N-Alkylation of Anthracycline Antibiotics by Natural Sesquiterpene Lactones as a Way to Obtain Antitumor Agents with Reduced Side Effects
Abstract
1. Introduction
2. Materials and Methods
2.1. Chemistry
2.2. Preparation of Daunorubicin and Doxorubicin Conjugates
2.3. General Procedure for the Preparation of Doxorubicin Conjugates
2.4. Preparation of Daunorubicin as a Base
2.5. General Procedure for the Preparation of Daunorubicin Conjugates
2.6. Cell Lines and Cultivation
2.7. Determination of Cell Viability
2.8. Animals
2.9. Rat Brain Homogenate and Heart Mitochondria
2.10. Lipid Peroxidation
2.11. Mitochondrial Swelling
2.12. Mitochondrial Membrane Potential
2.13. The Work of Mitochondrial Respiratory Chain Complexes
2.14. Parameters of the Glycolytic Function of the Tumor Cells HeLa
3. Results & Discussion
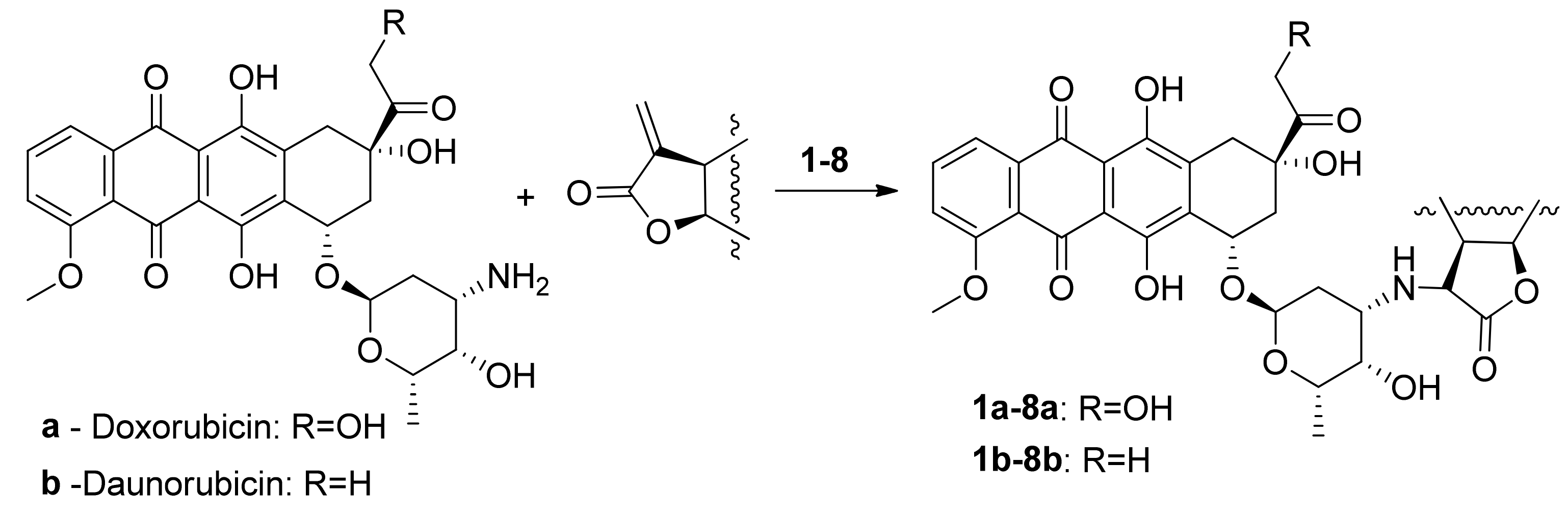
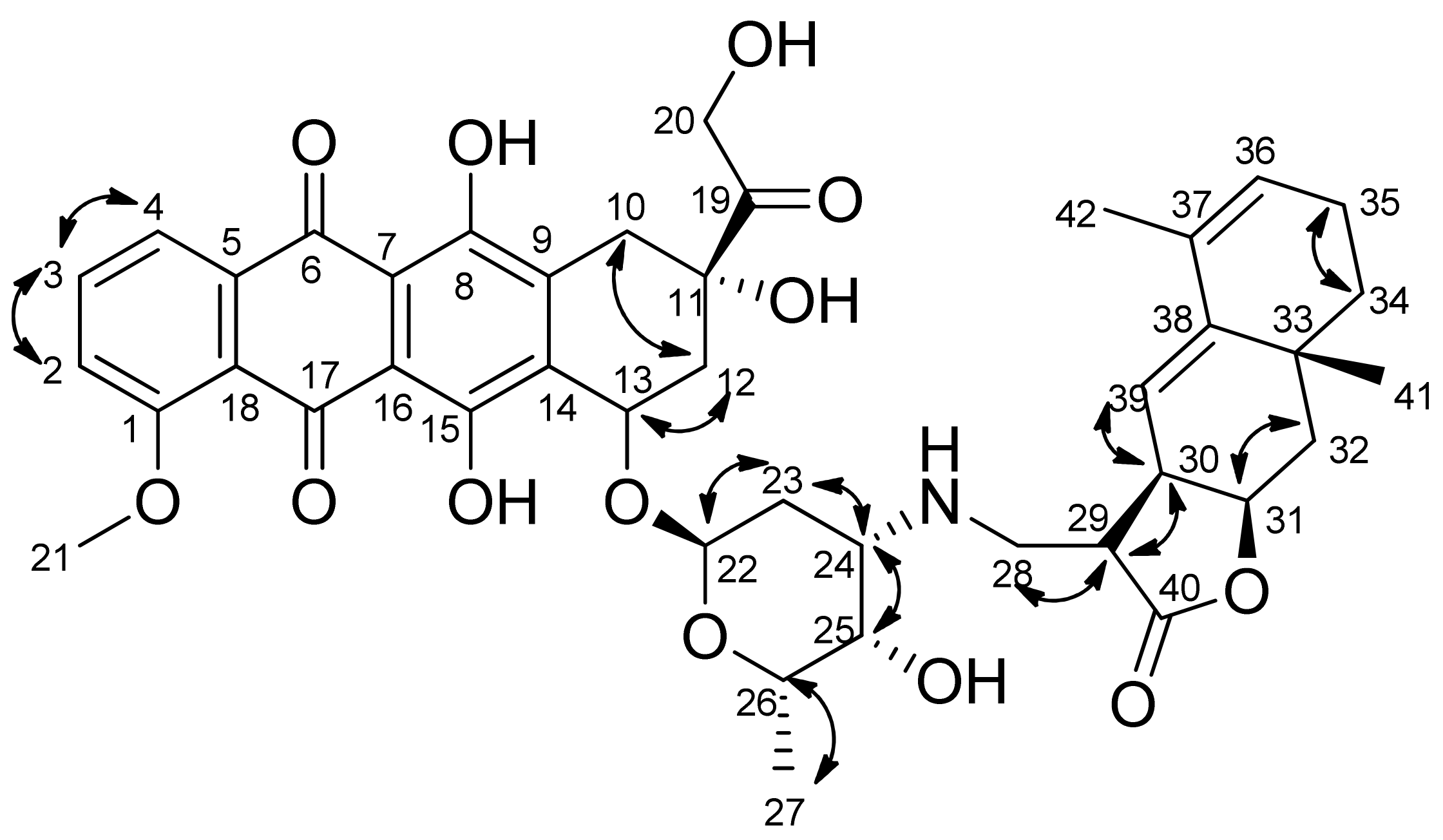
3.1. Chemical Synthesis
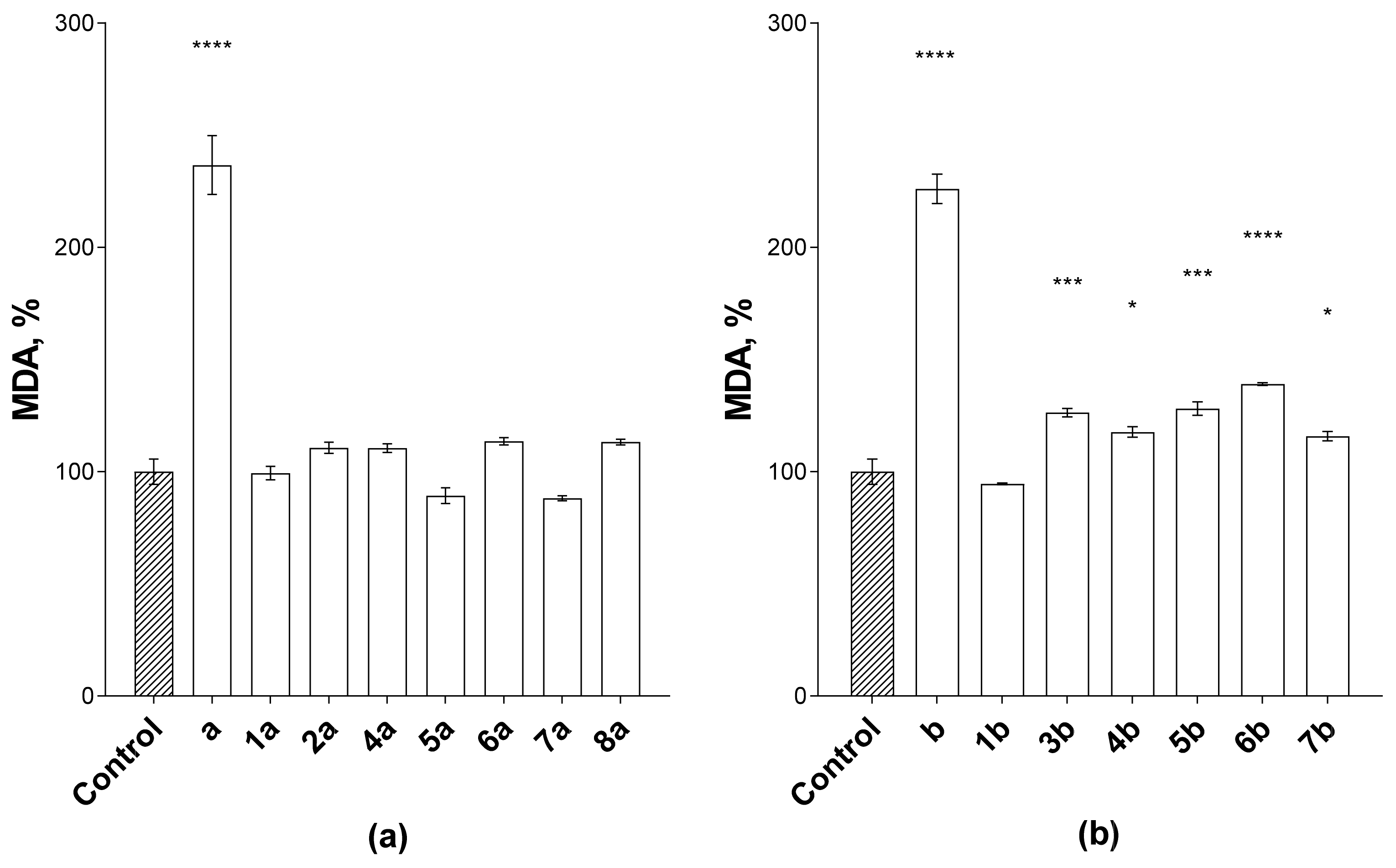
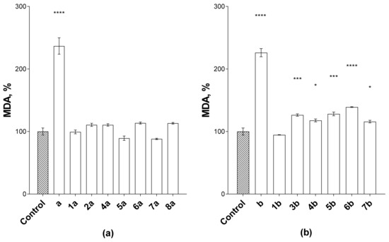
3.2. The Study of Biological Activity
Supplementary Materials
Author Contributions
Funding
Institutional Review Board Statement
Informed Consent Statement
Data Availability Statement
Acknowledgments
Conflicts of Interest
References
- Minotti, G.; Menna, P.; Salvatorelli, E.; Cairo, G.; Gianni, L. Anthracyclines: Molecular advances and pharmacologic developments in antitumor activity and cardiotoxicity. Pharmacol. Rev. 2004, 56, 185–229. [Google Scholar] [CrossRef] [PubMed]
- Semeraro, G.C.; Lamantia, G.; Cipolla, C.M.; Cardinale, D. How to identify anthracycline-induced cardiotoxicity early and reduce its clinical impact in everyday practice. Kardiol. Pol. 2021, 79, 114–122. [Google Scholar] [PubMed]
- Khasraw, M.; Bell, R.; Dang, C. Epirubicin: Is it like doxorubicin in breast cancer? A clinical review. Breast 2012, 21, 142–149. [Google Scholar] [CrossRef] [PubMed]
