Postnatal Growth Assessment of the Very-Low-Birth-Weight Preterm Infant
Abstract
1. Introduction
2. Growth Reference Selection for Very-Low-Birth-Weight Infants
3. Size Classification at Birth
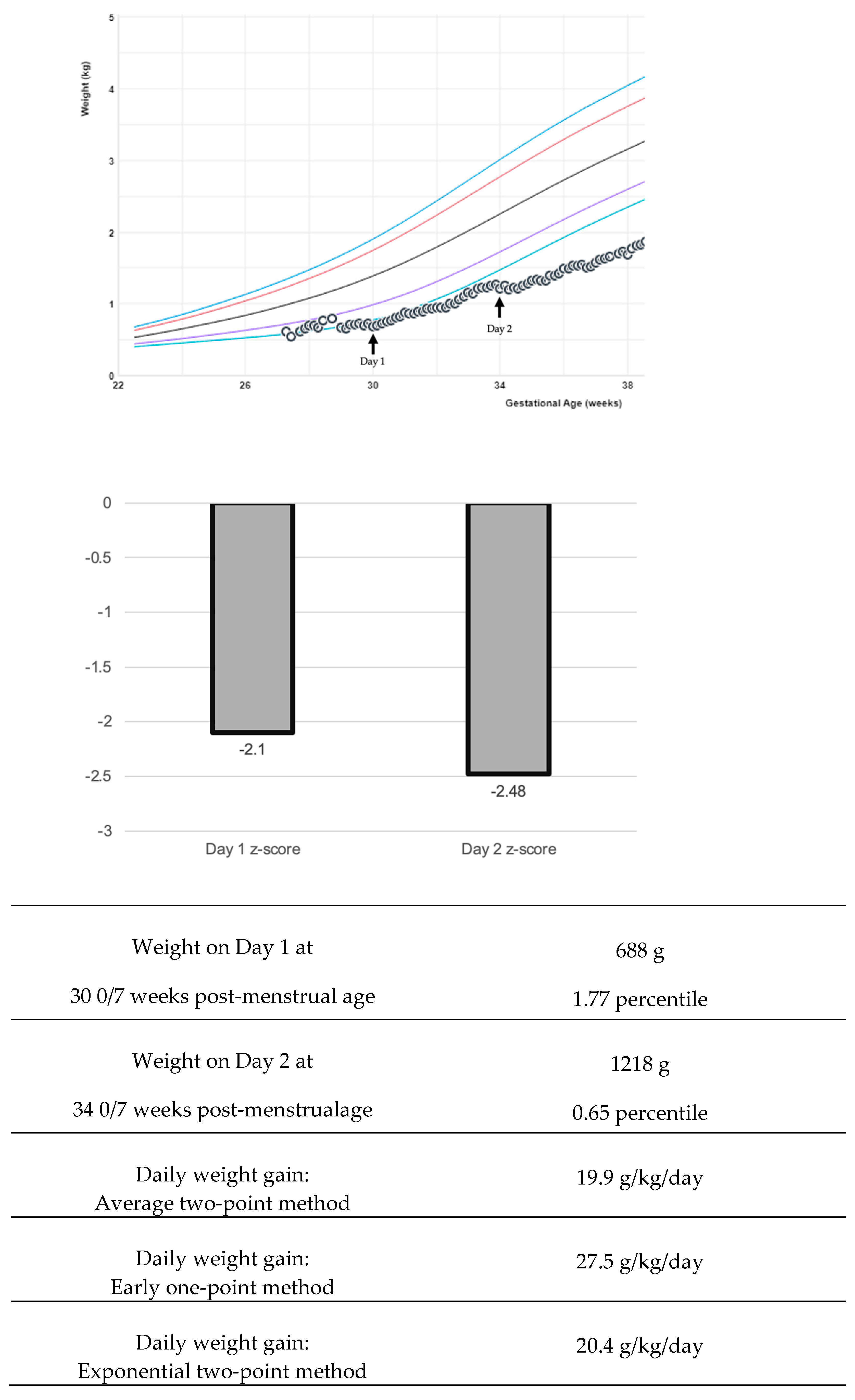
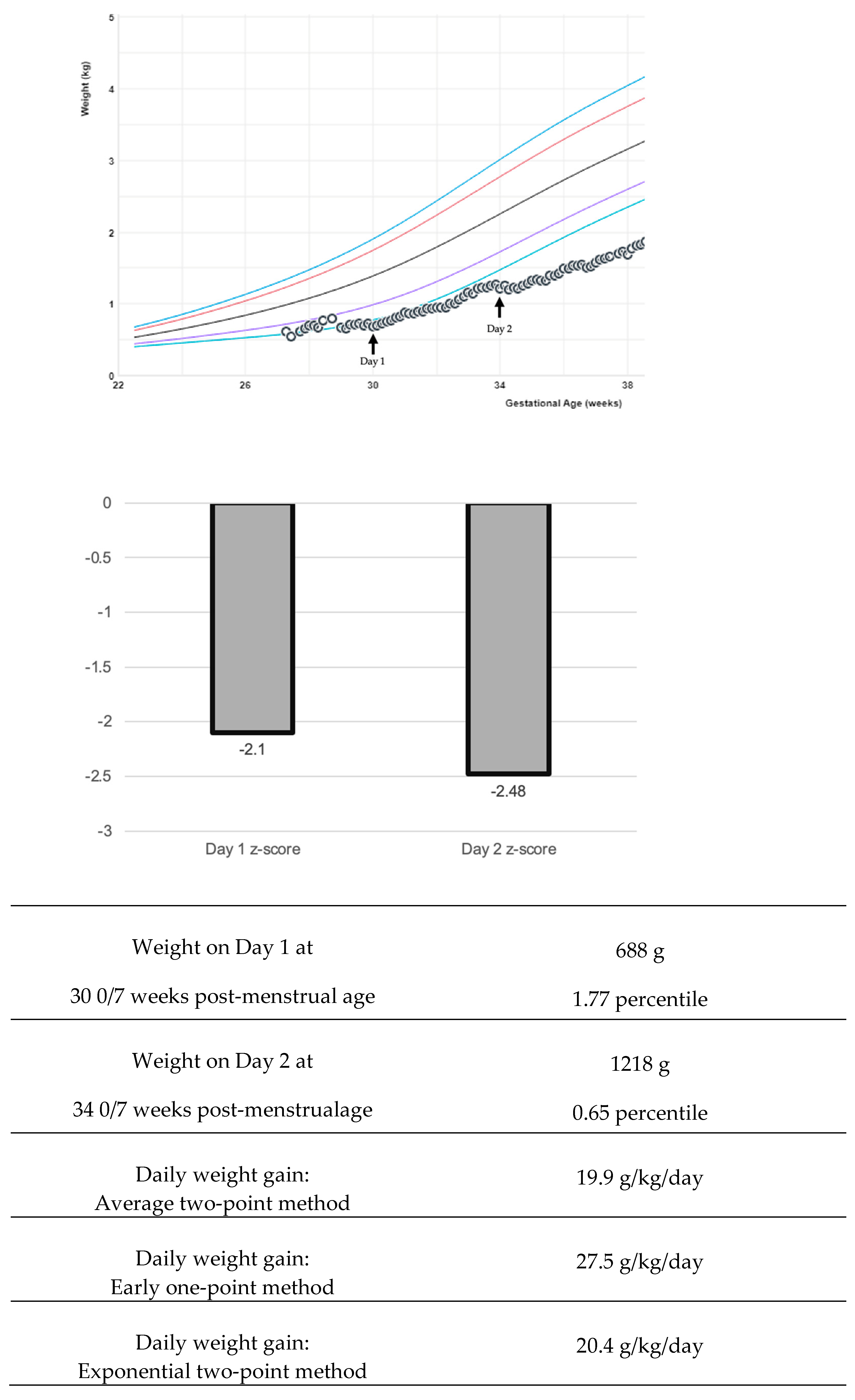
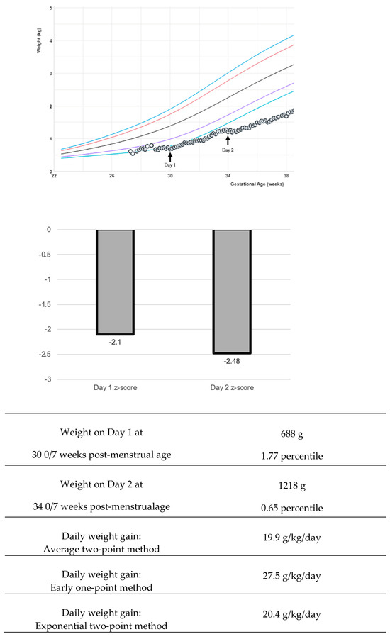
4. Weight Monitoring
5. Linear Growth and Ongoing Monitoring
6. Head Circumference Growth and Monitoring
7. Mid-Upper Arm Circumference
8. Body Mass Index
9. Malnutrition Assessment Through Anthropometry
10. Incorporating Fluid Balance
11. Translating Evidence into Clinical Practice and Common Scenarios
12. Conclusions
Author Contributions
Funding
Conflicts of Interest
References
- Möllers, L.S.; Yousuf, E.I.; Hamatschek, C.; Morrison, K.M.; Hermanussen, M.; Fusch, C.; Rochow, N. Metabolic-endocrine disruption due to preterm birth impacts growth, body composition, and neonatal outcome. Pediatr. Res. 2021, 91, 1350–1360. [Google Scholar] [CrossRef] [PubMed]
- Horbar, J.D.; Ehrenkranz, R.A.; Badger, G.J.; Edwards, E.M.; Morrow, K.A.; Soll, R.F.; Buzas, J.S.; Bertino, E.; Gagliardi, L.; Bellu, R. Weight Growth Velocity and Postnatal Growth Failure in Infants 501 to 1500 Grams: 2000–2013. Pediatrics 2015, 136, e84–e92. [Google Scholar] [CrossRef] [PubMed]
- Fenton, T.R.; Merlino Barr, S.; Elmrayed, S.; Alshaikh, B. Expected and Desirable Preterm and Small Infant Growth Patterns. Adv. Nutr. 2024, 15, 100220. [Google Scholar] [CrossRef] [PubMed]
- Cormack, B.E.; Embleton, N.D.; van Goudoever, J.B.; Hay, W.W., Jr.; Bloomfield, F.H. Comparing apples with apples: It is time for standardized reporting of neonatal nutrition and growth studies. Pediatr. Res. 2016, 79, 810–820. [Google Scholar] [CrossRef] [PubMed]
- Embleton, N.D.; Moltu, S.J.; Lapillonne, A.; van den Akker, C.H.P.; Carnielli, V.; Fusch, C.; Gerasimidis, K.; van Goudoever, J.B.; Haiden, N.; Iacobelli, S.; et al. Enteral Nutrition in Preterm Infants (2022): A Position Paper From the ESPGHAN Committee on Nutrition and Invited Experts. J. Pediatr. Gastroenterol. Nutr. 2023, 76, 248–268. [Google Scholar] [CrossRef]
- American Academy of Pediatrics Committee on Nutrition. Nutritional Needs of the Preterm Infant. In Pediatric Nutrition; Kleinman, R.E., Greer, F.R., Eds.; American Academy of Pediatrics: Itasca, IL, USA, 2019; pp. 113–162. [Google Scholar]
- Cordova, E.G.; Belfort, M.B. Updates on Assessment and Monitoring of the Postnatal Growth of Preterm Infants. Neoreviews 2020, 21, e98–e108. [Google Scholar] [CrossRef] [PubMed]
- American Academy of Pediatrics Committee on Nutrition. Assessment of Nutritional Status. In Pediatric Nutrition; Kleinman, R.E., Greer, F.R., Eds.; American Academy of Pediatrics: Itasca, IL, USA, 2019; pp. 723–773. [Google Scholar]
