Predictive Value of PRISM-4, PIM-3, CRP, Albumin, CRP/Albumin Ratio and Lactate in Critically Ill Children
Abstract
:1. Introduction
2. Materials and Methods
2.1. Study Design and Patients
2.2. Data Collection and Statistical Analysis
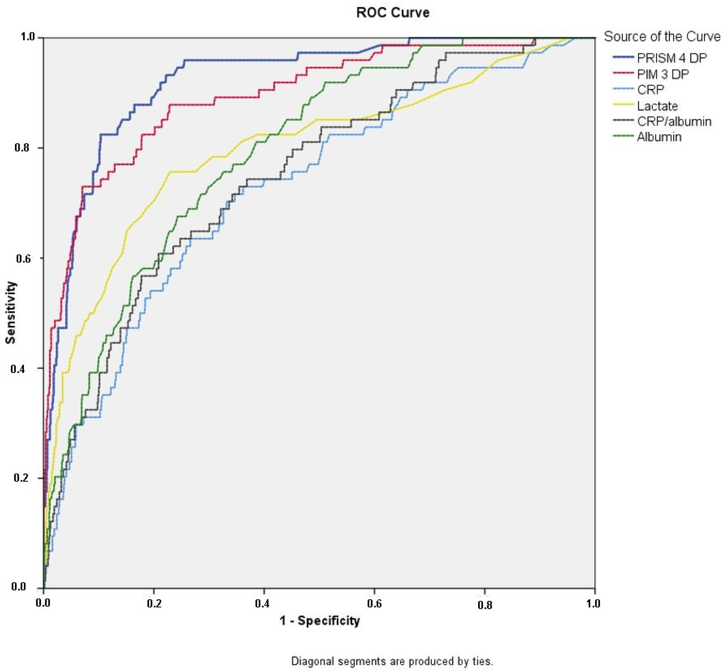
3. Results
3.1. Study Population of All Patients
3.2. Study Population of Septic and Non-septic Patients
4. Discussion
5. Conclusions
Author Contributions
Funding
Institutional Review Board Statement
Informed Consent Statement
Data Availability Statement
Acknowledgments
Conflicts of Interest
References
- Slater, A.; Shann, F. The suitability of the pediatric index of mortality (PIM), PIM2, the pediatric risk of mortality (PRISM), and PRISM III for monitoring the quality of pediatric intensive care in Australia and New Zealand. Pediatr. Crit. Care Med. 2004, 5, 447–453. [Google Scholar] [CrossRef] [PubMed]
- Namachivayam, P.; Shann, F.; Shekerdemian, L.; Taylor, A.; Van Sloten, I.; Delzoppo, C.; Daffey, C.; Butt, W. Three decades of pediatric intensive care: Who was admitted, what happened in intensive care, and what happened afterward. Pediatr. Crit. Care Med. 2010, 11, 549–555. [Google Scholar] [CrossRef] [PubMed]
- Pollack, M.M.; Holubkov, R.; Funai, T.; Dean, J.M.; Berger, J.T.; Wessel, D.L.; Meert, K.; Berg, R.A.; Newth, C.J.L.; Harrison, R.E.; et al. The Pediatric Risk of Mortality Score: Update 2015. Pediatr. Crit. Care Med. 2016, 17, 2–9. [Google Scholar] [CrossRef] [PubMed]
- Straney, L.; Clements, A.; Parslow, R.C.; Pearson, G.; Math, D.; Shann, F. Paediatric Index of Mortality 3: An Updated Model for Predicting Mortality in Pediatric Intensive Care. Pediatr. Crit. Care Med. 2013, 14, 673–681. [Google Scholar] [CrossRef] [PubMed]
- Wacker, C.; Prkno, A.; Brunkhorst, F.M.; Schlattmann, P. Procalcitonin as a diagnostic marker for sepsis: A systematic review and meta-analysis. Lancet Infect. Dis. 2013, 13, 426–435. [Google Scholar] [CrossRef]
- Annane, D.; Maxime, V.; Faller, J.P.; Mezher, C.; Clec’h, C.; Martel, P.; Gonzales, H.; Feissel, M.; Cohen, Y.; Capellier, G.; et al. Procalcitonin levels to guide antibiotic therapy in adults with non-microbiologically proven apparent severe sepsis: A randomised controlled trial. BMJ Open 2013, 3, e002186. [Google Scholar] [CrossRef]
- Vincent, J.L.; Donadello, K.; Schmit, X. Biomarkers in the critically ill patient: C-reactive protein. Crit. Care Clin. 2011, 27, 241–251. [Google Scholar] [CrossRef]
- Carriere, I.; Dupuy, A.M.; Lacroux, A.; Cristol, J.P.; Delcourt, C.; Pathologies Oculaires Liées à l’Age Study Group. Biomarkers of inflammation and malnutrition associated with early death in healthy elderly people. J. Am. Geriatr. Soc. 2008, 56, 840–846. [Google Scholar] [CrossRef]
