Analysis of Factors Affecting the Rate of Latent Tuberculosis Infection and Management in Pediatrics
Abstract
1. Introduction
2. Materials and Methods
2.1. Study Design
2.2. Statistical Analysis
3. Results
3.1. Participant Demographics
3.2. Correlations between Contact History and Tuberculosis Screening Test Results
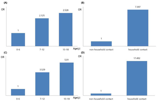
3.3. Correlation between Age and Tuberculosis Screening Test Results
3.4. Risk Factors of LTBI and Loss to Follow-Up
3.5. Clinical Characteristics of Index Cases
3.6. Comparisons of Index Cases between LTBI-Positive and LTBI-Negative Participants
4. Discussion
5. Conclusions
Author Contributions
Funding
Institutional Review Board Statement
Informed Consent Statement
Data Availability Statement
Conflicts of Interest
References
- Marais, B.J.; Gie, R.P.; Schaaf, H.S.; Hesseling, A.C.; Obihara, C.C.; Nelson, L.J.; Enarson, D.A.; Donald, P.R.; Beyers, N. The clinical epidemiology of childhood pulmonary tuberculosis: A critical review of literature from the pre-chemotherapy era. Int. J. Tuberc. Lung Dis. 2004, 8, 278–285. [Google Scholar] [PubMed]
- Triasih, R.; Rutherford, M.; Lestari, T.; Utarini, A.; Robertson, C.F.; Graham, S.M. Contact investigation of children exposed to tuberculosis in South East Asia: A systematic review. J. Trop. Med. 2012, 2012, 301808. [Google Scholar] [CrossRef] [PubMed]
- Marais, B.J.; Gie, R.P.; Schaaf, H.S.; Hesseling, A.C.; Obihara, C.C.; Starke, J.J.; Enarson, D.A.; Donald, P.R.; Beyers, N. The natural history of childhood intra-thoracic tuberculosis: A critical review of literature from the pre-chemotherapy era. Int. J. Tuberc. Lung Dis. 2004, 8, 392–402. [Google Scholar] [PubMed]
- Boom, W.H.; Schaible, U.E.; Achkar, J.M. The knowns and unknowns of latent Mycobacterium tuberculosis infection. J. Clin. Investig. 2021, 131, e136222. [Google Scholar] [CrossRef] [PubMed]
- Ellner, J.J. Review: The immune response in human tuberculosis—Implications for tuberculosis control. J. Infect. Dis. 1997, 176, 1351–1359. [Google Scholar] [CrossRef]
- Akolo, C.; Adetifa, I.; Shepperd, S.; Volmink, J. Treatment of latent tuberculosis infection in HIV infected persons. Cochrane Database Syst. Rev. 2010, 2010, CD000171. [Google Scholar] [CrossRef]
- Jaganath, D.; Beaudry, J.; Salazar-Austin, N. Tuberculosis in children. Infect. Dis. Clin. N. Am. 2022, 36, 49–71. [Google Scholar] [CrossRef]
- Joint Committee for the Revision of Korean Guidelines for Tuberculosis. Korean Guidelines for Tuberculosis, 4th ed.; Korea Centers for Disease Control & Prevention: Cheongju, Korea, 2020. [Google Scholar]
- Van Rie, A.; Beyers, N.; Gie, R.P.; Kunneke, M.; Zietsman, L.; Donald, P.R. Childhood tuberculosis in an urban population in South Africa: Burden and risk factor. Arch. Dis. Child. 1999, 80, 433–437. [Google Scholar] [CrossRef] [PubMed]
- Min, D.H.; Wy, H.H.; Shim, J.W.; Kim, D.S.; Jung, H.L.; Park, M.S.; Shim, J.Y. Risk factors for latent tuberculosis in children who had close contact to households with pulmonary tuberculosis. Allergy Asthma Respir. Dis. 2017, 5, 105–110. [Google Scholar] [CrossRef]
