Insufficient Sleep Syndrome in Childhood
Abstract
1. Introduction
2. Childhood Sleep Insufficiency
2.1. Nighttime Basic Sleep Duration (NBSD)
2.2. Insufficient Sleep Means Lack of Nocturnal Sleep
- (1)
- (2)
- Even a small amount of sleep deprivation accumulates and causes problems [4].
- (3)
- Nighttime sleep deprivation needs to be compensated for somewhere during the day, resulting in irregular and long naps and long sleep on weekend mornings [3].
- (4)
- The need for naps continues even when children enter elementary school, as the accumulation of sleep deprivation and the shift in daily rhythms leads to the disruption of daily life and may cause problems in future school and social life. A lifestyle in which sleep deprivation during the weekdays is compensated for by sleeping late into the morning on weekends may lead to “social jet lag” [3,39,40].
- (5)
3. Diagnostic Criteria for ISS in Children Aged 1–6 (Proposal)
- (1)
- If the child sleeps less than 8 h at night, there is a high possibility that the child is sleep-deprived, which may have a negative impact on the child’s physical and mental development, and immediate treatment is required, including medication.
- (2)
- If the child sleeps less than 9 h at night or 30 to 60 min less than the required NBSD, chronic sleep deprivation is suspected and sleep debt is a concern. In addition, if the child has the following clinical symptoms, immediate treatment is recommended: (1) unbearable sleepiness almost every day, (2) behavioral abnormalities due to sleepiness are observed, (3) the child is woken up in the morning by an alarm clock or family members, (4) the child tends to sleep longer on weekends, and (5) the symptoms disappear when the child acquires enough sleep.
4. Sleep Information for Early Childhood Is Important
5. Sleep Deprivation Habits Starting in Infancy
6. Insufficient Sleep Syndrome Develops Due to Circadian Rhythm Disruption
7. Background of Children’s Nocturnal Sleep Deprivation
8. Treatment for Insufficient Sleep Syndrome
8.1. Sleep Hygiene
8.1.1. Sleep Education
8.1.2. Behavioral Sleep Intervention
8.2. Pharmacotherapy
9. Conclusions
Funding
Conflicts of Interest
References
- Mader, E.C., Jr.; Mader, A.C.L.; Singh, P. Insufficient Sleep Syndrome: A Blind Spot in Our Vision of Healthy Sleep. Cureus 2022, 14, e30928. [Google Scholar] [CrossRef] [PubMed]
- Mader, E.C., Jr.; Mader, A.C. Sleep as spatiotemporal integration of biological processes that evolved to periodically reinforce neurodynamic and metabolic homeostasis: The 2m3d paradigm of sleep. J. Neurol. Sci. 2016, 367, 63–80. [Google Scholar] [CrossRef] [PubMed]
- Hasegawa, T.; Murata, S.; Kagimura, T.; Omae, K.; Tanaka, A.; Takahashi, K.; Narusawa, M.; Konishi, Y.; Oniki, K.; Miike, T. Characteristics and Transition of Sleep-Wake Rhythm in Nursery School Children: The Importance of Nocturnal Sleep. Clocks Sleep 2024, 6, 668–681. [Google Scholar] [CrossRef] [PubMed]
- Vriend, J.; Davidson, F.; Rusak, B.; Corkum, P. Emotional and Cognitive Impact of Sleep Restriction in Children. Sleep Med. Clin. 2015, 10, 107–115. [Google Scholar] [CrossRef] [PubMed]
- McGraw, K.; Hoffmann, R.; Harker, C.; Herman, J.H. The Development of Circadian Rhythms in a Human Infant. Sleep 1999, 22, 303–310. [Google Scholar] [CrossRef]
- Biaggioni, I. Circadian clocks, autonomic rhythms, and blood pressure dipping. Hypertension 2008, 52, 797–798. [Google Scholar] [CrossRef]
