Systolic Blood Pressure Variability in Acute Ischemic Stroke: A Predictor of Infarct Growth and Hemorrhagic Transformation
Abstract
1. Introduction
2. Materials and Methods
2.1. Population
2.2. Blood Pressure Measurement
2.3. Systolic Blood Pressure Variability
2.4. Statistical Analysis
3. Results
3.1. Study Population Description
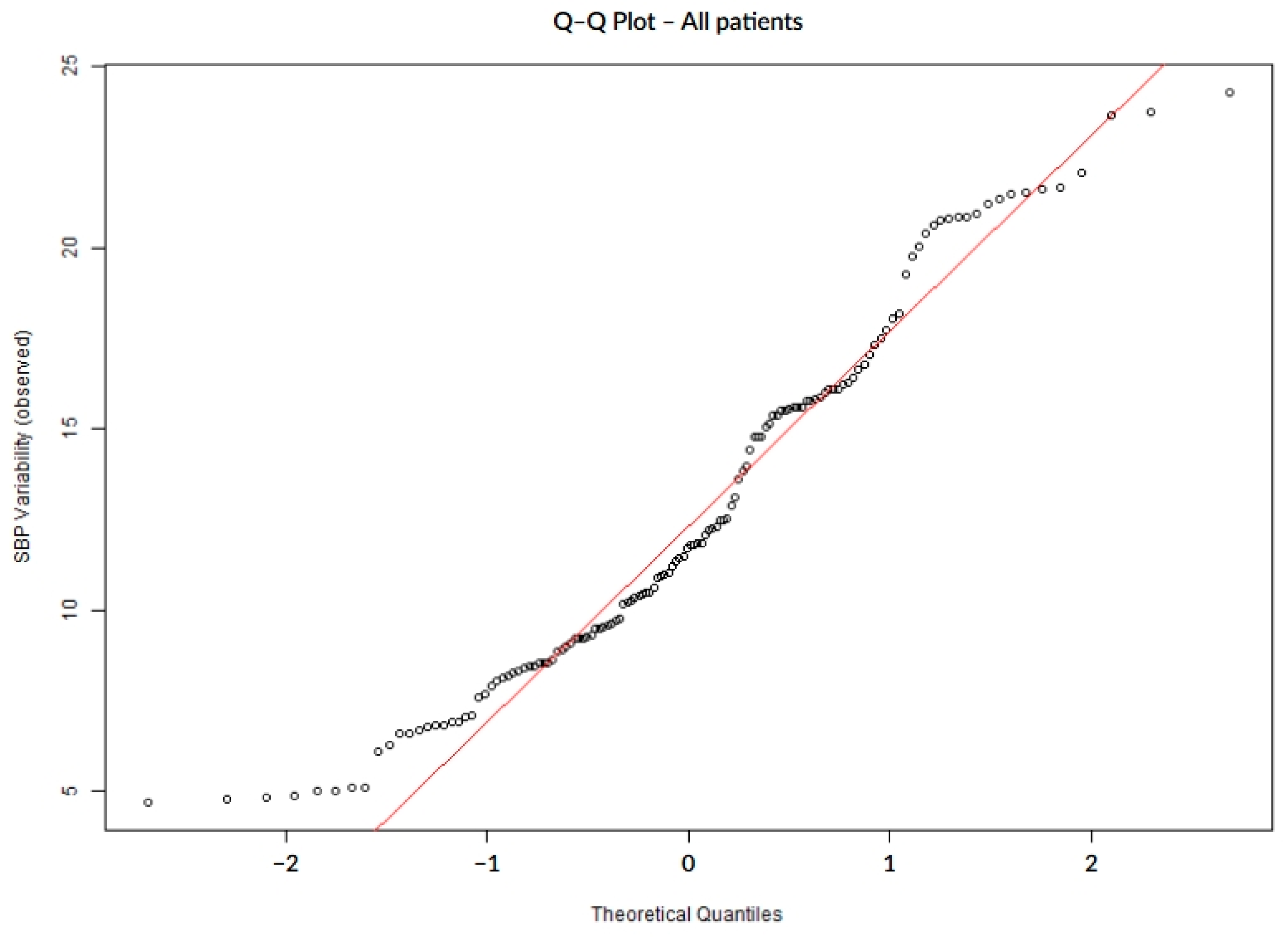
3.2. SBP Variability Analysis for Entire Study Population
3.3. SBP Variability Analysis for Conservatively Treated Patients
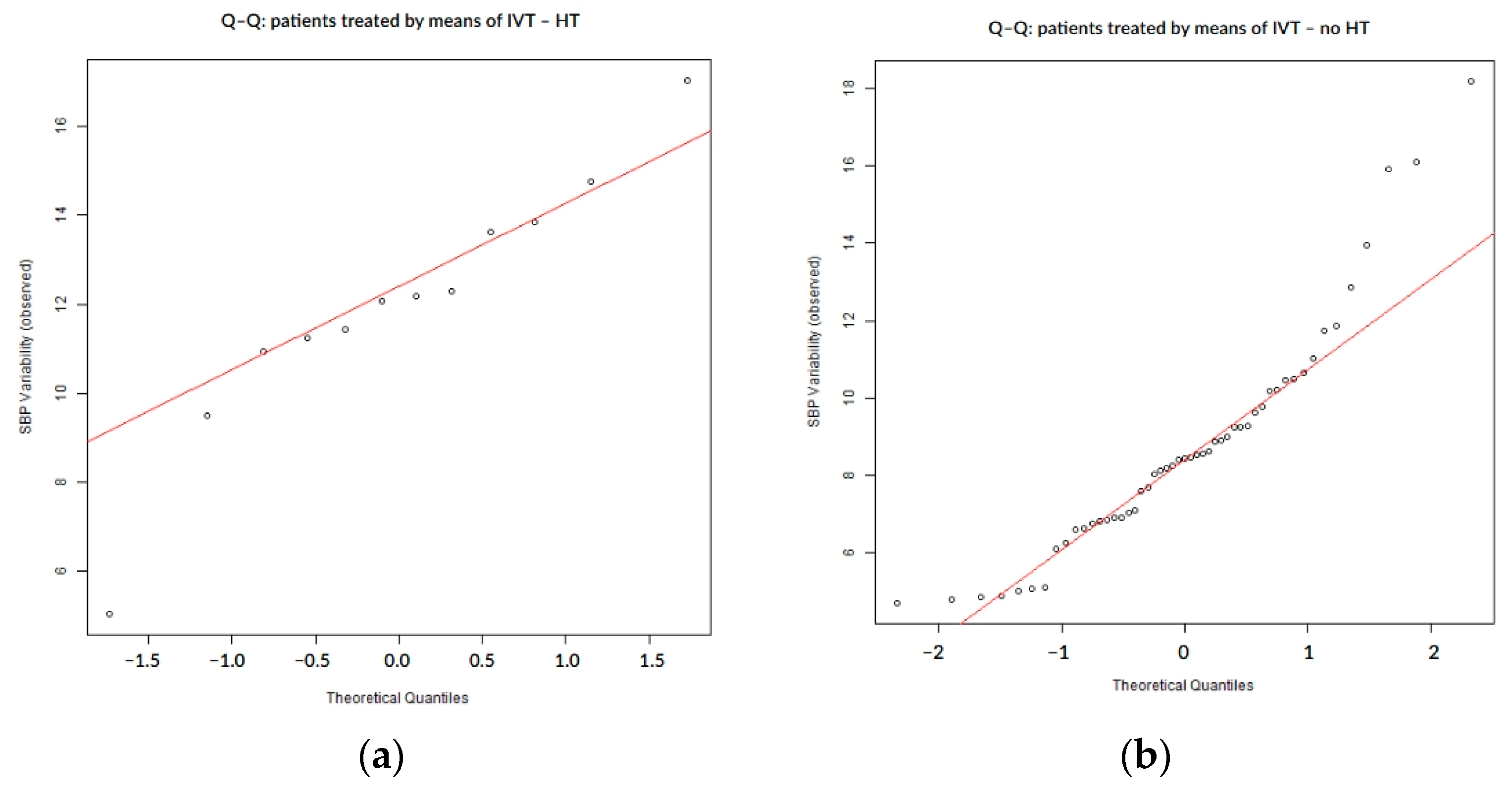
3.4. SBP Variability Analysis for Patients Treated by IVT
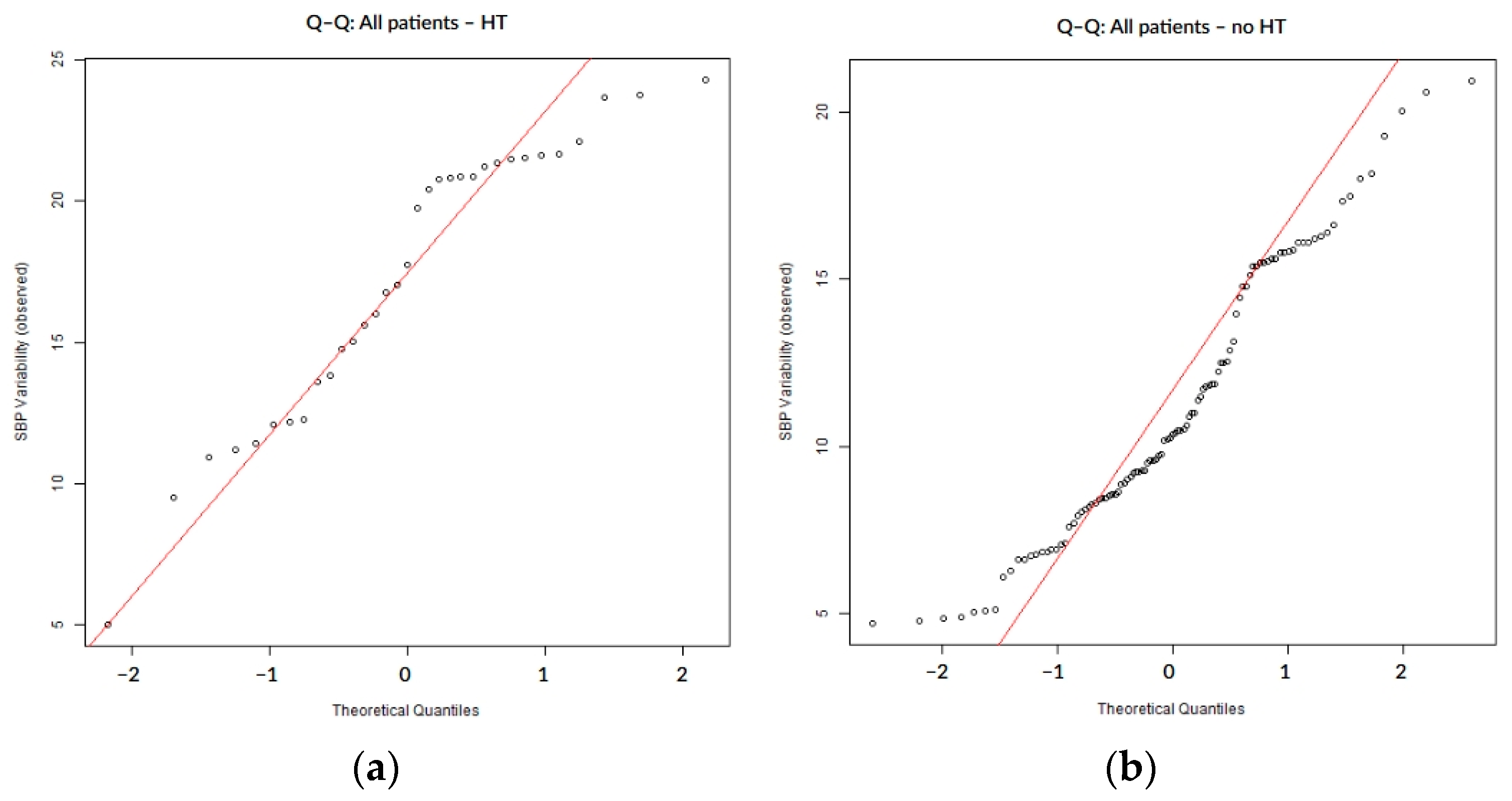
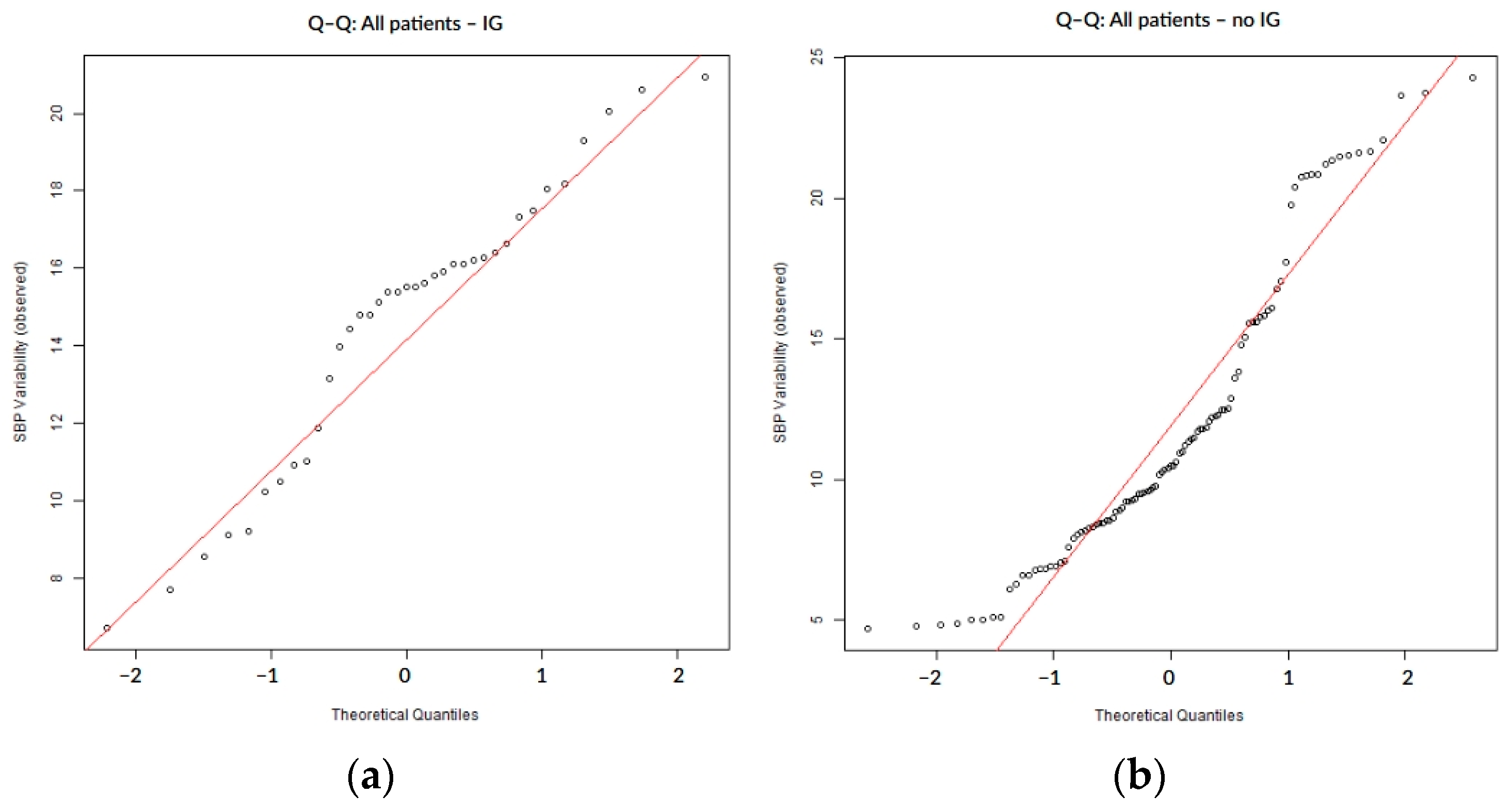
3.5. Association Between SBP Variability and Post-Stroke Complications
3.6. Independent Predictors of Hemorrhagic Transformation and Infarct Growth
4. Discussion
5. Conclusions
Author Contributions
Funding
Institutional Review Board Statement
Informed Consent Statement
Data Availability Statement
Conflicts of Interest
References
- Feigin, V.L.; Stark, B.A.; Johnson, C.O.; Roth, G.A.; Bisignano, C.; Abady, G.G.; Abbasifard, M.; Abbasi-Kangevari, M.; Abd-Allah, F.; Abedi, V.; et al. Global, regional, and national burden of stroke and its risk factors, 1990–2019: A systematic analysis for the Global Burden of Disease Study 2019. Lancet Neurol. 2021, 20, 795–820. [Google Scholar] [CrossRef]
- United Nations. World Population Ageing 2007; United Nations, Department of Economic and Social Affairs, Population Division: New York, NY, USA, 2007; ISBN 978-92-1-151432-2. [Google Scholar]
- Zhou, B.; Perel, P.; Mensah, G.A.; Ezzati, M. Global Epidemiology, Health Burden and Effective Interventions for Elevated Blood Pressure and Hypertension. Nat. Rev. Cardiol. 2021, 18, 785–802. [Google Scholar] [CrossRef]
- de la Sierra, A. Blood Pressure Variability as a Risk Factor for Cardiovascular Disease: Which Antihypertensive Agents Are More Effective? J. Clin. Med. 2023, 12, 6167. [Google Scholar] [CrossRef] [PubMed]
- Arboix, A.; Roig, H.; Rossich, R.; Martínez, E.M.; García—Eroles, L. Differences between Hypertensive and Non—Hypertensive Ischemic Stroke. Eur. J. Neurol. 2004, 11, 687–692. [Google Scholar] [CrossRef] [PubMed]