- Aris, I.M.; Kleinman, K.P.; Belfort, M.B.; Kaimal, A.; Oken, E. A 2017 US Reference for Singleton Birth Weight Percentiles Using Obstetric Estimates of Gestation. Pediatrics 2019, 144, e20190076. [Google Scholar] [CrossRef]
- Boghossian, N.S.; Geraci, M.; Edwards, E.M.; Morrow, K.A.; Horbar, J.D. Anthropometric Charts for Infants Born Between 22 and 29 Weeks’ Gestation. Pediatrics 2016, 138, e20161641. [Google Scholar] [CrossRef]
- Fenton, T.R.; Kim, J.H. A systematic review and meta-analysis to revise the Fenton growth chart for preterm infants. BMC Pediatr. 2013, 13, 59. [Google Scholar] [CrossRef] [PubMed]
- Olsen, I.E.; Groveman, S.A.; Lawson, M.L.; Clark, R.H.; Zemel, B.S. New intrauterine growth curves based on United States data. Pediatrics 2010, 125, e214–e224. [Google Scholar] [CrossRef]
- Villar, J.; Giuliani, F.; Fenton, T.R.; Ohuma, E.O.; Ismail, L.C.; Kennedy, S.H. INTERGROWTH-21st very preterm size at birth reference charts. Lancet 2016, 387, 844–845. [Google Scholar] [CrossRef] [PubMed]
- Fenton, T.R.; Nasser, R.; Eliasziw, M.; Kim, J.H.; Bilan, D.; Sauve, R. Validating the weight gain of preterm infants between the reference growth curve of the fetus and the term infant. BMC Pediatr. 2013, 13, 92. [Google Scholar] [CrossRef] [PubMed]
- Ehrenkranz, R.A.; Younes, N.; Lemons, J.A.; Fanaroff, A.A.; Donovan, E.F.; Wright, L.L.; Katsikiotis, V.; Tyson, J.E.; Oh, W.; Shankaran, S.; et al. Longitudinal growth of hospitalized very low birth weight infants. Pediatrics 1999, 104, 280–289. [Google Scholar] [CrossRef] [PubMed]
- Villar, J.; Giuliani, F.; Bhutta, Z.A.; Bertino, E.; Ohuma, E.O.; Ismail, L.C.; Barros, F.C.; Altman, D.G.; Victora, C.; Noble, J.A.; et al. Postnatal growth standards for preterm infants: The Preterm Postnatal Follow-up Study of the INTERGROWTH-21(st) Project. Lancet Glob. Health 2015, 3, e681–e691. [Google Scholar] [CrossRef] [PubMed]
- Ehrenkranz, R.A.; Dusick, A.M.; Vohr, B.R.; Wright, L.L.; Wrage, L.A.; Poole, W.K. Growth in the neonatal intensive care unit influences neurodevelopmental and growth outcomes of extremely low birth weight infants. Pediatrics 2006, 117, 1253–1261. [Google Scholar] [CrossRef] [PubMed]
- Fenton, T.R.; Cormack, B.; Goldberg, D.; Nasser, R.; Alshaikh, B.; Eliasziw, M.; Hay, W.W.; Hoyos, A.; Anderson, D.; Bloomfield, F.; et al. “Extrauterine growth restriction” and “postnatal growth failure” are misnomers for preterm infants. J. Perinatol. 2020, 40, 704–714. [Google Scholar] [CrossRef]
- Gordijn, S.J.; Beune, I.M.; Thilaganathan, B.; Papageorghiou, A.; Baschat, A.A.; Baker, P.N.; Silver, R.M.; Wynia, K.; Ganzevoort, W. Consensus definition of fetal growth restriction: A Delphi procedure. Ultrasound Obstet. Gynecol. 2016, 48, 333–339. [Google Scholar] [CrossRef] [PubMed]
- Fenton, T.R.; Anderson, D.; Groh-Wargo, S.; Hoyos, A.; Ehrenkranz, R.A.; Senterre, T. An Attempt to Standardize the Calculation of Growth Velocity of Preterm Infants-Evaluation of Practical Bedside Methods. J. Pediatr. 2018, 196, 77–83. [Google Scholar] [CrossRef] [PubMed]