- Buijs, R.M.; Escobar, C.; Swaab, D.F. The circadian system and the balance of the autonomic nervous system. Handb. Clin. Neurol. 2013, 117, 173–191. [Google Scholar]
- Baschieri, F.; Cortelli, P. Circadian rhythms of cardiovascular autonomic function: Physiology and clinical implications in neurodegenerative diseases. Auton. Neurosci. 2019, 217, 91–101. [Google Scholar] [CrossRef]
- Colquhoun, W.P.; Edwards, R.S. Circadian rhythms of body temperature in shift-workers at a coalface. Br. J. Ind. Med. 1970, 27, 266–272. [Google Scholar] [CrossRef][Green Version]
- Morris, M.; Lack, L.; Dawson, D. Sleep-onset insomniacs have delayed temperature rhythms. Sleep 1990, 13, 1–14. [Google Scholar] [CrossRef]
- Lodemore, M.; Petersen, S.A.; Wailoo, M.P. Development of night time temperature rhythms over the first six months of life. Arch. Dis. Child. 1991, 66, 521–524. [Google Scholar] [CrossRef][Green Version]
- Ardura, J.; Gutierrez, R.; Andres, J.; Agapito, T. Emergence and evolution of the circadian rhythm of melatonin in children. Horm. Res. 2003, 59, 66–72. [Google Scholar] [CrossRef]
- Poggiogalle, E.; Jamshed, H.; Peterson, C.M. Circadian regulation of glucose, lipid, and energy metabolism in humans. Metabolism 2018, 84, 11–27. [Google Scholar] [CrossRef]
- Panda, S. Circadian physiology of metabolism. Science 2016, 354, 1008–1015. [Google Scholar] [CrossRef]
- Toyoura, M.; Miike, T.; Tajima, S.; Matsuzawa, S.; Konishi, Y. Inadequate sleep as a contributor to impaired glucose tolerance: A cross-sectional study in children, adolescents, and young adults with circadian rhythm sleep-wake disorder. Pediatr. Diabetes 2020, 21, 557–564. [Google Scholar] [CrossRef]
- Song, D.; Yang, C.S.; Zhang, X.; Wang, Y. The relationship between host circadian rhythms and intestinal microbiota: A new cue to improve health by tea polyphenols. Crit. Rev. Food. Sci. Nutr. 2021, 61, 139–148. [Google Scholar] [CrossRef]
- Mavroudis, P.D.; Scheff, J.D.; Calvano, S.E.; Androulakis, I.P. Systems biology of circadian-immune interactions. J. Innate Immun. 2013, 5, 153–162. [Google Scholar] [CrossRef]
- Scheiermann, C.; Kunisaki, Y.; Frenette, P.S. Circadian control of the immune system. Nat. Rev. Immunol. 2013, 13, 190–198. [Google Scholar] [CrossRef]
- Garbarino, S.; Lanteri, P.; Bragazzi, N.L.; Magnavita, N.; Scoditti, E. Role of sleep deprivation in immune-related disease risk and outcomes. Commun. Biol. 2021, 4, 1304. [Google Scholar] [CrossRef]
- Touchette, E.; Dionne, G.; Forget-Dubois, N.; Vilches, N.; Valenzuela, F.J. Genetic and environmental influences on daytime and nighttime sleep duration in early childhood. Pediatrics 2013, 131, e1874–e1880. [Google Scholar] [CrossRef]
- Paul, I.M.; Savage, J.S.; Anzman-Frasca, S.; Marini, M.E.; Mindell, J.A.; Birch, L.L. INSIGHT Responsive Parenting Intervention and Infant Sleep. Pediatrics 2016, 138, e20160762. [Google Scholar] [CrossRef]
- Serón-Ferré, M.; Mendez, N.; Abarzua-Catalan, L.; Vilches, N.; Valenzuela, F.J.; Reynolds, H.E.; Llanos, A.J.; Rojas, A.; Valenzuela, G.J.; Torres-Farfanet, C. Circadian rhythms in the fetus. Mol. Cell. Endocrinol. 2012, 349, 68–75. [Google Scholar] [CrossRef]
- Bruni, O.; Baumgartner, E.; Sette, S.; Ancona, M.; Caso, G.; Di Cosimo, M.E.; Mannini, A.; Ometto, M.; Pasquini, A.; Ulliana, A.; et al. Longitudinal study of sleep behavior in normal infants during the first year of life. J. Clin. Sleep Med. 2014, 10, 1119–1127. [Google Scholar] [CrossRef]