- Binaschi, M.; Bigioni, M.; Cipollone, A.; Rossi, C.; Goso, C.; Maggi, C.A.; Capranico, G.; Animati, F. Anthracyclines: Selected new developments. Curr. Med. Chem. Anticancer Agents 2001, 1, 113–130. [Google Scholar] [CrossRef]
- Menna, P.; Minotti, G.; Salvatorelli, E. In vitro modeling of the structure-activity determinants of anthracycline cardiotoxicity. Cell Biol. Toxicol. 2007, 23, 49–62. [Google Scholar] [CrossRef]
- Perego, P.; Corna, E.; De Cesare, M.; Gatti, L.; Polizzi, D.; Pratesi, G.; Supino, R.; Zunino, F. Role of apoptosis and apoptosis-related genes in cellular response and antitumor efficacy of anthracyclines. Curr. Med. Chem. 2001, 8, 31–37. [Google Scholar] [CrossRef]
- Myers, C. The role of iron in doxorubicin-induced cardiomyopathy. Semin. Oncol. 1998, 25 (Suppl. S10), 10–14. [Google Scholar]
- Xiong, Y.; Liu, X.; Lee, C.P.; Chua, B.H.; Ho, Y.S. Attenuation of doxorubicin-induced contractile and mitochondrial dysfunction in mouse heart by cellular glutathione peroxidase. Free Radic. Biol. Med. 2006, 41, 46–55. [Google Scholar] [CrossRef]
- Yen, H.C.; Oberley, T.D.; Gairola, C.G.; Szweda, L.I.; St Clair, D.K. Manganese superoxide dismutase protects mitochondrial complex I against adriamycin-induced cardiomyopathy in transgenic mice. Arch. Biochem. Biophys. 1999, 362, 59–66. [Google Scholar] [CrossRef]
- Montaigne, D.; Hurt, C.; Neviere, R. Mitochondria death/survival signaling pathways in cardiotoxicity induced by anthracyclines and anticancer-targeted therapies. Biochem. Res. Int. 2012, 2012, 951539. [Google Scholar] [CrossRef]
- Capeloa, T.; Benyahia, Z.; Zampieri, L.X.; Blackman, M.; Sonveaux, P. Metabolic and non-metabolic pathways that control cancer resistance to anthracyclines. Semin. Cell Dev. Biol. 2020, 98, 181–191. [Google Scholar] [CrossRef]
