Abstract
Planning in mass-customization supply and manufacturing processes is a complex process that requires continuous planning and optimization to minimize time and cost across a wide variety of choices in large production volumes. While soft computing techniques are widely used for optimizing mass-customization products, they face scalability issues when handling large datasets and rely heavily on manually defined rules, which are prone to errors. In contrast, machine learning techniques offer an opportunity to overcome these challenges by automating rule generation and improving scalability. However, their full potential has yet to be explored. This article proposes a machine learning-based approach to address this challenge, aiming to optimize both the supply and manufacturing planning phases as a practical solution for industry planning or optimization problems. The proposed approach examines supervised machine learning and deep learning techniques for manufacturing time and cost planning in various scenarios of a large-scale real-life pilot study in the bicycle manufacturing domain. This experimentation included K-Nearest Neighbors with regression and Random Forest from the machine learning family, as well as Neural Networks and Ensembles as deep learning approaches. Additionally, Reinforcement Learning was used in scenarios where real-world data or historical experiences were unavailable. The training performance of the pilot study was evaluated using cross-validation along with two statistical analysis methods: the t-test and the Wilcoxon test. These performance evaluation efforts revealed that machine learning techniques outperform deep learning methods and the reinforcement learning approach, with K-NN combined with regression yielding the best results. The proposed approach was validated by industry experts in bicycle manufacturing. It demonstrated up to a 37% reduction in both time and cost for orders compared to traditional expert estimates.
1. Introduction
Mass customization refers to the capability of manufacturing customized products via versatile processes that support high-volume and high-variety production, aiming to achieve the shortest time and lowest feasible cost [1]. The mass-customization industry is complex and demands continuous optimization of planning in its supply chain to minimize time and costs across supply and manufacturing stages to ensure efficiency and effectiveness [2]. The planning phase of mass customization in supply and manufacturing processes poses a complex challenge that necessitates continuous optimization to minimize time and costs while handling a wide variety of choices and large quantities [3].
Although various AI technologies, such as genetic algorithms and metaheuristic optimization algorithms, address these optimization challenges, they have the limitations of scalability when managing large datasets or complex problems. Machine learning is a particularly powerful tool; nonetheless, there has been limited research into the application of machine learning within this domain. In recent years, the integration of machine learning (ML) technology has led to a revolutionary shift in numerous industries. By leveraging historical data and experiential knowledge, machine learning has markedly enhanced the operational efficiency of computational systems. Its advantages are evident in addressing complicated optimization problems with multiple objectives, yielding efficient solutions across a spectrum of planning scenarios.
The utility of ML spans a wide array of applications, including the optimization of distribution paths in logistics [4], refining production and control planning in industries such as manufacturing, automotive, energy, etc. [5], and resolving intricate challenges in energy planning [6]. Additionally, ML’s capabilities are evident in optimizing scheduling and resource allocation within expansive manufacturing setups [7], fine-tuning production planning in industrial domains [8], and orchestrating traffic scheduling for intelligent transportation systems [9]. Operating as an optimizer, machine learning (ML) arises as a potent tool with the competence to provide valuable perspectives and enhancements spanning a broad spectrum of research fields. It holds substantial sway in the domain of supply chain management, catering to its multifaceted objectives [10].
The necessity to optimize and to plan the stages of supply chains has recently witnessed an exponential upswing, catalyzed by pivotal challenges, such as escalating manufacturing expenditures, protracted lead intervals, and diminished overall efficiency, all of which have profound ramifications for sustaining competitiveness within the dynamic global marketplace [11]. In the context of the supply chain stages, supplying and manufacturing are crucial stages characterized by unique planning and scheduling complexities, particularly evident in mass-customization products. This approach, driven by its unwavering focus on flexible production processes and personalized products, introduces disruptions and uncertainties arising from an extensive variety of product options and production volumes [12]. To address these complex challenges and pave the way for a sustainable and efficient future, the integration of machine learning techniques has become paramount. By harnessing the power of ML, it becomes possible to unlock the full potential of the supply chain, optimize production processes, and enhance evaluation procedures compared to conventional methods [13].
The main objective of this article is to explore the power of machine learning alongside historical experience (previous historical decisions saved as a dataset) in enhancing the prediction process for supply chain and manufacturing planning to predict the best time and the best cost. Additionally, it examines how machine learning can help in designing predictive models based on knowing prior experience, enabling effective planning for supply and manufacturing processes in mass-customization products.
This article’s primary contribution is the introduction of efficient machine learning-based planning approaches to support the supply and manufacturing processes in mass-customized products, with a focus on minimizing time and cost. Supervised machine learning and deep learning techniques were applied and evaluated using a large-scale real-world pilot study involving 6000 records from the bicycle manufacturing industry. The results demonstrated that supervised learning techniques outperformed deep learning in achieving optimal planning. Additionally, this study introduces the use of reinforcement learning (RL) as an alternative approach for optimizing the planning process, particularly in scenarios where real-world data or historical experiences are unavailable. The RL-based approach aimed to identify the best strategies for minimizing time and cost in supply and manufacturing for mass customization. While RL performed slightly below supervised learning techniques, it outperformed other AI-based methods, such as genetic algorithms, used in previous research [14].
The planning approach presented in this article is based on the examination of K-Nearest Neighbors with regression, Random Forest from the machine learning family, Neural Network, and Ensemble representing deep learning approaches. The training performance of the pilot study was evaluated using cross-validation techniques along with two statistical analysis methods: the t-test and the Wilcoxon test. These performance evaluation efforts revealed that machine learning techniques are outperforming deep learning and that K-NN combined with regression analysis yields the best performance results. The proposed machine learning approach for supply and manufacturing planning in mass customization demonstrates the tangible impact of ML techniques in revolutionizing supply chain practices, thereby contributing to the advancement of manufacturing and supply chain management domains.