- Kario, K.; Okura, A.; Hoshide, S.; Mogi, M. The WHO Global Report 2023 on Hypertension: Warning the Emerging Hypertension Burden Globally and Its Treatment Strategy. Hypertens. Res. 2024, 47, 1099–1102. [Google Scholar] [CrossRef]
- Chowdhury, E.K.; Owen, A.; Krum, H.; Wing, L.M.H.; Nelson, M.R.; Reid, C.M. Systolic blood pressure variability is an important predictor of cardiovascular outcomes in elderly hypertensive patients. Hypertens 2014, 32, 525–533. [Google Scholar] [CrossRef] [PubMed]
- Lau, K.K.; Wong, Y.K.; Chan, Y.H.; Teo, K.C.; Chan, K.H.; Li, L.S.; Cheung, R.T.F.; Siu, C.W.; Ho, S.L.; Tse, H.F. Visit-To-Visit Blood Pressure Variability as a Prognostic Marker in Patients with Cardiovascular and Cerebrovascular Diseases—Relationships and Comparisons with Vascular Markers of Atherosclerosis. Atherosclerosis 2014, 235, 230–235. [Google Scholar] [CrossRef]
- Willmot, M.; Leonardi-Bee, J.; Bath, P.M.W. High Blood Pressure in Acute Stroke and Subsequent Outcome. Hypertension 2004, 43, 18–24. [Google Scholar] [CrossRef]
- Wallace, S.M.L.; McEniery, C.M.; Mäki-Petäjä, K.M.; Booth, A.D.; Cockcroft, J.R.; Wilkinson, I.B. Isolated Systolic Hypertension Is Characterized by Increased Aortic Stiffness and Endothelial Dysfunction. Hypertension 2007, 50, 228–233. [Google Scholar] [CrossRef]
- Clark, D., III; Nicholls, S.J.; St John, J.; Elshazly, M.B.; Ahmed, H.M.; Khraishah, H.; Nissen, S.E.; Puri, R. Visit—To—Visit Blood Pressure Variability, Coronary Atheroma Progression, and Clinical Outcomes. JAMA Cardiol. 2019, 4, 437–443. [Google Scholar] [CrossRef]
- Hindricks, G.; Potpara, T.; Dagres, N.; Arbelo, E.; Bax, J.J.; Blomström-Lundqvist, C.; Boriani, G.; Castella, M.; Dan, G.A.; Dilaveris, P.E.; et al. 2020 ESC Guidelines for the Diagnosis and Management of Atrial Fibrillation Developed in Collaboration with the European Association for Cardio-Thoracic Surgery (EACTS). Eur. Heart J. 2021, 42, 373–498. [Google Scholar] [CrossRef]
- Suhov, L.; Apostol, A.; Dăniluc, L.; Haj Ali, L.; Sandu, O.E.; Bogdan, C.; Andor, M. Implications of Heart Failure Treatment on Atrial Fibrillation Onset: A Retrospective Study. Medicina 2025, 61, 414. [Google Scholar] [CrossRef]
- Scheitz, J.F.; Nolte, C.H.; Doehner, W.; Hachinski, V.; Endres, M. Stroke—Heart Syndrome: Clinical Presentation and Underlying Mechanisms. Lancet Neurol. 2018, 17, 1109–1120. [Google Scholar] [CrossRef] [PubMed]
