Validation of the FACETS-OF-PPC as an Outcome Measure for Children with Severe Neurological Impairment and Their Families—A Multicenter Prospective Longitudinal Study
Abstract
:1. Introduction
2. Materials and Methods
2.1. Design
2.2. Setting
2.3. Participants
2.4. Recruitment and Data Collection
2.5. Measures
2.6. Analysis
3. Results
4. Discussion
Strengths/Limitations
5. Conclusions
Supplementary Materials
Author Contributions
Funding
Institutional Review Board Statement
Informed Consent Statement
Data Availability Statement
Acknowledgments
Conflicts of Interest
References
- Bausewein, C.; Daveson, B.A.; Currow, D.C.; Downing, J.; Deliens, L.; Radbruch, L.; Defilippi, K.; Lopes Ferreira, P.; Costantini, M.; Harding, R.; et al. EAPC White Paper on outcome measurement in palliative care: Improving practice, attaining outcomes and delivering quality services—Recommendations from the European Association for Palliative Care (EAPC) Task Force on Outcome Measurement. Palliat. Med. 2016, 30, 6–22. [Google Scholar] [CrossRef] [PubMed] [Green Version]
- Fraser, L.K.; Lidstone, V.; Miller, M.; Aldridge, J.; Norman, P.; McKinney, P.A.; Parslow, R.C. Patterns of diagnoses among children and young adults with life-limiting conditions: A secondary analysis of a national dataset. Palliat. Med. 2014, 28, 513–520. [Google Scholar] [CrossRef] [PubMed] [Green Version]
- Friedel, M.; Aujoulat, I.; Dubois, A.-C.; Degryse, J.-M. Instruments to Measure Outcomes in Pediatric Palliative Care: A Systematic Review. Pediatrics 2019, 143, e20182379. [Google Scholar] [CrossRef] [Green Version]
- Coombes, L.H.; Wiseman, T.; Lucas, G.; Sangha, A.; Murtagh, F.E.M. Health-related quality-of-life outcome measures in paediatric palliative care: A systematic review of psychometric properties and feasibility of use. Palliat. Med. 2016, 30, 935–949. [Google Scholar] [CrossRef] [Green Version]
- Ribbers, S.; Wager, J.; Hartenstein-Pinter, A.; Zernikow, B.; Reuther, M. Core outcome domains of pediatric palliative care for children with severe neurological impairment and their families: A qualitative interview study. Palliat. Med. 2020, 34, 309–318. [Google Scholar] [CrossRef]
- Downing, J.; Namisango, E.; Harding, R. Outcome measurement in paediatric palliative care: Lessons from the past and future developments. Ann. Palliat. Med. 2018, 7, S151–S163. [Google Scholar] [CrossRef]