- Yue, C.; Zhang, C.; Ying, C. Admission serum lactate is associated with all-cause mortality in the pediatric intensive care unit. Am. J. Transl. Res. 2022, 14, 4124–4131. [Google Scholar]
- Oh, T.K.; Song, I.A.; Lee, J.H. Clinical usefulness of C-reactive protein to albumin ratio in predicting 30-day mortality in critically ill patients: A retrospective analysis. Sci. Rep. 2018, 8, 14977. [Google Scholar] [CrossRef]
- Leite, H.P.; Rodrigues Da Silva, A.V.; De Oliveira Iglesias, S.B.; Koch Nogueira, P.C. Serum Albumin Is an Independent Predictor of Clinical Outcomes in Critically Ill Children. Pediatr. Crit. Care Med. 2016, 17, e50–e57. [Google Scholar] [CrossRef] [PubMed]
- Mikkelsen, M.E.; Miltiades, A.N.; Gaieski, D.F.; Goyal, M.; Fuchs, B.D.; Shah, C.V.; Bellamy, S.L.; Christie, J.D. Serum lactate is associated with mortality in severe sepsis independent of organ failure and shock. Crit. Care Med. 2009, 37, 1670–1677. [Google Scholar] [CrossRef] [PubMed]
- Devran, Ö.; Karakurt, Z.; Adigüzel, N.; Güngör, G.; Moçin, Ö.Y.; Balci, M.K.; Çelik, E.; Saltürk, C.; Takir, H.B.; Kargin, F.; et al. C-reactive protein as a predictor of mortality in patients affected with severe sepsis in intensive care unit. Multidiscip Respir. Med. 2012, 7, 47. [Google Scholar] [CrossRef] [PubMed]
- Zhang, Z.; Ni, H. C-reactive protein as a predictor of mortality in critically ill patients: A meta-analysis and systematic review. Anaesth Intensive Care 2011, 39, 854–861. [Google Scholar] [CrossRef]
- Bhandarkar, N.; Save, S.; Bavdekar, S.B.; Sisodia, P.; Desai, S. Serum Albumin and C-Reactive Protein as Predictors of Adverse Outcomes in Critically Ill Children: A Prospective Observational Pilot Study. Indian J. Pediatr. 2019, 86, 758–759. [Google Scholar] [CrossRef] [PubMed]
- Yucel, K.; Gurbuz, A. The effect of lactate/albumin ratio on mortality in patients with sepsis. Med. Sci. Int. Med. J. 2021, 10, 939–945. [Google Scholar] [CrossRef]
- Slater, A.; Shann, F.; McEniery, J. The ANZPIC Registry diagnostic codes: A system for coding reasons for admitting children to intensive care. Intensive Care Med. 2003, 29, 271–277. [Google Scholar] [CrossRef]
- Ruiqiang, Z.; Yifen, Z.; Ziqi, R.; Wei, H.; Xiaoyun, F. Surviving Sepsis Campaign: International guidelines for management of sepsis and septic shock. Crit. Care Med. 2021, 49, e1063–e1143. [Google Scholar] [CrossRef]
- Lelubre, C.; Anselin, S.; Zouaoui Boudjeltia, K.; Biston, P.; Piagnerelli, M. Interpretation of c-reactive protein concentrations in critically Ill patients. Biomed. Res. Int. 2013, 2013, 124021. [Google Scholar] [CrossRef]
