C. Modeling and Simulation of Liquid Phase Propylene Polymerizations Industrial Loop Reactors. Macromol. Symp. 2008, 271, 8–14. [Google Scholar] [CrossRef]
  2. Alshaiban, A.; Soares, J.B.P. Propylene Polymerization using Ziegler-Natta Catalysts, Polymerization Kinetics and Mathematical Modeling, Study Polymer Characterization Study. Macromol. React. Eng. 2011, 96, 1–5. [Google Scholar]
  3. Dutra, J.C.S.; Feital, T.S.; Skogestad, S.; Lima, E.L.; Pinto, J.C. Control of Bulk Propylene Polymerizations Operated with Multiple Catalysts through Controller Reconfiguration. Macromol. React. Eng. 2014, 8, 201–216. [Google Scholar] [CrossRef]
  4. Reginato, A.S.; Zacca, J.J.; Secchi, A.R. Modeling and Simulation of Propylene Polymerization in Nonideal Loop Reactors. AIChE J. 2003, 49, 2642–2654. [Google Scholar] [CrossRef]
  5. Neto, A.G.M.; Pinto, J.C. Steady-state modeling of slurry and bulk propylene polymerizations. Chem. Eng. Sci. 2001, 56, 4043–4057. [Google Scholar] [CrossRef]
  6. Alshaiban, A.; Soares, J.B.P. Effect of Hydrogen and External Donor on Propylene Polymerization Kinetics with a 4th-Generation Zigler-Natta Catalyst. Macromol. React. Eng. 2012, 6, 265–274. [Google Scholar] [CrossRef]
  7. Jingbo, J.; Yongmao, X.; Jie, Z. A Steady State Model for Propylene Polymerization in an Industrial Loop Reactor and Its Application in Melt Index Predication. In Proceedings of the 2002 IEEE International Conference on Control Applications, Glasgow, UK, 18–20 September 2002. [Google Scholar]
  8. Matos, V.; Mattos Neto, A.G.; Nele, M.; Pinto, J.C. Method for Quantitative Evaluation of Kinetic Constants in Olefin Polymerizations. II. Kinetic Study of a High-Activity Ziegler–Natta Catalyst Used for Bulk Propylene Polymerizations. J. Appl. Polym. Sci. 2002, 86, 3226–3245. [Google Scholar] [CrossRef]
  9. Varshouee, G.H.; Heydarinasab, A.; Vaziri, A.; Roozbahani, B. Hydrogen Effect Modeling on Ziegler-Natta Catalyst and Final Product Properties in Propylene Polymerization. Bull. Chem. Soc. Ethiop. 2018, 32, 371–386. [Google Scholar] [CrossRef]
  10. Shin, H.K.; Seung, W.B.; Jae, C.L.; Seong, U.H.; Min, O. Dynamic simulation of liquid polymerization reactors in Sheripol process for polypropylene. J. Ind. Eng. Chem. 2016, 33, 298–306. [Google Scholar]
  11. Melo, P.A.; Pinto, J.C.; Biscaia, E.C. Characterization of Residedencr Time Distributions in loop Reactors. Chem. Eng. Sci. 2001, 56, 2701–2713. [Google Scholar] [CrossRef]
  12. Pliushchev, V.V.; Kharitonova, O.S.; Nazarova, M.A.; Bronskaya, V.V.; Manuyko, G.V.; Shaikhetdinova, R.S.; Aminova, G.A.; Balzamov, D.S. Heat transfer efficiency in PEBC synthesis. IOP Conf. Ser. Mater. Sci. Eng. 2020, 791, 012071. [Google Scholar] [CrossRef]