- Gosmanova, E.O.; Mikkelsen, M.K.; Molnar, M.Z.; Lu, J.L.; Yessayan, L.T.; Kalantar-Zadeh, K.; Kovesdy, C.P. Association of Systolic Blood Pressure Variability with Mortality, Coronary Heart Disease, Stroke, and Renal Disease. JACC 2016, 68, 1375–1386. [Google Scholar] [CrossRef]
- Shimbo, D.; Newman, J.D.; Aragaki, A.K.; LaMonte, M.J.; Bavry, A.A.; Allison, M.; Manson, J.E.; Wassertheil-Smoller, S. Association Between Annual Visit—To—Visit Blood Pressure Variability and Stroke in Postmenopausal Women. Hypertension 2012, 60, 625–630. [Google Scholar] [CrossRef] [PubMed]
- Rothwell, P.M.; Howard, S.C.; Dolan, E.; O’Brien, E.; Dobson, J.E.; Dahlöf, B.; Sever, P.S.; Poulter, N.R. Prognostic significance of visit-to-visit variability, maximum systolic blood pressure, and episodic hypertension. Lancet 2010, 375, 895–905. [Google Scholar] [CrossRef]
- Tsivgoulis, G.; Ntaios, G. Blood pressure variability in subacute ischemic stroke. Neurology 2012, 79, 2014–2015. [Google Scholar] [CrossRef]
- Heshmatollah, A.; Ma, Y.; Fani, L.; Koudstaal, P.J.; Ikram, M.A.; Ikram, M.K. Visit-to-Visit Blood Pressure Variability and the Risk of Stroke in the Netherlands: A Population-Based Cohort Study. PLoS Med. 2022, 19, e1003942. [Google Scholar] [CrossRef]
- Wang, L.; Xia, X.; Liu, X.; Wu, G.; Wang, Y.; Yang, D.; Liu, P.; Chen, Z.; Wang, L.; Li, X. Twenty-Four-Hour Ambulatory Blood Pressure Variability and Association with Ischemic Stroke Subtypes in the Subacute Stage. Front. Neurol. 2023, 14, 1139816. [Google Scholar] [CrossRef] [PubMed]
- Zompola, C.; Palaiodimou, L.; Voumvourakis, K.; Stefanis, L.; Katsanos, A.H.; Sandset, E.C.; Boviatsis, E.; Tsivgoulis, G. Blood Pressure Variability in Acute Stroke: A Narrative Review. J. Clin. Med. 2024, 13, 1981. [Google Scholar] [CrossRef]
- Sandu, O.E.; Bogdan, C.; Apostol, A.; Daniluc, L.M.-A.; Schuldesz, A.C.; Simu, M.A. Visit-To-Visit Systolic Blood Pressure Variability and Risk of Ischemic and Hemorrhagic Stroke. Medicina 2025, 61, 267. [Google Scholar] [CrossRef] [PubMed]
- Todo, K. Blood pressure variability in acute ischemic stroke. Hypertens. Res. 2024, 47, 679–680. [Google Scholar] [CrossRef] [PubMed]