The rest of this article is organized as follows: Section 2 reviews pertinent studies that explore the integration of machine learning techniques to improve supply chains and mass-customization products. Section 3 describes the proposed methodology, detailing the two phases that employ machine learning for data reduction and planning, and includes information on the dataset used for model implementation. Section 4 presents the results of a real-world industrial case study. Finally, Section 5 concludes the findings and suggests directions for future research.
2. Literature Review
Existing research on the application of machine learning and AI in mass customization within supply chains is limited. In the following discussion, we first provide an overview of studies that explore the use of machine learning in supply chain management (SCM). We then focus on related works that address planning challenges in supply and manufacturing for mass customization, followed by a more in-depth review of previous studies specifically targeting mass-customization manufacturing.
The study in [15] investigated how artificial intelligence (AI) and machine learning (ML) approaches and techniques are applied in supply chain management [15]. This literature review presented about 50 relevant studies. The authors concluded that AI and ML applications are in their early stages but will make noteworthy enhancements in supply chain performance. The research highlighted that while some models had been evaluated and proven effective in supply chain optimization, many AI and ML tools remain underutilized, waiting for opportunities for future exploration. This study paved the way for the proposed article to explore the power of other machine learning approaches in SCM, such as K-Nearest Neighbors and Neural Networks.
Similarly, the work in [16] studied machine learning’s influence on SCM and provided a full analysis of machine and deep learning (ML and DL) applications within supply chain management [16]. The authors reviewed 43 relevant studies and identified various SCM challenges addressed by machine learning and deep learning, such as inventory management, demand prediction, and logistics. This study also proposed a conceptual framework to guide organizations in leveraging ML and DL for many fields in data science, such as data analysis, to gain competitiveness. While this study focused on inventory management and logistics, the proposed article emphasizes the supply and manufacturing phases in SCM, with a particular focus on mass-customized products. The following paragraphs will introduce relevant studies on this topic.
Approaches that focused on the use of AI and ML in mass-customization manufacturing are reported in [17,18,19,20,21,22,23,24]. An approach for supplying and manufacturing mass-customization product optimization using stochastic programming was introduced in [17]. It provides a review of the essential approaches to design for mass customization (DFMC), design for manufacturing (DFM), and design for supply chains (DFSC) [18]. The key term of this review was designed while mass customization, manufacturing, and supply chain are the contexts from which the respective design objectives are derived. On the other hand, a Smart system in Manufacturing with Mass Personalization (S-MMP) [19] has been built to meet changing customer needs. The product manufacturing model is in constant evolution from a mass manufacturing model to a mass-customization model, which is the research objective of this work. Machine learning has been applied to optimize logistic planning within this system. The research results of this article can provide a benchmark value for companies to implement high-level intelligent system planning in manufacturing with mass customization. The referenced approach concentrated on logistics planning, whereas our proposed approach will focus on optimizing the supply and manufacturing processes for mass-customization product planning.
Moreover, an overview study of critical intelligent manufacturing (IM) technologies was made to build two intelligent supply chain management (SCM) modules for the IM system demonstration [20]. These two core modules were proposed for the intelligent supplier selection and component ordering module and the product quality prediction module. The intelligent supplier selection and component ordering module dispatches orders that match the best options of suppliers based on combined analytic hierarchy process (AHP) analysis and multi-objective integer optimization. The second module was the product quality prediction module, which uses multivariate regression and ARIMA to predict the quality of the finished products. Results showed that the R square values are very close to 1. In this research, mass-customization manufacturing was viewed as a future work or as an extension of researchers’ works in the future. Also, in this paper, the planning of the manufacturing process is not considered. Another research study addressed a mass-customization topic as an essential part of smart manufacturing [21]. In particular, generating demand forecasts is undoubtedly the most important part of any industry. Appropriate demand forecasts make S&OP quality, which greatly contributes to overall corporate management. In addition, proper stock can be maintained to save the costs of maintaining multiple warehouses. In this paper, we determine why mass customization is needed in smart manufacturing and find appropriate demand forecasting techniques by comparing the traditional time series technique ARIMA analysis with the nonlinear network model. Afterwards, the company develops an algorithm to evaluate the sales process by finalizing the production plan by evaluating the expected inventory through mathematical modeling. The referenced module focused on evaluating inventory predictions for mass-customization products. In contrast, our proposed model will predict scenarios for supply and manufacturing processes to achieve minimal time and cost.
A study in [22] presented a methodology for the scheduling of processing high-dimensional data in a distributed system with heterogeneous manufacturing units proposed for new cyber–physical integration in smart factories for online scheduling of low-volume, high-mix orders. This methodology was divided into three dimensions. First, manufacturing units are interconnected with each other through the cyber–physical system (CPS) by IoT technologies. Second, an AI scheduler was proposed with novel neural networks for each unit (e.g., warehouse, machine) to schedule dynamic operations with real-time sensor data. Third, a new reward function was designed to improve the decision-making abilities of multiple AI schedulers based on reinforcement learning (RL). The proposed methodology is evaluated and validated in a smart factory by real-world case studies. Experimental results show that the new architecture for smart factories not only improves the learning and scheduling efficiency of multiple AI schedulers but also effectively deals with unexpected events such as rush orders and machine failures. A particular model [23] was crafted to construct an adaptive customization platform that efficiently manages customization data history within a small manufacturing plant. This platform transitioned the historical data from a static database into a dynamic machine learning model. The outcome of this endeavor was the enhancement of the customers’ interaction by simplifying the complexity of the customization process. Instead of navigating various parameters, customers now only needed to provide a single input for personalized product requests. The backend of this platform harnessed potent machine learning algorithms, including extreme gradient boosting (XGBoost) and Random Forest (RF) ensemble learning. These algorithms were leveraged to associate a singular customer input with the specific customized product category desired. The experimental phase of the model yielded valuable insights, highlighting the optimal scenarios in which XGBoost outperformed RF algorithms, especially for regression challenges involving non-linear data patterns. The model’s remarkable experimental results underscored the advantages of this customization platform, validating its effectiveness.
