Role of Sex in Shaping Brain Network Organization During Reading in Developmental Dyslexia
Abstract
1. Introduction
2. Materials and Methods
2.1. EEG Data Acquisition and Processing
2.2. Application of a Minimum Spanning Tree Method to Experimental Design
2.3. Reading Task
- (1)
- Vocal Reaction Time: The time elapsed from the onset of the word on the screen to the initiation of reading.
- (2)
- Word Reading Duration: The total time spent reading each word.
- (3)
- Reading Speed: The number of words read correctly during the task.
2.4. Statistical Analysis
2.5. Selection of Groups
3. Results
3.1. Between-Group Parameters in Word Reading Task
3.2. Within-Group Design of Behavioral Parameters in Word Reading Task
3.3. Within-Group Comparison of Global MST Measures of Functional Connectivity
3.4. Within-Group Comparison of Local Measures of Frequency Networks
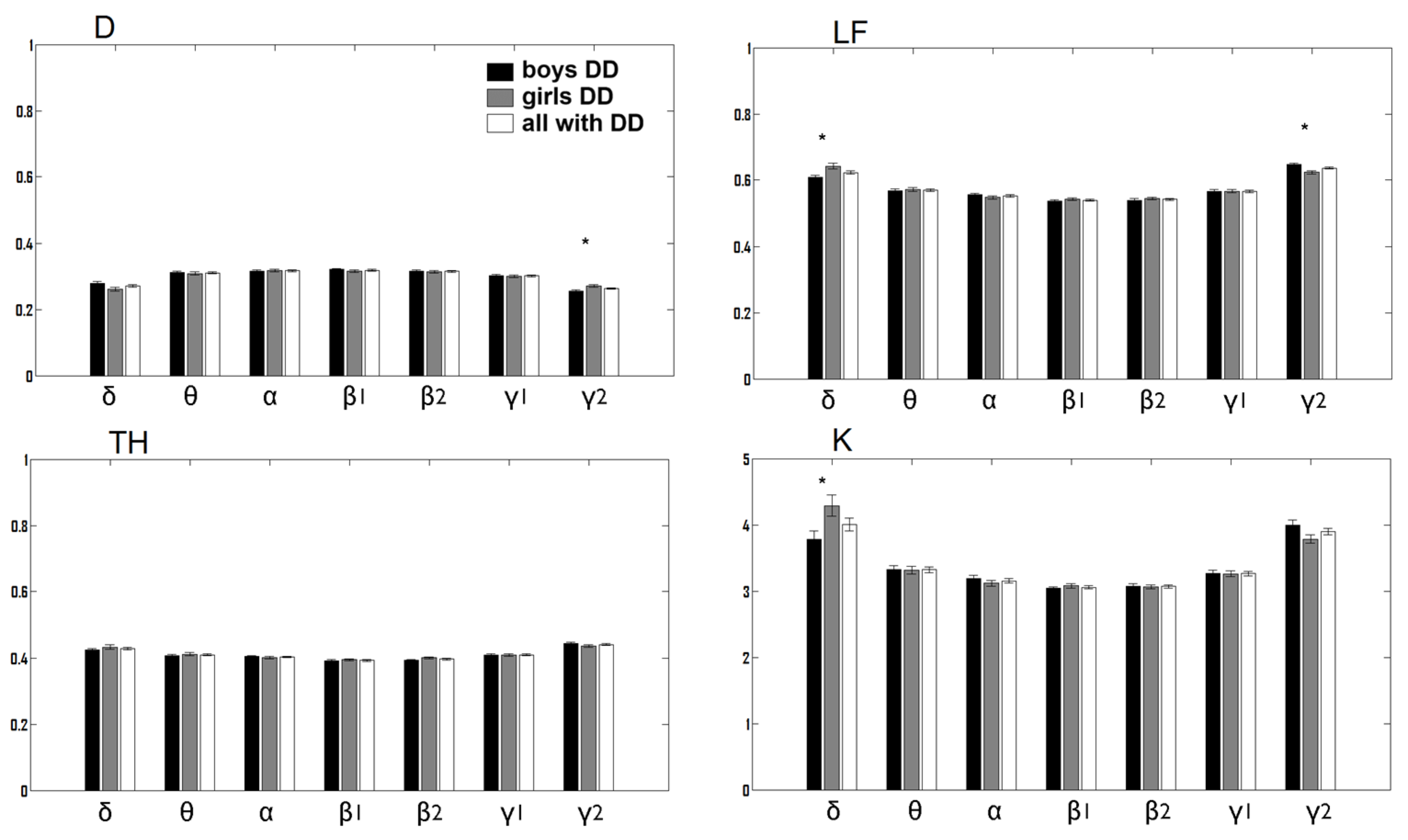
3.4.1. Sex Differences in Group with DD
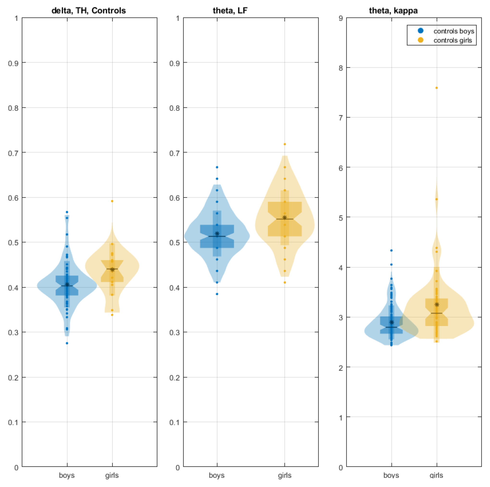
3.4.2. Sex Differences in Control Group
3.5. Exploring Interindividual Variation in Functional Networks
- (a)
- Boys with DD, representing up to 7% of the total sample (Figure 7A).
- (b)
- Girls with DD, accounting for up to 3% of the sample (Figure 7B).
- (c)
- The comparison between boys and girls with DD, showing a difference of up to 11% (Figure 7C).
- (d)
- Control boys, representing 1% of the total sample (Figure 7D).
- (e)
- Control girls, also representing 1% of the total sample (Figure 7E).
- (f)
- The comparison between control boys and girls, showing a difference of up to 8% (Figure 7F).
- (a)
- Boys diagnosed with DD, representing up to 12% of the total sample (Figure 8A).
- (b)
- Girls with DD, accounting for 2% of the sample (Figure 8B).
- (c)
- The comparison between boys and girls with DD, showing a difference of up to 13% (Figure 8C).
- (d)
- Control boys, representing 2% of the total sample (Figure 8D).
- (e)
- Control girls, accounting for 1% of the total sample (Figure 8E).
- (f)
- The comparison between control boys and girls, showing a difference of up to 9% (Figure 8F).