- Inoue, S. Science of Sleep; Asakura-Shoten: Tokyo, Japan, 2006; p. 38. (In Japanese) [Google Scholar]
- Logan, R.W.; McClung, C.A. Rhythms of life: Circadian disruption and brain disorders across the lifespan. Nat. Rev. Neurosci. 2018, 20, 49–65. [Google Scholar] [CrossRef]
- Hsu, C.N.; Tain, Y.L. Light and Circadian Signaling Pathway in Pregnancy: Programming of Adult Health and Disease. Int. J. Mol. Sci. 2020, 21, 2232. [Google Scholar] [CrossRef]
- McCall, E. Insufficient Sleep for Children. Br. Med. J. 1937, 1, 531. [Google Scholar] [CrossRef][Green Version]
- Kohyama, J.; Anzai, Y.; Ono, M.; Kishino, A.; Tamanuki, K.; Takada, K.; Inoue, K.; Horiuchi, M.; Hatai, Y. Insufficient sleep syndrome: An unrecognized but important clinical entity. Pediatr. Int. 2018, 60, 372–375. [Google Scholar] [CrossRef]
- Jan, J.E.; Reiter, R.J.; Bax, M.C.; Ribary, U.; Freeman, R.D.; Wasdell, M.B. Long-term sleep disturbances in children: A cause of neuronal loss. Eur. J. Paediatr. Neurol. 2010, 14, 380–390. [Google Scholar] [CrossRef]
- Quian, J.; Scheer, F.A.J.L. Circadian System and Glucose Metabolism: Implications for Physiology and Disease. Trends Endocrinol. Metab. 2016, 27, 282–293. [Google Scholar] [CrossRef]
- Neves, A.R.; Albuquerque, T.; Quintela, T.; Costa, D. Circadian rhythm and disease: Relationship, new insights, and future perspectives. J. Cell. Physiol. 2022, 237, 3239–3256. [Google Scholar] [CrossRef]
- Cheng, W.Y.; Desmet, L.; Depoortere, I. Time-restricted eating for chronodisruption-related chronic diseases. Acta Physiol. 2023, 239, e14027. [Google Scholar] [CrossRef]
- Iglowstein, I.; Jenni, O.G.; Molinari, L.; Largo, R.H. Sleep duration from infancy to adolescence: Reference values and generational trends. Pediatrics 2003, 111, 302–307. [Google Scholar] [CrossRef]
- Blair, P.S.; Humphreys, J.S.; Gringras, P.; Taheri, S.; Scott, N.; Emond, A.; Henderson, J.; Fleming, P.J. Childhood sleep duration and associated demographic characteristics in an English cohort. Sleep 2012, 35, 353–360. [Google Scholar] [CrossRef]
- Staton, S.; Rankin, P.S.; Harding, M.; Smith, S.S.; Westwood, E.; LeBourgeois, M.K.; Thorpe, K.J. Many naps, one nap, none: A systematic review and meta-analysis of napping patterns in children 0–12 years. Sleep. Med. Rev. 2020, 50, 101247. [Google Scholar] [CrossRef]
- Weissbluth, M. Naps in Children: 6 months-7 Years. Sleep 1995, 18, 82–87. [Google Scholar] [CrossRef]
- Paruthi, S.; Brooks, L.J.; D’Ambrosio, C.; Hall, W.A.; Kotagal, S.; Lloyd, R.M.; Malow, B.A.; Maski, K.; Nichols, C.; Quan, S.F.; et al. Consensus Statement of the American Academy of Sleep Medicine on the Recommended Amount of Sleep for Healthy Children: Methodology and Discussion. J. Clin. Sleep Med. 2016, 12, 1549–1561. [Google Scholar] [CrossRef]
- Hirshkowitz, M.; Whiton, K.; Albert, S.M.; Alessi, C.; Bruni, O.; DonCarlos, L.; Hazen, N.; Herman, J.; Hillard, P.J.A.; Katz, E.S.; et al. National Sleep Foundation’s updated sleep duration recommendations: Final report. Sleep Health 2015, 1, 233–243. [Google Scholar] [CrossRef]
- Giannoumis, M.; Mok, E.; Borkhoff, C.M.; Birken, C.S.; Maguire, J.; Parkin, P.C.; Li, P.; Constantin, E. Association of accelerometry-derived social jetlag and sleep with temperament in children less than 6 years of age. J. Clin. Sleep Med. 2022, 18, 1993–1999. [Google Scholar] [CrossRef]