- Martinez, L.; Cords, O.; Horsburgh, C.R.; Andrews, J.R.; Pediatric TB Contact Studies Consortium. The risk of tuberculosis in children after close exposure: A systematic review and individual-participant meta-analysis. Lancet 2020, 395, 973–984. [Google Scholar] [CrossRef]
- Joint Committee for the Development of Korean Guidelines for Tuberculosis Korea Centers for Disease Control & Prevention. Korean Guidelines for Tuberculosis; Korea Centers for Disease Control & Prevention: Cheongju, Korea, 2011; pp. 141–149. [Google Scholar]
- Joint Committee for the Development of Korean Guidelines for Tuberculosis Korea Centers for Disease Control & Prevention. Korean Guidelines for Tuberculosis, 2nd ed.; Korea Centers for Disease Control & Prevention: Cheongju, Korea, 2014; pp. 143–145. [Google Scholar]
- Marais, B.J.; Gie, R.P.; Schaaf, H.S.; Beyers, N.; Donald, P.R.; Starke, J.R. Childhood pulmonary tuberculosis: Old wisdom and new challenges. Am. J. Respir. Crit. Care Med. 2006, 173, 1078–1090. [Google Scholar] [CrossRef]
- World Health Organization. Global Tuberculosis Report 2021; World Health Organization: Geneva, Switzerland, 2021. [Google Scholar]
- Korea Disease Control and Prevention Agency. Annual Report on the Notified Tuberculosis in Korea; Korea Disease Control and Prevention Agency: Cheongju, Korea, 2021. [Google Scholar]
- Go, U.; Park, M.; Kim, U.N.; Lee, S.; Han, S.; Lee, J.; Yang, J.; Kim, J.; Park, S.; Kim, Y.; et al. Tuberculosis prevention and care in Korea: Evolution of policy and practice. J. Clin. Tuberc. Other Mycobact. Dis. 2018, 11, 28–36. [Google Scholar] [CrossRef] [PubMed]
- Yu, S.; Sohn, H.; Kim, H.Y.; Kim, H.; Oh, K.H.; Kim, H.J.; Chung, H.; Choi, H. Evaluating the impact of the nationwide public–private mix (PPM) program for tuberculosis under National Health Insurance in South Korea: A difference in differences analysis. PLoS Med. 2021, 18, e1003717. [Google Scholar] [CrossRef] [PubMed]
- Fox, G.J.; Barry, S.E.; Britton, W.J.; Marks, G.B. Contact investigation for tuberculosis: A systematic review and meta-analysis. Eur. Respir. J. 2013, 41, 140–156. [Google Scholar] [CrossRef]
- Morrison, J.; Pai, M.; Hopewell, P.C. Tuberculosis and latent tuberculosis infection in close contacts of people with pulmonary tuberculosis in low-income and middle-income countries: A systematic review and meta-analysis. Lancet Infect. Dis. 2008, 8, 359–368. [Google Scholar] [CrossRef]
- Lienhardt, C.; Sillah, J.; Fielding, K.; Donkor, S.; Manneh, K.; Warndorff, D.; Bennett, S.; McAdam, K. Risk factors for tuberculosis infection in children in contact with infectious tuberculosis cases in the Gambia, West Africa. Pediatrics 2003, 111, e608–e614. [Google Scholar] [CrossRef]
- Park, Y.J.; Kim, Y.M.; Shim, J.A.; Han, S.M.; Park, S.Y.; Kim, J.E.; Park, Y.J.; Choi, J.C.; Jung, S.Y. Diagnosis, treatment and outcomes of latent tuberculosis in the household contact investigation programme. Public Health Wkly. Rep. 2020, 13, 1231–1246. [Google Scholar]