- Fenton, T.R.; Griffin, I.J.; Hoyos, A.; Groh-Wargo, S.; Anderson, D.; Ehrenkranz, R.A.; Senterre, T. Accuracy of preterm infant weight gain velocity calculations vary depending on method used and infant age at time of measurement. Pediatr. Res. 2019, 85, 650–654. [Google Scholar] [CrossRef] [PubMed]
- WHO Child Growth Standards based on length/height, weight and age. Acta Paediatr. Suppl. 2006, 450, 76–85. [CrossRef]
- Villar, J.; Cheikh Ismail, L.; Victora, C.G.; Ohuma, E.O.; Bertino, E.; Altman, D.G.; Lambert, A.; Papageorghiou, A.T.; Carvalho, M.; Jaffer, Y.A.; et al. International standards for newborn weight, length, and head circumference by gestational age and sex: The Newborn Cross-Sectional Study of the INTERGROWTH-21st Project. Lancet 2014, 384, 857–868. [Google Scholar] [CrossRef] [PubMed]
- Olsen, I.E.; Lawson, M.L.; Ferguson, A.N.; Cantrell, R.; Grabich, S.C.; Zemel, B.S.; Clark, R.H. BMI curves for preterm infants. Pediatrics 2015, 135, e572–e581. [Google Scholar] [CrossRef]
- Estañ-Capell, J.; Alarcón-Torres, B.; Miró-Pedro, M.; Martínez-Costa, C. Differences When Classifying Small for Gestational Age Preterm Infants According to the Growth Chart Applied. Am. J. Perinatol. 2024, 41, e1212–e1219. [Google Scholar] [CrossRef]
- Charles, E.; Hunt, K.A.; Harris, C.; Hickey, A.; Greenough, A. Small for gestational age and extremely low birth weight infant outcomes. J. Perinat. Med. 2019, 47, 247–251. [Google Scholar] [CrossRef]
- Jensen, E.A.; Foglia, E.E.; Dysart, K.C.; Simmons, R.A.; Aghai, Z.H.; Cook, A.; Greenspan, J.S.; DeMauro, S.B. Adverse effects of small for gestational age differ by gestational week among very preterm infants. Arch. Dis. Child. Fetal Neonatal Ed. 2019, 104, F192–F198. [Google Scholar] [CrossRef] [PubMed]
- Fetal Growth Restriction: ACOG Practice Bulletin, Number 227. Obstet. Gynecol. 2021, 137, e16–e28. [CrossRef]
- Slagle, C.; Gist, K.M.; Starr, M.C.; Hemmelgarn, T.S.; Goldstein, S.L.; Kent, A.L. Fluid Homeostasis and Diuretic Therapy in the Neonate. Neoreviews 2022, 23, e189–e204. [Google Scholar] [CrossRef]
- Moyer-Mileur, L.J. Anthropometric and laboratory assessment of very low birth weight infants: The most helpful measurements and why. Semin. Perinatol. 2007, 31, 96–103. [Google Scholar] [CrossRef] [PubMed]
- Aksoy, H.T.; Güzoğlu, N.; Eras, Z.; Gökçe, İ.K.; Canpolat, F.E.; Uraş, N.; Oğuz, S.S. The association of early postnatal weight loss with outcome in extremely low birth weight infants. Pediatr. Neonatol. 2019, 60, 192–196. [Google Scholar] [CrossRef]
- Acarregui, M.J. Fluid and Electrolyte Management in the Newborn. Available online: https://uihc.org/childrens/educational-resources/fluid-management-nicu-handbook (accessed on 3 December 2024).
