Identification of MicroRNAs as Viable Aggressiveness Biomarkers for Prostate Cancer
Abstract
1. Introduction
2. Materials and Methods
2.1. Study Subjects
2.2. Bioinformatic Analysis
2.2.1. TCGA Data of Prostate Adenocarcinoma (TCGA_PRAD)
2.2.2. Differential Expression (DE) Analysis
2.3. Molecular Analysis
2.4. Selection of Candidate miRNA Normalizers
2.5. Selection of the miRNAs
2.6. Statistical Analysis
3. Results
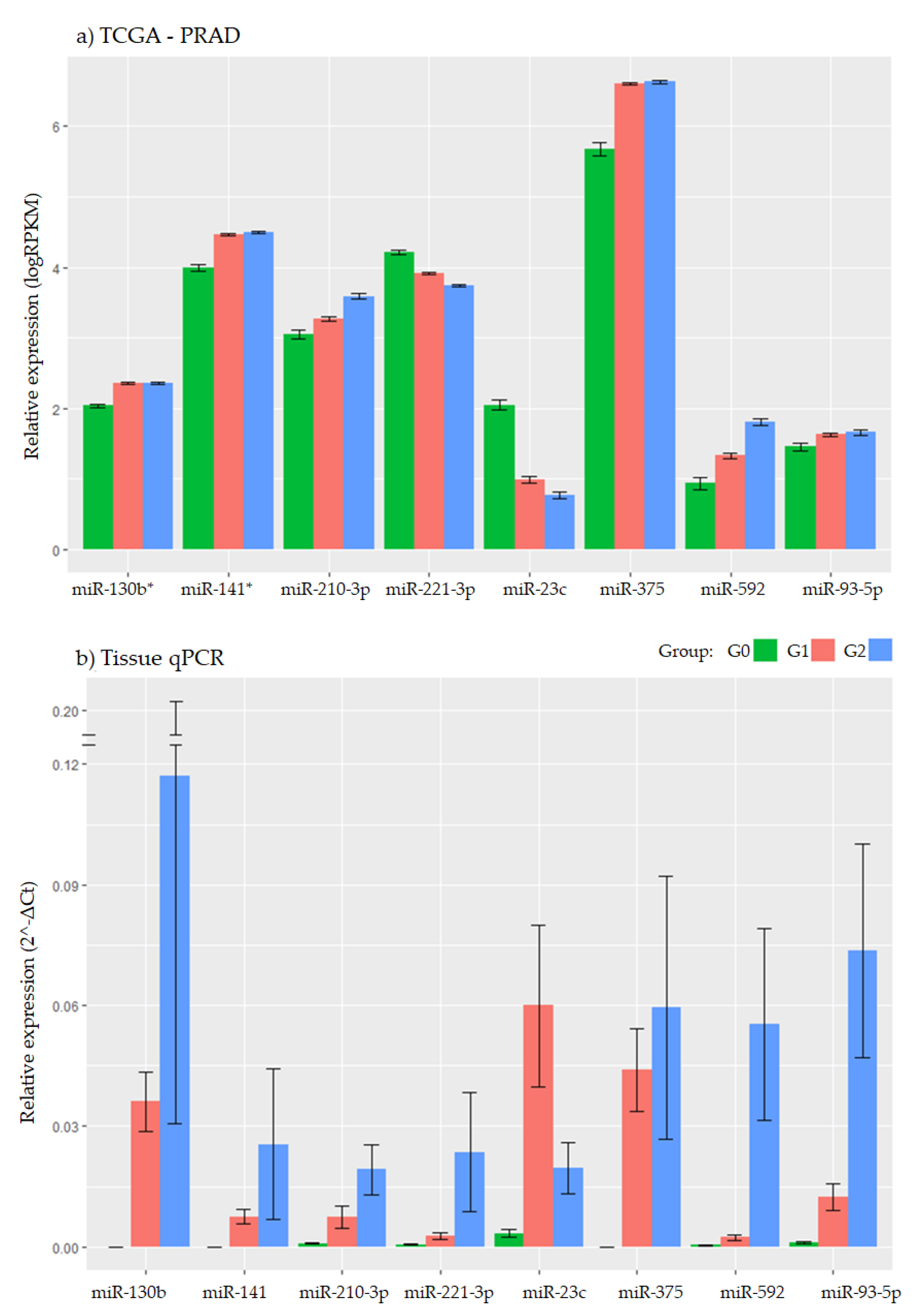
3.1. Bioinformatic Analysis
3.1.1. TCGA Data of Prostate Adenocarcinoma (TCGA_PRAD)
3.1.2. Differential Expression (DE) Analyses
3.2. Molecular Analysis
3.3. Predicted Functional Analysis
4. Discussion
5. Conclusions
Supplementary Materials
Author Contributions
Funding
Institutional Review Board Statement
Informed Consent Statement
Data Availability Statement
Acknowledgments
Conflicts of Interest
References
- Sung, H.; Ferlay, J.; Siegel, R.L.; Laversanne, M.; Soerjomataram, I.; Jemal, A.; Bray, F. Global cancer statistics 2020: GLOBOCAN estimates of incidence and mortality worldwide for 36 cancers in 185 countries. CA Cancer J. Clin. 2021, 71, 209–249. [Google Scholar] [CrossRef]
- Huang, Z.; Sun, Y.; Chen, G.; Dang, Y.; Lu, H.; He, J.; Cheng, J.; He, M.; Li, S. MiRNA-145-5p expression and prospective molecular mechanisms in the metastasis of prostate cancer. IET Syst. Biol. 2021, 15, 1–13. [Google Scholar] [CrossRef]
- Yu, W.; Hurley, J.; Roberts, D.; Chakrabortty, S.; Enderle, D.; Noerholm, M.; Breakefield, X.; Skog, J. Exosome-based liquid biopsies in cancer: Opportunities and challenges. Ann. Oncol. 2021, 32, 466–477. [Google Scholar] [CrossRef]
- Tao, L.; Pan, X.; Wang, J.; Zhang, L.; Tao, L.; Liang, C. Circular RNA circANKS1B acts as a sponge for miR-152-3p and promotes prostate cancer progression by upregulating TGF-α expression. Prostate 2021, 81, 271–278. [Google Scholar] [CrossRef]
- Sun, X.-B.; Chen, Y.-W.; Yao, Q.-S.; Chen, X.-H.; He, M.; Chen, C.-B.; Yang, Y.; Gong, X.-X.; Huang, L. MicroRNA-144 Suppresses Prostate Cancer Growth and Metastasis by Targeting EZH2. Technol. Cancer Res. Treat. 2021, 20, 1533033821989817. [Google Scholar] [CrossRef] [PubMed]
- HasanoĞlu, S.; Göncü, B.S.; Yücesan, E.; Atasoy, S.; Kayali, Y.; KandaŞ, N.Ö. Investigating differential miRNA expression profiling using serum and urine specimens for detecting potential biomarker for early prostate cancer diagnosis. Turk. J. Med. Sci. 2021. [Google Scholar] [CrossRef]
- Wei, J.; Yin, Y.; Deng, Q.; Zhou, J.; Wang, Y.; Yin, G.; Yang, J.; Tang, Y. Integrative Analysis of MicroRNA and Gene Interactions for Revealing Candidate Signatures in Prostate Cancer. Front. Genet. 2020, 11, 176. [Google Scholar] [CrossRef]
- Sharma, S.; Pei, X.; Xing, F.; Wu, S.-Y.; Wu, K.; Tyagi, A.; Zhao, D.; Deshpande, R.; Ruiz, M.G.; Singh, R.; et al. Regucalcin promotes dormancy of prostate cancer. Oncogene 2021, 40, 1012–1026. [Google Scholar] [CrossRef]
- Zhang, L.; Wang, Y.; Wang, L.; Yin, G.; Li, W.; Xian, Y.; Yang, W.; Liu, Q. miR-23c suppresses tumor growth of human hepatocellular carcinoma by attenuating ERBB2IP. Biomed. Pharmacother. 2018, 107, 424–432. [Google Scholar] [CrossRef]