- Dayal, R.; Agarwal, D.; Bhatia, R.; Bipin, C.; Yadav, N.K.; Kumar, S.; Narayan, S.; Goyal, A. Tuberculosis burden among household pediatric contacts of adult tuberculosis patients. Indian J. Pediatr. 2018, 85, 867–871. [Google Scholar] [CrossRef]
- Seddon, J.A.; Hesseling, A.C.; Godfrey-Faussett, P.; Fielding, K.; Schaaf, H.S. Risk factors for infection and disease in child contacts of multidrug-resistant tuberculosis: A cross-sectional study. BMC Infect. Dis. 2013, 13, 392. [Google Scholar] [CrossRef] [PubMed]
- Hu, Y.; Zhao, Q.; Wu, L.; Wang, W.; Yuan, Z.; Xu, B. Prevalence of latent tuberculosis infection and its risk factors in schoolchildren and adolescents in Shanghai, China. Eur. J. Public Health 2013, 23, 1064–1069. [Google Scholar] [CrossRef]
- World Health Organization. Latent Tuberculosis Infection: Updated and Consolidated Guidelines for Programmatic Management; World Health Organization: Geneva, Switzerland, 2018. [Google Scholar]
- Hwang, W.J.; Lee, G.U.; Kim, S.H.; Cho, E.Y. Childhood tuberculosis contact investigation and treatment of latent tuberculosis infection: A single center study, 2014–2017. Pediatr. Infect. Vaccine 2019, 26, 32–41. [Google Scholar] [CrossRef][Green Version]
- Gessner, B.D.; Weiss, N.S.; Nolan, C.M. Risk factors for pediatric tuberculosis infection and disease after household exposure to adult index cases in Alaska. J. Pediatr. 1998, 132, 509–513. [Google Scholar] [CrossRef]
- Nguyen, T.H.; Odermatt, P.; Slesak, G.; Barennes, H. Risk of latent tuberculosis infection in children living in households with tuberculosis patients: A cross sectional survey in remote northern Lao People’s Democratic Republic. BMC Infect. Dis. 2009, 9, 96. [Google Scholar] [CrossRef] [PubMed]
- Singh, M.; Mynak, M.L.; Kumar, L.; Mathew, J.L.; Jindal, S.K. Prevalence and risk factors for transmission of infection among children in household contact with adults having pulmonary tuberculosis. Arch. Dis. Child. 2005, 90, 624–628. [Google Scholar] [CrossRef] [PubMed]



| Characteristics | Relationship between the Index Case and the Contact | Total (n) | p Value | ||||
|---|---|---|---|---|---|---|---|
| Grandparent | Parent | Sibling | Relative | Community | |||
| Age group (y) | <0.001 | ||||||
| 0–6 | 44 (50.6) | 78 (47.9) | 0 (0.0) | 7 (87.5) | 77 (98.7) | 206 | |
| 7–12 | 25 (28.7) | 51 (31.3) | 2 (14.3) | 1 (12.5) | 0 (0.0) | 79 | |
| 13–18 | 18 (20.7) | 34 (20.9) | 12 (85.7) | 0 (0.0) | 1 (1.3) | 65 | |
| Sex | 0.342 | ||||||
| Male | 54 (62.1) | 94 (57.7) | 8 (57.1) | 2 (25) | 42 (53.8) | 200 | |
| Female | 33 (37.9) | 69 (42.3) | 6 (42.9) | 6 (75) | 36 (46.2) | 150 | |
| Latent tuberculosis infection | |||||||
| Negative | 29 (58) | 66 (62.9) | 6 (75) | 5 (62.5) | 73 (96.1) | 179 | |
| Positive | 21 (42) | 39 (37.1) | 2 (25) | 3 (37.5) | 3 (3.9) | 68 | <0.001 |
| Isoniazid-resistant | |||||||
| Negative | 37 (90.2) | 104 (92.9) | 5 (100) | 3 (100) | 72 (100) | 221 | |
| Positive | 4 (9.8) | 8 (7.1) | 0 (0.0) | 0 (0.0) | 0 (0.0) | 12 | 0.011 |
| Loss to Follow-up | |||||||