- Rysavy, M.A.; Mehler, K.; Oberthür, A.; Ågren, J.; Kusuda, S.; McNamara, P.J.; Giesinger, R.E.; Kribs, A.; Normann, E.; Carlson, S.J.; et al. An Immature Science: Intensive Care for Infants Born at ≤23 Weeks of Gestation. J. Pediatr. 2021, 233, 16–25.e11. [Google Scholar] [CrossRef] [PubMed]
- Fenton, T.R.; Senterre, T.; Griffin, I.J. Time interval for preterm infant weight gain velocity calculation precision. Arch. Dis. Child. Fetal Neonatal Ed. 2019, 104, F218–F219. [Google Scholar] [CrossRef] [PubMed]
- Fenton, T.R.; Nasser, R.; Creighton, D.; Tang, S.; Sauve, R.; Bilan, D.; Fenton, C.J.; Eliasziw, M. Weight, length, and head circumference at 36 weeks are not predictive of later cognitive impairment in very preterm infants. J. Perinatol. 2021, 41, 606–614. [Google Scholar] [CrossRef]
- McNelis, K.M.; Fenton, T.R. 22—Neonatal Nutrition Assessment. In Principles of Neonatology; Maheshwari, A., Ed.; Elsevier: New Delhi, India, 2024; pp. 178–191. [Google Scholar] [CrossRef]
- Sériès, T.; Guillot, M.; Angoa, G.; Pronovost, E.; Ndiaye, A.; Mohamed, I.; Simonyan, D.; Lavoie, P.M.; Synnes, A.; Marc, I. Does Growth Velocity Affect Associations between Birth Weight and Neurodevelopment for Infants Born Very Preterm? J. Pediatr. 2023, 260, 113531. [Google Scholar] [CrossRef] [PubMed]
- El Rafei, R.; Maier, R.F.; Jarreau, P.H.; Norman, M.; Barros, H.; Van Reempts, P.; Van Heijst, A.; Pedersen, P.; Cuttini, M.; Johnson, S.; et al. Postnatal growth restriction and neurodevelopment at 5 years of age: A European extremely preterm birth cohort study. Arch. Dis. Child. Fetal Neonatal Ed. 2023, 108, 492–498. [Google Scholar] [CrossRef]
- Zozaya, C.; Díaz, C.; Saenz de Pipaón, M. How Should We Define Postnatal Growth Restriction in Preterm Infants? Neonatology 2018, 114, 177–180. [Google Scholar] [CrossRef] [PubMed]
- Rochow, N.; Raja, P.; Liu, K.; Fenton, T.; Landau-Crangle, E.; Gottler, S.; Jahn, A.; Lee, S.; Seigel, S.; Campbell, D.; et al. Physiological adjustment to postnatal growth trajectories in healthy preterm infants. Pediatr. Res. 2016, 79, 870–879. [Google Scholar] [CrossRef] [PubMed]
- Chou, J.H.; Roumiantsev, S.; Singh, R. PediTools Electronic Growth Chart Calculators: Applications in Clinical Care, Research, and Quality Improvement. J. Med. Internet Res. 2020, 22, e16204. [Google Scholar] [CrossRef]
- Fenton, T.R.; Chan, H.T.; Madhu, A.; Griffin, I.J.; Hoyos, A.; Ziegler, E.E.; Groh-Wargo, S.; Carlson, S.J.; Senterre, T.; Anderson, D.; et al. Preterm Infant Growth Velocity Calculations: A Systematic Review. Pediatrics 2017, 139, e20162045. [Google Scholar] [CrossRef]
- Patel, A.L.; Engstrom, J.L.; Meier, P.P.; Kimura, R.E. Accuracy of methods for calculating postnatal growth velocity for extremely low birth weight infants. Pediatrics 2005, 116, 1466–1473. [Google Scholar] [CrossRef]
- Patel, A.L.; Engstrom, J.L.; Meier, P.P.; Jegier, B.J.; Kimura, R.E. Calculating postnatal growth velocity in very low birth weight (VLBW) premature infants. J. Perinatol. 2009, 29, 618–622. [Google Scholar] [CrossRef] [PubMed]
- Landau-Crangle, E.; Rochow, N.; Fenton, T.R.; Liu, K.; Ali, A.; So, H.Y.; Fusch, G.; Marrin, M.L.; Fusch, C. Individualized Postnatal Growth Trajectories for Preterm Infants. JPEN J. Parenter. Enteral. Nutr. 2018, 42, 1084–1092. [Google Scholar] [CrossRef] [PubMed]
- Solomond, R. Small Babies Grow Stronger with Improved Nutrition Monitoring. Available online: https://www.epicshare.org/share-and-learn/small-babies-grow-stronger-with-improved-nutrition-monitoring (accessed on 3 December 2024).