- Parati, G.; Bilo, G.; Kollias, A.; Pengo, M.; Ochoa, J.E.; Castiglioni, P.; Stergiou, G.S.; Mancia, G.; Asayama, K.; Asmar, R.; et al. Blood pressure variability: Methodological aspects, clinical relevance and practical indications for management—A European Society of Hypertension position paper. J. Hypertens. 2023, 41, 527–544. [Google Scholar] [CrossRef]
- Lai, A.; Lam, L.; Raminemi, A.; Sonecha, A.; Sever, P. Long-Term blood pressure variability: An emerging cardiovascular risk factor. Br. J. Cardiol. 2024, 31, 155–159. [Google Scholar] [CrossRef]
- Liu, K.; Yan, S.; Zhang, S.; Guo, Y.; Lou, M. Systolic Blood Pressure Variability is Associated with Severe Hemorrhagic Transformation in the Early Stage After Thrombolysis. Transl. Stroke Res. 2016, 7, 186–191. [Google Scholar] [CrossRef] [PubMed]
- Woods, A.G.; Lillicrap, T.; Hood, R.; Fletcher, J.W.; Ranhage, V.; Larsson, E.; Cahlin, F.; Jood, K.; Tatlisumak, T.; Garcia-Esperon, C.; et al. Blood Pressure Variability Is Associated with Infarct Growth in Acute Ischaemic Stroke. Cerebrovasc. Dis. 2023, 53, 449–456. [Google Scholar] [CrossRef] [PubMed]
- Liao, Y.; Qi, W.; Li, S.; Shi, X.; Wu, X.; Chi, F.; Zhang, Z.; Zhao, H.; Ren, L. Analysis of Onset-to-Door Time and Its Influencing Factors in Chinese Patients with Acute Ischemic Stroke during the 2020 COVID-19 Epidemic: A Preliminary, Prospective, Multicenter Study. BMC Health Serv. Res. 2024, 24, 615. [Google Scholar] [CrossRef]
- Li, L.; Scott, C.A.; Rothwell, P.M. Association of Younger vs Older Ages With Changes in Incidence of Stroke and Other Vascular Events, 2002–2018. JAMA 2022, 328, 563–574. [Google Scholar] [CrossRef]
- Yousufuddin, M.; Young, N. Aging and Ischemic Stroke. Aging 2019, 11, 2542–2544. [Google Scholar] [CrossRef]
- Edrissi, C.; Rathfoot, C.; Knisely, K.; Sanders, C.B.; Goodwin, R.; Nathaniel, S.I.; Nathaniel, T. Age Stratification in Acute Ischemic Stroke Patients with Heart Failure. J. Clin. Med. 2023, 12, 38. [Google Scholar] [CrossRef]
- Scherbakov, N.; Haeusler, K.G.; Doehner, W. Ischemic Stroke and Heart Failure: Facts and Numbers. ESC Heart Fail. 2015, 2, 1–4. [Google Scholar] [CrossRef]
- Barkhudaryan, A.; Doehner, W.; Scherbakov, N. Ischemic Stroke and Heart Failure: Facts and Numbers. An Update. J. Clin. Med. 2021, 10, 1146. [Google Scholar] [CrossRef]