- Petrozza, V.; Pastore, A.L.; Palleschi, G.; Tito, C.; Porta, N.; Ricci, S.; Marigliano, C.; Costantini, M.; Simone, G.; Di Carlo, A.; et al. Secreted miR-210-3p as non-invasive biomarker in clear cell renal cell carcinoma. Oncotarget 2017, 8, 69551–69558. [Google Scholar] [CrossRef]
- Ren, D.; Yang, Q.; Dai, Y.; Guo, W.; Du, H.; Song, L.; Peng, X. Oncogenic miR-210-3p promotes prostate cancer cell EMT and bone metastasis via NF-κB signaling pathway. Mol. Cancer 2017, 16, 1–16. [Google Scholar] [CrossRef]
- Wang, L.; He, J.; Hu, H.; Tu, L.; Sun, Z.; Liu, Y.; Luo, F. Lung CSC-derived exosomal miR-210-3p contributes to a pro-metastatic phenotype in lung cancer by targeting FGFRL1. J. Cell Mol. Med. 2020, 24, 6324–6339. [Google Scholar] [CrossRef]
- Wang, L.; Song, Y.; Wang, H.; Liu, K.; Shao, Z.; Shang, Z. MiR-210-3p-EphrinA3-PI3K/AKT axis regulates the progression of oral cancer. J. Cell Mol. Med. 2020, 24, 4011–4022. [Google Scholar] [CrossRef]
- Ruiz-Plazas, X.; Altuna-Coy, A.; Alves-Santiago, M.; Vila-Barja, J.; García-Fontgivell, J.F.; Martínez-González, S.; Segarra-Tomás, J.; Chacón, M.R. Liquid Biopsy-Based Exo-oncomiRNAs Can Predict Prostate Cancer Aggressiveness. Cancers 2021, 13, 250. [Google Scholar] [CrossRef]
- Pan, X.; Hong, X.; Li, S.; Meng, P.; Xiao, F. METTL3 promotes adriamycin resistance in MCF-7 breast cancer cells by accelerating pri-microRNA-221-3p maturation in a m6A-dependent manner. Exp. Mol. Med. 2021, 53, 1–12. [Google Scholar] [CrossRef]
- Wróblewska, J.P.; Lach, M.S.; Ustaszewski, A.; Kulcenty, K.; Ibbs, M.; Jagiełło, I.; Suchorska, W.M.; Marszałek, A. The Potential Role of Selected miRNA in Uveal Melanoma Primary Tumors as Early Biomarkers of Disease Progression. Genes 2020, 11, 271. [Google Scholar] [CrossRef]
- Lv, X.; Shen, J.; Guo, Z.; Kong, L.; Zhou, G.; Ning, H. Aberrant Expression of miR-592 Is Associated with Prognosis and Progression of Renal Cell Carcinoma. OncoTargets Ther. 2019, 12, 11231–11239. [Google Scholar] [CrossRef]
- Fischer, S.; Tahoun, M.; Klaan, B.; Thierfelder, K.M.; Weber, M.A.; Krause, B.J.; Hakenberg, O.; Fuellen, G.; Hamed, M. A radiogenomic approach for decoding molecular mechanisms underlying tumor pro-gression in prostate cancer. Cancers 2019, 11, 1293. [Google Scholar] [CrossRef]
- Li, Z.; Li, L.-X.; Diao, Y.-J.; Wang, J.; Ye, Y.; Hao, X.-K. Identification of Urinary Exosomal miRNAs for the Non-Invasive Diagnosis of Prostate Cancer. Cancer Manag. Res. 2021, 13, 25–35. [Google Scholar] [CrossRef]
- Ciszkowicz, E.; Porzycki, P.; Semik, M.; Kaznowska, E.; Tyrka, M. MiR-93/miR-375: Diagnostic Potential, Aggressiveness Corre-lation and Common Target Genes in Prostate Cancer. Int. J. Mol. Sci. 2020, 21, 5667. [Google Scholar] [CrossRef]
- Paiva, R.M.; Zauli, D.A.G.; Neto, B.S.; Brum, I.S. Urinary microRNAs expression in prostate cancer diagnosis: A systematic review. Clin. Transl. Oncol. 2020, 22, 2061–2073. [Google Scholar] [CrossRef]
- Konoshenko, M.Y.; Bryzgunova, O.E.; Lekchnov, E.A.; Amelina, E.V.; Yarmoschuk, S.V.; Pak, S.V.; Laktionov, P.P. The Influence of Radical Prostatectomy on the Expression of Cell-Free MiRNA. Diagnostics 2020, 10, 600. [Google Scholar] [CrossRef]