  13. Ignashina, T.V.; Manuyko, G.V.; Bronskaya, V.V.; Kharitonova, O.S.; Balzamov, D.S. Calculation of permissible monomer conversion in cascade polymerizers during the synthesis of general-purpose rubbers. IOP Conf. Ser. Mater. Sci. Eng. 2020, 734, 012203. [Google Scholar] [CrossRef]
  14. Balzamov, D.S.; Yu Balzamova, E.; Bronskaya, V.V.; Ignashina, T.V.; Kharitonova, O.S. Analysis of the possibility of modernization of the state district power station by building the combined cycle plant. J. Phys. Conf. Ser. 2020, 1515, 042100. [Google Scholar] [CrossRef]
  15. Chadwick, J.C.; Morini, G.; Balbontin, G.; Camurati, I.; Heere, J.J.R.; Mingozzi, I.; Testoni, F. State of various stereoregulating electron-donating compounds in titanium-magnesium catalysts for propylene polymerization: A diffuse reflectance IR spectroscopic study. Macromol. Chem. Phys. J. 2001, 202, 1995–2002. [Google Scholar] [CrossRef]
  16. Kissin, Y.V.; Rishina, L.A. Kinetics of propylene and ethylene polymerization reactions with heterogeneous ziegler-natta catalysts: Recent results. Polym. Sci. Part A Polym. Phys. 2008, 1101, 50–53. [Google Scholar] [CrossRef]
  17. Guastallla, G.; Giannini, U. The influence of hydrogen on the polymerization of propylene and ethylene with an MgCl2 supported catalyst. Macromol. Chem. Rapid Commun. 1997, 519, 519–527. [Google Scholar]
  18. Shaffer, W.K.; Ray, W.H. Polymerization of Olefins through Heterogeneous Catalysis. Appl. J. Polym. Sci. 1997, 1053, 60–65. [Google Scholar]
  19. Pater, J.T.M.; Weickert, G.; Van Swaaij, W.P.M. Polymerization of liquid propylene with a 4th generation Ziegler–Natta catalyst—Influence of temperature, hydrogen and monomer concentration and prepolymerization method on polymerization kinetics. Chem. Eng. Sci. 2002, 57, 3461–3477. [Google Scholar] [CrossRef]
  20. Busico, V.; Cipullo, R.; Corradini, P. Hydrooligomerization of propene: A “fingerprint” of a Ziegler-Natta catalyst, 1. Preliminary results for MgCl2-supported systems. Die Makromol. Chem. Rapid Commun. 1992, 13, 15–20. [Google Scholar] [CrossRef]
  21. Tsutsui, T.; Kashiwa, N.; Mizuno, A. Effect of hydrogen on propene polymerization with ethylenebis(1-indenyl)zirconium dichloride and methylalumoxane catalyst system. Makromol. Chem. Rapid Commun. 1990, 11, 565–570. [Google Scholar] [CrossRef]
  22. Chadwick, J.C.; Meedema, A.; Sudeijer, O. Hydrogen activation in propene polymerization with MgCl2-supported Ziegler-Natta catalysts: The effect of the external donor. Macromol. Chem. Phys. 1994, 167, 37–41. [Google Scholar] [CrossRef]