- Jiang, Y.; Lam, S.M.; Zhang, S.; Miao, H.; Zhou, Y.; Zhang, Q.; Huang, R.; Zhao, X.; Hu, R. CSF Multi-Omics of Intracerebral Hemorrhage from Onset to Reperfusion Underscores Lipid Metabolism in Functional Outcome. Sci. Bull. 2025, 70, 162–166. [Google Scholar] [CrossRef]
- Zhang, H.; Wang, L.; Wang, X.; Deng, L.; He, B.; Yi, X.; Zhang, Y.; Xu, J.; Li, J. Mangiferin Alleviated Poststroke Cognitive Impairment by Modulating Lipid Metabolism in Cerebral Ischemia/Reperfusion Rats. Eur. J. Pharmacol. 2024, 977, 176724. [Google Scholar] [CrossRef]
- Sacco, S.; Foschi, M.; Ornello, R.; De Santis, F.; Pofi, R.; Romoli, M. Prevention and Treatment of Ischaemic and Haemorrhagic Stroke in People with Diabetes Mellitus: A Focus on Glucose Control and Comorbidities. Diabetologia 2024, 67, 1192–1205. [Google Scholar] [CrossRef]
- Dad, T.; Weiner, D.E. Stroke and Chronic Kidney Disease: Epidemiology, Pathogenesis, and Management Across Kidney Disease Stages. Semin. Nephrol. 2015, 35, 311–322. [Google Scholar] [CrossRef] [PubMed]
- Schumacher, K.; Kornej, J.; Shantsila, E.; Lip, G.Y.H. Heart Failure and Stroke. Curr. Hear. Fail. Rep. 2018, 15, 287–296. [Google Scholar] [CrossRef] [PubMed]
- Jiang, Y.; Han, J.; Spencer, P.; Li, Y.; Vodovoz, S.J.; Ning, M.-M.; Liu, N.; Wang, X.; Dumont, A.S. Diabetes Mellitus: A Common Comorbidity Increasing Hemorrhagic Transformation after tPA Thrombolytic Therapy for Ischemic Stroke. Brain Hemorrhages 2021, 2, 116–123. [Google Scholar] [CrossRef]
- Neacă, I.; Negroiu, C.E.; Tudorașcu, I.; Dănoiu, R.; Moise, C.G.; Toader, D.M.; Dănoiu, S. Risk Factors and Outcomes of Hemorrhagic Transformation in Acute Ischemic Stroke Following Thrombolysis: Analysis of a Single-Center Experience and Review of the Literature. Medicina 2025, 61, 722. [Google Scholar] [CrossRef]
- Ko, Y.; Park, J.H.; Yang, M.H.; Ko, S.-B.; Han, M.-K.; Oh, C.W.; Lee, J.; Lee, J.; Bae, H.-J. The Significance of Blood Pressure Variability for the Development of Hemorrhagic Transformation in Acute Ischemic Stroke. Stroke 2010, 41, 2512–2518. [Google Scholar] [CrossRef] [PubMed]
- Kim, T.J.; Park, H.-K.; Kim, J.-M.; Lee, J.S.; Park, S.-H.; Jeong, H.-B.; Park, K.-Y.; Rha, J.-H.; Yoon, B.-W.; Ko, S.-B. Blood Pressure Variability and Hemorrhagic Transformation in Patients with Successful Recanalization after Endovascular Recanalization Therapy: A Retrospective Observational Study. Ann. Neurol. 2019, 85, 574–581. [Google Scholar] [CrossRef]