- Friedel, M.; Brichard, B.; Boonen, S.; Tonon, C.; Terwangne, B.; de Bellis, D.; Mevisse, M.; Fonteyne, C.; Jaspard, M.; Schruse, M.; et al. Face and Content Validity, Acceptability, and Feasibility of the Adapted Version of the Children’s Palliative Outcome Scale: A Qualitative Pilot Study. J. Palliat. Med. 2021, 24, 181–188. [Google Scholar] [CrossRef]
- Pelke, S.; Wager, J.; Claus, B.B.; Zernikow, B.; Reuther, M. Development and psychometric validation of the family-centered multidimensional outcome measure for pediatric palliative care targeted to children with severe neurological impairmentis—A multicenter prospective study. Palliat. Med. 2021, 35, 611–620. [Google Scholar] [CrossRef] [PubMed]
- Rosseel, Y. Lavaan: An R Package for Structural Equation Modeling. J. Stat. Soft. 2012, 48, 1–36. [Google Scholar] [CrossRef] [Green Version]
- Schreiber, J.B. Update to core reporting practices in structural equation modeling. Res. Soc. Adm. Pharm. 2017, 13, 634–643. [Google Scholar] [CrossRef]
- Flora, D.B. Your Coefficient Alpha Is Probably Wrong, but Which Coefficient Omega Is Right? A Tutorial on Using R to Obtain Better Reliability Estimates. Adv. Methods Pract. Psychol. Sci. 2020, 3, 484–501. [Google Scholar] [CrossRef]
- Benjamini, Y.; Hochberg, Y. Controlling the False Discovery Rate: A Practical and Powerful Approach to Multiple Testing. J. R. Stat. Soc. Ser. B Methodol. 1995, 57, 289–300. [Google Scholar] [CrossRef]
- Kellner, R. Part 2. Improvement criteria in drug trials with neurotic patients. Psychol. Med. 1972, 2, 73–80. [Google Scholar] [CrossRef]
- Fava, G.A.; Tomba, E.; Bech, P. Clinical Pharmacopsychology: Conceptual Foundations and Emerging Tasks. Psychother. Psychosom. 2017, 86, 134–140. [Google Scholar] [CrossRef]
- Fava, G.A.; Carrozzino, D.; Lindberg, L.; Tomba, E. The Clinimetric Approach to Psychological Assessment: A Tribute to Per Bech, MD (1942–2018). Psychother. Psychosom. 2018, 87, 321–326. [Google Scholar] [CrossRef] [PubMed]
- Hoell, J.I.; Weber, H.; Warfsmann, J.; Trocan, L.; Gagnon, G.; Danneberg, M.; Balzer, S.; Keller, T.; Janßen, G.; Kuhlen, M. Facing the large variety of life-limiting conditions in children. Eur. J. Pediatr. 2019, 178, 1893–1902. [Google Scholar] [CrossRef]
- Feudtner, C.; Rosenberg, A.R.; Boss, R.D.; Wiener, L.; Lyon, M.E.; Hinds, P.S.; Bluebond-Langner, M.; Wolfe, J. Challenges and Priorities for Pediatric Palliative Care Research in the U.S. and Similar Practice Settings: Report From a Pediatric Palliative Care Research Network Workshop. J. Pain Symptom Manag. 2019, 58, 909–917.e3. [Google Scholar] [CrossRef]