  23. Keii, T.; Suzuki, E.; Tamura, M.; Murata, M.; Doi, Y. Propene polymerization with a magnesium chloride-supported ziegler catalyst, 1. Principal kinetics. Die Makromol. Chem. 1982, 2285, 183. [Google Scholar]
  24. Spitz, R.; Lacombe, J.L.; Guyot, A. Linear Low Density Polyethylene Prepared in Gas Phase with Bisupported SiO2-MgCl2 Ziegler-Natta Catalysts. Polym. Sci. Part A Polym. Chem. 1984, 2641, 14–22. [Google Scholar]
  25. Albizzati, E.; Giannini, U.; Morini, G.; Galimberti, M.; Barino, L.; Scordamaglia, R. Recent advances in propylene polymerization with MgCl2 supported catalysts. Macromol. Symp. 1995, 73, 80–89. [Google Scholar] [CrossRef]
  26. Kissin, Y.V. Alkene Polymerization Reactions with Transition Metal Catalysts; Elsevier: Amsterdam, The Netherlands, 2008; pp. 45–66. [Google Scholar]
  27. Zhang, H.-X.; Lee, Y.-J.; Park, J.-R.; Lee, D.-H.; Yoon, K.-B. Control of molecular weight distribution for polypropylene obtained by commercial ziegler-natta catalyst: Effect of electron donor. Macromol. Res. 2011, 19, 622–628. [Google Scholar]
  28. Keii, T.; Soga, K.; Saiki, N. A kinetic study of ziegler-natta propylene polymerization. J. Polym. Sci. Part C Polym. Symp. 2007, 16, 1507–1519. [Google Scholar] [CrossRef]
  29. Hong, D.Y. Polypropylene-Principle, Process and Technology; China Petrochemical Press: Beijing, China, 2002. (In Chinese) [Google Scholar]
  30. Zheng, Z.W.; Shi, D.P.; Su, P.L.; Luo, Z.H.; Li, X.J. Steady-state and dynamic modeling of Basell multi-reactor olefin polymerization process. Ind. Eng. Chem. Res. 2011, 50, 322–331. [Google Scholar] [CrossRef]
  31. Urdampilleta, I.; Gonzalez, A.; Iruin, J.J.; de la Cal, J.C.; Asua, J.M. Origins of product heterogeneity in the Spheripol high impact polypropylene process. Ind. Eng. Chem. Res. 2006, 45, 4178–4187. [Google Scholar] [CrossRef]
  32. Hatzantonis, H.; Goulas, A.; Kiparissides, C. A comprehensive model for the prediction of particle-size distribution in catalyzed olefin polymerization fluidized-bed reactors. Chem. Eng. Sci. 1998, 53, 3251–3267. [Google Scholar] [CrossRef]
  33. Balzamov, D.S.; Balzamova, E.Y.; Bronskaya, V.V.; Oykina, G.I.; Rybkina, E.A.; Shaikhetdinova, R.S.; Kharitonova, O.S. The beneficial using the heat of the exhaust gases of the furnaces of the technological unit for the ethylene oxide production. IOP Conf. Ser. Mater. Sci. Eng. 2020, 862, 062044. [Google Scholar] [CrossRef]
Figure 1. Reaction of propylene on a titanium-magnesium catalyst.
Figure 1. Reaction of propylene on a titanium-magnesium catalyst.
Processes 10 02705 g001
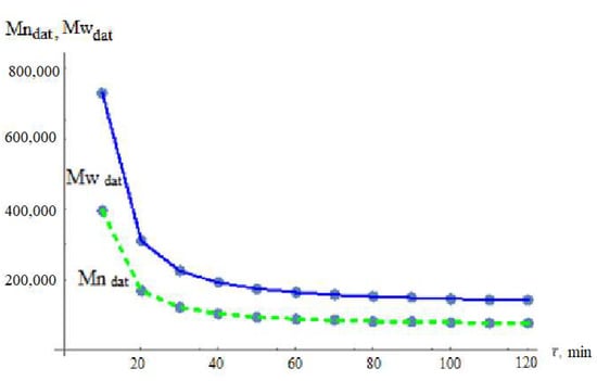