A study highlighted the efficiency of machine learning [24], particularly Decision Trees, in improving cost and time estimation for mass-customization products. Their results found that ML models could improve prediction accuracy, optimize production processes, and produce more reliable decision making in mass-customized manufacturing. This study emphasized the power of ML techniques in addressing the complications of mass customization. This study primarily focused on using decision trees to predict the cost and time of the manufacturing process.
In contrast, the proposed research explores various machine learning approaches, including K-Nearest Neighbors (KNN), Random Forest, Neural Networks, and Reinforcement Learning. Additionally, the proposed study extends its scope beyond manufacturing to include the supply processes, providing a more comprehensive analysis of the entire production and supply chain.
In a previous work, we utilized a soft computing approach to optimize time only and cost only, and, if the customer needs it, to minimize the time and cost together [14]. We employed genetic algorithms as a metaheuristic search tool to derive optimal solutions by applying the objective function and genetic algorithm operators, such as crossover and mutation. According to the experts’ opinions, the results demonstrated enhancements of 20.4% in time optimization, 29.8% in cost optimization, and 25.5% in the optimization of both time and cost.
3. Machine Learning for Supplying and Manufacturing Planning
Our proposed solution consists of two phases, as shown in Figure 1. In the first phase, machine learning algorithms are applied to the authentic dataset of a bicycle manufacturer. The supervised machine learning classification methods used include K-Nearest Neighbors (K-NN) with regression, Random Forest (RF), Neural Networks (NN), and Ensemble methods [25]. The second phase involves employing Reinforcement Learning, a technique based on rule-driven learning rather than data availability. Figure 2 shows the pseudocode of the presented approaches. This section is divided into three subsections. Section 3.1 defines the pilot study. Section 3.2 discusses the data preparation process, followed by Section 3.3, which details the application of various supervised machine learning algorithms for planning supply chain and manufacturing processes in mass-customized bicycle orders. Lastly, Section 3 introduces reinforcement learning for planning, utilizing a rule-driven approach.
Figure 1.
The overall proposed approach.
Figure 2.
The proposed approaches pseudocode.
The pseudo-code in Figure 2 demonstrates the steps of the proposed models, either the model that depends on labeled data (supervised models) or the rule-based model based on reinforcement learning.
3.1. Pilot Study
To improve understanding, a pilot study was conducted featuring a real-world case of a bicycle manufacturer specializing in mass-customized bicycles. A dataset comprising 6000 historical records was available from previous operations, providing a valuable foundation for applying labeled machine learning approaches to plan and optimize supply chain and manufacturing processes, which will be explained in the next section in detail.
3.2. Data Preparation
The dataset used in the proposed approach is built according to the historical transactions (experiences) of orders inside a bicycle manufacturer and their corresponding solutions. The dataset is built from scratch and consists of 6000 historical transactions of customers’ orders. Each customer can ask for up to three orders per transaction. The whole dataset contains the parameters represented in Table 1. The parameters of the dataset represented in Table 1 are bicycle category, the size of the bicycle, the sub-size of the bicycle, the color, the suppliers, the manufacturing lines, the operation type, the quantity, and the priority of the customer to minimize the time, cost, or both time and cost. Each parameter has its own values.
Table 1.
Dataset parameters.
To unify the form of inputs, we encoded the dataset by giving each value that affects the optimization of time, cost or both a numeric value. Table 2 illustrates the values of the encoded dataset.
Table 2.
The values of the encoded dataset.
Table 3 lists the key items in the dataset, along with examples, which serve as inputs for the model to be optimized based on customer priority. In contrast, Table 4 presents the items that are considered the optimal solution aligned with customer priorities.
Table 3.
Input encoded parameters.
Table 4.
Parameters to be optimized.
According to the expert consultations, the features that affect time are quantity, supplier group, operation type and the number of manufacturing lines, while the features that affect the cost are quantity, category, color, and supplier group.
In the time dataset, two columns called totLT (Total Lead Time) and Scenario are the labels to be predicted using ML algorithms. The time scenario is defined in the following order: supplier group, Op ML1, Op ML2, Op ML3, OpML4. For example, scenario 21221 means supplier group B, OP type automatic, OP type manual, OP type manual, and OP type automatic, respectively, to achieve certain orders.
While in the cost dataset, two columns called “Total Cost” and Scenario are the labels to be predicted using ML algorithms. The cost scenario is defined in the following order: category, color, category, color, category, color, supplier group. For example, scenario 1211222 means category, mountain; color, other color; category, mountain; color, black; category, road; color, other color; supplier, supplier B.
On the other hand, the features that support the time and cost best recommendation together are formed as the following scenario: category, color, category, color, category, color, supplier group, OP ML1, Op ML2, Op ML3, Op ML4. For example, the scenario formed as the sequence 41212211111 means the order is folded bike, black/silver, road bike, black/silver, road bike, other, supplier group A, ML1 automatic, ML2 automatic, ML3 automatic, ML4 automatic.
Section 4.2 will outline the planning phase of the proposed approach, divided into three subsections. Each subsection details the proposed model using different supervised machine learning algorithms. Additionally, Section 4.3 introduces Reinforcement Learning to enhance the planning process in scenarios where existing data are unavailable
3.3. Planning Step Approach Using Labeled Data
This subsection explains the two separate machine learning pipelining steps, as shown in Figure 3, for classifying the data in two separate datasets, one for time only and the other for cost only in supplying and manufacturing processes for mass-customized bicycles. It starts with data processing by preparing the data by unifying the form of inputs and selecting the appropriate features that influence the prediction of time and cost. Also, it must determine the labels for each model of them. The next step is applying the supervised classification learning algorithms such as, K-NN, RF, NN and Ensemble to the prepared data. Moreover, Figure 4 illustrates the machine learning pipeline for time and cost together to supply and manufacture customized bicycles. Figure 4 also starts with data preparation by unifying the form of inputs and selecting the fitting features that influence the prediction of time and cost together. Furthermore, it determines the labels of the output of that model, which are the time with its corresponding scenario and the cost with its corresponding scenario. The next step is applying the supervised classification learning algorithms, such as K-NN, RF, NN and Ensemble, to the prepared data and evaluating the model results.