- Sharova, E.; Grassi, A.; Marcer, A.; Ruggero, K.; Pinto, F.; Bassi, P.; Zanovello, P.; Zattoni, F.; D’Agostino, D.M.; Iafrate, M.; et al. A circulating miRNA assay as a first-line test for prostate cancer screening. Br. J. Cancer 2016, 114, 1362–1366. [Google Scholar] [CrossRef]
- Fort, R.S.; Mathó, C.; Oliveira-Rizzo, C.; Garat, B.; Sotelo-Silveira, J.R.; Duhagon, M.A. An integrated view of the role of miR-130b/301b miRNA cluster in prostate cancer. Exp. Hematol. Oncol. 2018, 7, 1–14. [Google Scholar] [CrossRef]
- Chen, Q.; Zhao, X.; Zhang, H.; Yuan, H.; Zhu, M.; Sun, Q.; Lai, X.; Wang, Y.; Huang, J.; Yan, J.; et al. MiR-130b suppresses prostate cancer metastasis through down-regulation of MMP2. Mol. Carcinog. 2015, 54, 1292–1300. [Google Scholar] [CrossRef]
- Mu, H.Q.; He, Y.H.; Wang, S.B.; Yang, S.; Wang, Y.J.; Nan, C.J.; Bao, Y.F.; Xie, Q.P.; Chen, Y.H. MiR-130b/TNF-α/NF-κB/VEGFA loop inhibits prostate cancer angiogenesis. Clin. Transl. Oncol. 2020, 22, 111–121. [Google Scholar] [CrossRef]
- Ye, Y.; Yuan, X.; Wang, J.; Wang, Y.; Li, S. The diagnostic value of miRNA-141 in prostate cancer: A systematic review and PRISMA-compliant meta-analysis. Medicine 2020, 99, e19993. [Google Scholar] [CrossRef]
- Li, W.; Dong, Y.; Wang, K.J.; Deng, Z.; Zhang, W.; Shen, H.F. Plasma exosomal miR-125a-5p and miR-141-5p as non-invasive biomarkers for prostate cancer. Neoplasma 2021, 67, 1314–1318. [Google Scholar] [CrossRef]
- Jin, W.; Fei, X.; Wang, X.; Chen, F.; Song, Y. Circulating miRNAs as Biomarkers for Prostate Cancer Diagnosis in Subjects with Benign Prostatic Hyperplasia. J. Immunol. Res. 2020, 2020, 5873056. [Google Scholar] [CrossRef]
- Mamidi, T.K.K.; Wu, J.; Hicks, C. Elucidation of the Genomic-Epigenomic Interaction Landscape of Aggressive Prostate Cancer. BioMed. Res. Int. 2021, 2021, 6641429. [Google Scholar] [CrossRef]
- Del Re, M.; Conteduca, V.; Crucitta, S.; Gurioli, G.; Casadei, C.; Restante, G.; Schepisi, G.; Lolli, C.; Cucchiara, F.; Danesi, R.; et al. Androgen receptor gain in circulating free DNA and splicing variant 7 in exosomes predict clinical outcome in CRPC patients treated with abiraterone and enzalutamide. Prostate Cancer Prostatic Dis. 2021, 24, 524–531. [Google Scholar] [CrossRef] [PubMed]
- Lin, Y.; Miao, Z.; Zhang, X.; Wei, X.; Hou, J.; Huang, Y.; Shen, B. Identification of Key MicroRNAs and Mechanisms in Prostate Cancer Evolution Based on Biomarker Prioritization Model and Carcinogenic Survey. Front. Genet. 2021, 11, 1806. [Google Scholar] [CrossRef]
- The Cancer Genome Atlas Network. Comprehensive molecular portraits of human breast tumours. Nature 2012, 490, 61–70. [Google Scholar] [CrossRef]
- Chin, L.; Andersen, J.; Futreal, P.A. Cancer genomics: From discovery science to personalized medicine. Nat. Med. 2011, 17, 297–303. [Google Scholar] [CrossRef] [PubMed]
- Tomczak, K.; Czerwińska, P.; Wiznerowicz, M. Review The Cancer Genome Atlas (TCGA): An immeasurable source of knowledge. Współczesna Onkol. 2015, 19, 68–77. [Google Scholar] [CrossRef] [PubMed]
- Robinson, M.D.; McCarthy, D.J.; Smyth, G.K. edgeR: A Bioconductor package for differential expression analysis of digital gene expression data. Bioinformatics 2009, 26, 139–140. [Google Scholar] [CrossRef]
- McCarthy, D.J.; Chen, Y.; Smyth, G.K. Differential expression analysis of multifactor RNA-Seq experiments with respect to biological variation. Nucleic Acids Res. 2012, 40, 4288–4297. [Google Scholar] [CrossRef]