- Doi, Y.; Ishihara, K.; Uchiyama, M. Associations of chronotype with social jetlag and behavioral problems in preschool children. Chronobiol. Int. 2015, 32, 1101–1108. [Google Scholar] [CrossRef]
- Touchette, E.; Côté, S.M.; Petit, D.; Liu, X.; Boivin, M.; Falissard, B.; Tremblay, R.E.; Montplaisir, J.Y. Short nighttime sleep-duration and hyperactivity trajectories in early childhood. Pediatrics 2009, 124, e985–e993. [Google Scholar] [CrossRef]
- Zhang, Z.; Adamo, K.B.; Ogden, N.; Goldfield, G.S.; Okely, A.D.; Kuzik, N.; Crozier, M.; Hunter, S.; Predy, M.; Carson, V. Associations between sleep duration, adiposity indicators, and cognitive development in young children. Sleep Med. 2021, 82, 54–60. [Google Scholar] [CrossRef]
- Yamauchi, Y.; Takao, S.; Matsumoto, N.; Yorifuji, T. Association of nighttime sleep with behaviors in Japanese early childhood. Pediatr. Int. 2022, 64, e15354. [Google Scholar] [CrossRef]
- Goel, P.; Goel, A. Exploring the Evolution of Sleep Patterns from Infancy to Adolescence. Cureus 2024, 16, e64759. [Google Scholar] [CrossRef]
- Elrod, M.G.; Hood, B.S. Sleep differences among children with autism spectrum disorders and typically developing peers: A meta-analysis. J. Dev. Behav. Pediatr. 2015, 36, 166–177. [Google Scholar] [CrossRef]
- Yu, J.; Jin, H.; Wen, L.; Zhang, W.; Saffery, R.; Tong, C.; Qi, H.; Kilby, M.D.; Baker, P.N. Insufficient sleep during infancy is correlated with excessive weight gain in childhood: A longitudinal twin cohort study. J. Clin. Sleep Med. 2021, 17, 2147–2154. [Google Scholar] [CrossRef]
- Petit, D.; Touchette, E.; Pennestri, M.H.; Paquet, J.; Côté, S.; Tremblay, R.E.; Boivin, M.; Montplaisir, J.Y. Nocturnal sleep duration trajectories in early childhood and school performance at age 10 years. J. Sleep Res. 2023, 32, e13893. [Google Scholar] [CrossRef]
- Miike, T.; Oniki, K.; Toyoura, M.; Tonooka, S.; Tajima, S.; Kinoshita, J.; Saruwatari, J.; Konishi, Y. Disruption of Circadian Sleep/Wake Rhythms in Infants May Herald Future Development of Autism Spectrum Disorder. Clocks Sleep 2024, 6, 170–182. [Google Scholar] [CrossRef]
- Veatch, O.J.; Sutcliffe, J.S.; Warren, Z.E.; Keenan, B.T.; Potter, M.H.; Malow, B.A. Shorter sleep duration is associated with social impairment and comorbidities in ASD. Autism Res. 2017, 10, 1221–1238. [Google Scholar] [CrossRef]
- Yavuz-Kodat, E.; Reynaud, E.; Geoffray, M.M.; Limousin, N.; Franco, P.; Bonnet-Brilhault, F.; Bourgin, P.; Schroder, C.M. Disturbances of Continuous Sleep and Circadian Rhythms Account for Behavioral Difficulties in Children with Autism Spectrum Disorder. J. Clin. Med. 2020, 9, 1978. [Google Scholar] [CrossRef]
- Bueno, C.; Menna-Barreto, L. Development of sleep/wake, activity and temperature rhythm in newborns maintained in a neonatal intensive care unit and the impact of feeding schedules. Infant Behav. Dev. 2016, 44, 212–218. [Google Scholar] [CrossRef]
- Clara, M.I.; Gomes, A.A. An epidemiological study of sleep-wake timings in school children from 4 to 11 years old: Insights on the sleep phase shift and implications for the school starting times’ debate. Sleep Med. 2020, 66, 51–60. [Google Scholar] [CrossRef] [PubMed]
- Wing, Y.K.; Li, S.X.; Li, A.M.; Zhang, J.; Kong, A.P. The effect of weekend and holiday sleep compensation on childhood overweight and obesity. Pediatrics 2009, 124, e994–e1000. [Google Scholar] [CrossRef] [PubMed]