Figure 3.
Two separate machine learning pipelines.
Figure 4.
Both time and cost machine learning pipelines.
In the proposed machine learning approaches, classification machine learning algorithms for supervised data are applied to the mentioned dataset. As mentioned before, the ML algorithms used in this article are K-NN, MLP Neural Network (NN), Random Forest (RF) and Ensemble [26]. The key objective underlying the application of machine learning classification methods is to benefit from historical experience stored in the dataset and to compare different machine learning approaches to suggest and optimize the most appropriate scenarios that yield the best time, cost, or a combination of both. The next subsections illustrate the proposed model using K-NN with regression, Multilayer Perceptron Neural Network (MLP-NN) and Ensemble methods, respectively. The results will be illustrated in the Results and Discussion section.
3.3.1. Using K-NN with Regression
The K-NN algorithm was chosen from the other mentioned algorithms because it identifies the classes that best match the customer’s order. The output classes of scenarios extracted from KNN are considered the input of the regression to obtain the exact prediction of time, cost or both according to the customer order priority. Figure 5 illustrates the steps in using the K-NN and regression to predict the value of time, cost or time and cost together. After evaluating the accuracy of the K-NN algorithm as a classifier in aligning order specifications with historical data, the K-NN generates the highest-rated recommendations as per the specified K values. In the context of using KNN as a classifier, the scenario generated by the proposed model is compared with the scenarios classified by KNN by measuring the minimum distance between the generated scenario and the classified instances. Subsequently, a regression method is applied to determine the precise values of time and cost associated with the identified scenario. The advantage of using K-NN is it performs well with multi-class classification problems and does not make strong assumptions about the data distribution. But, K-NN’s performance can be reduced if the dataset contains irrelevant features. This can lead to improper predictions.
Figure 5.
K-NN with regression prediction model.
In this section, the parameter setting is represented by the value of K. For each scenario—whether time, cost, or both—we tested multiple values of K, both lower and higher. The optimal value of K was chosen. When reducing this value, it led to poorer performance, and increasing it offered no notable improvement. The final decision was based on finding the most appropriate value for the problem.
Determining the value of K constrains the adjustment to the nearest solutions. In our model, K is set at three for time-related nearest solutions, five for cost-related nearest solutions, and six for nearest solutions that consider both time and cost. So, the numbers three, five, and six signify the best-suited solutions selected through the nearest-neighbor approach, which is determined by evaluating the Euclidean distance [27] between the sample data and historical data. We have customized the K-NN algorithm to identify the top nearest solutions among the sample data and historical data according to Equation (1).
where x is the point of sample solution and y is the historical data (solution). The smaller the distance, the nearest solution to the historical data will be. Subsequently, the number of solutions generated by the KNN algorithm was used as input for the optimization environment. Classification in machine learning provides a categorical output, but our planning problem requires continuous values. This is why regression generally and weighted average regression specifically is an important step after the classification approach in predicting the exact numbers needed to optimize resource allocation to determine the time and cost accordingly. The formulation of the weighted average used in our model is illustrated in Equation (2). The k value is the number of neighbors, y is the labeled value of neighbor i, wi is a weight assigned to the i-th neighbor based on its distance from the input point and yi is the actual target value (label) of the i-th neighbor identified by the K-NN algorithm.
3.3.2. Using MLP Neural Network
A Multilayer Perceptron (MLP) Neural Network classifier [28] is applied to the training dataset to develop a prediction model for the classification task, using the most relevant subset of features. As shown in Figure 6, the model has two hidden layers with 25 and 419 neurons, respectively. During classification, each output class is assigned a probability, and the class with the highest probability is predicted as the outcome.
Figure 6.
MLP neural network prediction model.
Choosing the right number of neurons in the hidden layers is essential for creating an effective neural network model. Too few neurons can lead to underfitting, where the model fails to capture important patterns in the data. On the other hand, too many neurons can cause overfitting, where the model learns irrelevant patterns, reducing prediction accuracy. The specific values of 25 and 419 neurons in the proposed model were determined through extensive trials and experimentation. The advantage of choosing MLP neural Network is its capability of learning the different patterns in data. However, it requires a large amount of target data and computational power of training.
3.3.3. Using Ensemble Method
In this subsection, we merged the three used machine learning algorithms, which are K-NN, NN and RF, together with specific parameters. The optimal K-value K-NN parameters used in ensemble approach are Cost, K = 2; Time, K = 90; and Time and Cost, K = 3, while for the MLP neural network, the parameters are two hidden layers with sizes 25 and 419 neurons and a maximum of 1000 iterations in addition to random forest algorithm.
3.4. Planning Using Reinforcement Learning
Reinforcement learning [29] is a different learning approach that depends on trial-and-error interactions with an environment, where an agent learns to take actions to maximize cumulative rewards over time. In this article, the reinforcement learning approach is suggested as an alternative solution that is not based on historical data, which is not easy to be provided in many real-world cases. As illustrated in Figure 7, it is based on determining the environment that the agent can learn from, defining the state structure, action space, and reward functions to measure the correctness and calculate the value of time, cost and both. The advantage of selecting reinforcement learning lies in optimizing long-term decision making without depending on historical data but by learning from interactions with the environment. However, RL is resource intensive because training is slow and requires extensive trial and error.
Figure 7.
Reinforcement learning planning model.
Firstly, some rules must be put into consideration:
- Rule 1: The quantity must be not less than 1000 and not more than 6000.
- Rule 2: The order can be increased by 500 units only if the customer needs to update the quantity.
- Rule 3: The manual manufacturing time is double the automatic manufacturing time.