- Robinson, M.D.; Oshlack, A. A scaling normalization method for differential expression analysis of RNA-seq data. Genome Biol. 2010, 11, R25. [Google Scholar] [CrossRef]
- Benjamini, Y.; Hochberg, Y. Controlling the False Discovery Rate: A Practical and Powerful Approach to Multiple Testing. J. R. Stat. Soc. Ser. B 1995, 57, 289–300. [Google Scholar] [CrossRef]
- Jolliffe, I. Principal Component Analysis. In International Encyclopedia of Statistical Science; Lovric, M., Ed.; Springer: Berlin/Heidelberg, Germany, 2011. [Google Scholar]
- Andersen, C.L.; Jensen, J.L.; Ørntoft, T.F. Normalization of Real-Time Quantitative Reverse Transcription-PCR Data: A Model-Based Variance Estimation Approach to Identify Genes Suited for Normalization, Applied to Bladder and Colon Cancer Data Sets. Cancer Res. 2004, 64, 5245–5250. [Google Scholar] [CrossRef]
- Pfaffl, M.W.; Tichopad, A.; Prgomet, C.; Neuvians, T.P. Determination of stable housekeeping genes, differentially regulated target genes and sample integrity: BestKeeper–Excel-based tool using pair-wise correlations. Biotechnol. Lett. 2004, 26, 509–515. [Google Scholar] [CrossRef] [PubMed]
- Kunz, M.; Brandl, M.; Bhattacharya, A.; Nobereit-Siegel, L.; Ewe, A.; Weirauch, U.; Hering, D.; Reinert, A.; Kalwa, H.; Guzman, J.; et al. Nanoparticle-complexed antimiRs for inhibiting tumor growth and metastasis in prostate carcinoma and melanoma. J. Nanobiotechnol. 2020, 18, 1–17. [Google Scholar] [CrossRef] [PubMed]
- Nan, C.; Wang, Y.; Yang, S.; Chen, Y. circCRKL suppresses the progression of prostate cancer cells by regulating the miR-141/KLF5 axis. Pathol. Res. Pract. 2020, 216, 153182. [Google Scholar] [CrossRef] [PubMed]
- Bhagirath, D.; Liston, M.; Patel, N.; Akoto, T.; Lui, B.; Yang, T.L.; To, D.M.; Majid, S.; Dahiya, R.; Tabatabai, Z.L.; et al. MicroRNA determinants of neuroendocrine differentiation in metastatic castra-tion-resistant prostate cancer. Oncogene 2020, 39, 7209–7223. [Google Scholar] [CrossRef]
- Krämer, A.; Green, J.; Pollard, J., Jr.; Tugendreich, S. Causal analysis approaches in Ingenuity Pathway Analysis. Bioinformatics 2014, 30, 523–530. [Google Scholar] [CrossRef]
- Jensen, L.J.; Kuhn, M.; Stark, M.; Chaffron, S.; Creevey, C.; Muller, J.; Doerks, T.; Julien, P.; Roth, A.; Simonovic, M.; et al. STRING 8—A global view on proteins and their functional interactions in 630 organisms. Nucleic Acids Res. 2008, 37, D412–D416. [Google Scholar] [CrossRef]
- Huang, D.W.; Sherman, B.T.; Tan, Q.; Kir, J.; Liu, D.; Bryant, D.; Guo, Y.; Stephens, R.; Baseler, M.W.; Lane, H.C.; et al. DAVID Bioinformatics Resources: Expanded annotation database and novel algorithms to better extract biology from large gene lists. Nucleic Acids Res. 2007, 35, W169–W175. [Google Scholar] [CrossRef]
- Barceló, M.; Castells, M.; Bassas, L.; Vigués, F.; Larriba, S. Semen miRNAs Contained in Exosomes as Non-Invasive Biomarkers for Prostate Cancer Diagnosis. Sci. Rep. 2019, 9, 1–16. [Google Scholar] [CrossRef]
- Hoey, C.; Ahmed, M.; Ghiam, A.F.; Vesprini, D.; Huang, X.; Commisso, K.; Ray, J.; Fokas, E.; Loblaw, D.A.; He, H.H.; et al. Circulating miRNAs as non-invasive biomarkers to predict aggressive prostate cancer after radical prostatectomy. J. Transl. Med. 2019, 17, 173. [Google Scholar] [CrossRef]