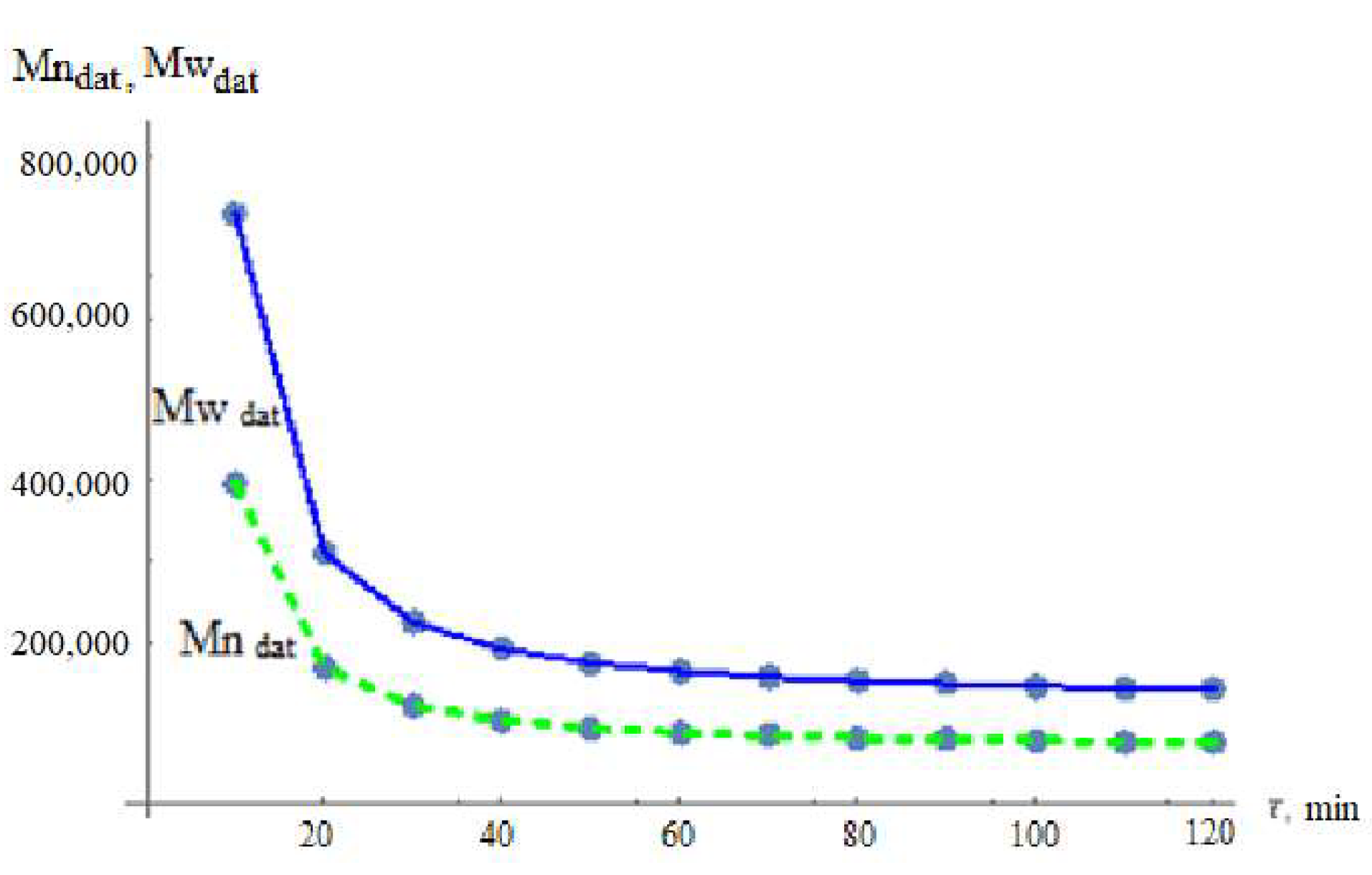
Figure 2. Dependence of the average number Mn dat and average mass Mw dat molecular weights of the fraction of diblock polypropylene chains starting their growth on the 2nd type of AC on the residence time in the reactor (calculated with the basic values of the model parameters).
Figure 2. Dependence of the average number Mn dat and average mass Mw dat molecular weights of the fraction of diblock polypropylene chains starting their growth on the 2nd type of AC on the residence time in the reactor (calculated with the basic values of the model parameters).
Processes 10 02705 g002
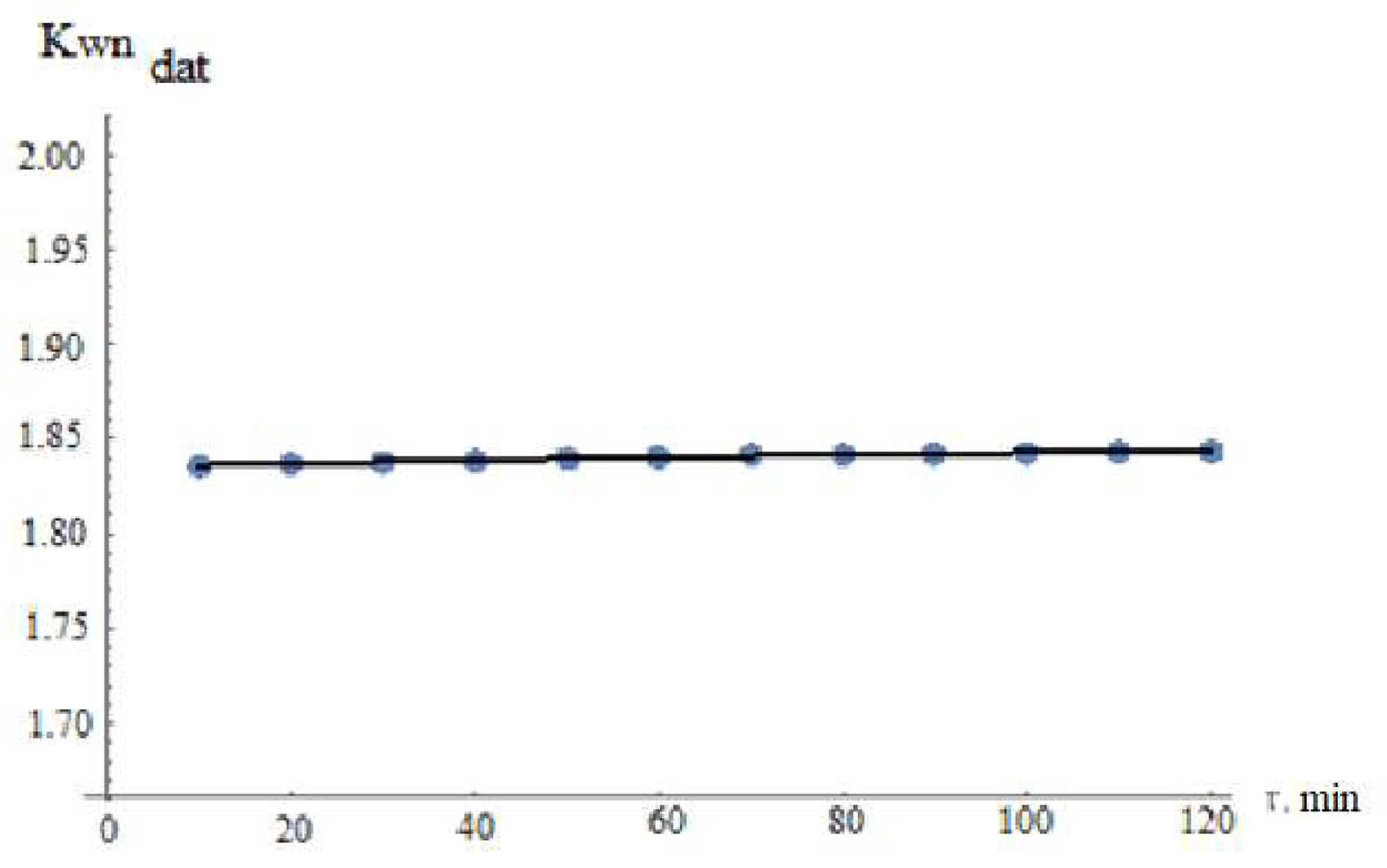
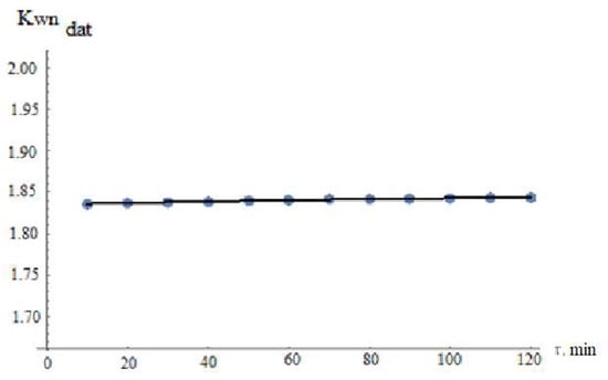
Figure 3. Dependence of the polydispersity coefficient of the Kwn dat fraction of diblock polypropylene chains starting their growth on the 2nd type of AC on the residence time in the reactor (calculated with the basic values of the model parameters).
Figure 3. Dependence of the polydispersity coefficient of the Kwn dat fraction of diblock polypropylene chains starting their growth on the 2nd type of AC on the residence time in the reactor (calculated with the basic values of the model parameters).
Processes 10 02705 g003
Figure 4. Dependence on the initial electron donor concentration of the average number Mn and average weight Mw molecular weights of polypropylene chains synthesized at the residence time in the reactor τ = 60 min.
Figure 4. Dependence on the initial electron donor concentration of the average number Mn and average weight Mw molecular weights of polypropylene chains synthesized at the residence time in the reactor τ = 60 min.
Processes 10 02705 g004
Figure 5. Dependence on the initial concentration of the electron donor of the polydispersity coefficient Kwn of polypropylene chains synthesized at the residence time in the reactor τ = 60 min.
Figure 5. Dependence on the initial concentration of the electron donor of the polydispersity coefficient Kwn of polypropylene chains synthesized at the residence time in the reactor τ = 60 min.
Processes 10 02705 g005
Figure 6. Dependence on the initial electron donor concentration of molar Ison and mass (or weight) Isow fractions of purely isotactic chains synthesized at the residence time in the reactor τ = 60 min.
Figure 6. Dependence on the initial electron donor concentration of molar Ison and mass (or weight) Isow fractions of purely isotactic chains synthesized at the residence time in the reactor τ = 60 min.
Processes 10 02705 g006