- Sterba, M.; Popelova, O.; Vavrova, A.; Jirkovsky, E.; Kovarikova, P.; Gersl, V.; Simunek, T. Oxidative stress, redox signaling, and metal chelation in anthracycline cardiotoxicity and pharmacological cardioprotection. Antioxid. Redox Signal. 2013, 18, 899–929. [Google Scholar] [CrossRef]
- Gorini, S.; De Angelis, A.; Berrino, L.; Malara, N.; Rosano, G.; Ferraro, E. Chemotherapeutic Drugs and Mitochondrial Dysfunction: Focus on Doxorubicin, Trastuzumab, and Sunitinib. Oxid. Med. Cell Longev. 2018, 2018, 7582730. [Google Scholar] [CrossRef]
- Itoh, T.; Ohguchi, K.; Nozawa, Y.; Akao, Y. Intracellular glutathione regulates sesquiterpene lactone-induced conversion of autophagy to apoptosis in human leukemia HL60 cells. Anticancer Res. 2009, 29, 1449–1457. [Google Scholar]
- Scarponi, C.; Butturini, E.; Sestito, R.; Madonna, S.; Cavani, A.; Mariotto, S.; Albanesi, C. Inhibition of inflammatory and proliferative responses of human keratinocytes exposed to the sesquiterpene lactones dehydrocostuslactone and costunolide. PLoS ONE 2014, 9, e107904. [Google Scholar]
- Neganova, M.E.; Afanas’eva, S.V.; Klochkov, S.G.; Shevtsova, E.F. Mechanisms of antioxidant effect of natural sesquiterpene lactone and alkaloid derivatives. Bull. Exp. Biol. Med. 2012, 152, 720–722. [Google Scholar] [CrossRef]
- Carlisi, D.; Buttitta, G.; Di Fiore, R.; Scerri, C.; Drago-Ferrante, R.; Vento, R.; Tesoriere, G. Parthenolide and DMAPT exert cytotoxic effects on breast cancer stem-like cells by inducing oxidative stress, mitochondrial dysfunction and necrosis. Cell Death Dis. 2016, 7, e2194. [Google Scholar] [CrossRef]
- Gaspar, A.R.; Potgieter, D.J.; Vermeulen, N.M. The effect of the sesquiterpene lactones from Geigeria on glycolytic enzymes. Biochem. Pharmacol. 1986, 35, 493–497. [Google Scholar]