- Rodríguez, M.; Bajo-Santos, C.; Hessvik, N.P.; Lorenz, S.; Fromm, B.; Berge, V.; Sandvig, K.; Linē, A.; Llorente, A. Identification of non-invasive miRNAs biomarkers for prostate cancer by deep sequencing analysis of urinary exosomes. Mol. Cancer 2017, 16, 1–6. [Google Scholar] [CrossRef]
- De Robertis, M.; Poeta, M.L.; Signori, E.; Fazio, V.M. Current understanding and clinical utility of miRNAs regulation of colon cancer stem cells. In Seminars in Cancer Biology; Elsevier: Amsterdam, The Netherlands, 2018. [Google Scholar]
- Mjaess, G.; Chebel, R.; Karam, A.; Moussa, I.; Pretot, D.; Tayeh, G.A.; Sarkis, J.; Semaan, A.; Peltier, A.; Aoun, F.; et al. Prognostic role of neutrophil-to-lymphocyte ratio (NLR) in urological tumors: An umbrella review of evidence from systematic reviews and meta-analyses. Acta Oncol. 2021, 1–10. [Google Scholar] [CrossRef]
- Wang, R.; Wu, Y.; Yu, J.; Yang, G.; Yi, H.; Xu, B. Plasma Messenger RNAs Identified Through Bioinformatics Analysis are Novel, Non-Invasive Prostate Cancer Biomarkers. OncoTargets Ther. 2020, 13, 541–548. [Google Scholar] [CrossRef]
- Guo, J.; Liu, D.; Zhang, X.; Johnson, H.; Feng, X.; Zhang, H.; Wu, A.H.B.; Chen, L.; Fang, J.; Xiao, Z.; et al. Establishing a Urine-Based Biomarker Assay for Prostate Cancer Risk Stratification. Front. Cell Dev. Biol. 2020, 8, 1448. [Google Scholar] [CrossRef]
- Liu, H.-P.; Lai, H.-M.; Guo, Z. Prostate cancer early diagnosis: Circulating microRNA pairs potentially beyond single microRNAs upon 1231 serum samples. Briefings Bioinform. 2021, 22, 1–10. [Google Scholar] [CrossRef]
- Hou, J.; Li, X.; Xie, K. Coupled liquid biopsy and bioinformatics for pancreatic cancer early detection and precision prog-nostication. Mol. Cancer 2021, 20, 1–12. [Google Scholar] [CrossRef] [PubMed]
- Labgaa, I.; Villanueva, A.; Dormond, O.; Demartines, N.; Melloul, E. The Role of Liquid Biopsy in Hepatocellular Carcinoma Prognostication. Cancers 2021, 13, 659. [Google Scholar] [CrossRef]
- Zedan, A.H.; Osther, P.J.S.; Assenholt, J.; Madsen, J.S.; Hansen, T.F. Circulating miR-141 and miR-375 are associated with treatment outcome in metastatic castration resistant prostate cancer. Sci. Rep. 2020, 10, 1–9. [Google Scholar] [CrossRef] [PubMed]
- Richardsen, E.; Andersen, S.; Melbø-Jørgensen, C.; Rakaee, M.; Ness, N.; Al-Saad, S.; Nordby, Y.; Pedersen, M.I.; Dønnem, T.; Bremnes, R.M.; et al. MicroRNA 141 is associated to outcome and aggressive tumor charac-teristics in prostate cancer. Sci. Rep. 2019, 9, 1–9. [Google Scholar] [CrossRef] [PubMed]
- Ambrozkiewicz, F.; Karczmarski, J.; Kulecka, M.; Paziewska, A.; Cybulska, M.; Szymanski, M.; Dobruch, J.; Antoniewicz, A.; Mikula, M.; Ostrowski, J. Challenges in cancer biomarker discovery exemplified by the Identifi-cation of diagnostic microRNAs in prostate tissues. BioMed Res. Int. 2020, 5, 9086829. [Google Scholar] [CrossRef]
- Dai, Y.; Ren, D.; Yang, Q.; Cui, Y.; Guo, W.; Lai, Y.; Du, H.; Lin, C.; Libing, S.; Song, L.; et al. The TGF-β signalling negative regulator PICK1 represses prostate cancer metastasis to bone. Br. J. Cancer 2017, 117, 685–694. [Google Scholar] [CrossRef]