- Bala, F.E.; McGrattan, K.E.; Valentine, C.J.; Jadcherla, S.R. A Narrative Review of Strategies to Optimize Nutrition, Feeding, and Growth among Preterm-Born Infants: Implications for Practice. Adv. Nutr. 2024, 15, 100305. [Google Scholar] [CrossRef] [PubMed]
- Valdes, C.; Nataraj, P.; Kisilewicz, K.; Simenson, A.; Leon, G.; Kang, D.; Nguyen, D.; Sura, L.; Bliznyuk, N.; Weiss, M. Impact of Nutritional Status on Total Brain Tissue Volumes in Preterm Infants. Children 2024, 11, 121. [Google Scholar] [CrossRef]
- Simon, L.; Theveniaut, C.; Flamant, C.; Frondas-Chauty, A.; Darmaun, D.; Roze, J.C. In Preterm Infants, Length Growth below Expected Growth during Hospital Stay Predicts Poor Neurodevelopment at 2 Years. Neonatology 2018, 114, 135–141. [Google Scholar] [CrossRef] [PubMed]
- Ramel, S.E.; Demerath, E.W.; Gray, H.L.; Younge, N.; Boys, C.; Georgieff, M.K. The relationship of poor linear growth velocity with neonatal illness and two-year neurodevelopment in preterm infants. Neonatology 2012, 102, 19–24. [Google Scholar] [CrossRef] [PubMed]
- Franz, A.R.; Pohlandt, F.; Bode, H.; Mihatsch, W.A.; Sander, S.; Kron, M.; Steinmacher, J. Intrauterine, early neonatal, and postdischarge growth and neurodevelopmental outcome at 5.4 years in extremely preterm infants after intensive neonatal nutritional support. Pediatrics 2009, 123, e101–e109. [Google Scholar] [CrossRef] [PubMed]
- Belfort, M.B.; Rifas-Shiman, S.L.; Sullivan, T.; Collins, C.T.; McPhee, A.J.; Ryan, P.; Kleinman, K.P.; Gillman, M.W.; Gibson, R.A.; Makrides, M. Infant growth before and after term: Effects on neurodevelopment in preterm infants. Pediatrics 2011, 128, e899–e906. [Google Scholar] [CrossRef]
- Belfort, M.B.; Gillman, M.W.; Buka, S.L.; Casey, P.H.; McCormick, M.C. Preterm infant linear growth and adiposity gain: Trade-offs for later weight status and intelligence quotient. J. Pediatr. 2013, 163, 1564–1569. [Google Scholar] [CrossRef]
- Fu, T.T.; Barnes-Davis, M.E.; Fujiwara, H.; Folger, A.T.; Merhar, S.L.; Kadis, D.S.; Poindexter, B.B.; Parikh, N.A. Correlation of NICU anthropometry in extremely preterm infants with brain development and language scores at early school age. Sci. Rep. 2023, 13, 15273. [Google Scholar] [CrossRef] [PubMed]
- Pfister, K.M.; Ramel, S.E. Linear growth and neurodevelopmental outcomes. Clin. Perinatol. 2014, 41, 309–321. [Google Scholar] [CrossRef]
- Perrin, T.; Pradat, P.; Larcade, J.; Masclef-Imbert, M.; Pastor-Diez, B.; Picaud, J.C. Postnatal growth and body composition in extremely low birth weight infants fed with individually adjusted fortified human milk: A cohort study. Eur. J. Pediatr. 2023, 182, 1143–1154. [Google Scholar] [CrossRef] [PubMed]
- De Rose, D.U.; Maggiora, E.; Maiocco, G.; Morniroli, D.; Vizzari, G.; Tiraferri, V.; Coscia, A.; Cresi, F.; Dotta, A.; Salvatori, G.; et al. Improving growth in preterm infants through nutrition: A practical overview. Front. Nutr. 2024, 11, 1449022. [Google Scholar] [CrossRef]
- Kosmeri, C.; Giapros, V.; Gounaris, A.; Sokou, R.; Siomou, E.; Rallis, D.; Makis, A.; Baltogianni, M. Are the current feeding volumes adequate for the growth of very preterm neonates? Br. J. Nutr. 2023, 130, 1338–1342. [Google Scholar] [CrossRef] [PubMed]
- Pereira-da-Silva, L.; Virella, D.; Fusch, C. Nutritional Assessment in Preterm Infants: A Practical Approach in the NICU. Nutrients 2019, 11, 1999. [Google Scholar] [CrossRef]
- Goldberg, D.L.; Becker, P.J.; Brigham, K.; Carlson, S.; Fleck, L.; Gollins, L.; Sandrock, M.; Fullmer, M.; Van Poots, H.A. Identifying Malnutrition in Preterm and Neonatal Populations: Recommended Indicators. J. Acad. Nutr. Diet. 2018, 118, 1571–1582. [Google Scholar] [CrossRef] [PubMed]
- Goldberg, D.L.; Becker, P.J. Applying the recommended indicators for the diagnosis of preterm and neonatal malnutrition: Answers to frequently asked questions. Nutr. Clin. Pract. 2022, 37, 50–58. [Google Scholar] [CrossRef] [PubMed]
- Wood, A.J.; Raynes-Greenow, C.H.; Carberry, A.E.; Jeffery, H.E. Neonatal length inaccuracies in clinical practice and related percentile discrepancies detected by a simple length-board. J. Paediatr. Child Health 2013, 49, 199–203. [Google Scholar] [CrossRef]
- Salas, A.A. Revolutionizing Neonatal Nutrition: Rethinking Definitions and Standards for Optimal Care. Adv. Nutr. 2024, 15, 100235. [Google Scholar] [CrossRef] [PubMed]
- Vasquez-Garibay, E.M.; Larios Del Toro, Y.E.; Larrosa-Haro, A.; Troyo-Sanroman, R. Anthropometric indicators of nutritional status and growth in very low birth-weight premature infants hospitalized in a neonatal intensive care unit. Nutr. Hosp. 2014, 30, 410–416. [Google Scholar] [CrossRef]
- Shoji, H.; Murano, Y.; Saitoh, Y.; Ikeda, N.; Ohkawa, N.; Nishizaki, N.; Hisata, K.; Kantake, M.; Obinata, K.; Yoneoka, D.; et al. Use of Head and Chest Circumference Ratio as an Index of Fetal Growth Retardation in Preterm Infants. Nutrients 2022, 14, 4942. [Google Scholar] [CrossRef]