- Klochkov, S.G.; Neganova, M.E.; Pukhov, S.A.; Afanas’eva, S.V.; Aleksandrova, Y.R.; Yandulova, E.Y. New Arteannuin B derivatives and their cytotoxic activity. Chem. Nat. Compd. 2020, 56, 445–451. [Google Scholar] [CrossRef]
- Semakov, A.V.; Anikina, L.V.; Pukhov, S.A.; Afanasieva, S.V.; Klochkov, S.G. Conjugates of alantolactone with anthracycline antibiotics. Chem. Nat. Compd. 2016, 52, 695–696. [Google Scholar] [CrossRef]
- Anikina, L.V.; Semakov, A.V.; Afanas’eva, S.V.; Pukhov, S.A.; Klochkov, S.G. Synthesis and antiproliferative activity of Daunorubicin conjugates with sesquiterpene lactones. Pharm. Chem. J. 2018, 52, 308–311. [Google Scholar] [CrossRef]
- Semakov, A.V.; Anikina, L.V.; Afanasyeva, S.V.; Pukhov, S.A.; Klochkov, S.G. Synthesis and antiproliferative activity of conjugates of anthracycline antibiotics with sesquiterpene lactones of the elecampane. Russ. J. Bioorg. Chem. 2018, 44, 538–546. [Google Scholar] [CrossRef]
- Klochkov, S.G.; Afanasyeva, S.V.; Pushin, A.N. Acidic isomerization of alantolactone derivatives. Chem. Nat. Compd. 2006, 42, 400–406. [Google Scholar] [CrossRef]
- Prabst, K.; Engelhardt, H.; Ringgeler, S.; Hubner, H. Basic Colorimetric Proliferation Assays: MTT, WST, and Resazurin. Methods Mol. Biol. 2017, 1601, 1–17. [Google Scholar]
- Gornall, A.G.; Bardawill, C.J.; David, M.M. Determination of serum proteins by means of the biuret reaction. J. Biol. Chem. 1949, 177, 751–766. [Google Scholar] [CrossRef]
- Klochkov, S.G.; Neganova, M.E.; Afanas’eva, S.V.; Shevtsova, E.F. Synthesis and antioxidant activity of securinine derivatives. Pharm. Chem. J. 2014, 48, 15–17. [Google Scholar] [CrossRef]
- Akerman, K.E.; Wikstrom, M.K. Safranine as a probe of the mitochondrial membrane potential. FEBS Lett. 1976, 68, 191–197. [Google Scholar] [CrossRef]
- Zhang, J.; Zhang, Q. Using Seahorse Machine to Measure OCR and ECAR in Cancer Cells. Methods Mol. Biol. 2019, 1928, 353–363. [Google Scholar] [PubMed]