- Rule 4: The cost of automatic manufacturing is 1.6 greater than manual one.
- Rule 5: Each supplier has certain parts that must be supplied to the manufacturer within certain time intervals.
- Rule 6: The number of working days is five.
- Rule 7: The number of working hours is eight.
Reinforcement Learning Components for the Proposed Model
- Simulated Environment
The environment in our case consists of four manufacturing lines with different types of operations. One production line is automatic and the rest are manual.
- State Definition
In reinforcement learning, as illustrated in Table 5, the state must encompass all necessary information to make decisions at each step. Typically, for planning scenarios aimed at minimizing time and cost, the remaining time and remaining cost after each step are crucial. However, our proposed solution introduces a novel idea by incorporating a performance indicator for time and cost based on the reward function. This indicator shows whether the trends in time and cost are moving in the right direction. Additionally, we consider the status of the manufacturing line from the following many perspectives:
Table 5.
The reinforcement learning state structure.
- Whether the production line is idle or busy;
- Whether the production line is manual or automatic;
- Whether supplier A or B is available to supply;
- We also track the number of bicycles currently being manufactured or completed.
- Action Space:
Actions correspond to which manufacturing line is chosen for production at a given time and a chosen supplier. Table 6 illustrates an example of action space for the proposed reinforcement learning model.
Table 6.
An example of action space for the proposed reinforcement learning model.
Reward Function: In this context, the reward functions (Equations (3)–(5)) aim to minimize the time only, cost only and both time and cost for the mass-customized order. The reward function serves as a guide for the planner, directing decisions towards the desired outcome. The reward function for time (Equation (3)) is to minimize the total time consumed in manufacturing lines (j) and total time of supplying the bicycle parts. The cost reward function is to minimize the summation of operation costs for the four manufacturing lines in addition to the summation of the cost of all parts multiplied by the quantity and the fixed value of the overhead. This term, 1000 + 500Bj, indicates that the minimum quantity is 1000, and any additional orders must be in increments of 500 bicycles. The time and cost reward function (Equation (5)) is defined as the minimum of the weighted sum of the time and cost reward components, where the weights are equally distributed, with each component contributing half.
4. Results and Discussion
The results section is divided into three subsections. The first part presents the outcomes of applying the cross-validation technique and statistical analysis models to the dataset. The second part focuses on the results produced by the K-NN, MLP Neural Network, and Ensemble models. The third subsection illustrates the results of applying the reinforcement learning approach.
4.1. Dataset
4.1.1. Dataset Cross Validation
The cross-validation [30] technique evaluated and trained the three models. After conducting several experiments to determine the optimal number of folds for training, we identified that using 10 folds (i.e., K = 10) provided the most appropriate accuracy, ensuring reliable performance during model testing. Table 7 below presents the average results of the cross-validation process, including Accuracy, Precision, Recall, and F1 Score, defined below [30,31].
Table 7.
Cross-validation average result.
- Accuracy: Reflects the ratio of correct predictions.
- Precision: Identifies how accurately the model predicted the positive classes.
- Recall: (sensitivity) calculates the predicted positive classes’ ratio.
- F1-score: is the recall and precision weighted average score.
4.1.2. Dataset Statistical Analysis
Two statistical analysis methods, the t-test, and the Wilcoxon test, were employed to compare the performance of the KNN classifier model against the other three models (RF, NN and Ensemble). Each model was run 10 times, and the accuracy was recorded for each iteration. The average accuracy over the 10 runs was then calculated for both statistical analyses.
Table 8 presents the performance results from both the t-test and the Wilcoxon test, demonstrating that the KNN model significantly outperformed the other models. Except for the KNN vs. RF in the time model only, there was no significant performance difference between these two algorithms.
Table 8.
Statistical analysis of K-NN vs. RF, NN and Ensemble.
4.2. Planning Results for Labeled Data
In this section, we will illustrate the results using a numeric example of an order with 4000 bicycles. For this order, the expert estimated the outcomes for time alone at an average of 28 weeks. The estimated cost for cost alone was 5.5 × 106$, and the estimated outcome for time and cost combined was 28 weeks at 5 × 106$.
The classification K-NN model assigns the test sample to the nearest class, accordingly, the majority class of the k training samples is the selected one for the test sample in head, where k value is the number of nearest training samples. In the current study, the KNN is adjusted so that identify the proper nearest classes as a recommender approach; in a specific way, the k value is set to a big value i.e., k = 100, the nearest classes labels are defined and selected, and these classes are stored based on the least distance. As mentioned at the beginning of this section, the choice of the k value is considered a constraint for obtaining the nearest solutions. In our model, k is set to three for time-related nearest solutions, five for cost-related nearest solutions, and six for nearest solutions that consider both time and cost. Three main classes were created using the time dataset, while the cost dataset yielded 160 classes, and the combination of time and cost yielded 282 classes.
The classification using a Neural Network with MLP with two hidden layers with size 25 and 419 neurons with a maximum of 1000 iterations. Three main classes were created using the time dataset, while the cost dataset yielded 160 classes, and the combination of time and cost yielded 180 classes.
The classification ensemble used K-NN, RF, and NN. In this, three main classes were created using the time dataset, while the cost dataset yielded 180 classes, and the combination of time and cost yielded 200 classes.