- Ho, K.M.; Lee, K.Y.; Dobb, G.J.; Webb, S.A. C-reactive protein concentration as a predictor of in-hospital mortality after ICU discharge: A prospective cohort study. Intensive Care Med. 2008, 34, 481–487. [Google Scholar] [CrossRef]
- Al-Subaie, N.; Reynolds, T.; Myers, A.; Sunderland, R.; Rhodes, A.; Grounds, R.M.; Hall, G.M. C-reactive protein as a predictor of outcome after discharge from the intensive care: A prospective observational study. Br. J. Anaesth. 2010, 105, 318–325. [Google Scholar] [CrossRef] [PubMed]
- Hoşgün, D.; Sayin Gülensoy, E.; Akpinar, E.; Ogan, N.; Ateş, C.; Aydemir, S. Serum albumin and C-reactive protein/albumin ratio in community-acquired pneumonia. J. Med. Palliat. Care 2022, 3, 111–116. [Google Scholar] [CrossRef]
- Kim, M.H.; Ahn, J.Y.; Song, J.E.; Choi, H.; Ann, H.W.; Kim, J.K.; Kim, J.H.; Jeon, Y.D.; Kim, S.B.; Jeong, S.J.; et al. The C-reactive protein/albumin ratio as an independent predictor of mortality in patients with severe sepsis or septic shock treated with early goal-directed therapy. PLoS ONE 2015, 10, e0132109. [Google Scholar] [CrossRef] [PubMed]
- Park, J.; Chung, K.; Song, J.; Kim, S.; Kim, E.; Jung, J.; Kang, Y.; Park, M.; Kim, Y.; Chang, J.; et al. The C-Reactive Protein/Albumin Ratio as a Predictor of Mortality in Critically Ill Patients. J. Clin. Med. 2018, 7, 333. [Google Scholar] [CrossRef]
- Mohamed, S.A.; Elhawary, R. C-Reactive Protein/Albumin Ratio as an Independent Predictor of Mortality in Critically Ill Pediatric Patients. J. Child. Sci. 2020, 10, E1–E11. [Google Scholar] [CrossRef]
- Li, T.; Li, X.; Wei, Y.; Dong, G.; Yang, J.; Yang, J.; Fang, P.; Qi, M. Predictive Value of C-Reactive Protein-to-Albumin Ratio for Neonatal Sepsis. J. Inflamm. Res. 2021, 14, 3207–3215. [Google Scholar] [CrossRef]
- Fairclough, E.; Cairns, E.; Hamilton, J.; Kelly, C. Evaluation of a modified early warning system for acute medical admissions. Clin. Med. 2009, 9, 30–33. [Google Scholar] [CrossRef]
- Scott, H.F.; Brou, L.; Deakyne, S.J.; Kempe, A.; Fairclough, D.L.; Bajaj, L. Association between early lactate levels and 30-day mortality in clinically suspected sepsis in children. JAMA Pediatr. 2017, 171, 249–255. [Google Scholar] [CrossRef]
- Jat, K.R.; Jhamb, U.; Gupta, V.K. Serum lactate levels as the predictor of outcome in pediatric septic shock. Indian J. Crit. Care Med. 2011, 15, 102–107. [Google Scholar] [CrossRef]
- Bai, Z.; Zhu, X.; Li, M.; Hua, J.; Li, Y.; Pan, J.; Wang, J.; Li, Y. Effectiveness of predicting in-hospital mortality in critically ill children by assessing blood lactate levels at admission. BMC Pediatr. 2014, 14, 83. [Google Scholar] [CrossRef]