- Feudtner, C.; Kang, T.I.; Hexem, K.R.; Friedrichsdorf, S.J.; Osenga, K.; Siden, H.; Friebert, S.E.; Hays, R.M.; Dussel, V.; Wolfe, J. Pediatric Palliative Care Patients: A Prospective Multicenter Cohort Study. Pediatrics 2011, 127, 1094–1101. [Google Scholar] [CrossRef] [PubMed] [Green Version]
- Carrozzino, D.; Patierno, C.; Guidi, J.; Berrocal Montiel, C.; Cao, J.; Charlson, M.E.; Christensen, K.S.; Concato, J.; de Las Cuevas, C.; de Leon, J.; et al. Clinimetric Criteria for Patient-Reported Outcome Measures. Psychother. Psychosom. 2021, 90, 222–232. [Google Scholar] [CrossRef] [PubMed]
- Verberne, L.M.; Kars, M.C.; Schouten-van Meeteren, A.Y.N.; Bosman, D.K.; Colenbrander, D.A.; Grootenhuis, M.A.; van Delden, J.J.M. Aims and tasks in parental caregiving for children receiving palliative care at home: A qualitative study. Eur. J. Pediatr. 2017, 176, 343–354. [Google Scholar] [CrossRef] [PubMed] [Green Version]
- Tietze, A.L.; Zernikow, B.; Michel, E.; Blankenburg, M. Sleep disturbances in children, adolescents, and young adults with severe psychomotor impairment: Impact on parental quality of life and sleep. Dev. Med. Child. Neurol. 2014, 56, 1187–1193. [Google Scholar] [CrossRef]
- Simard-Tremblay, E.; Constantin, E.; Gruber, R.; Brouillette, R.T.; Shevell, M. Sleep in Children with Cerebral Palsy. J. Child. Neurol. 2011, 26, 1303–1310. [Google Scholar] [CrossRef] [PubMed]
- Mörelius, E.; Hemmingsson, H. Parents of children with physical disabilities—Perceived health in parents related to the child’s sleep problems and need for attention at night. Child. Care Health Dev. 2014, 40, 412–418. [Google Scholar] [CrossRef] [PubMed]
- Garske, D.; Schmidt, P.; Hasan, C.; Wager, J.; Zernikow, B. Palliativversorgung auf der pädiatrischen Palliativstation „Lichtblicke“—Eine retrospektive Studie. Palliativmedizin 2016, 17, 302–307. [Google Scholar] [CrossRef]
- Crocker, J.C.; Beecham, E.; Kelly, P.; Dinsdale, A.P.; Hemsley, J.; Jones, L.; Bluebond-Langner, M. Inviting parents to take part in paediatric palliative care research: A mixed-methods examination of selection bias. Palliat. Med. 2015, 29, 231–240. [Google Scholar] [CrossRef] [Green Version]

| (a) | |
|---|---|
| Parents | |
| Study participants; n (%) | |
| Mother | 172 (75.8%) |
| Father | 19 (8.4%) |
| Both parents | 21 (9.3%) |
| Other b | 11 (4.8%) |
| Missing | 4 (1.8%) |
| Parents’ age in years; M (SD) | |
| Mothers | 41.9 (8.6) |
| Fathers | 44.7 (8.8) |
| Mothers’ nationalities; n (%) | |
| German | 190 (83.7%) |