4.3. Planning Results for Reinforcement Learning
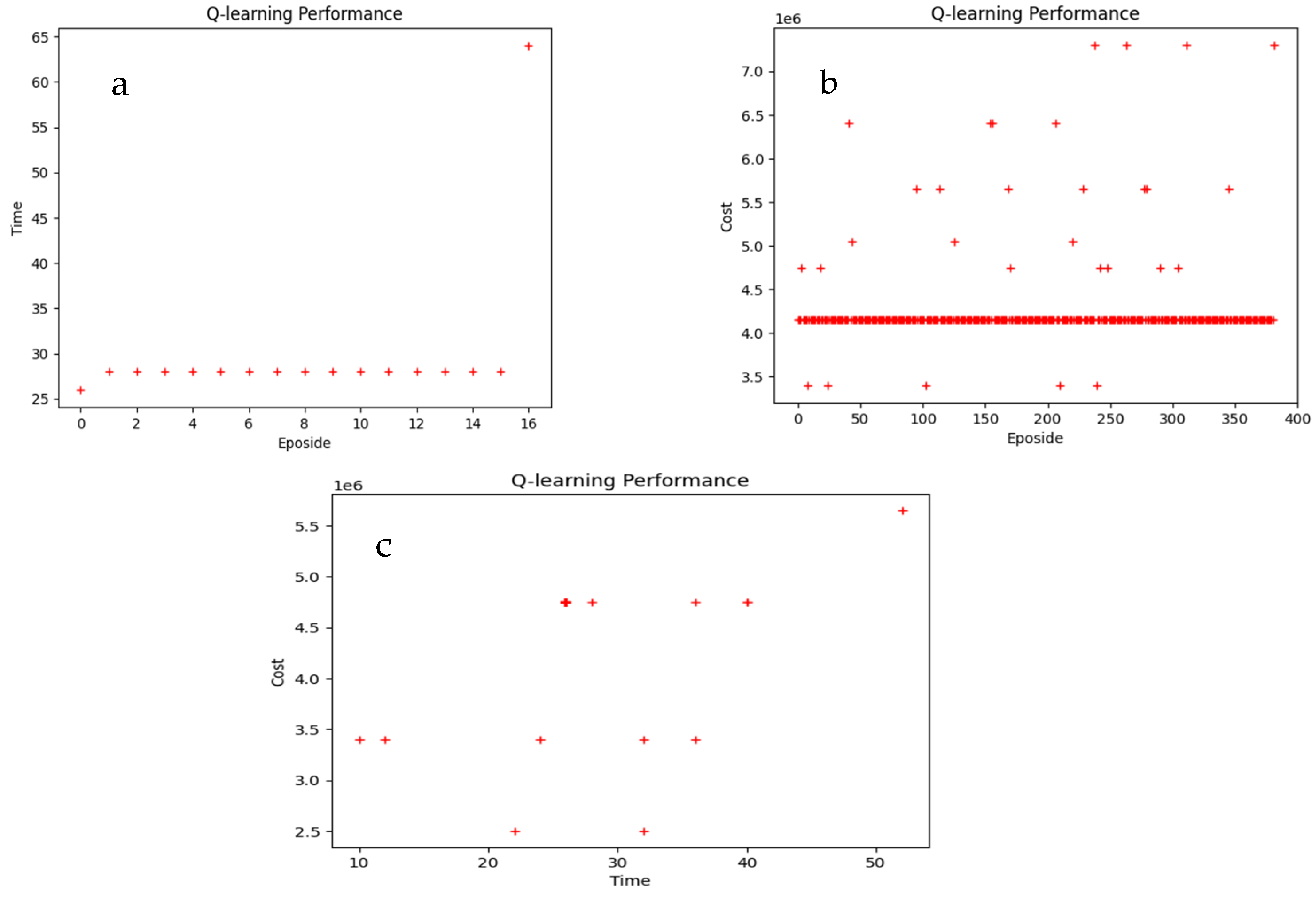
In the proposed reinforcement model, a Q-learning is used to implement our model; the results are displayed in Figure 8, showing the minimum time, minimum cost and the minimum time and cost values, respectively. The model was tested with the same order quantity and specifications as used in the classification algorithms and the same to observe whether any improvements were introduced by reinforcement learning or not. The values of the reinforcement learning with the rest of the results are illustrated in Table 9 with another approach.
Figure 8.
RL results: (a) time, (b) cost and (c) time and cost.
Table 9.
Comparison between the results of different approaches.
Finally, the results of ML algorithms (K-NN, NN, and Ensemble) and Reinforcement Learning are compared with the expert traditional planning calculations, which are stored in the factory dataset, and our genetic-based model as mentioned in the related work section is presented in Table 9. For this order, the expert estimated the outcomes and genetic-based model for time alone at an average of 28 weeks. The estimated cost for cost alone was 5.5 × 106$, and the estimated outcome for time and cost combined was 26 weeks at 5 × 106$. Table 9 illustrates a comparison of the results of all approaches used in this article.
The practical and theoretical implications of this article are validated. From a practical perspective, the dataset used in this study does not consist of raw data but rather records that encapsulate past experiences. This approach enables the model to leverage experiential knowledge rather than just processing isolated data points. Consequently, future research should focus on learning from experiences rather than solely relying on raw data, ultimately enhancing decision-making capabilities. This process can be viewed as a form of interpolation.
From a theoretical standpoint, machine learning operates based on empirical rules, where outcomes are derived from experimental data. The results generated by the model are explainable, as they are grounded in prior experiences.
Figure 9 shows the prediction values of the approaches mentioned in Table 9. As shown, K-NN with regression gives the minimum time and cost and both time and cost together. The time values are measured in weeks, while the cost values represent the amount multiplied by 106 dollars.
Figure 9.
The prediction values of the different approaches.
5. Conclusions and Future Work
This paper contributes an efficient machine learning planning approach for the supply and manufacturing process in mass-customized products.
The literature is sparse in addressing planning in the manufacturing and supply phases of mass-customized products using machine learning, incorporating both time and cost variables. Addressing this gap, this article experimented with supervised machine learning, deep learning approaches, and reinforcement learning for optimizing the planning of manufacturing and supplying processes within mass-customization products. The proposed approach involves two primary phases. In the initial phase, we employ supervised and classification algorithms like K-Nearest Neighbors (K-NN), Random Forest (RF), Multi-Layer Perceptron Neural Network, and Ensemble to preprocess and classify data, accurately predicting optimal solutions for incoming orders. The evaluation considered a real-world bicycle manufacturing pilot study. The dataset of the pilot study included historical orders or transactions from manufacturers, along with solutions provided by experts. A cross-validation technique was applied to measure the performance of the dataset over the mentioned algorithms.