4. Discussion
4.1. Relationship Between Variability in Network Connectivity During Reading and Development of Control Group
4.2. Relationship Between Variability in Network Connectivity During Reading and DD Deficits
4.3. Relationship Between Variability in Network Connectivity and Sex
5. Conclusions
Supplementary Materials
Author Contributions
Funding
Institutional Review Board Statement
Informed Consent Statement
Data Availability Statement
Acknowledgments
Conflicts of Interest
References
- Dehaene, S.; Cohen, L.; Morais, J.; Kolinsky, R. Illiterate to literate: Behavioural and cerebral changes induced by reading acquisition. Nat. Rev. Neurosci. 2015, 16, 234–244. [Google Scholar] [CrossRef] [PubMed]
- Castles, A.; Rastle, K.; Nation, K. Ending the Reading Wars: Reading Acquisition from Novice to Expert. Psychol. Sci. Public Interest 2018, 19, 5–51. [Google Scholar] [CrossRef]
- Share, D.L. Phonological recoding and self-teaching: Sine qua non of reading acquisition. Cognition 1995, 55, 151–218. [Google Scholar] [CrossRef]
- Landerl, K.; Ramus, F.; Moll, K.; Lyytinen, H.; Leppänen, P.H.T.; Lohvansuu, K.; O’Donovan, M.; Williams, J.; Bartling, J.; Bruder, J.; et al. Predictors of developmental dyslexia in European orthographies with varying complexity. J. Child Psychol. Psychiatry 2012, 54, 686–694. [Google Scholar] [CrossRef] [PubMed]
- Hancock, R.; Pugh, K.R.; Hoeft, F. Neural Noise Hypothesis of Developmental Dyslexia. Trends Cogn. Sci. 2017, 21, 434–448. [Google Scholar] [CrossRef]
- Bassett, D.S.; Bullmore, E. Small-World Brain Networks. Neuroscience 2006, 12, 512–523. [Google Scholar] [CrossRef] [PubMed]
- Pugh, K.R.; Landi, N.; Preston, J.L.; Mencl, W.E.; Austin, A.C.; Sibley, D.; Fulbright, R.K.; Seidenberg, M.S.; Grigorenko, E.L.; Constable, R.T.; et al. The relationship between phonological and auditory processing and brain organization in beginning readers. Brain Lang. 2013, 125, 173–183. [Google Scholar] [CrossRef] [PubMed]
- Bohland, J.W.; Tourville, J.A.; Guenther, F.H. Neural Bases of Speech Production. In The Routledge Handbook of Phonetics; Routledge: London, UK, 2019; pp. 126–163. [Google Scholar]
- Friederici, A.D. The neural basis for human syntax: Broca’s area and beyond. Curr. Opin. Behav. Sci. 2018, 21, 88–92. [Google Scholar] [CrossRef]
- Vandermosten, M.; Boets, B.; Wouters, J.; Ghesquière, P. A qualitative and quantitative review of diffusion tensor imaging studies in reading and dyslexia. Neurosci. Biobehav. Rev. 2012, 36, 1532–1552. [Google Scholar] [CrossRef] [PubMed]
- Dehaene, S.; Cohen, L. The unique role of the visual word form area in reading. Trends Cogn. Sci. 2011, 15, 254–262. [Google Scholar] [CrossRef] [PubMed]
- Behrmann, M.; Plaut, D.C. A vision of graded hemispheric specialization. Ann. N. Y. Acad. Sci. 2015, 1359, 30–46. [Google Scholar] [CrossRef]
- Brownell, H. Chapter 10—Right Hemisphere Contributions to Understanding Lexical Connotation and Metaphor. In Language and the Brain, Representation and Processing, Foundations of Neuropsychology; Academic Press: Cambridge, MA, USA, 2000; pp. 185–201. [Google Scholar]
- Kershner, J.R. Neuroscience and education: Cerebral lateralization of networks and oscillations in dyslexia. Laterality 2019, 25, 109–125. [Google Scholar] [CrossRef]
- Weems, S.A.; Zaidel, E. The relationship between reading ability and lateralized lexical decision. Brain Cogn. 2004, 55, 507–515. [Google Scholar] [CrossRef] [PubMed]