| No | 49 (56.3) | 103 (63.2) | 8 (57.1) | 8 (100) | 76 (97.4) | 244 | |
| Yes | 38 (43.7) | 60 (36.8) | 6 (42.9) | 0 (0.0) | 2 (2.6) | 106 | <0.001 |
| Characteristics | Number of Index Cases |
|---|---|
| Sex | |
| Male | 42 (50) |
| Female | 42 (50) |
| Symptoms | |
| Cough | 43 (58.9) |
| Sputum | 33 (51.6) |
| Fever | 11 (17.7) |
| All symptoms | 54 (74.0) |
| Tuberculosis sputum test | |
| Positive AFB stain | 22 (37.9) |
| Positive PCR test | 17 (45.9) |
| Positive culture | 26 (56.5) |
| Tuberculosis BAL test | |
| Positive AFB stain | 12 (21.1) |
| Positive PCR test | 36 (62.1) |
| Positive culture | 30 (51.7) |
| Drug-resistant tuberculosis | |
| Isoniazid-resistant | 6 (7.6) |
| Chest radiographic findings | |
| Cavity | 19 (22.6) |
| Tree-in-bud | 22 (26.2) |
| Bronchogenic spread | 20 (23.8) |
| Consolidation | 31 (36.9) |
| Nodular infiltration | 66 (78.6) |
| Pleural effusion | 11 (13.1) |
| Laboratory findings | |
| ESR (mm/h) | 39.32 ± 28.03 |
| WBC (/μL) | 7306.38 ± 2971.39 |
| Neutrophil ratio (%) | 63.71 ± 10.95 |
| ANC (/uL) | 4859.82 ± 2722.49 |
| Lymphocyte ratio (%) | 25.09 ± 9.31 |
| ALC (/uL) | 1666.45 ± 594.10 |
| Neutrophil–lymphocyte ratio | 3.32 ± 2.62 |
| Platelet (/uL) | 274014.49 ± 83424.23 |
| Characteristics | R | p Value |
|---|---|---|
| Symptom | ||
| Cough | 0.406 | 0.065 |
| Sputum | 10.992 | <0.001 |
| Fever | 0.851 | 1 |
| All symptoms | 0.935 | 1 |
| Tuberculosis diagnostic test | ||
| Positive AFB stain | 4.458 | 0.001 |
| Positive BAL AFB stain | 4.831 | 0.005 |
| Positive sputum AFB | 0.724 | 0.592 |
| Positive PCR test | 0.179 | <0.001 |
| Positive BAL PCR test | 0.186 | 0.004 |
| Positive sputum PCR test | 0.6 | 0.53 |
| Positive culture | 0.418 | 0.059 |
| Positive BAL culture | 0.282 | 0.018 |
| Positive sputum culture | 0.756 | 0.771 |
Publisher’s Note: MDPI stays neutral with regard to jurisdictional claims in published maps and institutional affiliations. |
© 2022 by the authors. Licensee MDPI, Basel, Switzerland. This article is an open access article distributed under the terms and conditions of the Creative Commons Attribution (CC BY) license (https://creativecommons.org/licenses/by/4.0/).
Share and Cite
Ma, H.W.; Lee, H.S.; Ahn, J.Y. Analysis of Factors Affecting the Rate of Latent Tuberculosis Infection and Management in Pediatrics. Children 2022, 9, 1567. https://doi.org/10.3390/children9101567
Ma HW, Lee HS, Ahn JY. Analysis of Factors Affecting the Rate of Latent Tuberculosis Infection and Management in Pediatrics. Children. 2022; 9(10):1567. https://doi.org/10.3390/children9101567
Chicago/Turabian StyleMa, Hee Won, Hee Soo Lee, and Ji Young Ahn. 2022. "Analysis of Factors Affecting the Rate of Latent Tuberculosis Infection and Management in Pediatrics" Children 9, no. 10: 1567. https://doi.org/10.3390/children9101567
APA StyleMa, H. W., Lee, H. S., & Ahn, J. Y. (2022). Analysis of Factors Affecting the Rate of Latent Tuberculosis Infection and Management in Pediatrics. Children, 9(10), 1567. https://doi.org/10.3390/children9101567