Figure 7. Dependence on the initial electron donor concentration of the average number Mniso and the average weight Mwiso of the molecular masses of purely isotactic chains synthesized at the residence time in the reactor τ = 60 min.
Figure 7. Dependence on the initial electron donor concentration of the average number Mniso and the average weight Mwiso of the molecular masses of purely isotactic chains synthesized at the residence time in the reactor τ = 60 min.
Processes 10 02705 g007
Figure 8. Dependence on the initial electron donor concentration of the molar blockn and mass (or weight) blockw fractions of stereoblock chains synthesized at the residence time in the reactor τ = 60 min.
Figure 8. Dependence on the initial electron donor concentration of the molar blockn and mass (or weight) blockw fractions of stereoblock chains synthesized at the residence time in the reactor τ = 60 min.
Processes 10 02705 g008
Figure 9. Dependence on the initial electron donor concentration of the molar diblockn and weight diblockw fractions of diblock chains synthesized at the residence time in the reactor τ = 60 min.
Figure 9. Dependence on the initial electron donor concentration of the molar diblockn and weight diblockw fractions of diblock chains synthesized at the residence time in the reactor τ = 60 min.
Processes 10 02705 g009
Figure 10. Comparison of the dependences on the initial electron donor concentration of molar and mass (or weight) fractions of stereoblock and diblock chains synthesized at the residence time in the reactor τ = 60 min.
Figure 10. Comparison of the dependences on the initial electron donor concentration of molar and mass (or weight) fractions of stereoblock and diblock chains synthesized at the residence time in the reactor τ = 60 min.
Processes 10 02705 g010
Table 1. The mechanism of the polymerization reaction of polypropylene on a titanium–magnesium catalyst.
Table 1. The mechanism of the polymerization reaction of polypropylene on a titanium–magnesium catalyst.
Name of ReactionReaction
Activation C j   + A k aj P j , 0 ,  j = 1 , 2
Chain growth P j , r k pj P j , r + 1 ,  j = 1 , 2 ,  r = 0 , 1 , 2
Chain transfer to hydrogen P j , r + H 2 k Hj P j , 0 + D 1 , r , i = 1 , 2 ,  r = 0 , 1 , 2
Chain transfer to the monomer P j , r + M k mj P j , 1 + D 1 , r , j = 1 , 2 ,   r = 0 , 1 , 2
Deactivation P j , r k dj D j , r ,  j = 1 , 2 ,   r = 0 , 1 , 2
Transformation of active centres by electron donor P 2 , r + Don k 21 P 1 , r ,  r = 0 , 1 , 2 , P 1 , r k 12 P 2 , r + Don
Activation C j   + A k aj P j , 0 ,  j = 1 , 2
Publisher’s Note: MDPI stays neutral with regard to jurisdictional claims in published maps and institutional affiliations.