- Pudova, E.A.; Krasnov, G.S.; Nyushko, K.M.; Kobelyatskaya, A.A.; Savvateeva, M.V.; Poloznikov, A.A.; Dolotkazin, D.R.; Klimina, K.M.; Guvatova, Z.G.; Simanovsky, S.A.; et al. miRNAs expression signature potentially associated with lymphatic dissemi-nation in locally advanced prostate cancer. BMC Med Genom. 2020, 13, 1–13. [Google Scholar] [CrossRef]
- Krebs, M.; Solimando, A.G.; Kalogirou, C.; Marquardt, A.; Frank, T.; Sokolakis, I.; Hatzichristodoulou, G.; Kneitz, S.; Bargou, R.; Kübler, H.; et al. miR-221-3p Regulates VEGFR2 Expression in High-Risk Prostate Cancer and Represents an Escape Mechanism from Sunitinib In Vitro. J. Clin. Med. 2020, 9, 670. [Google Scholar] [CrossRef] [PubMed]
- Valera, V.A.; Parra-Medina, R.; Walter, B.A.; Pinto, P.; Merino, M.J. microRNA Expression Profiling in Young Prostate Cancer Patients. J. Cancer 2020, 11, 4106–4114. [Google Scholar] [CrossRef] [PubMed]
- Lu, M.; Ding, N.; Zhuang, S.; Li, Y. LINC01410/miR-23c/CHD7 functions as a ceRNA network to affect the prognosis of patients with endometrial cancer and strengthen the malignant properties of endometrial cancer cells. Mol. Cell Biochem. 2020, 469, 9–19. [Google Scholar] [CrossRef]
- Zhang, K.; Cai, Y.; Zhou, Q.; Sun, H.; Wei, J. Long Non-Coding RNA SNHG14 Impedes Viability, Migration and Invasion of Endometrial Carcinoma Cells Through Modulating miR-93-5p/ZBTB7A Axis. Cancer Manag. Res. 2020, 12, 9515–9525. [Google Scholar] [CrossRef] [PubMed]
- Jiang, Y.; Hou, J.; Zhang, X.; Xu, G.; Wang, Y.; Shen, L.; Wu, Y.; Li, Y.; Yao, L. Circ-XPO1 upregulates XPO1 expression by sponging multiple miRNAs to facilitate osteo-sarcoma cell progression. Exp. Mol. Pathol. 2020, 117, 104553. [Google Scholar] [CrossRef]
- Zhang, L.; Wang, L.; Wang, Y.; Chen, T.; Liu, R.; Yang, W.; Liu, Q.; Tu, K. LncRNA KTN1-AS1 promotes tumor growth of hepatocellular carcinoma by targeting miR-23c/ERBB2IP axis. Biomed. Pharmacother. 2019, 109, 1140–1147. [Google Scholar] [CrossRef]
- Kalogirou, C.; Ellinger, J.; Kristiansen, G.; Hatzichristodoulou, G.; Kübler, H.; Kneitz, B.; Busch, J.; Fendler, A. Identification of miR-21-5p and miR-210-3p serum levels as biomarkers for patients with papillary renal cell carcinoma: A multicenter analysis. Transl. Androl. Urol. 2020, 9, 1314–1322. [Google Scholar] [CrossRef]
- Pan, Z.; Miao, L. Serum microRNA-592 serves as a novel potential biomarker for early diagnosis of colorectal cancer. Oncol. Lett. 2020, 20, 1119–1126. [Google Scholar] [CrossRef]
- Liu, W.; Liang, F.; Yang, G.; Xian, L. LncRNA LINC01116 sponges miR-93-5p to promote cell invasion and migration in small cell lung cancer. BMC Pulm. Med. 2021, 21, 1–6. [Google Scholar] [CrossRef]
- Du, Y.; Wei, N.; Ma, R.; Jiang, S.; Song, D. A miR-210-3p regulon that controls the Warburg effect by modulating HIF-1α and p53 activity in triple-negative breast cancer. Cell Death Dis. 2020, 11, 1–12. [Google Scholar] [CrossRef] [PubMed]
- Gao, J.; Wei, J.; Wang, Y.; Li, Z.; Ma, L.; Meng, X.; Wang, Z. A versatile magnetic bead-based flow cytometric assay for the detection of thyroid cancer related hsa-miR-221-3p in blood and tissues. Analyst 2021, 146, 842–847. [Google Scholar] [CrossRef]