Within the family of supervised machine learning techniques, KNN has shown superior performance in classification tasks. Consequently, the KNN algorithm was chosen for the planning process due to its effectiveness in delivering solutions that closely align with customer orders. It is utilized to plan and assign the relevant category to the given order, suggesting the closest matching category for the generated solution. The weighted average regression method was chosen to determine the precise values of time, cost, or both, based on the optimal scenario identified by the KNN classification. Two statistical analysis methods (t-test and Wilcoxon) were applied to measure the K-NN performance vs. the rest of the algorithms. In the subsequent phase, the solutions generated by K-NN with regression are used as inputs for an optimization environment. On the other hand, in case of the limited availability of historical data, we developed a reinforcement learning model to optimize plans for achieving the minimum time and cost based on defined rules and prepare the agent environment. This environment includes state definition, action definition, and formulation of the reward functions for each model (time, cost, and both), aiming to refine these solutions. We conducted two types of comparisons: first, we evaluated the accuracy of various machine learning algorithms after optimizing the solutions. Second, we validated the results with experts’ estimations. Using machine learning in optimization led to remarkable outcomes, showcasing substantial reductions in time, cost, or both.
There are a few limitations to the proposed approaches, such as focusing on two of supply chains phases. Additionally, real-time predictions for a high volume of mass-customization requests will require expensive computational resources. These limitations can be a start for future work, as will be presented in the next paragraph.
Future work will focus on optimizing the integration of additional supply chain phases, including logistics, wholesalers, and inventory management. Additionally, efforts will be directed toward maximizing profit and improving the overall quality of supply chain processes. Another potential area for future research is real-time mass-customization planning.
Author Contributions
Conceptualization, S.A. and N.E.-T.; Data curation, S.A.; Formal analysis, S.A.; Investigation, A.E. and N.E.-T.; Methodology, S.A., A.E. and N.E.-T.; Project administration, A.E.; Software, S.A.; Supervision, A.E. and N.E.-T.; Validation, A.E. and N.E.-T.; Visualization, N.E.-T.; Writing—original draft, S.A.; Writing—review and editing, A.E. All authors have read and agreed to the published version of the manuscript.
Funding
This research received no external funding.
Institutional Review Board Statement
Not applicable.
Informed Consent Statement
Not applicable.
Data Availability Statement
The Dataset is available in the following link: https://docs.google.com/spreadsheets/d/1mX-9SRHVxJQjulYNvGxFxhkBQpgVam9S/edit?usp=sharing&ouid=118217377670872753532&rtpof=true&sd=true.
Acknowledgments
We extend our appreciation to the supply chain consultant and manufacturing specialist Atef Abdelfatah who actively assisted us in implementing, testing, and validating our machine learning model. His support was pivotal in achieving optimized time and cost for all orders.
Conflicts of Interest
The authors declare no conflicts of interest.
References
- Shen, B.; Zhang, J.; Cheng, M.; Guo, S.; He, R. Supply chain integration in mass customization. Annal. Oper. Res. 2023, 13, 271. [Google Scholar] [CrossRef]
- Barata, J.; Cardoso, J.C.S.; Cunha, P.R. Mass customization and mass personalization meet at the crossroads of Industry 4.0: A case of augmented digital engineering. Syst. Eng. 2023, 26, 715–727. [Google Scholar] [CrossRef]
- Perret, J.K.; Schuck, K.; Hitzegrad, C. Production Scheduling of Personalized Fashion Goods in a Mass Customization Environment. Sustainability 2022, 14, 538. [Google Scholar] [CrossRef]
- Jomthanachai, S.; Wong, W.P.; Khaw, K.W. An Application of Machine Learning to Logistics Performance Prediction: An Economics Attribute-Based of Collective Instance. Comput. Econ. 2024, 63, 741–792. [Google Scholar] [CrossRef]
- Usuga Cadavid, J.P.; Lamouri, S.; Grabot, B.; Pellerin, R.; Fortin, A. Machine learning applied in production planning and control: A state-of-the-art in the era of industry 4.0. J. Intell. Manuf. 2020, 31, 1531–1558. [Google Scholar] [CrossRef]
- Guevara, E.; Babonneau, F.; Homem-de-Mello, T.; Moret, S. A machine learning and distributionally robust optimization framework for strategic energy planning under uncertainty. Appl. Energy 2020, 271, 115005. [Google Scholar] [CrossRef]
- Morariu, C.; Morariu, O.; Răileanu, S.; Borangiu, T. Machine learning for predictive scheduling and resource allocation in large scale manufacturing systems. Comput. Ind. 2020, 120, 103244. [Google Scholar] [CrossRef]
- Guo, K.; Yang, M.; Zhu, H. Application research of improved genetic algorithm based on machine learning in production scheduling. Neural Comput. Appl. 2020, 32, 1857–1868. [Google Scholar] [CrossRef]
- Nama, M.; Nath, A.; Bechra, N.; Bhatia, J.; Tanwar, S.; Chaturvedi, M.; Sadoun, B. Machine learning-based traffic scheduling techniques for intelligent transportation system: Opportunities and challenges. Int. J. Commun. Syst. 2021, 34, e4814. [Google Scholar] [CrossRef]
- Han, C.; Zhang, Q. Optimization of supply chain efficiency management based on machine learning and neural network. Neural Comput. Appl. 2021, 33, 1419–1433. [Google Scholar] [CrossRef]