Share and Cite

MDPI and ACS Style

Manuyko, G.; Bronskaya, V.; Kharitonova, O.; Ignashina, T.; Bashkirov, D.; Balzamov, D.; Pliushchev, V.; Shaikhetdinova, R. Modelling of Propylene Polymerization in a Loop Reactor on the Titanium–Magnesium Catalyst Taking into Account the Transformation of Active Centers. Processes 2022, 10, 2705. https://doi.org/10.3390/pr10122705

AMA Style

Manuyko G, Bronskaya V, Kharitonova O, Ignashina T, Bashkirov D, Balzamov D, Pliushchev V, Shaikhetdinova R. Modelling of Propylene Polymerization in a Loop Reactor on the Titanium–Magnesium Catalyst Taking into Account the Transformation of Active Centers. Processes. 2022; 10(12):2705. https://doi.org/10.3390/pr10122705

Chicago/Turabian Style

Manuyko, Galiya, Veronika Bronskaya, Olga Kharitonova, Tatiana Ignashina, Dmitriy Bashkirov, Denis Balzamov, Vladimir Pliushchev, and Ramiliya Shaikhetdinova. 2022. "Modelling of Propylene Polymerization in a Loop Reactor on the Titanium–Magnesium Catalyst Taking into Account the Transformation of Active Centers" Processes 10, no. 12: 2705. https://doi.org/10.3390/pr10122705

APA Style

Manuyko, G., Bronskaya, V., Kharitonova, O., Ignashina, T., Bashkirov, D., Balzamov, D., Pliushchev, V., & Shaikhetdinova, R. (2022). Modelling of Propylene Polymerization in a Loop Reactor on the Titanium–Magnesium Catalyst Taking into Account the Transformation of Active Centers. Processes, 10(12), 2705. https://doi.org/10.3390/pr10122705

Note that from the first issue of 2016, this journal uses article numbers instead of page numbers. See further details here.

Article Metrics

Back to TopTop