- Kim, C.W.; Choi, M.K.; Im, H.J.; Kim, O.-H.; Lee, H.-J.; Song, J.; Kang, J.-H.; Parket, K.-H. Weekend catch-up sleep is associated with decreased risk of being overweight among fifth-grade student with short sleep duration. J. Sleep Res. 2012, 21, 546–551. [Google Scholar] [CrossRef] [PubMed]
- Chaput, J.P.; Brunet, M.; Tremblay, A. Relationship between short sleeping hours and childhood overweight/obesity: Results from the ’Québec en Forme’ Project. Int. J. Obes. 2006, 30, 1080–1085. [Google Scholar] [CrossRef]
- Danielsen, Y.S.; Pallesen, S.; Stormark, K.M.; Nordhus, I.H.; Bjorvatn, B. The relationship between school day sleep duration and body mass index in Norwegian children (aged 10–12). Int. J. Pediatr. Obes. 2010, 5, 214–220. [Google Scholar] [CrossRef]
- Marshall, N.S.; Glozier, N.; Grunstein, R.R. Is sleep duration related to obesity? A critical review of the epidemiological evidence. Sleep Med. Rev. 2008, 12, 289–298. [Google Scholar] [CrossRef]
- Hart, C.N.; Jelalian, E. Shortened sleep duration is associated with pediatric overweight. Behav. Sleep Med. 2008, 6, 251–267. [Google Scholar] [CrossRef]
- Cho, Y.; In, H.; Park, M.; Park, E.C.; Kim, S.H. Association of smartphone use with abnormal social jetlag among adolescents in Korea before and after COVID-19. Addict. Behav. 2023, 141, 107629. [Google Scholar] [CrossRef]
- Morin, C.M.; Carrier, J. The acute effects of the COVID-19 pandemic on insomnia and psychological symptoms. Sleep Med. 2021, 77, 346–347. [Google Scholar] [CrossRef]
- Jahrami, H.; BaHammam, A.S.; Bragazzi, N.L.; Saif, Z.; Faris, M.; Vitiello, M.V. Sleep problems during the COVID-19 pandemic by population: A systematic review and meta-analysis. J. Clin. Sleep Med. 2021, 17, 299–313. [Google Scholar] [CrossRef]
- Przybylski, A.K. Digital Screen Time and Pediatric Sleep: Evidence from a Preregistered Cohort Study. J. Pediatr. 2019, 205, 218–223.e1. [Google Scholar] [CrossRef] [PubMed]
- Kaur, N.; Gupta, M.; Malhi, P.; Grover, S. Screen Time in Under-five Children. Indian Pediatr. 2019, 56, 773–788. [Google Scholar] [CrossRef] [PubMed]
- Janssen, X.; Martin, A.; Hughes, A.R.; Hill, C.M.; Kotronoulas, G.; Hesketh, K.R. Associations of screen time, sedentary time and physical activity with sleep in under 5s: A systematic review and meta-analysis. Sleep Med. Rev. 2020, 49, 101226. [Google Scholar] [CrossRef] [PubMed]
- Emond, J.A.; O’Malley, A.J.; Neelon, B.; Kravitz, R.M.; Ostbye, T.; Benjamin-Neelon, S.E. Associations between daily screen time and sleep in a racially and socioeconomically diverse sample of US infants: A prospective cohort study. BMJ Open 2021, 11, e044525. [Google Scholar] [CrossRef]
- Diler, F.; Başkale, H. The influence of sleep patterns and screen time on the sleep needs of infants and toddlers: A cross-sectional study. J. Pediatr. Nurs. 2022, 67, e201–e207. [Google Scholar] [CrossRef]
- Veldman, S.L.C.; Altenburg, T.M.; Chinapaw, M.J.M.; Gubbels, J.S. Correlates of screen time in the early years (0–5 years): A systematic review. Prev. Med. Rep. 2023, 33, 102214. [Google Scholar] [CrossRef]
- Korres, G.; Kourklidou, M.; Sideris, G.; Bastaki, D.; Demagkou, A.; Riga, M.; Gogoulos, P.; Nikolopoulos, T.; Delides, A. Unsupervised Screen Exposure and Poor Language Development: A Scoping Review to Assess Current Evidence and Suggest Priorities for Research. Cureus 2024, 16, e56483. [Google Scholar] [CrossRef]
- Hauri, P.; Olmstead, E. Childhood-onset insomnia. Sleep 1980, 3, 59–65. [Google Scholar] [CrossRef]