- Zhu, L.; Lu, Z.; Song, Y.Y. Advances in the Association between Apolipoprotein (a) Gene Polymorphisms and Coronary Heart Disease. Zhongguo Yi Xue Ke Xue Yuan Xue Bao 2015, 37, 482–488. [Google Scholar] [PubMed]
- Chio, I.I.C.; Tuveson, D.A. ROS in Cancer: The Burning Question. Trends Mol. Med. 2017, 23, 411–429. [Google Scholar] [CrossRef] [PubMed]
- Moloney, J.N.; Cotter, T.G. ROS signalling in the biology of cancer. Semin. Cell Dev. Biol. 2018, 80, 50–64. [Google Scholar] [CrossRef]
- Annesley, S.J.; Fisher, P.R. Mitochondria in Health and Disease. Cells 2019, 8, 890. [Google Scholar] [CrossRef]
- Warburg, O. On respiratory impairment in cancer cells. Science 1956, 124, 269–270. [Google Scholar]
- Bonner, M.Y.; Arbiser, J.L. The antioxidant paradox: What are antioxidants and how should they be used in a therapeutic context for cancer. Future Med. Chem. 2014, 6, 1413–1422. [Google Scholar] [CrossRef]








| Compound | IC50, µM | ||||
|---|---|---|---|---|---|
| A549 | HCT116 | MCF7 | RD | HEK293 | |
| 1 | 32.04 ± 3.24 | 11.31 ± 0.27 | 17.51 ± 0.60 | 10.37 ± 0.79 | 74.03 ± 0.51 |
| 2 | 36.73 ± 1.43 | 10.57 ± 0.04 | 13.15 ± 0.93 | 5.48 ± 0.20 | 36.47 ± 0.07 |
| 3 | 23.12 ± 1.18 | 34.52 ± 3.51 | 17.92 ± 0.68 | 8.82 ± 0.14 | 35.87 ± 0.48 |
| 4 | 83.51 ± 0.26 | 21.40 ± 0.32 | 31.87 ± 0.14 | 18.60 ± 0.21 | 105.68 ± 4.13 |
| 5 | 21.49 ± 0.75 | 5.12 ± 0.05 | 11.41 ± 0.32 | 4.81 ± 0.12 | 38.10 ± 1.08 |
| 6 | 50.28 ± 1.11 | 9.75 ± 0.57 | 24.03 ± 0.80 | 8.77 ± 0.01 | 18.47 ± 0.20 |
| 6 | 61.71 ± 2.40 | 10.80 ± 0.18 | 38.55 ± 0.86 | 16.78 ± 0.28 | 29.77 ± 0.05 |
| 8 | 59.86 ± 2.26 | 4.99 ± 0.06 | 4.31 ± 0.02 | 4.94 ± 0.09 | 9.07 ± 0.25 |
| a | 0.38 ± 0.02 | 0.14 ± 0.01 | 0.46 ± 0.03 | 0.29 ± 0.02 | 6.78 ± 0.76 |
| 1a | 2.21 ± 0.06 | 2.81 ± 0.05 | 11.11 ± 0.17 | 2.41 ± 0.03 | 19.82 ± 0.42 |