| Patients (n = 942) | Survivors (n = 868) | Non-Survivor (n = 74) | p |
|---|---|---|---|
| Gender female, n (%) | 355 (40.9) | 29 (39.2) | 0.437 |
| Age, month | 32 (9–100) | 36 (8–124) | 0.618 |
| Sepsis/septic shock, n (%) | 135 (15.6) | 38 (51.4) | <0.01 |
| Length of PICU stay, d | 4 [2–10] | 5 [2–12] | 0.259 |
| Length of hospital stay, d | 14 [6–30] | 6 [2–14] | <0.01 |
| Invasive mechanical ventilation, n (%) | 633 (72.9) | 70 (94.6) | <0.01 |
| Non-invasive mechanical ventilation, n (%) | 259 (29.8) | 7 (9.5) | <0.01 |
| Vasoactive use, n (%) | 214 (24.7) | 70 (94.6) | <0.01 |
| Underlying heart disease, n (%) | 116 (13.4) | 15 (20.3) | 0.075 |
| Underlying cancer, n (%) | 92 (10.6) | 20 (27) | <0.01 |
| Underlying neurologic disease, n (%) | 216 (24.9) | 16 (21.6) | 0.32 |
| Patients (n = 942) | Survivors (n = 868) | Non-Survivors (n = 74) | p | AUC | CI (95%) |
|---|---|---|---|---|---|
| PRISM-4 DP | 1.6 [0.69–4.1] | 31.4 [11.41–64.13] | <0.01 | 0.923 | 0.894–0.952 |
| PIM-3 DP | 2.51 [1–6.13] | 31.34 [12.75–66.48] | <0.01 | 0.896 | 0.855–0.937 |
| CRP, mg/L | 11 (2–51.2) | 82 (13.57–67.96) | <0.01 | 0.728 | 0.667–0.789 |
| Albumin, g/dL | 3.4 (2.97–3.81) | 2.73 (2.33–3.13) | <0.01 | 0.795 | 0.747–0.842 |
| Lactate, mmol/L | 1.6 (1.1–2.6) | 4.35 (2.7–8.17) | <0.01 | 0.798 | 0.737–0.860 |
| CRP/Albumin | 3.13 (0.56–15) | 28.63 (4.88–81.92) | <0.01 | 0.751 | 0.694–0.808 |
| Patients (n = 942) | Non-Septic (n = 769) | Septic (n = 173) | p |
|---|---|---|---|
| Gender female, n (%) | 320 (41.6) | 64 (37) | 0.151 |
| Age, month | 28 (9–96) | 52 (9.5–127) | <0.01 |
| PRISM-4 DP | 1.21 [0.6–3.43] | 8.2 [3.08–24.2] | <0.01 |
| PIM-3 DP | 2.26 [0.96–5.95] | 7.57 [3.18–21.2] | <0.01 |
| CRP, mg/L | 8 (1.7–32.1) | 103 (29–227.4) | <0.01 |
| Albumin, g/dL | 3.43 (3.03–3.84) | 2.9 (2.45–3.3) | <0.01 |
| Lactate, mmol/L | 1.65 (1.1–2.6) | 2.2 (1.25–4.25) | <0.01 |
| CRP/albumin ratio | 2.27 (0.48–9.98) | 35.39 (8.69–84.7) | <0.01 |
| Length of PICU stay, d | 3 [2–8] | 8 [4–19] | <0.01 |
| Length of hospital stay, d | 11 [6–24] | 22 [11–47] | <0.01 |
| Patients (n = 173) | Sepsis Survivors (n = 135) | Sepsis Non-Survivors (n = 38) | p |
|---|---|---|---|
| Gender female, n (%) | 50 (37) | 14 (36.8) | 0.570 |
| Age, month | 54 (12–126) | 38 (8–133) | 0.739 |
| PRISM-4 DP | 5.72 [2.4–14.61] | 31.67 [11.38–64.84] | <0.01 |
| PIM-3 DP | 6.1 [2.68–15.8] | 25.05 [8.76–52.1] | <0.01 |
| CRP, mg/L | 96.5 (25.3–208.3) | 193.5 (56.02–277.17) | 0.015 |