- Chung, J.-W.; Kim, N.; Kang, J.; Park, S.H.; Kim, W.-J.; Ko, Y.; Park, J.H.; Lee, J.S.; Lee, J.; Yang, M.H.; et al. Blood Pressure Variability and the Development of Early Neurological Deterioration Following Acute Ischemic Stroke. J. Hypertens. 2015, 33, 2099–2106. [Google Scholar] [CrossRef]
- Kellert, L.; Sykora, M.; Gumbinger, C.; Herrmann, O.; Ringleb, P.A. Blood Pressure Variability after Intravenous Thrombolysis in Acute Stroke Does Not Predict Intracerebral Hemorrhage but Poor Outcome. Cerebrovasc. Dis. 2012, 33, 135–140. [Google Scholar] [CrossRef] [PubMed]
- Endo, K.; Kario, K.; Koga, M.; Nakagawara, J.; Shiokawa, Y.; Yamagami, H.; Furui, E.; Kimura, K.; Hasegawa, Y.; Okada, Y.; et al. Impact of Early Blood Pressure Variability on Stroke Outcomes After Thrombolysis. Stroke 2013, 44, 816–818. [Google Scholar] [CrossRef] [PubMed]
- Mistry, E.A.; Hart, K.W.; Davis, L.T.; Gao, Y.; Prestigiacomo, C.J.; Mittal, S.; Mehta, T.; LaFever, H.; Harker, P.; Wilson-Perez, H.E.; et al. Blood Pressure Management After Endovascular Therapy for Acute Ischemic Stroke: The BEST-II Randomized Clinical Trial. JAMA 2023, 330, 821–831. [Google Scholar] [CrossRef] [PubMed]









| Characteristics | Values, N = 138 (%) |
|---|---|
| Age | 69.57 (9.68) * |
| Sex | M: 55.80 F: 44.20 |
| Heart failure | 35.51 |
| High blood pressure | 75.36 |
| Atrial fibrillation | 41.30 |
| Coronary artery disease | 28.99 |
| Diabetes mellitus | 50.72 |
| Chronic kidney disease | 18.84 |
| Obesity | 42.03 |
| Dyslipidemia | 73.91 |
| Alcoholic | 18.12 |
| Smoker | 40.58 |
| Group | p |
|---|---|
| Entire study population | <0.001 |
| Entire study population | <0.001 |
| Group | W | Post-Stroke Complications | p |
|---|---|---|---|
| HT | 589.5 | 33 | <0.001 |
| IG | 1185.5 | 37 | 0.001 |
| Group | p |
|---|---|
| Entire study population | 0.02 |
| Entire study population | 0.01 |
| Group | W | Post-Stroke Complications | p |
|---|---|---|---|
| HT | 75.5 | 21 | <0.001 |
| IG | 643 | 27 | 0.9 |
| Group | p |
|---|---|
| Entire study population | 0.01 |
| Entire study population | 0.05 |
| Group | W | Post-Stroke Complications | p |
|---|---|---|---|