| Other | 23 (10.1%) |
| Missing | 14 (6.2%) |
| Fathers’ nationalities; n (%) | |
| German | 176 (77.53%) |
| Others | 25 (11.0%) |
| Missing | 26 (11.5%) |
| Children | |
| Child’s sex | |
| Male | 114 (50.2%) |
| Female | 109 (48.0%) |
| Missing | 4 (1.8%) |
| Child’s age in years; M (SD) | 10.9 (6.9) |
| Child’s nationality; n (%) | |
| German | 208 (91.6%) |
| Other | 13 (5.7%) |
| Missing | 6 (2.6%) |
| Child’s diagnosis c | |
| E00-E90 Endocrine, nutritional, and metabolic diseases | 43 (18.9%) |
| G00-G99 Diseases of the nervous system | 73 (32.2%) |
| P00-P96 Certain conditions originating in the perinatal period | 18 (7.9%) |
| Q00-Q99 Congenital malformations, deformations, and chromosomal abnormalities | 69 (30.4%) |
| D50-D89 Diseases of the blood and blood-forming organs and certain disorders involving the immune mechanism | 1 (0.4%) |
| Not properly indicated | 20 (8.8%) |
| Missing | 3 (1.3%) |
| Duration of palliative care in years | |
| 0–0.5 | 41 (18.1%) |
| >0.5–1 | 14 (6.2%) |
| >1–2 | 19 (8.4%) |
| >2–5 | 52 (22.9%) |
| >5–10 | 40 (17.6%) |
| >10 | 14 (6.2%) |
| Missing | 47 (20.7%) |
| Sample | |
| Inpatient | 159 (70.0%) |
| Outpatient | 68 (30.0%) |
| (b) | |
| Sex; n (%) | |
| Male | 27 (11.3%) |
| Female | 202 (84.9%) |
| Missing | 9 (3.8%) |
| Age in years; M (SD) | 41.5 (12.5) |
| Work experience in years d; n (%) | |
| 0–1 | 41 (17.2%) |
| >1–2 | 27 (11.3%) |
| >2–5 | 65 (27.3%) |
| >5–10 | 46 (19.3%) |
| >10 | 30 (12.6%) |
| Not indicated | 2 (0.8%) |
| Missing | 27 (11.3%) |
| Work setting e; n (%) | |
| Pediatric Palliative Care Unit | 39 (16.4%) |
| Children’s Hospice | 112 (47.1%) |
| Specialized pediatric palliative home care | 77 (32.4%) |
| Other f | 7 (2.9%) |
| Missing | 3 (1.2%) |
| Profession e; n (%) | |
| Physician | 52 (22.5%) |
| Nurse | 184 (79.7%) |
| Psychologist/social worker | 5 (2.2%) |
| Grief counselor | 2 (0.9%) |
| Other g | 6 (2.6%) |
| N a | Mean | SD | ||
|---|---|---|---|---|
| Parents | How would you rate the length of the questionnaire? b | 212 | 3.00 | 0.44 |
| How comprehensible is the questionnaire? c | 216 | 1.61 | 0.58 | |
| How relevant are the included items for pediatric palliative care? d | 212 | 1.73 | 0.67 | |
| Professional caregivers | How would you rate the length of the questionnaire? b | 223 | 3.13 | 0.46 |
| How comprehensible is the questionnaire? c | 222 | 1.82 | 0.57 | |
| How relevant are the included items for pediatric palliative care? d | 219 | 1.78 | 0.62 |