- Tewarie, P.; Van Dellen, E.; Hillebrand, A.; Stam, C.J. The minimum spanning tree: An unbiased method for brain network analysis. NeuroImage 2015, 104, 177–188. [Google Scholar] [CrossRef] [PubMed]
- He, W.; Sowman, P.F.; Brock, J.; Etchell, A.C.; Stam, C.J.; Hillebrand, A. Increased segregation of functional networks in developing brains. NeuroImage 2019, 200, 607–620. [Google Scholar] [CrossRef]
- Dhamala, E.; Bassett, D.S.; Yeo, B.T.T.; Homes, A.J. Functional brain networks are associated with both sex and gender in children. Sci. Adv. 2024, 10, eadn4202. [Google Scholar] [CrossRef] [PubMed]
- Krafnick, A.J.; Evans, T.M. Neurobiological Sex Differences in Developmental Dyslexia. Front. Psychol. 2019, 119, 2669. [Google Scholar] [CrossRef] [PubMed]
- Shanmugan, S.; Seidlitz, J.; Cui, Z.; Adebimpe, A.; Bassett, D.S.; Bertolero, M.A.; Davatzikos, C.; Fair, D.A.; Gur, R.E.; Gur, R.C. Sex differences in the functional topography of association networks in youth. Proc. Natl. Acad. Sci. USA 2022, 119, e2110416119. [Google Scholar] [CrossRef]
- Weis, S.; Patil, K.R.; Hoffstaedter, F.; Nostro, A.; Yeo, B.T.T.; Eickhoff, S.B. Sex Classification by Resting State Brain Connectivity. Cereb. Cortex 2020, 30, 824–835. [Google Scholar] [CrossRef]
- Keller, A.S.; Sydnor, V.J.; Pines, A.; Fair, D.A.; Bassett, D.S.; Satterthwaite, T.D. Hierarchical functional system development supports executive function. Trends Cogn. Sci. 2023, 27, 160–174. [Google Scholar] [CrossRef] [PubMed]
- Taskov, T.; Dushanova, J. Reading-Network in Developmental Dyslexia before and after Visual Training. Symmetry. Symmetry 2020, 12, 1842. [Google Scholar] [CrossRef]
- Roca-Stappung, M.; Fernández, T.; Bosch-Bayard, J.; Harmony, T.; Ricardo-Garcell, J. Electroencephalographic characterization of subgroups of children with learning disorders. PLoS ONE 2017, 12, e0179556. [Google Scholar] [CrossRef] [PubMed]
- Bosch-Bayard, J.; Galán-García, L.; Fernandez, T.; Lirio, R.B.; Bringas-Vega, M.L.; Roca-Stappung, M.; Ricardo-Garcell, J.; Harmony, T.; Valdes-Sosa, P.A. Stable Sparse Classifiers Identify qEEG Signatures that Predict Learning Disabilities (NOS) Severity. Front. Neurosci. 2018, 11, 749. [Google Scholar] [CrossRef]
- Fraga González, G.; Žarić, G.; Tijms, J.; Bonte, M.; Blomert, L.; van der Molen, M.W. A Randomized Controlled Trial on The Beneficial Effects of Training Letter-Speech Sound Integration on Reading Fluency in Children with Dyslexia. PLoS ONE 2015, 10, e0143914. [Google Scholar] [CrossRef] [PubMed]
- Totev, T.; Taskov, T.; Dushanova, J. A Wireless EEG System for Neurofeedback Training. Appl. Sci. 2023, 13, 96. [Google Scholar] [CrossRef]
- Koessler, L.; Maillard, L.; Benhadid, A.; Vignal, J.P.; Felblinger, J.; Vespignani, H.; Braun, M. Automated cortical projection of EEG sensors: Anatomical correlation via the international 10-10 system. NeuroImage 2009, 46, 64–72. [Google Scholar] [CrossRef] [PubMed]
- Giacometti, P.; Perdue, K.L.; Diamond, S.G. Algorithm to find high density EEG scalp coordinates and analysis of their correspondence to structural and functional regions of the brain. J. Neurosci. Methods 2014, 229, 84–96. [Google Scholar] [CrossRef] [PubMed]