- Macias, M.I.; Malhotra, S. Behavioral Insomnia of Childhood. Am. J. Respir. Crit. Care Med. 2021, 203, P20–P21. [Google Scholar] [CrossRef]
- Bruni, O.; DelRosso, L.M.; Mogavero, M.P.; Angriman, M.; Ferri, R. Chronic insomnia of early childhood: Phenotypes and pathophysiology. Neurosci. Biobehav. Rev. 2022, 137, 104653. [Google Scholar] [CrossRef]
- Bruni, O.; Angriman, M.; Miano, S.; DelRosso, L.M.; Spruyt, K.; Mogavero, M.P.; Ferri, R. Individualized approaches to pediatric chronic insomnia: Advancing precision medicine in sleep disorders. Sleep Med. Rev. 2024, 76, 101946. [Google Scholar] [CrossRef] [PubMed]
- Williamson, A.A.; Mindell, J.A.; Hiscock, H.; Quach, J. Child sleep behaviors and sleep problems from infancy to school-age. Sleep Med. 2019, 63, 5–8. [Google Scholar] [CrossRef] [PubMed]
- Humphreys, J.S.; Gringras, P.; Blair, P.S.; Scott, N.; Henderson, J.; Fleming, P.J.; Emond, A.M. Sleep patterns in children with autistic spectrum disorders: A prospective cohort study. Arch. Dis. Child. 2014, 99, 114–118. [Google Scholar] [CrossRef]
- Limoges, É.; Mottron, L.; Bolduc, C.; Berthiaume, C.; Godboutet, R. Atypical sleep architecture and the autism phenotype. Brain 2005, 128, 1049–1061. [Google Scholar] [CrossRef]
- Miike, T.; Toyoura, M.; Oniki, K.; Tonooka, S.; Tajima, S. Prophylactic Treatment of ASD Based on Sleep-Wake Circadian Rhythm Formation in Infancy to Early Childhood. In Neurobiology of Autism Spectrum Disorders; El Idrissi, A., McCloskey, D., Eds.; Springer: Cham, Switzerland, 2023; pp. 183–207. [Google Scholar]
- Whittingham, K.; Douglas, P. Optimizing parent-infant sleep from birth to 6 months: A new paradigm. Infant Ment. Health. J. 2014, 35, 614–623. [Google Scholar] [CrossRef]
- Ball, H.L.; Douglas, P.S.; Kulasinghe, K.; Whittingham, K.; Hill, P. The Possums Infant Sleep Program: Parents’ perspectives on a novel parent-infant sleep intervention in Australia. Sleep Health 2018, 4, 519–526. [Google Scholar] [CrossRef]
- Sadeh, A.; Tikotzky, L.; Scher, A. Parenting and infant sleep. Sleep Med. Rev. 2010, 14, 89–96. [Google Scholar] [CrossRef]
- Hiscock, H.; Bayer, J.; Gold, L.; Hampton, A.; Ukoumunne, O.C.; Wake, M. Improving infant sleep and maternal mental health: A cluster randomised trial. Arch. Dis. Child. 2007, 92, 952–958. [Google Scholar] [CrossRef]
- Hiscock, H.; Bayer, J.K.; Hampton, A.; Ukoumunne, O.C.; Wake, M. Long-term mother and child mental health effects of a population-based infant sleep intervention: Cluster-randomized, controlled trial. Pediatrics 2008, 122, e621–e627. [Google Scholar] [CrossRef]
- Blackmer, A.B.; Feinstein, J.A. Management of sleep disorders in children with neurodevelopmental disorders: A review. Pharmacotherapy 2016, 36, 84–98. [Google Scholar] [CrossRef]
- Miike, T.; Toyoura, M.; Tonooka, S.; Konishi, Y.; Oniki, K.; Saruwatari, J.; Tajima, S.; Kinoshita, J.; Nakai, A.; Kikuchi, K. Neonatal Irritable Sleep-Wake Rhythm as a Predictor of Autism Spectrum Disorders. Neurobiol. Sleep Circadian Rhythm. 2020, 9, 100053. [Google Scholar] [CrossRef] [PubMed]
- Maeda, T.; Oniki, K.; Miike, T. Sleep education in primary school prevents future school refusal behavior. Pediatr. Int. 2019, 61, 1036–1042. [Google Scholar] [CrossRef] [PubMed]
- Giesbrecht, G.F.; Letourneau, N.; Campbell, T.; Hart, M.; Thomas, J.C.; Tomfohr-Madsen, L.; APrON Study Team. Parental Use of “Cry Out” in a Community Sample During the First Year of Infant Life. J. Dev. Behav. Pediatr. 2020, 41, 379–387. [Google Scholar] [CrossRef]