| Data | Time Point | n | X2/df | CFI | TLI | SRMR | RMSEA | |
|---|---|---|---|---|---|---|---|---|
| Original model a | Parents | Pre | 227 | 2.33 | 0.73 | 0.70 | 0.09 | 0.08 |
| Post | 165 | 2.00 | 0.76 | 0.73 | 0.09 | 0.08 | ||
| Professional caregivers | Pre | 236 | 2.71 | 0.75 | 0.72 | 0.11 | 0.09 | |
| post | 190 | 2.44 | 0.77 | 0.74 | 0.10 | 0.09 | ||
| Revised model 1 b | Parents | Pre | 227 | 2.57 | 0.78 | 0.75 | 0.09 | 0.08 |
| Post | 165 | 2.39 | 0.78 | 0.75 | 0.09 | 0.09 | ||
| Professional caregivers | Pre | 236 | 2.81 | 0.82 | 0.80 | 0.08 | 0.09 | |
| post | 190 | 2.46 | 0.84 | 0.82 | 0.09 | 0.09 | ||
| Revised model 2 c | Parents | Pre | 227 | 2.39 | 0.89 | 0.86 | 0.07 | 0.08 |
| Post | 165 | 2.42 | 0.86 | 0.83 | 0.08 | 0.09 | ||
| Professional caregivers | Pre | 236 | 3.70 | 0.84 | 0.80 | 0.09 | 0.11 | |
| post | 190 | 2.12 | 0.92 | 0.91 | 0.08 | 0.08 |
| Scale | Items |
|---|---|
| Child’s social participation | My child took part in social life according to his/her abilities. |
| I have ideas on how to keep my child occupied in daily life. | |
| Besides his/her limitations, my child also has abilities. | |
| Normalcy | I had time to do the things that make me happy. |
| I had time to myself. | |
| Despite my child’s illness, I was able to maintain social contacts. | |
| My everyday life was predictable. | |
| A normal family life was possible for us. | |
| Social support | I was alone in dealing with my child’s illness. |
| I was alone with my grief. | |
| I could talk openly about my child’s illness in my social environment. | |
| Coping with the disease | I despair at the question of why my child is affected. |
| I can accept my child’s illness. | |
| I feel guilty for my child’s illness. | |
| Caregiver’s competencies | I am prepared for my child’s crises. |
| If necessary, I am able to independently take measures to alleviate my child’s symptoms. | |
| I have a clear idea of what should be done for my child in a medical emergency. |
| Parents | Professional Caregivers | |||
|---|---|---|---|---|
| Pre | Post | Pre | Post | |
| Child’s social participation | 0.58 | 0.64 | 0.67 | 0.79 |
| Normalcy | 0.88 | 0.88 | 0.89 | 0.89 |
| Social support | 0.69 | 0.52 | 0.65 | 0.78 |
| Coping with the disease | 0.7 | 0.74 | 0.67 | 0.74 |
| Caregivers’ competencies | 0.76 | 0.77 | 0.84 | 0.76 |
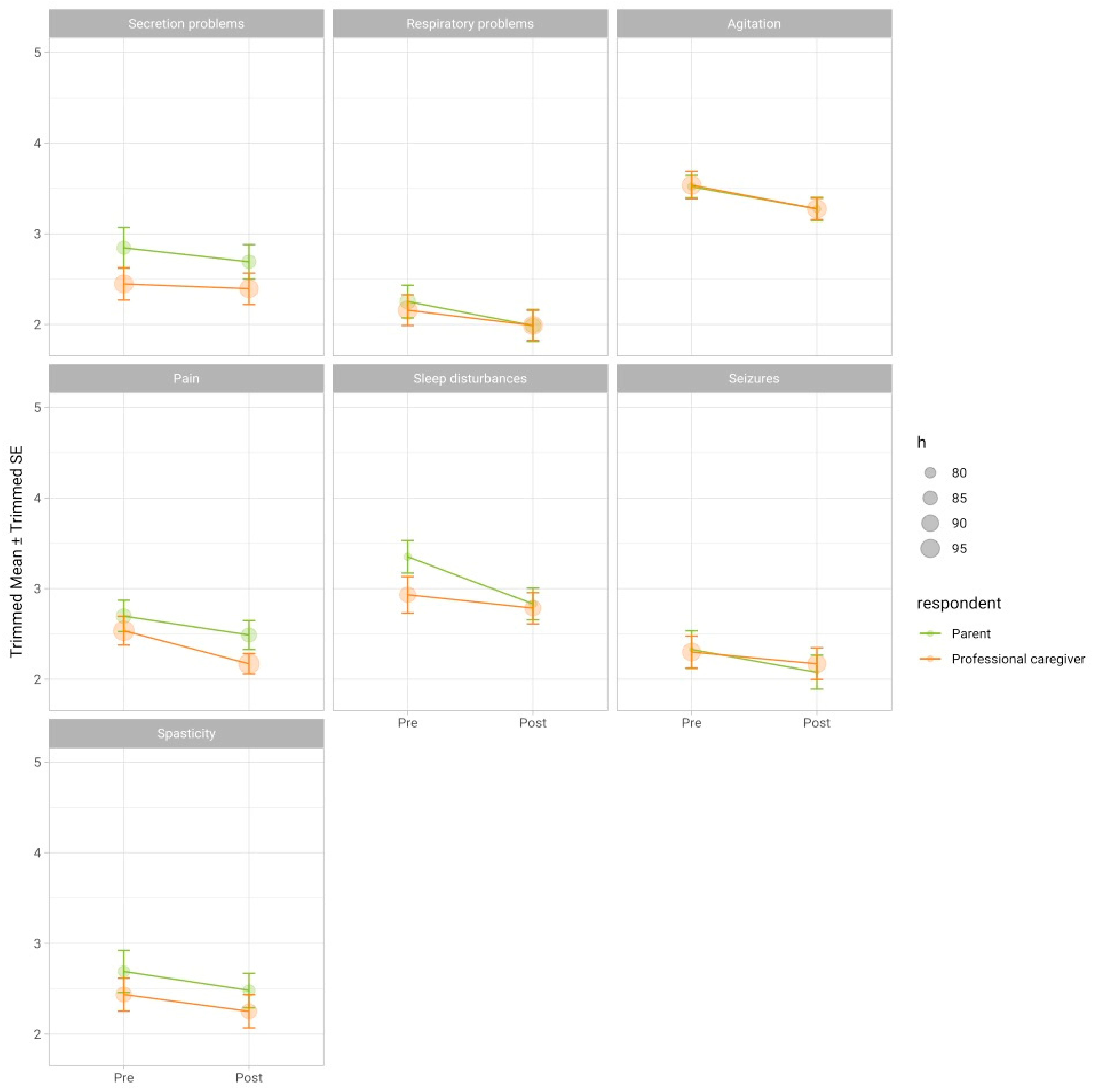
| Variable | F | df1 | df2 | p | padj | n | h |
|---|---|---|---|---|---|---|---|
| Parents | |||||||
| Secretion problems | 0.93 | 1 | 83 | 0.337 | 0.385 | 140 | 84 |