- Barceló, M.; Castells, M.; Pérez-Riba, M.; Bassas, L.; Vigués, F.; Larriba, S. Seminal plasma microRNAs improve diagnosis/prognosis of prostate cancer in men with moderately altered prostate-specific antigen. Am. J. Transl. Res. 2020, 12, 2041–2051. [Google Scholar]
- Lee, S.-C.; Min, H.-Y.; Jung, H.J.; Park, K.H.; Hyun, S.Y.; Cho, J.; Woo, J.K.; Kwon, S.J.; Lee, H.-J.; Johnson, F.M. Essential role of insulin-like growth factor 2 in resistance to histone deacetylase inhibitors. Oncogene 2016, 35, 5515–5526. [Google Scholar] [CrossRef]
- Zhang, X.; Wang, D.; Liu, B.; Jin, X.; Wang, X.; Pan, J.; Tu, W.; Shao, Y. IMP3 accelerates the progression of prostate cancer through inhibiting PTEN expression in a SMURF1-dependent way. J. Exp. Clin. Cancer Res. 2020, 39, 1–12. [Google Scholar] [CrossRef]
- Yang, Y.; Jia, B.; Zhao, X.; Wang, Y.; Ye, W. miR-93-5p may be an important oncogene in prostate cancer by bioinformatics analysis. J. Cell. Biochem. 2019, 120, 10463–10483. [Google Scholar] [CrossRef]
- Shi, X.; Liu, T.-T.; Yu, X.-N.; Balakrishnan, A.; Zhu, H.-R.; Guo, H.-Y.; Zhang, G.-C.; Bilegsaikhan, E.; Sun, J.-L.; Song, G.-Q.; et al. microRNA-93-5p promotes hepatocellular carcinoma progression via a microRNA-93-5p/MAP3K2/c-Jun positive feedback circuit. Oncogene 2020, 39, 1–14. [Google Scholar] [CrossRef]
- Shen, E.; Wang, X.; Liu, X.; Lv, M.; Zhang, L.; Zhu, G.; Sun, Z. MicroRNA-93-5p promotes epithelial-mesenchymal transition in gastric cancer by repressing tumor suppressor AHNAK expression. Cancer Cell Int. 2020, 20, 76. [Google Scholar] [CrossRef] [PubMed]
- Wang, C.; Tian, S.; Zhang, D.; Deng, J.; Cai, H.; Shi, C.; Yang, W. Increased expression of microRNA-93 correlates with progression and prognosis of prostate cancer. Medicine 2020, 99, e18432. [Google Scholar] [CrossRef] [PubMed]
- Stelzer, G.; Rosen, N.; Plaschkes, I.; Zimmerman, S.; Twik, M.; Fishilevich, S.; Stein, T.I.; Nudel, R.; Lieder, I.; Mazor, Y.; et al. The GeneCards Suite: From Gene Data Mining to Disease Genome Sequence Analyses. Curr. Protoc. Bioinform. 2016, 54, 1.30.1–1.30.33. [Google Scholar] [CrossRef] [PubMed]
- Tuncay, S.; Banerjee, S. MAPK1 (mitogen-activated protein kinase 1). Atlas Genet. Cytogenet. Oncol. Haematol. 2010, 14, 986–989. [Google Scholar] [CrossRef]





| Variables | Patients |
|---|---|
| Age average | 69.11 |
| Total Age range | 48–88 |
| PSA (prostate specific antigen) debut (ng/mL) | |
| > 4 ≤ 10 | 72 (55.0%) |
| > 10 ≤ 20 | 24 (18.3%) |
| >20 | 35 (26.7%) |
| Gleason Score | |
| ≤7 | 110 (84%) |
| >7 | 21 (16%) |
| T Stage | |
| T1–T2 | 119 (91.54%) |
| T3–T4 | 11 (8.46%) |
| Missing | 1 |
| D’Amico risk | |
| Low | 46 (35.38%) |
| Medium | 43 (33.08%) |
| High | 41 (31.54%) |
| Missing | 1 |
| Follow-up (months) | |
| Mean | 32.17 |
| Follow-up range | 0–54 |
| Missing | 8 |
| miRNA | logFC | F | p Value | FDR |
|---|---|---|---|---|
| miR-592 | 2.0006 | 150.59191 | 1.14192 × 10−30 | 6.06360 × 10−28 |
| miR-508-3p | −3.41187 | 135.34909 | 4.85900 × 10−28 | 1.29006 × 10−25 |
| miR-210-3p | 1.45741 | 109.56902 | 1.89422 × 10−23 | 3.35277 × 10−21 |
| miR-514a-3p | −2.66782 | 103.89153 | 2.06217 × 10−22 | 2.73753 × 10−20 |
| miR-509-3p | −2.73042 | 98.307609 | 2.20640 × 10−21 | 1.95267 × 10−19 |
| miR-708-5p | 0.72937 | 86.798789 | 3.13431 × 10−19 | 2.37759 × 10−17 |