| HT | 110 | 12 | <0.001 |
| IG | 110 | 10 | <0.01 |
| Group | Outcome | Z | p |
|---|---|---|---|
| Entire study population (n = 138) | HT | −5.88 | <0.001 |
| IG | −3.20 | 0.001 | |
| Conservative (n = 75) | HT | −5.38 | <0.001 |
| IG | −0.54 | 0.590 | |
| IVT (n = 63) | HT | −3.36 | <0.001 |
| IG | −3.55 | <0.001 |
| Group | Outcome | Estimate | Error | Z | p | OR (95% CI) |
|---|---|---|---|---|---|---|
| Entire study population (n = 138) | HT | 1.293 | 0.254 | 5.090 | <0.001 | 3.64 (2.21–5.99) |
| IG | 0.586 | 0.189 | 3.100 | 0.002 | 1.80 (1.24–2.61) | |
| Conservative (n = 75) | HT | 3.137 | 0.730 | 4.290 | <0.001 | 23.02 (5.50–96.34) |
| IG | 0.133 | 0.247 | 0.540 | 0.591 | 1.14 (0.70–1.85) | |
| IVT (n = 63) | HT | 1.542 | 0.521 | 2.960 | 0.003 | 4.68 (1.69–12.97) |
| IG | 1.720 | 0.567 | 3.040 | 0.002 | 5.58 (1.84–16.95) |
| Conservative Treatment (N = 75) | IVT (N = 63) | |||||||
|---|---|---|---|---|---|---|---|---|
| HT | IG | HT | IG | |||||
| Characteristics | OR (95% CI) | p | OR (95% CI) | p | OR (95% CI) | p | OR (95% CI) | p |
| SBP variability | 4.78 (2.07–37.14) | 0.02 | 0.93 (0.79–1.10) | 0.41 | 1.47 (1.13–2.08) | 0.01 | 1.51 (1.13–2.25) | 0.02 |
| Age | 0.87 (0.63–1.02) | 0.23 | 0.99 (0.94–1.04) | 0.63 | 1.05 (0.94–1.21) | 0.39 | 1.05 (0.92–1.24) | 0.50 |
| Sex | 0.33 (0.02–4.07) | 0.40 | 1.64 (0.57–4.90) | 0.37 | 0.38 (0.04–2.53) | 0.35 | 0.65 (0.08–4.64) | 0.67 |
| Heart failure | 2.23 (0.05–95.06) | 0.67 | 1.56 (0.40–6.32) | 0.52 | 3.24 (0.35–32.52) | 0.29 | 0.87 (0.07–8.05) | 0.91 |
| High blood pressure | 0.06 (0.00–50.13) | 0.39 | 2.96 (0.54–24.10) | 0.25 | 0.30 (0.03–2.08) | 0.25 | 4.03 (0.53–49.00) | 0.21 |
| Atrial fibrillation | 0.06 (0.00–1.32) | 0.16 | 1.10 (0.35–3.50) | 0.87 | 0.74 (0.10–4.89) | 0.76 | 2.15 (0.30–18.40) | 0.45 |
| Coronary artery disease | 1.44 (0.04–68.88) | 0.85 | 1.11 (0.31–3.90) | 0.87 | 0.33 (0.03–2.93) | 0.34 | 4.35 (0.47–50.46) | 0.20 |
| Diabetes mellitus | 1.72 (0.08–38.56) | 0.72 | 0.71 (0.22–2.28) | 0.56 | 1.20 (0.18–8.35) | 0.84 | 0.35 (0.04–2.61) | 0.33 |
| Chronic kidney disease | 0.17 (0.00–3.10) | 0.28 | 0.87 (0.21–3.45) | 0.85 | 7.60 (0.76–98.44) | 0.09 | 0.32 (0.01–6.08) | 0.47 |
| Obesity | 15.44 (0.97–1446.90) | 0.13 | 0.54 (0.15–1.81) | 0.32 | 0.73 (0.11–4.28) | 0.73 | 1.34 (0.15–12.49) | 0.78 |