- Dushanova, J.; Christov, M. Auditory event-related brain potentials for an early discrimination between normal and pathological brain aging. Neural Regen. Res. 2013, 8, 1390–1399. [Google Scholar] [PubMed]
- Stam, C.J.; Nolte, G.; Daffertshofer, A. Phase lag index: Assessment of functional connectivity from multi-channel EEG and MEG with diminished bias from common sources. Hum. Brain Mapp. 2007, 28, 1178–1193. [Google Scholar] [CrossRef] [PubMed]
- Smith, K.; Abásolo, D.; Escudero, J. Accounting for the complex hierarchical topology of EEG phase-based functional connectivity in network binarisation. PLoS ONE 2017, 12, e0186164. [Google Scholar] [CrossRef] [PubMed]
- Bullmore, E.; Sporns, O. Complex brain networks: Graph theoretical analysis of structural and functional systems. Nat. Rev. Neurosci. 2009, 10, 186–198. [Google Scholar] [CrossRef] [PubMed]
- Rubinov, M.; Sporns, O. Complex network measures of brain connectivity: Uses and interpretations. NeuroImage 2010, 52, 1059–1069. [Google Scholar] [CrossRef] [PubMed]
- Stam, C.J.; van Straaten, E.C. The organization of physiological brain networks. Clin. Neurophysiol. 2012, 123, 1067–1087. [Google Scholar] [CrossRef]
- Xia, M.; Wang, J.; He, Y. BrainNet Viewer: A network visualization tool for human brain connectomics. PLoS ONE 2013, 8, e68910. [Google Scholar] [CrossRef]
- Maris, E.; Oostenveld, R. Nonparametric statistical testing of EEG-and MEG-data. J. Neurosci. Methods 2007, 164, 177–190. [Google Scholar] [CrossRef]
- Raichev, P.; Geleva, T.; Valcheva, M.; Rasheva, M.; Raicheva, M. Protocol on Neurological and Neuropsychological Studies of Children with Specific Learning Disabilities. In Integrated Learning and Resource Teacher; Evgenieva, E., Ed.; Publishing House “Dr. Ivan Bogorov”: Sofia, Bulgaria, 2005; pp. 82–105. (In Bulgarian) [Google Scholar]
- Matanova, V.; Todorova, E. DDE-2 Test Battery for Evaluation of Dyslexia of Development—Bulgarian Adaptation; OS Bulgaria Ltd.: Sofia, Bulgaria, 2013; Available online: https://www.giuntipsy.bg/bg/prod-19-testova-bateriq-za-ocenka-nadisleksiq-na-razvitieto.htm (accessed on 1 October 2013).
- Sartori, G.; Remo, J.; Tressoldi, P.E. Updated and Revised Edition for the Evaluation of Dyslexia. In DDE-2, Battery for the Developmental Dyslexia and Evolutionary Disorders-2, 1995; Giunti, O.S.: Florence, Italy, 2007. [Google Scholar]
- Girolami-Boulinier, A. Contrôle des Aptitudes à la Lecture et à l’Ecriture (CALE); CALE: Paris, France, 1985. (In French) [Google Scholar]
- Yakimova, R. Abnormalities of Written Speech; Rommel Publuling House: Sofia, Bulgaria, 2004. (In Bulgarian) [Google Scholar]
- Raven, J.; Raven, J.C.; Court, J.H. Manual for Raven’s Progressive Matrices and Vocabulary Scales. In The Colored Progressive. Patrices; Oxford Psychologists Press: Oxford, UK; The Psychological Corporation: San Antonio, TX, USA, 1998. [Google Scholar]
- Kalonkina, A.; Lalova, Y. Normative Indicators for the Test Battery for a Written Speech Assessment; Iossifova, R., Ed.; Rommel Publishing House: Sofia, Bulgaria, 2016; pp. 30–38. [Google Scholar]
- Annett, A. A classification of hand preference by association analysis. Br. J. Psychol. 1970, 61, 303–321. [Google Scholar] [CrossRef] [PubMed]
- Hagler, D.J.; Hatton, S.; Cornejo, M.D.; Makowski, C.; Fair, D.A.; Dick, A.S.; Sutherland, M.T.; Casey, B.J.; March, D.M.; Harms, M.P.; et al. Image processing and analysis methods for the Adolescent Brain Cognitive Development Study. NeuroImage 2019, 202, 116091. [Google Scholar] [CrossRef]