- Ghods, E.; Kreissl, A.; Brandstetter, S.; Fuiko, R.; Widhalm, K. Head circumference catch-up growth among preterm very low birth weight infants: Effect on neurodevelopmental outcome. J. Perinat. Med. 2011, 39, 579–586. [Google Scholar] [CrossRef]
- Lidzba, K.; Rodemann, S.; Goelz, R.; Krägeloh-Mann, I.; Bevot, A. Growth in very preterm children: Head growth after discharge is the best independent predictor for cognitive outcome. Early Hum. Dev. 2016, 103, 183–188. [Google Scholar] [CrossRef] [PubMed]
- Raghuram, K.; Yang, J.; Church, P.T.; Cieslak, Z.; Synnes, A.; Mukerji, A.; Shah, P.S. Head Growth Trajectory and Neurodevelopmental Outcomes in Preterm Neonates. Pediatrics 2017, 140, e20170216. [Google Scholar] [CrossRef]
- Deger, J.; Goethe, E.A.; LoPresti, M.A.; Lam, S. Intraventricular Hemorrhage in Premature Infants: A Historical Review. World Neurosurg. 2021, 153, 21–25. [Google Scholar] [CrossRef] [PubMed]
- Ingram, M.C.; Huguenard, A.L.; Miller, B.A.; Chern, J.J. Poor correlation between head circumference and cranial ultrasound findings in premature infants with intraventricular hemorrhage. J. Neurosurg. Pediatr. 2014, 14, 184–189. [Google Scholar] [CrossRef]
- Strommen, K.; Blakstad, E.W.; Moltu, S.J.; Almaas, A.N.; Westerberg, A.C.; Amlien, I.K.; Ronnestad, A.E.; Nakstad, B.; Drevon, C.A.; Bjornerud, A.; et al. Enhanced nutrient supply to very low birth weight infants is associated with improved white matter maturation and head growth. Neonatology 2015, 107, 68–75. [Google Scholar] [CrossRef]
- Schneider, J.; Fischer Fumeaux, C.J.; Duerden, E.G.; Guo, T.; Foong, J.; Graz, M.B.; Hagmann, P.; Chakravarty, M.M.; Huppi, P.S.; Beauport, L.; et al. Nutrient Intake in the First Two Weeks of Life and Brain Growth in Preterm Neonates. Pediatrics 2018, 141, e20172169. [Google Scholar] [CrossRef] [PubMed]
- Balakrishnan, M.; Jennings, A.; Przystac, L.; Phornphutkul, C.; Tucker, R.; Vohr, B.; Stephens, B.E.; Bliss, J.M. Growth and Neurodevelopmental Outcomes of Early, High-Dose Parenteral Amino Acid Intake in Very Low Birth Weight Infants: A Randomized Controlled Trial. JPEN J. Parenter. Enteral. Nutr. 2018, 42, 597–606. [Google Scholar] [CrossRef] [PubMed]
- Moltu, S.J.; Blakstad, E.W.; Strømmen, K.; Almaas, A.N.; Nakstad, B.; Rønnestad, A.; Brække, K.; Veierød, M.B.; Drevon, C.A.; Iversen, P.O.; et al. Enhanced feeding and diminished postnatal growth failure in very-low-birth-weight infants. J. Pediatr. Gastroenterol. Nutr. 2014, 58, 344–351. [Google Scholar] [CrossRef] [PubMed]
- Pindrik, J.; Schulz, L.; Drapeau, A. Diagnosis and Surgical Management of Neonatal Hydrocephalus. Semin. Pediatr. Neurol. 2022, 42, 100969. [Google Scholar] [CrossRef]
- Daly-Wolfe, K.M.; Jordan, K.C.; Slater, H.; Beachy, J.C.; Moyer-Mileur, L.J. Mid-arm circumference is a reliable method to estimate adiposity in preterm and term infants. Pediatr. Res. 2015, 78, 336–341. [Google Scholar] [CrossRef] [PubMed]
- Larios-Del Toro, Y.E.; Vásquez-Garibay, E.M.; González-Ojeda, A.; Ramírez-Valdivia, J.M.; Troyo-Sanromán, R.; Carmona-Flores, G. A longitudinal evaluation of growth outcomes at hospital discharge of very-low-birth-weight preterm infants. Eur. J. Clin. Nutr. 2012, 66, 474–480. [Google Scholar] [CrossRef]
- Ashton, J.J.; Johnson, M.J.; Pond, J.; Crowley, P.; Dimitrov, B.D.; Pearson, F.; Beattie, R.M. Assessing the growth of preterm infants using detailed anthropometry. Acta Paediatr. 2017, 106, 889–896. [Google Scholar] [CrossRef]
- Grijalva-Eternod, C.S.; Wells, J.C.; Girma, T.; Kæstel, P.; Admassu, B.; Friis, H.; Andersen, G.S. Midupper arm circumference and weight-for-length z scores have different associations with body composition: Evidence from a cohort of Ethiopian infants. Am. J. Clin. Nutr. 2015, 102, 593–599. [Google Scholar] [CrossRef] [PubMed]
- Pereira-da-Silva, L.; Abecasis, F.; Virella, D.; Videira-Amaral, J.M. Upper arm anthropometry is not a valid predictor of regional body composition in preterm infants. Neonatology 2009, 95, 74–79. [Google Scholar] [CrossRef] [PubMed]
- Viswanathan, S.; Thoene, M.; Alja’nini, Z.; Alur, P.; McNelis, K. Body Composition in Preterm Infants: Current Insights and Emerging Perspectives. Children 2025, 12, 53. [Google Scholar] [CrossRef] [PubMed]
- Williamson, A.L.; Derado, J.; Barney, B.J.; Saunders, G.; Olsen, I.E.; Clark, R.H.; Lawson, M.L. Longitudinal BMI Growth Curves for Surviving Preterm NICU Infants Based on a Large US Sample. Pediatrics 2018, 142, e20174169. [Google Scholar] [CrossRef] [PubMed]
- Ferguson, A.N.; Grabich, S.C.; Olsen, I.E.; Cantrell, R.; Clark, R.H.; Ballew, W.N.; Chou, J.; Lawson, M.L. BMI Is a Better Body Proportionality Measure than the Ponderal Index and Weight-for-Length for Preterm Infants. Neonatology 2018, 113, 108–116. [Google Scholar] [CrossRef]