- Gholamian, M.R.; Taghanzadeh, A.H. Integrated network design of wheat supply chain: A real case of Iran. Comput. Electron. Agric. 2017, 140, 139–147. [Google Scholar] [CrossRef]
- Guo, S.; Liu, N. Influences of supply chain finance on the mass customization program: Risk attitudes and cash flow shortage. Int. Trans. Oper. Res. 2020, 27, 2396–2421. [Google Scholar] [CrossRef]
- Bahemia, H.; Squire, B.; Cousins, P. A multi-dimensional approach for managing open innovation in NPD. Int. J. Operat. Prod. Manag. 2017, 37, 1366–1385. [Google Scholar] [CrossRef]
- Alfayoumi, S.; Eltazi, N.; Elgammal, A. AI-Driven Optimization Approach Based on Genetic Algorithm in Mass Customization Supplying and Manufacturing. Int. J. Adv. Comput. Sci. Appl. 2023, 14, 97–112. [Google Scholar] [CrossRef]
- Younis, H.; Sundarakani, B.; Alsharairi, M. Applications of artificial intelligence and machine learning within supply chains: Systematic review and future research directions. J. Model. Manag. 2022, 17, 916–940. [Google Scholar] [CrossRef]
- Hosseinnia Shavaki, F.; Ebrahimi Ghahnavieh, A. Applications of deep learning into supply chain management: A systematic literature review and a framework for future research. Artif. Intell. Rev. 2023, 56, 4447–4489. [Google Scholar] [CrossRef] [PubMed]
- Yang, D.; Li, X.; Jiao, R.J.; Wang, B. Decision support to product configuration considering component replenishment uncertainty: A stochastic programming approach. Decis. Support Syst. 2018, 105, 108–118. [Google Scholar] [CrossRef]
- Hou, S.; Gao, J.; Wang, C. Design for mass customisation, design for manufacturing, and design for supply chain: A review of the literature. IET Collab. Intell. Manuf. 2022, 4, 1–16. [Google Scholar] [CrossRef]
- Zhang, X.; Ming, X. A Smart system in Manufacturing with Mass Personalization (S-MMP) for blueprint and scenario driven by industrial model transformation. J. Intellig. Manufact. 2023, 34, 1875–1893. [Google Scholar] [CrossRef]
- Chien, C.-H.; Chen, P.-Y.; Trappey, A.J.C.; Trappey, C.V. Intelligent Supply Chain Management Modules Enabling Advanced Manufacturing for the Electric-Mechanical Equipment Industry. Complexity 2022, 2022, 8221706. [Google Scholar] [CrossRef]
- Kim, M.; Jeong, J.; Bae, S. Demand Forecasting Based on Machine Learning for Mass Customization in Smart Manufacturing. In Proceedings of the 2019 International Conference on Data Mining and Machine Learning, Beijing, China, 8–11 November 2019; Association for Computing Machinery: Hong Kong, China, 2019; pp. 6–11. [Google Scholar]
- Zhou, T.; Tang, D.; Zhu, H.; Zhang, Z. Multi-agent reinforcement learning for online scheduling in smart factories. Robot. Comput.-Integr. Manuf. 2021, 72, 102202. [Google Scholar] [CrossRef]
- Kiangala, S.K.; Wang, Z. An effective adaptive customization framework for small manufacturing plants using extreme gradient boosting-XGBoost and random forest ensemble learning algorithms in an Industry 4.0 environment. Mach. Learn. Appl. 2021, 4, 100024. [Google Scholar] [CrossRef]
- Zhou, W.; Lu, Y.; Liu, M.; Zhang, K. Machine learning methods based on probabilistic decision tree under the multi-valued preference environment. Econ. Res.-Ekon. Istraživanja 2022, 35, 38–59. [Google Scholar] [CrossRef]
- Sarker, I.H. Machine Learning: Algorithms, Real-World Applications and Research Directions. SN Comput. Sci. 2021, 2, 160. [Google Scholar] [CrossRef]
- Velliangiri, S.; Alagumuthukrishnan, S.; Thankumar joseph, S.I. A Review of Dimensionality Reduction Techniques for Efficient Computation. Procedia Comput. Sci. 2019, 165, 104–111. [Google Scholar] [CrossRef]
- Szeghalmy, S.; Fazekas, A. A comparative study of the use of stratified cross-validation and distribution-balanced stratified cross-validation in imbalanced learning. Sensors 2023, 23, 2333. [Google Scholar] [CrossRef] [PubMed]
- Sandhu, G.; Singh, A.; Lamba, P.S.; Virmani, D.; Chaudhary, G. Modified Euclidean-Canberra blend distance metric for kNN classifier. Intell. Decis. Technol. 2023, 17, 527–541. [Google Scholar] [CrossRef]
- Alghamdi, F.A.; Almanaseer, H.; Jaradat, G.; Jaradat, A.; Alsmadi, M.K.; Jawarneh, S.; Almurayh, A.S.; Alqurni, J.; Alfagham, H. Multilayer Perceptron Neural Network with Arithmetic Optimization Algorithm-Based Feature Selection for Cardiovascular Disease Prediction. Mach. Learn. Knowl. Extr. 2024, 6, 987–1008. [Google Scholar] [CrossRef]
- Fahad Mon, B.; Wasfi, A.; Hayajneh, M.; Slim, A.; Abu Ali, N. Reinforcement Learning in Education: A Literature Review. Informatics 2023, 10, 74. [Google Scholar] [CrossRef]
- Kumar, P.S.; Pranavi, S. Performance analysis of machine learning algorithms on diabetes dataset using big data analytics. In Proceedings of the International Conference on Infocom Technologies and Unmanned Systems (Trends and Future Directions) (ICTUS), Dubai, United Arab Emirates, 18–20 December 2017. [Google Scholar]
Disclaimer/Publisher’s Note: The statements, opinions and data contained in all publications are solely those of the individual author(s) and contributor(s) and not of MDPI and/or the editor(s). MDPI and/or the editor(s) disclaim responsibility for any injury to people or property resulting from any ideas, methods, instructions or products referred to in the content. |
© 2025 by the authors. Licensee MDPI, Basel, Switzerland. This article is an open access article distributed under the terms and conditions of the Creative Commons Attribution (CC BY) license (https://creativecommons.org/licenses/by/4.0/).