- Gradisar, M.; Jackson, K.; Spurrier, N.J.; Gibson, J.; Whitham, J.; Williams, A.S.; Dolby, R.; Kennaway, D.J. Behavioral Interventions for Infant Sleep Problems: A Randomized Controlled Trial. Pediatrics 2016, 137, e20151486. [Google Scholar] [CrossRef]
- Sadeh, A.; Juda-Hanael, M.; Livne-Karp, E.; Kahn, M.; Tikotzky, L.; Anders, T.F.; Calkins, S.; Sivan, Y. Low parental tolerance for infant crying: An underlying factor in infant sleep problems? J. Sleep Res. 2016, 25, 501–507. [Google Scholar] [CrossRef]
- Kahn, M.; Budinger, Y.; Volkovich, E.; Meiri, G.; Sadeh, A.; Tikotzky, L. Links between infant sleep and parental tolerance for infant crying: Longitudinal assessment from pregnancy through six months postpartum. Sleep Med. 2018, 50, 72–78. [Google Scholar] [CrossRef]
- Dönmez, R.Ö.; Temel, A.B. Effect of soothing techniques on infants’ self-regulation behaviors (sleeping, crying, feeding): A randomized controlled study. Jpn. J. Nurs. Sci. 2019, 16, 407–419. [Google Scholar] [CrossRef]
- Adams, E.L.; Master, L.; Buxton, O.M.; Savage, J.S. Patterns of infant-only wake bouts and night feeds during early infancy: An exploratory study using actigraphy in mother-father-infant triads. Pediatr. Obes. 2020, 15, e12640. [Google Scholar] [CrossRef]
- Henderson, J.M.; France, K.G.; Blampied, N.M. The consolidation of infants’ nocturnal sleep across the first year of life. Sleep Med. Rev. 2011, 15, 211–220. [Google Scholar] [CrossRef]
- Kuhn, B.R.; LaBrot, Z.C.; Ford, R.; Roane, B.M. Promoting Independent Sleep Onset in Young Children: Examination of the Excuse Me Drill. Behav. Sleep Med. 2020, 18, 730–745. [Google Scholar] [CrossRef]
- Alecha, I.M.A.; Sancho, E.E. Treatment of insomnia in children: Pharmacological aspects. An. Pediatr. 2003, 59, 239–245. [Google Scholar]
- Kelsay, K. Management of sleep disturbance associated with atopic dermatitis. J. Allergy Clin. Immunol. 2006, 118, 198–201. [Google Scholar] [CrossRef] [PubMed]
- Tomoda, A.; Miike, T.; Uezono, K.; Kawasaki, T. A school refusal with biological rhythm disturbance and melatonin therapy. Brain Dev. 1994, 16, 71–76. [Google Scholar] [CrossRef] [PubMed]
- Garfinkel, D.; Laudon, M.; Nof, D.; Zisapel, N. Improvement of sleep quality in elderly people by controlled-release melatonin. Lancet 1995, 346, 541–544. [Google Scholar] [CrossRef] [PubMed]
- Molina-Carballo, A.; Muñoz-Hoyos, A.; Reiter, R.J.; Sánchez-Forte, M.; Moreno-Madrid, F.; Rufo-Campos, M.; Molina-Font, J.A.; Acuña-Castroviejo, D. Utility of high doses of melatonin as adjunctive anticonvulsant therapy in a child with severe myoclonic epilepsy: Two years’ experience. J. Pineal Res. 1997, 23, 97–105. [Google Scholar] [CrossRef]
- Guardiola-Lemaître, B. Toxicology of melatonin. J. Biol. Rhythm. 1997, 12, 697–706. [Google Scholar] [CrossRef]
- Ninomiya, T.; Iwatani, N.; Tomoda, A.; Miike, T. Effects of exogenous melatonin on the serum levels of pituitary hormones in humans. Clin. Physiol. 2001, 3, 292–299. [Google Scholar] [CrossRef]


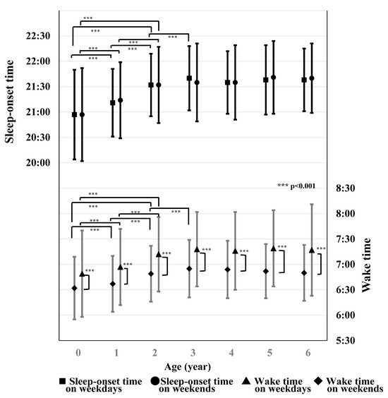
| Age | Number of Subjects | Sleep-Onset Time (hr:min) | Wake Time (hr:min) | |||||||||
|---|---|---|---|---|---|---|---|---|---|---|---|---|
| Ave. | SD | 1st Quartile | Median | 3rd Quartile | Ave. | SD | 1st Quartile | Median | 3rd Quartile | |||