| Dyslipidemia | 0.03 (0.00–0.65) | 0.09 | 2.03 (0.50–8.89) | 0.33 | 2.96 (0.31–49.93) | 0.38 | 1.37 (0.13–16.59) | 0.79 |
| Alcoholic | 0.68 (0.02–18.44) | 0.81 | 1.32 (0.32–5.17) | 0.69 | 0.10 (0.00–1.73) | 0.18 | 0.77 (0.03–9.73) | 0.85 |
| Smoker | 1.78 (0.18–22.27) | 0.62 | 0.72 (0.24–2.06) | 0.54 | 0.24 (0.02–1.61) | 0.18 | 0.82 (0.07–6.50) | 0.86 |
Disclaimer/Publisher’s Note: The statements, opinions and data contained in all publications are solely those of the individual author(s) and contributor(s) and not of MDPI and/or the editor(s). MDPI and/or the editor(s) disclaim responsibility for any injury to people or property resulting from any ideas, methods, instructions or products referred to in the content. |
© 2025 by the authors. Licensee MDPI, Basel, Switzerland. This article is an open access article distributed under the terms and conditions of the Creative Commons Attribution (CC BY) license (https://creativecommons.org/licenses/by/4.0/).
Share and Cite
Sandu, O.E.; Bogdan, C.; Apostol, A.; Simu, M.A.; Haj Ali, L.; Suhov, L.; Schuldesz, A.C.; Ivan, V.M. Systolic Blood Pressure Variability in Acute Ischemic Stroke: A Predictor of Infarct Growth and Hemorrhagic Transformation. Biomedicines 2025, 13, 2189. https://doi.org/10.3390/biomedicines13092189
Sandu OE, Bogdan C, Apostol A, Simu MA, Haj Ali L, Suhov L, Schuldesz AC, Ivan VM. Systolic Blood Pressure Variability in Acute Ischemic Stroke: A Predictor of Infarct Growth and Hemorrhagic Transformation. Biomedicines. 2025; 13(9):2189. https://doi.org/10.3390/biomedicines13092189
Chicago/Turabian StyleSandu, Oana Elena, Carina Bogdan, Adrian Apostol, Mihaela Adriana Simu, Lina Haj Ali, Loredana Suhov, Amanda Claudia Schuldesz, and Viviana Mihaela Ivan. 2025. "Systolic Blood Pressure Variability in Acute Ischemic Stroke: A Predictor of Infarct Growth and Hemorrhagic Transformation" Biomedicines 13, no. 9: 2189. https://doi.org/10.3390/biomedicines13092189
APA StyleSandu, O. E., Bogdan, C., Apostol, A., Simu, M. A., Haj Ali, L., Suhov, L., Schuldesz, A. C., & Ivan, V. M. (2025). Systolic Blood Pressure Variability in Acute Ischemic Stroke: A Predictor of Infarct Growth and Hemorrhagic Transformation. Biomedicines, 13(9), 2189. https://doi.org/10.3390/biomedicines13092189