| 2a | 3.29 ± 0.11 | 4.55 ± 0.03 | 26.76 ± 0.65 | 2.67 ± 0.11 | 29.83 ± 0.18 |
| 4a | 1.86 ± 0.12 | 1.07 ± 0.01 | 5.65 ± 0.22 | 2.76 ± 0.02 | 11.73 ± 0.10 |
| 5a | 4.52 ± 0.57 | 2.52 ± 0.02 | 3.03 ± 0.07 | 2.47 ± 0.07 | 4.50 ± 0.32 |
| 6a | 0.88 ± 0.11 | 0.25 ± 0.04 | 2.94 ± 0.02 | 1.18 ± 0.01 | 0.98 ± 0.23 |
| 7a | 5.43 ± 0.16 | 0.92 ± 0.00 | 6.03 ± 0.11 | 4.22 ± 0.10 | 10.49 ± 0.88 |
| 8a | 1.87 ± 0.07 | 0.43 ± 0.02 | 2.34 ± 0.01 | 1.03 ± 0.02 | 16.42 ± 1.07 |
| b | 0.33 ± 0.01 | 0.12 ± 0.00 | 0.84 ± 0.17 | 0.63 ± 0.03 | 12.31 ± 1.17 |
| 1b | 0.93 ± 0.06 | 0.28 ± 0.00 | 3.95 ± 0.03 | 0.96 ± 0.02 | 3.43 ± 0.04 |
| 3b | 1.42 ± 0.05 | 1.01 ± 0.01 | 1.24 ± 0.23 | 0.59 ± 0.05 | 6.37 ± 0.24 |
| 4b | 0.27 ± 0.01 | 0.02 ± 0.00 | 1.99 ± 0.27 | 0.63 ± 0.02 | 11.41 ± 0.53 |
| 5b | 1.19 ± 0.02 | 1.30 ± 0.02 | 1.84 ± 0.06 | 0.80 ± 0.00 | 18.19 ± 0.18 |
| 6b | 0.56 ± 0.01 | 0.26 ± 0.01 | 1.47 ± 0.04 | 0.41 ± 0.02 | 3.68 ± 0.16 |
| 7b | 2.01 ± 0.09 | 0.20 ± 0.01 | 1.90 ± 0.07 | 1.95 ± 0.01 | 6.42 ± 0.21 |
| Compound | Work of Respiratory Chain Complexes, % Decrease in OCR of Control | Mitochondrial Swelling, % of Ca2+ -Induced Swelling | Mitochondrial Membrane Depolarization, % of Control | |
|---|---|---|---|---|
| II | IV | |||
| a | 70.54 ± 0.64 | 37.73 ± 0.34 | 116.20 ± 10.98 | 61.55 ± 4.49 |
| 1a | 27.61 ± 5.71 | 24.52 ± 7.61 | — | — |
| 2a | 39.11 ± 4.05 | 20.45 ± 5.85 | 31.51 ± 8.35 | — |
| 4a | 38.58 ± 1.05 | 27.69 ± 2.93 | — | 14.04 ± 1.48 |
| 5a | — | 23.99 ± 4.41 | — | — |
| 6a | 53.34 ± 6.31 | 40.50 ± 4.05 | 54.22 ± 5.49 | 15.39 ± 0.42 |
| 7a | 33.21 ± 3.84 | 38.16 ± 0.84 | — | 17.72 ± 0.69 |
| 8a | 27.58 ± 4.30 | 25.95 ± 4.43 | 47.84 ± 4.99 | 13.34 ± 1.72 |
| b | 72.12 ± 0.96 | — | 40.98 ± 3.86 | 56.81 ± 3.19 |
| 1b | — | — | — | 15.77 ± 0.20 |
| 3b | 57.77 ± 1.75 | — | 26.45 ± 7.14 | 17.99 ± 0.57 |
| 4b | 46.22 ± 9.50 | — | 27.75 ± 4.25 | 24.82 ± 2.52 |