- Luo, A.C.; Sydnor, V.J.; Pines, A.; Larsen, B.; Alexander-Bloch, A.F.; Cieslak, M.; Covitz, S.; Chen, A.A.; Esper, N.B.; Franco, A.R.; et al. Functional connectivity development along the sensorimotor-association axis enhances the cortical hierarchy. Nat. Commun. 2024, 15, 3511. [Google Scholar] [CrossRef] [PubMed]
- Chan, M.Y.; Park, D.C.; Savalia, N.K.; Petersen, S.E.; Wig, G.S. Decreased segregation of brain systems across the healthy adult lifespan. Proc. Natl. Acad. Sci. USA 2014, 111, E4997–E5006. [Google Scholar] [CrossRef] [PubMed]
- Levy, J.; Pernet, C.; Treserras, S.; Boulanouar, K.; Aubry, F.; Démonet, J.F.; Celsis, P. Testing for the Dual-Route Cascade Reading Model in the Brain: An fMRI Effective Connectivity Account of an Efficient Reading Style. PLoS ONE 2009, 4, e6675. [Google Scholar] [CrossRef] [PubMed]
- Stoodley, C.J.; Stein, J.F. Cerebellar Function in Developmental Dyslexia. Cerebellum 2012, 12, 267–276. [Google Scholar] [CrossRef]
- Kujala, J.; Pammer, K.; Cornelissen, P.; Roebroeck, A.; Formisano, E.; Salmelin, R. Phase coupling in a cerebro-cerebellar network at 8–13 hz during reading. Cereb. Cortex 2007, 17, 1476–1485. [Google Scholar] [CrossRef]
- Richlan, F. Developmental dyslexia: Dysfunction of a left hemisphere reading network. Front. Hum. Neurosci. 2012, 6, 120. [Google Scholar] [CrossRef] [PubMed]
- Vogel, A.C.; Church, J.A.; Power, J.D.; Miezin, F.M.; Petersen, S.E.; Schlaggar, B.L. Functional network architecture of reading-related regions across development. Brain Lang. 2013, 125, 231–243. [Google Scholar] [CrossRef] [PubMed]
- Murdaugh, D.L.; Maximo, J.O.; Kana, R.K. Changes in intrinsic connectivity of the brain’s reading network following intervention in children with autism. Hum. Brain Mapp. 2015, 36, 2965–2979. [Google Scholar] [CrossRef] [PubMed]
- Richlan, F.; Kronbichler, M.; Wimmer, H. Functional abnormalities in the dyslexic brain: A quantitative meta-analysis of neuroimaging studies. Hum. Brain Mapp. 2009, 30, 3299–3308. [Google Scholar] [CrossRef] [PubMed]
- Schulz, E.; Maurer, U.; van der Mark, S.; Bucher, K.; Brem, S.; Martin, E.; Brandeis, D. Impaired semantic processing during sentence reading inchildren with dyslexia: Combined fMRI and ERP evidence. Neuroimage 2008, 41, 153–168. [Google Scholar] [CrossRef] [PubMed]
- Mahe, G.; Pont, C.; Zesiger, P.; Laganaro, M. The electrophysiological correlates of developmental dyslexia: New insights from lexical decision and reading aloud in adults. Neuropsychology 2018, 121, 19–27. [Google Scholar] [CrossRef]
- Horowitz-Kraus, T.; Hutton, J.S. Brain connectivity in children is increased by the time they spend reading books and decreased by the length of exposure to screen-based media. Acta Paediatr. 2017, 107, 685–693. [Google Scholar] [CrossRef] [PubMed]
- Dehaene-Lambertz, G.; Monzalvo, K.; Dehaene, S. The emergence of the visual word form: Longitudinal evolution of category-specific ventral visual areas during reading acquisition. PLoS Biol. 2018, 16, e2004103. [Google Scholar] [CrossRef] [PubMed]
- Long, X.; Benischek, A.; Dewey, D.; Lebel, C. Age-related functional brain changes in young children. NeuroImage 2017, 155, 322–330. [Google Scholar] [CrossRef] [PubMed]
