Predictive Value of Preoperative Maximum Standardized Uptake Value (SUVmax) in Patients with Advanced Gastric Cancer
Abstract
1. Introduction
2. Materials and Methods
2.1. Patients’ Selection
2.2. Immunohistochemical Examinations
2.3. Observational Indicators
2.4. Follow-Up Examination
2.5. Statistical Analysis
3. Results
3.1. GLUT-1 Protein Expression in Patients with Different Levels of SUVmax
3.2. Baseline Clinicopathological Data
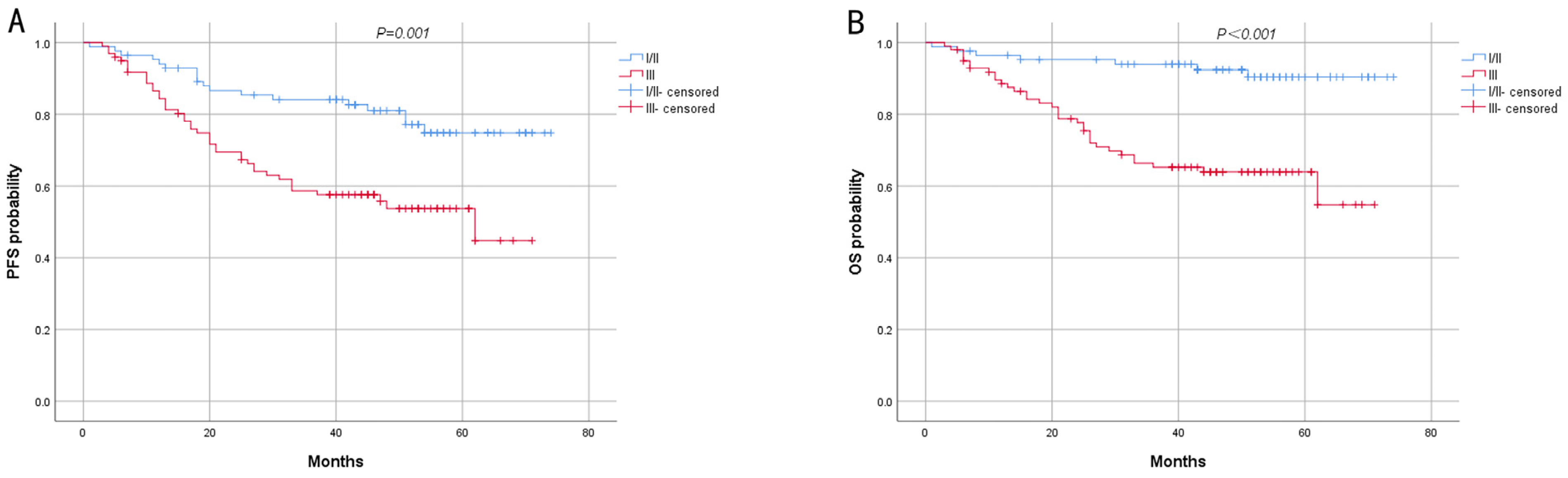
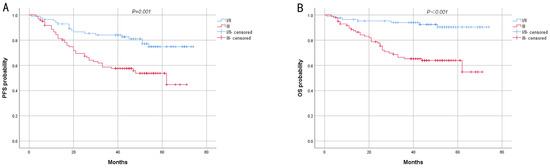
3.3. Prognostic Analysis
4. Discussion
5. Conclusions
Author Contributions
Funding
Institutional Review Board Statement
Informed Consent Statement
Data Availability Statement
Conflicts of Interest
References
- Bray, F.; Laversanne, M.; Sung, H.; Ferlay, J.; Siegel, R.L.; Soerjomataram, I.; Jemal, A. Global cancer statistics 2022: GLOBOCAN estimates of incidence and mortality worldwide for 36 cancers in 185 countries. CA Cancer J. Clin. 2024, 74, 229–263. [Google Scholar] [CrossRef] [PubMed]
- Sexton, R.E.; Al Hallak, M.N.; Diab, M.; Azmi, A.S. Gastric cancer: A comprehensive review of current and future treatment strategies. Cancer Metastasis Rev. 2020, 39, 1179–1203. [Google Scholar] [CrossRef] [PubMed]
- Malibari, N.; Hickeson, M.; Lisbona, R. PET/Computed Tomography in the Diagnosis and Staging of Gastric Cancers. PET Clin. 2015, 10, 311–326. [Google Scholar] [CrossRef] [PubMed]
- Kim, S.H.; Song, B.I.; Kim, H.W.; Won, K.S.; Son, Y.G.; Ryu, S.W. Prognostic Value of Restaging F-18 Fluorodeoxyglucose Positron Emission Tomography/Computed Tomography to Predict 3-Year Post-Recurrence Survival in Patients with Recurrent Gastric Cancer after Curative Resection. Korean J. Radiol. 2020, 21, 829–837. [Google Scholar] [CrossRef] [PubMed]
- Adams, M.C.; Turkington, T.G.; Wilson, J.M.; Wong, T.Z. A systematic review of the factors affecting accuracy of SUV measurements. AJR Am. J. Roentgenol. 2010, 195, 310–320. [Google Scholar] [CrossRef]
- Sun, X.Y.; Chen, T.X.; Chang, C.; Teng, H.H.; Xie, C.; Ruan, M.M.; Lei, B.; Liu, L.; Wang, L.H.; Yang, Y.H.; et al. SUVmax of 18FDG PET/CT Predicts Histological Grade of Lung Adenocarcinoma. Acad. Radiol. 2021, 28, 49–57. [Google Scholar] [CrossRef]
- Kasahara, N.; Kaira, K.; Bao, P.; Higuchi, T.; Arisaka, Y.; Erkhem-Ochir, B.; Sunaga, N.; Ohtaki, Y.; Yajima, T.; Kosaka, T.; et al. Correlation of tumor-related immunity with 18F-FDG-PET in pulmonary squamous-cell carcinoma. Lung Cancer 2018, 119, 71–77. [Google Scholar] [CrossRef]
- Groves, A.M.; Shastry, M.; Rodriguez-Justo, M.; Malhotra, A.; Endozo, R.; Davidson, T.; Kelleher, T.; Miles, K.A.; Ell, P.J.; Keshtgar, M.R. 18F-FDG PET and biomarkers for tumour angiogenesis in early breast cancer. Eur. J. Nucl. Med. Mol. Imaging 2011, 38, 46–52. [Google Scholar] [CrossRef]