| 5b | — | 21.56 ± 3.66 | — | 21.55 ± 1.04 |
| 6b | 26.74 ± 4.56 | 41.69 ± 2.13 | — | 27.55 ± 1.54 |
| 7b | 21.04 ± 4.22 | 46.08 ± 3.42 | — | 36.76 ± 2.90 |
Publisher’s Note: MDPI stays neutral with regard to jurisdictional claims in published maps and institutional affiliations. |
© 2021 by the authors. Licensee MDPI, Basel, Switzerland. This article is an open access article distributed under the terms and conditions of the Creative Commons Attribution (CC BY) license (https://creativecommons.org/licenses/by/4.0/).
Share and Cite
Neganova, M.; Semakov, A.; Aleksandrova, Y.; Yandulova, E.; Pukhov, S.; Anikina, L.; Klochkov, S. N-Alkylation of Anthracycline Antibiotics by Natural Sesquiterpene Lactones as a Way to Obtain Antitumor Agents with Reduced Side Effects. Biomedicines 2021, 9, 547. https://doi.org/10.3390/biomedicines9050547
Neganova M, Semakov A, Aleksandrova Y, Yandulova E, Pukhov S, Anikina L, Klochkov S. N-Alkylation of Anthracycline Antibiotics by Natural Sesquiterpene Lactones as a Way to Obtain Antitumor Agents with Reduced Side Effects. Biomedicines. 2021; 9(5):547. https://doi.org/10.3390/biomedicines9050547
Chicago/Turabian StyleNeganova, Margarita, Alexey Semakov, Yulia Aleksandrova, Ekaterina Yandulova, Sergey Pukhov, Lada Anikina, and Sergey Klochkov. 2021. "N-Alkylation of Anthracycline Antibiotics by Natural Sesquiterpene Lactones as a Way to Obtain Antitumor Agents with Reduced Side Effects" Biomedicines 9, no. 5: 547. https://doi.org/10.3390/biomedicines9050547
APA StyleNeganova, M., Semakov, A., Aleksandrova, Y., Yandulova, E., Pukhov, S., Anikina, L., & Klochkov, S. (2021). N-Alkylation of Anthracycline Antibiotics by Natural Sesquiterpene Lactones as a Way to Obtain Antitumor Agents with Reduced Side Effects. Biomedicines, 9(5), 547. https://doi.org/10.3390/biomedicines9050547