| miR-425-5p | 0.58884 | 71.284172 | 2.93140 × 10−16 | 1.94571 × 10−14 |
| miR-133b | −0.92370 | 60.11197 | 4.56314 × 10−14 | 1.86386 × 10−12 |
| miR-133a-3p | −0.75474 | 55.654882 | 3.52380 × 10−13 | 1.24742 × 10−11 |
| miR-217 | 0.79852 | 54.514827 | 5.96134 × 10−13 | 1.97842 × 10−11 |
| miR-137 | 1.78649 | 51.939089 | 1.964050 × 10−12 | 5.79394 × 10−11 |
| miR-653-5p | 0.61648 | 50.472116 | 3.884013 × 10−12 | 1.08547 × 10−10 |
| miR-221-5p | −1.00961 | 46.700419 | 2.263673 × 10−11 | 5.46368 × 10−10 |
| miR-7641 | −1.33368 | 44.875201 | 5.339282 × 10−11 | 1.23267 × 10−9 |
| miR-1-3p | −0.59135 | 43.944679 | 8.280247 × 10−11 | 1.75872 × 10−9 |
| miR-6715b-3p | −1.23979 | 40.649659 | 3.944519 × 10−10 | 7.48050× 10−9 |
| miR-301a-5p | 0.64561 | 40.571194 | 4.094489 × 10−10 | 7.49715 × 10−9 |
| miR-129-5p | 0.92748 | 38.07787 | 1.344876 × 10−9 | 2.23165 × 10−8 |
| miR-4449 | −1.28009 | 36.42357 | 2.971930 × 10−9 | 4.64145 × 10−8 |
| miR-216a-5p | 0.82891 | 35.55502 | 4.512166 × 10−9 | 6.84560 × 10−8 |
| miR-5680 | 0.76444 | 34.34927 | 8.068259 × 10−9 | 1.19006 × 10−7 |
| miR-449a | 1.20256 | 29.54196 | 8.334028 × 10−8 | 1.02915 × 10−6 |
| miR-23c | −0.90493 | 28.19839 | 1.609267 × 10−7 | 1.81812 × 10−6 |
| miR-1298-5p | 1.10526 | 27.73253 | 2.022880 × 10−7 | 2.23781 × 10−6 |
| miR-378d | −0.61904 | 25.98869 | 4.775705 × 10−7 | 4.69611 × 10−6 |
Publisher’s Note: MDPI stays neutral with regard to jurisdictional claims in published maps and institutional affiliations. |
© 2021 by the authors. Licensee MDPI, Basel, Switzerland. This article is an open access article distributed under the terms and conditions of the Creative Commons Attribution (CC BY) license (https://creativecommons.org/licenses/by/4.0/).
Share and Cite
Martínez-González, L.J.; Sánchez-Conde, V.; González-Cabezuelo, J.M.; Antunez-Rodríguez, A.; Andrés-León, E.; Robles-Fernandez, I.; Lorente, J.A.; Vázquez-Alonso, F.; Alvarez-Cubero, M.J. Identification of MicroRNAs as Viable Aggressiveness Biomarkers for Prostate Cancer. Biomedicines 2021, 9, 646. https://doi.org/10.3390/biomedicines9060646
Martínez-González LJ, Sánchez-Conde V, González-Cabezuelo JM, Antunez-Rodríguez A, Andrés-León E, Robles-Fernandez I, Lorente JA, Vázquez-Alonso F, Alvarez-Cubero MJ. Identification of MicroRNAs as Viable Aggressiveness Biomarkers for Prostate Cancer. Biomedicines. 2021; 9(6):646. https://doi.org/10.3390/biomedicines9060646
Chicago/Turabian StyleMartínez-González, Luis Javier, Victor Sánchez-Conde, Jose María González-Cabezuelo, Alba Antunez-Rodríguez, Eduardo Andrés-León, Inmaculada Robles-Fernandez, Jose Antonio Lorente, Fernando Vázquez-Alonso, and María Jesus Alvarez-Cubero. 2021. "Identification of MicroRNAs as Viable Aggressiveness Biomarkers for Prostate Cancer" Biomedicines 9, no. 6: 646. https://doi.org/10.3390/biomedicines9060646
APA StyleMartínez-González, L. J., Sánchez-Conde, V., González-Cabezuelo, J. M., Antunez-Rodríguez, A., Andrés-León, E., Robles-Fernandez, I., Lorente, J. A., Vázquez-Alonso, F., & Alvarez-Cubero, M. J. (2021). Identification of MicroRNAs as Viable Aggressiveness Biomarkers for Prostate Cancer. Biomedicines, 9(6), 646. https://doi.org/10.3390/biomedicines9060646