- Kaymak, Z.A.; Karahan, N.; Erdoğan, M.; Erdemoğlu, E.; Zihni, İ.; Şengül, S.S. Correlation of 18F-FDG/PET SUV(max), SUV(mean), MTV, and TLG with HIF-1α in Patients with Colorectal Cancer. Mol. Imaging Radionucl. Ther. 2021, 30, 93–100. [Google Scholar] [CrossRef]
- Hwang, J.P.; Lim, I.; Byun, B.H.; Kim, B.I.; Choi, C.W.; Lim, S.M. Prognostic value of SUVmax measured by pretreatment 18F-FDG PET/CT in patients with primary gastric lymphoma. Nucl. Med. Commun. 2016, 37, 1267–1272. [Google Scholar] [CrossRef]
- Shi, D.; Cai, G.; Peng, J.; Li, D.; Li, X.; Xu, Y.; Cai, S. The preoperative SUVmax for 18F-FDG uptake predicts survival in patients with colorectal cancer. BMC Cancer 2015, 15, 991. [Google Scholar] [CrossRef]
- Binderup, T.; Knigge, U.; Johnbeck, C.B.; Loft, A.; Berthelsen, A.K.; Oturai, P.; Mortensen, J.; Federspiel, B.; Langer, S.W.; Kjaer, A. 18F-FDG PET is Superior to WHO Grading as a Prognostic Tool in Neuroendocrine Neoplasms and Useful in Guiding PRRT: A Prospective 10-Year Follow-up Study. J. Nucl. Med. 2021, 62, 808–815. [Google Scholar] [CrossRef] [PubMed]
- Binderup, T.; Knigge, U.; Loft, A.; Federspiel, B.; Kjaer, A. 18F-fluorodeoxyglucose positron emission tomography predicts survival of patients with neuroendocrine tumors. Clin. Cancer Res. 2010, 16, 978–985. [Google Scholar] [CrossRef] [PubMed]
- Tang, L.; Wang, X.J.; Baba, H.; Giganti, F. Gastric cancer and image-derived quantitative parameters: Part 2—A critical review of DCE-MRI and 18F-FDG PET/CT findings. Eur. Radiol. 2020, 30, 247–260. [Google Scholar] [CrossRef]
- Kaida, H.; Azuma, K.; Kawahara, A.; Yasunaga, M.; Kitasato, Y.; Hattori, S.; Taira, T.; Ureshino, H.; Kage, M.; Ishii, K.; et al. The correlation between FDG uptake and biological molecular markers in pancreatic cancer patients. Eur. J. Radiol. 2016, 85, 1804–1810. [Google Scholar] [CrossRef]
- Zhang, M.; Yang, J.; Jiang, H.; Jiang, H.; Wang, Z. Correlation between glucose metabolism parameters derived from FDG and tumor TNM stages and metastasis-associated proteins in colorectal carcinoma patients. BMC Cancer 2021, 21, 258. [Google Scholar] [CrossRef]
- Beggs, A.D.; Hain, S.F.; Curran, K.M.; O’Doherty, M.J. FDG-PET as a “metabolic biopsy” tool in non-lung lesions with indeterminate biopsy. Eur. J. Nucl. Med. Mol. Imaging 2002, 29, 542–546. [Google Scholar] [CrossRef]
- Kwee, T.C.; Cheng, G.; Lam, M.G.; Basu, S.; Alavi, A. SUVmax of 2.5 should not be embraced as a magic threshold for separating benign from malignant lesions. Eur. J. Nucl. Med. Mol. Imaging 2013, 40, 1475–1477. [Google Scholar] [CrossRef]
- Salaun, P.Y.; Grewal, R.K.; Dodamane, I.; Yeung, H.W.; Larson, S.M.; Strauss, H.W. An analysis of the 18F-FDG uptake pattern in the stomach. J. Nucl. Med. 2005, 46, 48–51. [Google Scholar]
- Kim, S.J.; Cho, Y.S.; Moon, S.H.; Bae, J.M.; Kim, S.; Choe, Y.S.; Kim, B.T.; Lee, K.H. Primary Tumor 18F-FDG Avidity Affects the Performance of 18F-FDG PET/CT for Detecting Gastric Cancer Recurrence. J. Nucl. Med. 2016, 57, 544–550. [Google Scholar] [CrossRef][Green Version]