- Vourkas, M.; Micheloyannis, S.; Simos, P.G.; Rezaie, R.; Fletcher, J.M.; Cirino, P.T.; Papanicolaou, A.C. Dynamic task-specific brain network connectivity in children with severe reading difficulties. Neurosci. Lett. 2011, 488, 123–128. [Google Scholar] [CrossRef] [PubMed]
- Schlaggar, B.L.; McCandliss, B.D. Development of Neural Systems for Reading. Annu. Rev. Neurosci. 2007, 30, 475–503. [Google Scholar] [CrossRef] [PubMed]
- Liu, K.; Shi, L.; Chen, F.; Waye, M.M.-Y.; Lim, C.K.; Cheng, P.-W.; Luk, S.S.; Mok, V.C.T.; Chu, W.C.W.; Wang, D. Altered topological organization of brain structural network in Chinese children with developmental dyslexia. Neurosci. Lett. 2015, 589, 169–175. [Google Scholar] [CrossRef] [PubMed]
- Lallier, M.; Tainturier, M.-J.; Dering, B.; Donnadieu, S.; Valdois, S.; Thierry, G. Behavioral and ERP evidence for amodal sluggish attentional shifting in developmental dyslexia. Neuropsychology 2010, 48, 4125–4135. [Google Scholar] [CrossRef] [PubMed]
- Harrar, V.; Tammam, J.; Pérez-Bellido, A.; Pitt, A.; Stein, J.; Spence, C. Multisensory Integration and Attention in Developmental Dyslexia. Curr. Biol. 2014, 24, 531–535. [Google Scholar] [CrossRef] [PubMed]
- Kraft, D.; Alnæs, D.; Kaufmann, T. Domain adapted brain network fusion captures variance related to pubertal brain development and mental health. Nat. Commun. 2023, 14, 6698. [Google Scholar] [CrossRef]
- Greene, A.S.; Gao, S.; Scheinost, D.; Constable, R.T. Task-induced brain state manipulation improves prediction of individual traits. Nat. Commun. 2018, 189, 2807. [Google Scholar] [CrossRef] [PubMed]








| DD | Control | KW Test | |
|---|---|---|---|
| Mean ± s.e. | Mean ± s.e. | p, x2 | |
| vRT [ms] | 1093.8 ± 19.48 | 865.48 ± 14.22 | <0.0001, 376.4 |
| dRT [ms] | 734.46 ± 26.76 | 579.39 ± 30.21 | <0.0001, 250.5 |
| Speed [N/s] | 21.74 ± 2.28 | 39.65 ± 3.07 | <0.0001, 30.78 |
| Success [%] | 70.74 ± 3.7 | 99.32% ± 0.41 | <0.0001, 36.24 |
| Omitted words [N/s] | 12 ± 1.5 | <1 ± 0.16 | <0.0001, 36.24 |
Disclaimer/Publisher’s Note: The statements, opinions and data contained in all publications are solely those of the individual author(s) and contributor(s) and not of MDPI and/or the editor(s). MDPI and/or the editor(s) disclaim responsibility for any injury to people or property resulting from any ideas, methods, instructions or products referred to in the content. |
© 2025 by the authors. Licensee MDPI, Basel, Switzerland. This article is an open access article distributed under the terms and conditions of the Creative Commons Attribution (CC BY) license (https://creativecommons.org/licenses/by/4.0/).
Share and Cite
Taskov, T.; Dushanova, J. Role of Sex in Shaping Brain Network Organization During Reading in Developmental Dyslexia. Children 2025, 12, 207. https://doi.org/10.3390/children12020207
Taskov T, Dushanova J. Role of Sex in Shaping Brain Network Organization During Reading in Developmental Dyslexia. Children. 2025; 12(2):207. https://doi.org/10.3390/children12020207
Chicago/Turabian StyleTaskov, Tihomir, and Juliana Dushanova. 2025. "Role of Sex in Shaping Brain Network Organization During Reading in Developmental Dyslexia" Children 12, no. 2: 207. https://doi.org/10.3390/children12020207
APA StyleTaskov, T., & Dushanova, J. (2025). Role of Sex in Shaping Brain Network Organization During Reading in Developmental Dyslexia. Children, 12(2), 207. https://doi.org/10.3390/children12020207