| Weekdays | 0 mo. to 11 mos. | 236 | 20:57 | 53 | 20:30 | 21:00 | 21:30 | 6:32 | 37 | 6:00 | 6:30 | 7:00 |
| 1 yr. to 1 yr. and 11 mos. | 1532 | 21:11 | 40 | 20:45 | 21:00 | 21:30 | 6:37 | 33 | 6:15 | 6:30 | 7:00 | |
| 2 yrs. to 2 yrs. & 11 mos. | 1319 | 21:32 | 37 | 21:00 | 21:30 | 22:00 | 6:49 | 33 | 6:30 | 7:00 | 7:00 | |
| 3 yrs. to 3 yrs. & 11 mos. | 842 | 21:40 | 38 | 21:15 | 21:30 | 22:00 | 6:55 | 34 | 6:30 | 7:00 | 7:15 | |
| 4 yrs. to 4 yrs. & 11 mos. | 478 | 21:35 | 37 | 21:00 | 21:30 | 22:00 | 6:54 | 34 | 6:30 | 7:00 | 7:15 | |
| 5 yrs. to 5 yrs. & 11 mos. | 355 | 21:38 | 41 | 21:00 | 21:30 | 22:00 | 6:52 | 32 | 6:30 | 7:00 | 7:00 | |
| 6 yrs. to 6 yrs. & 11 mos. | 119 | 21:38 | 37 | 21:30 | 21:30 | 22:00 | 6:50 | 33 | 6:30 | 7:00 | 7:00 | |
| All the age groups | 4881 | 21:26 | 41 | 21:00 | 21:30 | 22:00 | 6:46 | 34 | 6:30 | 6:45 | 7:00 | |
| Weekends | 0 mo. to 11 mos. | 236 | 20:57 | 55 | 20:30 | 21:00 | 21:30 | 6:49 | 51 | 6:15 | 6:45 | 7:15 |
| 1 yr. to 1 yr. & 11 mos. | 1532 | 21:14 | 45 | 20:45 | 21:15 | 21:45 | 6:57 | 45 | 6:30 | 7:00 | 7:30 | |
| 2 yrs. to 2 yrs. & 11 mos. | 1319 | 21:32 | 45 | 21:00 | 21:30 | 22:00 | 7:12 | 44 | 6:45 | 7:00 | 7:45 | |
| 3 yrs. to 3 yrs. & 11 mos. | 842 | 21:35 | 46 | 21:00 | 21:30 | 22:00 | 7:18 | 44 | 6:49 | 7:15 | 7:45 | |
| 4 yrs. to 4 yrs. & 11 mos. | 478 | 21:35 | 44 | 21:00 | 21:30 | 22:00 | 7:16 | 46 | 6:45 | 7:15 | 7:45 | |
| 5 yrs. to 5 yrs. & 11 mos. | 355 | 21:41 | 43 | 21:15 | 21:45 | 22:00 | 7:19 | 45 | 7:00 | 7:15 | 7:45 | |
| 6 yrs. to 6 yrs. & 11 mos. | 119 | 21:40 | 41 | 21:15 | 21:30 | 22:00 | 7:17 | 54 | 6:45 | 7:15 | 7:45 | |
| All the age groups | 4881 | 21:26 | 47 | 21:00 | 21:30 | 22:00 | 7:08 | 46 | 6:30 | 7:00 | 7:30 | |
| National Sleep Foundation’s Sleep Time Duration Recommendations [38] | A Consensus Statement from the American Academy of Sleep Medicine [37] | ||||
|---|---|---|---|---|---|
| Age | May Be Appropriate | Recommended (h) | May Be Appropriate | Age | Recommended (h) |
| Newborns 0–3 mos | 11–13 | 14–17 | 18–19 | ||
| Infants 4–11 mos | 10–11 | 12–15 | 16–18 | 4–<12 mos | 12–16 |
| Toddlers 1–2 yrs | 9–10 | 10–13 | 15–16 | 1–2 yrs | 11–14 |
| Preschoolers 3–5 yrs | 8–9 | 10–13 | 14 | 3–5 yrs | 10–13 |
| School aged Children 6–13 yrs | 7–8 | 9–11 | 12 | 6–12 yrs | 9–12 |
Disclaimer/Publisher’s Note: The statements, opinions and data contained in all publications are solely those of the individual author(s) and contributor(s) and not of MDPI and/or the editor(s). MDPI and/or the editor(s) disclaim responsibility for any injury to people or property resulting from any ideas, methods, instructions or products referred to in the content. |
© 2024 by the author. Licensee MDPI, Basel, Switzerland. This article is an open access article distributed under the terms and conditions of the Creative Commons Attribution (CC BY) license (https://creativecommons.org/licenses/by/4.0/).
Share and Cite
Miike, T. Insufficient Sleep Syndrome in Childhood. Children 2025, 12, 19. https://doi.org/10.3390/children12010019
Miike T. Insufficient Sleep Syndrome in Childhood. Children. 2025; 12(1):19. https://doi.org/10.3390/children12010019
Chicago/Turabian StyleMiike, Teruhisa. 2025. "Insufficient Sleep Syndrome in Childhood" Children 12, no. 1: 19. https://doi.org/10.3390/children12010019
APA StyleMiike, T. (2025). Insufficient Sleep Syndrome in Childhood. Children, 12(1), 19. https://doi.org/10.3390/children12010019