- Ngo, D.C.; Ververis, K.; Tortorella, S.M.; Karagiannis, T.C. Introduction to the molecular basis of cancer metabolism and the Warburg effect. Mol. Biol. Rep. 2015, 42, 819–823. [Google Scholar] [CrossRef] [PubMed]
- Lutz, M.P.; Zalcberg, J.R.; Ducreux, M.; Ajani, J.A.; Allum, W.; Aust, D.; Bang, Y.J.; Cascinu, S.; Hölscher, A.; Jankowski, J.; et al. Highlights of the EORTC St. Gallen International Expert Consensus on the primary therapy of gastric, gastroesophageal and oesophageal cancer—Differential treatment strategies for subtypes of early gastroesophageal cancer. Eur. J. Cancer 2012, 48, 2941–2953. [Google Scholar] [CrossRef] [PubMed]
- Takebayashi, R.; Izuishi, K.; Yamamoto, Y.; Kameyama, R.; Mori, H.; Masaki, T.; Suzuki, Y. [18F]Fluorodeoxyglucose accumulation as a biological marker of hypoxic status but not glucose transport ability in gastric cancer. J. Exp. Clin. Cancer Res. 2013, 32, 34. [Google Scholar] [CrossRef] [PubMed]
- Yamada, A.; Oguchi, K.; Fukushima, M.; Imai, Y.; Kadoya, M. Evaluation of 2-deoxy-2-[18F]fluoro-D-glucose positron emission tomography in gastric carcinoma: Relation to histological subtypes, depth of tumor invasion, and glucose transporter-1 expression. Ann. Nucl. Med. 2006, 20, 597–604. [Google Scholar] [CrossRef]
- Alakus, H.; Batur, M.; Schmidt, M.; Drebber, U.; Baldus, S.E.; Vallböhmer, D.; Prenzel, K.L.; Metzger, R.; Bollschweiler, E.; Hölscher, A.H.; et al. Variable 18F-fluorodeoxyglucose uptake in gastric cancer is associated with different levels of GLUT-1 expression. Nucl. Med. Commun. 2010, 31, 532–538. [Google Scholar] [CrossRef]
- Yan, S.; Wang, Y.; Chen, M.; Li, G.; Fan, J. Deregulated SLC2A1 Promotes Tumor Cell Proliferation and Metastasis in Gastric Cancer. Int. J. Mol. Sci. 2015, 16, 16144–16157. [Google Scholar] [CrossRef]
- Shimada, Y.; Sawada, S.; Hojo, S.; Okumura, T.; Nagata, T.; Nomoto, K.; Tsukada, K. Glucose transporter 3 and 1 may facilitate high uptake of 18F-FDG in gastric schwannoma. Clin. Nucl. Med. 2013, 38, e417–e420. [Google Scholar] [CrossRef]
- Watanabe, Y.; Suefuji, H.; Hirose, Y.; Kaida, H.; Suzuki, G.; Uozumi, J.; Ogo, E.; Miura, M.; Takasu, K.; Miyazaki, K.; et al. 18F-FDG uptake in primary gastric malignant lymphoma correlates with glucose transporter 1 expression and histologic malignant potential. Int. J. Hematol. 2013, 97, 43–49. [Google Scholar] [CrossRef]
- Lee, J.W.; Lee, S.M.; Lee, M.S.; Shin, H.C. Role of 18F-FDG PET/CT in the prediction of gastric cancer recurrence after curative surgical resection. Eur. J. Nucl. Med. Mol. Imaging 2012, 39, 1425–1434. [Google Scholar] [CrossRef]
- Pak, K.H.; Yun, M.; Cheong, J.H.; Hyung, W.J.; Choi, S.H.; Noh, S.H. Clinical implication of FDG-PET in advanced gastric cancer with signet ring cell histology. J. Surg. Oncol. 2011, 104, 566–570. [Google Scholar] [CrossRef]