| Respiratory problems | 4.78 | 1 | 86 | 0.031 | 0.084 | 143 | 87 |
| Agitation | 4.94 | 1 | 76 | 0.029 | 0.084 | 127 | 77 |
| Pain | 2.26 | 1 | 85 | 0.136 | 0.182 | 142 | 86 |
| Sleep disturbances | 12.13 | 1 | 76 | <0.001 | 0.007 | 127 | 77 |
| Seizures | 4.23 | 1 | 75 | 0.043 | 0.086 | 126 | 76 |
| Spasticity | 2.94 | 1 | 80 | 0.09 | 0.144 | 133 | 81 |
| Professional Caregivers | |||||||
| Secretion problems | 0.15 | 1 | 93 | 0.696 | 0.696 | 156 | 94 |
| Respiratory problems | 1.68 | 1 | 94 | 0.197 | 0.395 | 157 | 95 |
| Agitation | 4.35 | 1 | 94 | 0.04 | 0.158 | 157 | 95 |
| Pain | 6.18 | 1 | 98 | 0.015 | 0.117 | 163 | 99 |
| Sleep disturbances | 0.61 | 1 | 87 | 0.436 | 0.499 | 144 | 88 |
| Seizures | 0.94 | 1 | 92 | 0.334 | 0.499 | 155 | 93 |
| Spasticity | 2.07 | 1 | 86 | 0.154 | 0.395 | 143 | 87 |
Publisher’s Note: MDPI stays neutral with regard to jurisdictional claims in published maps and institutional affiliations. |
© 2021 by the authors. Licensee MDPI, Basel, Switzerland. This article is an open access article distributed under the terms and conditions of the Creative Commons Attribution (CC BY) license (https://creativecommons.org/licenses/by/4.0/).
Share and Cite
Pelke, S.; Wager, J.; Claus, B.B.; Stening, K.; Zernikow, B.; Reuther, M. Validation of the FACETS-OF-PPC as an Outcome Measure for Children with Severe Neurological Impairment and Their Families—A Multicenter Prospective Longitudinal Study. Children 2021, 8, 905. https://doi.org/10.3390/children8100905
Pelke S, Wager J, Claus BB, Stening K, Zernikow B, Reuther M. Validation of the FACETS-OF-PPC as an Outcome Measure for Children with Severe Neurological Impairment and Their Families—A Multicenter Prospective Longitudinal Study. Children. 2021; 8(10):905. https://doi.org/10.3390/children8100905
Chicago/Turabian StylePelke, Sophie, Julia Wager, Benedikt B. Claus, Kathrin Stening, Boris Zernikow, and Mandira Reuther. 2021. "Validation of the FACETS-OF-PPC as an Outcome Measure for Children with Severe Neurological Impairment and Their Families—A Multicenter Prospective Longitudinal Study" Children 8, no. 10: 905. https://doi.org/10.3390/children8100905
APA StylePelke, S., Wager, J., Claus, B. B., Stening, K., Zernikow, B., & Reuther, M. (2021). Validation of the FACETS-OF-PPC as an Outcome Measure for Children with Severe Neurological Impairment and Their Families—A Multicenter Prospective Longitudinal Study. Children, 8(10), 905. https://doi.org/10.3390/children8100905