- Nagel, E.; Desjardins, C.; Earthman, C.; Ramel, S.; Demerath, E. Weight for length measures may not accurately reflect adiposity in preterm infants born appropriate for gestational age during hospitalisation or after discharge from the neonatal intensive care unit. Pediatr. Obes. 2020, 16, e12744. [Google Scholar] [CrossRef]
- Ramel, S.E.; Zhang, L.; Misra, S.; Anderson, C.G.; Demerath, E.W. Do anthropometric measures accurately reflect body composition in preterm infants? Pediatr. Obes. 2017, 12 (Suppl. S1), 72–77. [Google Scholar] [CrossRef] [PubMed]
- Andrews, E.T.; Beattie, R.M.; Johnson, M.J. Measuring body composition in the preterm infant: Evidence base and practicalities. Clin. Nutr. 2019, 38, 2521–2530. [Google Scholar] [CrossRef]
- Yumani, D.F.J.; de Jongh, D.; Ket, J.C.F.; Lafeber, H.N.; van Weissenbruch, M.M. Body composition in preterm infants: A systematic review on measurement methods. Pediatr. Res. 2023, 93, 1120–1140. [Google Scholar] [CrossRef]
- Nyakotey, D.A.; Clarke, A.M.; Cormack, B.E.; Bloomfield, F.H.; Harding, J.E.; Pro, V.S.G. Postnatal growth and neurodevelopment at 2 years’ corrected age in extremely low birthweight infants. Pediatr. Res. 2024, 96, 436–449. [Google Scholar] [CrossRef] [PubMed]
- Gonzalez Lopez, C.; Solis Sanchez, G.; Fernandez Colomer, B.; Mantecon Fernandez, L.; Lareu Vidal, S.; Fernandez Castineira, S.; Rubio Granda, A.; Perez Perez, A.; Suarez Rodriguez, M. Impact of the Choice of Diagnostic Criteria and Growth Reference on the Prevalence of Extrauterine Growth Restriction in Extremely-Low-Birthweight Infants. Children 2024, 11, 934. [Google Scholar] [CrossRef] [PubMed]
- Gonzalez Lopez, C.; Solis Sanchez, G.; Fernandez Colomer, B.; Mantecon Fernandez, L.; Lareu Vidal, S.; Arias Llorente, R.P.; Ibanez Fernandez, A.; Gonzalez Garcia, L.G.; Suarez Rodriguez, M. Extrauterine growth restriction in very-low-birthweight infants: Prevalence and concordance according to Fenton, Olsen, and INTERGROWTH-21st growth charts in a multicenter Spanish cohort. Eur. J. Pediatr. 2024, 183, 4073–4083. [Google Scholar] [CrossRef] [PubMed]
- Cordova, E.G.; Cherkerzian, S.; Bell, K.; Joung, K.E.; Collins, C.T.; Makrides, M.; Gould, J.; Anderson, P.J.; Belfort, M.B. Association of Poor Postnatal Growth with Neurodevelopmental Impairment in Infancy and Childhood: Comparing the Fetus and the Healthy Preterm Infant References. J. Pediatr. 2020, 225, 37–43.e35. [Google Scholar] [CrossRef]
- Yitayew, M.; Chahin, N.; Rustom, S.; Thacker, L.R.; Hendricks-Munoz, K.D. Fenton vs. Intergrowth-21st: Postnatal Growth Assessment and Prediction of Neurodevelopment in Preterm Infants. Nutrients 2021, 13, 2841. [Google Scholar] [CrossRef] [PubMed]
- Valentine, G.C.; Perez, K.M.; Wood, T.R.; Mayock, D.E.; Law, J.B.; Kolnik, S.; Strobel, K.M.; Brandon, O.C.; Comstock, B.A.; Heagerty, P.J.; et al. Time to regain birthweight and association with neurodevelopmental outcomes among extremely preterm newborns. J. Perinatol. 2024, 44, 554–560. [Google Scholar] [CrossRef] [PubMed]
- Molony, C.L.; Hiscock, R.; Kaufman, J.; Keenan, E.; Hastie, R.; Brownfoot, F.C. Growth trajectory of preterm small-for-gestational-age neonates. J. Matern. Fetal Neonatal Med. 2022, 35, 8400–8406. [Google Scholar] [CrossRef] [PubMed]
- Fu, T.T.; Schroder, P.E.; Poindexter, B.B. Macronutrient Analysis of Target-Pooled Donor Breast Milk and Corresponding Growth in Very Low Birth Weight Infants. Nutrients 2019, 11, 1884. [Google Scholar] [CrossRef]
- Lach, L.E.; Chetta, K.E.; Ruddy-Humphries, A.L.; Ebeling, M.D.; Gregoski, M.J.; Katikaneni, L.D. Body Composition and “Catch-Up” Fat Growth in Healthy Small for Gestational Age Preterm Infants and Neurodevelopmental Outcomes. Nutrients 2022, 14, 3051. [Google Scholar] [CrossRef] [PubMed]
- MacLellan, A.; Cameron-Nola, A.J.; Cooper, C.; Mitra, S. Fluid restriction for treatment of symptomatic patent ductus arteriosus in preterm infants. Cochrane Database Syst. Rev. 2024, 12, Cd015424. [Google Scholar] [CrossRef] [PubMed]
- Barrington, K.J.; Fortin-Pellerin, E.; Pennaforte, T. Fluid restriction for treatment of preterm infants with chronic lung disease. Cochrane Database Syst. Rev. 2017, 2, Cd005389. [Google Scholar] [CrossRef] [PubMed]
- Poindexter, B.B.; Martin, C.R. Impact of Nutrition on Bronchopulmonary Dysplasia. Clin. Perinatol. 2015, 42, 797–806. [Google Scholar] [CrossRef] [PubMed]
- Green Corkins, K. Nutrition-focused physical examination in pediatric patients. Nutr. Clin. Pract. 2015, 30, 203–209. [Google Scholar] [CrossRef]
- Hummell, A.C.; Cummings, M. Role of the nutrition-focused physical examination in identifying malnutrition and its effectiveness. Nutr. Clin. Pract. 2022, 37, 41–49. [Google Scholar] [CrossRef] [PubMed]
- Chou, J. PediTools: Clinical Tools for Pediatric Providers. Available online: https://peditools.org/ (accessed on 2 January 2025).