| Albumin, g/dL | 3.05 (2.62–3.44) | 2.52 (2.24–2.90) | <0.01 |
| Lactate, mmol/L | 1.8 (1.2–3.3) | 4.35 (2.87–7.20) | <0.01 |
| CRP/albumin ratio | 28.02 (7.60–74.76) | 67.57 (23.29–122.45) | <0.01 |
| Patients (n = 173) | Sepsis Survivors (n = 135) | Sepsis Non-Survivors (n = 38) | p | AUC | CI (95%) |
|---|---|---|---|---|---|
| PRISM-4 DP | 5.72 [2.4–14.61] | 31.67 [11.38–64.84] | <0.01 | 0.784 | 0.700–0.869 |
| PIM-3 DP | 6.1 [2.68–15.8] | 25.05 [8.76–52.1] | <0.01 | 0.753 | 0.657–0.849 |
| CRP, mg/L | 96.5 (25.3–208.3) | 193.5 (56.02–277.17) | 0.015 | 0.629 | 0.527–0.731 |
| Albumin, g/dL | 3.05 (2.62–3.44) | 2.52 (2.24–2.90) | <0.01 | 0.734 | 0.650–0.818 |
| Lactate, mmol/L | 1.8 (1.2–3.3) | 4.35 (2.87–7.20) | <0.01 | 0.758 | 0.666–0.849 |
| CRP/Albumin | 28.02 (7.60–74.76) | 67.57 (23.29–122.45) | <0.01 | 0.659 | 0.560–0.759 |
Disclaimer/Publisher’s Note: The statements, opinions and data contained in all publications are solely those of the individual author(s) and contributor(s) and not of MDPI and/or the editor(s). MDPI and/or the editor(s) disclaim responsibility for any injury to people or property resulting from any ideas, methods, instructions or products referred to in the content. |
© 2023 by the authors. Licensee MDPI, Basel, Switzerland. This article is an open access article distributed under the terms and conditions of the Creative Commons Attribution (CC BY) license (https://creativecommons.org/licenses/by/4.0/).
Share and Cite
Arslan, G.; Besci, T.; Özdemir, G.; Evren, G.; Ilgaz Tüzen, H.; Prencuva, P.; Turan, B.; Benligül, E.M. Predictive Value of PRISM-4, PIM-3, CRP, Albumin, CRP/Albumin Ratio and Lactate in Critically Ill Children. Children 2023, 10, 1731. https://doi.org/10.3390/children10111731
Arslan G, Besci T, Özdemir G, Evren G, Ilgaz Tüzen H, Prencuva P, Turan B, Benligül EM. Predictive Value of PRISM-4, PIM-3, CRP, Albumin, CRP/Albumin Ratio and Lactate in Critically Ill Children. Children. 2023; 10(11):1731. https://doi.org/10.3390/children10111731
Chicago/Turabian StyleArslan, Gazi, Tolga Besci, Göktuğ Özdemir, Gültaç Evren, Hande Ilgaz Tüzen, Pınar Prencuva, Bengisu Turan, and Ebru Melek Benligül. 2023. "Predictive Value of PRISM-4, PIM-3, CRP, Albumin, CRP/Albumin Ratio and Lactate in Critically Ill Children" Children 10, no. 11: 1731. https://doi.org/10.3390/children10111731
APA StyleArslan, G., Besci, T., Özdemir, G., Evren, G., Ilgaz Tüzen, H., Prencuva, P., Turan, B., & Benligül, E. M. (2023). Predictive Value of PRISM-4, PIM-3, CRP, Albumin, CRP/Albumin Ratio and Lactate in Critically Ill Children. Children, 10(11), 1731. https://doi.org/10.3390/children10111731