- Linafelter, A.; Cuna, A.; Liu, C.; Quigley, A.; Truog, W.E.; Sampath, V.; Oschman, A. Extended course of prednisolone in infants with severe bronchopulmonary dysplasia. Early Hum. Dev. 2019, 136, 1–6. [Google Scholar] [CrossRef]
- Orth, L.E.; O’Mara, K.L. Impact of Early Versus Late Diuretic Exposure on Metabolic Bone Disease and Growth in Premature Neonates. J. Pediatr. Pharmacol. Ther. 2018, 23, 26–33. [Google Scholar] [CrossRef] [PubMed]
- Wanzenberg, A.; Thompson, B.M.; Van, K.; Viswanathan, S. Association between chronic diuretics and postnatal growth in preterm infants with bronchopulmonary dysplasia. Glob. Pediatr. 2024, 8, 100165. [Google Scholar] [CrossRef]

| Term | Definition | Additional Context or Recommendation |
|---|---|---|
| Extrauterine growth restriction | Weight under the 10th percentile at 36 weeks corrected age | Although historically useful, now a solitary measurement is not an independent predictor of neurodevelopmental outcomes [17,18]. This term should no longer be used [18]. |
| Intrauterine growth restriction | Smaller than expected fetal or birth weight following signs of growth deceleration | Fetal weight, abdominal circumference, longitudinal growth, and umbilical cord Doppler parameters are included in this diagnosis [19]. Not all infants that experienced intrauterine growth restriction will be small for gestational age [3]. |
| Intrauterine growth curve | Reference growth chart Built with measurement at birth Reflects fetal/intrauterine growth | Use to determine size at birth Use a consistent growth chart in a newborn intensive care unit [20] |
| Large for gestational age | Born with weight greater than the 90th percentile | Defined with the use of an intrauterine growth chart |
| Percentile | The percent of results that would fall below a specified value, related to the median | Used with either intrauterine reference curves or postnatal growth standard charts. May be easier than z-scores for parents to understand. |
| Postnatal growth standard | Prescriptive standard growth chart Built with measurement over time Typically, smaller sample size and stricter inclusion criteria in the cohort than intrauterine growth curve | Use a consistent growth chart in a newborn intensive care unit [20] |
| Small for gestational age | Born with weight less than the 10th percentile | Defined with the use of an intrauterine growth chart Not all small for gestational age infants are the product of intrauterine growth restriction [3]. |
| Very low birth weight | Birth weight under 1500 g | |
| Z-score | Distance from the mean in a normal distribution curve, described in units of standard deviation | Used with either intrauterine reference curves or postnatal growth standard charts. Provides a better illustration of the magnitude of growth faltering. |
| Daily weight gain calculation methods expressed in grams/kilogram/day (g/kg/day) over a time period, using weight in grams [21] | ||
| Average two-point method | Easier to calculate clinically at the bedside | |
| Daily weight gain calculation method | Daily weights two days in sequence | |
| Early one-point method | Should not be used to summarize weight gain velocity for research studies | |
| Exponential two-point method | ||
| Chart | Birth Gestational Age; Included Gestational Age | Number of Preterm Infants | Unitof Gestational Age | Population | Cohort Characteristics/ Data Used | Chart Type; Anthropometrics Included |
|---|---|---|---|---|---|---|
| Aris [9] | 22–42 weeks; 22–42 weeks | 61,106 infants 22–33 6/7 weeks | Completed weeks | U.S.A. | Birth certificate data | Intrauterine; Weight |
| Boghossian [10] | 22–29 weeks; 22–29 weeks | 133,753 infants | Includes days | U.S.A. and Puerto Rico | VON VLBW Database | Intrauterine; Weight Head circumference |
| Ehrenkranz (NRN) [15] | N/A * | 1660 infants with birth weight 501–1500 g | N/A * | U.S.A. | Infants admitted to NICHD NRN centers at <24 h and lived >7 days | Postnatal; Weight Length Head circumference |
| Fenton [11] (revised) | 22–40 weeks; 22–50 weeks | 34,639 infants < 30 weeks | Includes days | Australia, Canda, Germany, Italy, Scotland, U.S.A. | Combined published growth charts; 40–50 weeks using the WHO chart [22] | Intrauterine; Weight Length Head circumference |
| Intergrowth-21st (very preterm at birth) [13] | 24–32 weeks; 24–44 weeks | 408 infants | Includes days | Brazil, China, Italy, Kenya, Oman, U.K., U.S.A. | Included some with FGR risks but no ultrasound findings of FGR; 32–44 weeks from Intergrowth-21st original publication [23] | Intrauterine; Weight Length Head circumference |
| Intergrowth-21st postnatal growth in preterm [16] | 27–36 6/7 weeks; 27–64 weeks | 28 infants 33 weeks and 12 at 27–32 weeks | Completed weeks | Brazil, China, Italy, Kenya, Oman, U.K., U.S.A. | Included only accurately dated, uncomplicated pregnancies with well grown fetuses | Postnatal; Weight Length Head circumference |
| Olsen [12,24] | 22–42 weeks; 23–41 weeks | 4100 infants 28 weeks | Completed weeks | U.S.A. | Pediatrix Medical Group birth data | Intrauterine; Weight Length Head circumference BMI |
Disclaimer/Publisher’s Note: The statements, opinions and data contained in all publications are solely those of the individual author(s) and contributor(s) and not of MDPI and/or the editor(s). MDPI and/or the editor(s) disclaim responsibility for any injury to people or property resulting from any ideas, methods, instructions or products referred to in the content. |
© 2025 by the authors. Licensee MDPI, Basel, Switzerland. This article is an open access article distributed under the terms and conditions of the Creative Commons Attribution (CC BY) license (https://creativecommons.org/licenses/by/4.0/).
Share and Cite
McNelis, K.; Thoene, M.; Huff, K.A.; Fu, T.T.; Alja’nini, Z.; Viswanathan, S. Postnatal Growth Assessment of the Very-Low-Birth-Weight Preterm Infant. Children 2025, 12, 197. https://doi.org/10.3390/children12020197
McNelis K, Thoene M, Huff KA, Fu TT, Alja’nini Z, Viswanathan S. Postnatal Growth Assessment of the Very-Low-Birth-Weight Preterm Infant. Children. 2025; 12(2):197. https://doi.org/10.3390/children12020197
Chicago/Turabian StyleMcNelis, Kera, Melissa Thoene, Katie A. Huff, Ting Ting Fu, Zaineh Alja’nini, and Sreekanth Viswanathan. 2025. "Postnatal Growth Assessment of the Very-Low-Birth-Weight Preterm Infant" Children 12, no. 2: 197. https://doi.org/10.3390/children12020197
APA StyleMcNelis, K., Thoene, M., Huff, K. A., Fu, T. T., Alja’nini, Z., & Viswanathan, S. (2025). Postnatal Growth Assessment of the Very-Low-Birth-Weight Preterm Infant. Children, 12(2), 197. https://doi.org/10.3390/children12020197