- Celli, R.; Colunga, M.; Patel, N.; Djekidel, M.; Jain, D. Metabolic Signature on 18F-FDG PET/CT, HER2 Status, and Survival in Gastric Adenocarcinomas. J. Nucl. Med. Technol. 2016, 44, 234–238. [Google Scholar] [CrossRef] [PubMed]
- Park, J.S.; Lee, N.; Beom, S.H.; Kim, H.S.; Lee, C.K.; Rha, S.Y.; Chung, H.C.; Yun, M.; Cho, A.; Jung, M. The prognostic value of volume-based parameters using 18F-FDG PET/CT in gastric cancer according to HER2 status. Gastric Cancer 2018, 21, 213–224. [Google Scholar] [CrossRef] [PubMed]
- Chung, H.W.; Lee, S.Y.; Han, H.S.; Park, H.S.; Yang, J.H.; Lee, H.H.; So, Y. Gastric cancers with microsatellite instability exhibit high fluorodeoxyglucose uptake on positron emission tomography. Gastric Cancer 2013, 16, 185–192. [Google Scholar] [CrossRef] [PubMed]
- Bae, S.W.; Berlth, F.; Jeong, K.Y.; Park, J.H.; Choi, J.H.; Park, S.H.; Suh, Y.S.; Kong, S.H.; Park, D.J.; Lee, H.J.; et al. Glucose metabolic profiles evaluated by PET associated with molecular characteristic landscape of gastric cancer. Gastric Cancer 2022, 25, 149–160. [Google Scholar] [CrossRef]
- Park, J.C.; Lee, J.H.; Cheoi, K.; Chung, H.; Yun, M.J.; Lee, H.; Shin, S.K.; Lee, S.K.; Lee, Y.C. Predictive value of pretreatment metabolic activity measured by fluorodeoxyglucose positron emission tomography in patients with metastatic advanced gastric cancer: The maximal SUV of the stomach is a prognostic factor. Eur. J. Nucl. Med. Mol. Imaging 2012, 39, 1107–1116. [Google Scholar] [CrossRef]
- Kwon, H.R.; Pahk, K.; Park, S.; Kwon, H.W.; Kim, S. Prognostic Value of Metabolic Information in Advanced Gastric Cancer Using Preoperative 18F-FDG PET/CT. Nucl. Med. Mol. Imaging 2019, 53, 386–395. [Google Scholar] [CrossRef]
- Shiraishi, N.; Inomata, M.; Osawa, N.; Yasuda, K.; Adachi, Y.; Kitano, S. Early and late recurrence after gastrectomy for gastric carcinoma. Univariate and multivariate analyses. Cancer 2000, 89, 255–261. [Google Scholar] [CrossRef]






| Characteristic | Total (n = 182) | High SUVmax (n = 90) | Low SUVmax (n = 92) | χ2-Value | p-Value |
|---|---|---|---|---|---|
| Age, years, mean ± SD | 62.43 ± 12.218 | 68.68 ± 8.694 | 56.32 ± 12.112 | 0.006 | |
| Age, n (%) | <0.001 | ||||
| <65 | 96 (52.7) | 25 (27.8) | 71 (77.2) | 44.537 | |
| ≥65 | 86 (47.3) | 65 (72.2) | 21 (22.8) | ||
| Sex, n (%) | 4.558 | 0.033 | |||
| Male | 107 (58.8) | 60 (66.7) | 47 (51.1) | ||
| Female | 75 (41.2) | 30 (33.3) | 45 (48.9) | ||
| GLUT-1 expression a, n (%) | 86.046 | <0.001 | |||
| Negative | 89 (53.9) | 14 (17.3) | 75 (89.3) | ||
| Positive | 76 (46.1) | 67 (82.7) | 9 (10.7) | ||
| TNM stage (AJCC 8th edition), n (%) | 17.541 | 0.004 | |||
| IB | 18 (9.9) | 2 (2.2) | 16 (17.4) | ||
| IIA | 35 (19.2) | 13 (14.4) | 22 (23.9) | ||
| IIB | 31 (17.0) | 17 (18.9) | 14 (15.2) | ||
| IIIA | 47 (25.8) | 28 (31.1) | 19 (20.7) | ||
| IIIB | 38 (20.9) | 21 (23.3) | 17 (18.5) | ||
| IIIC | 13 (7.1) | 9 (10.0) | 4 (4.3) | ||
| pT stage, n (%) | 11.393 | 0.003 | |||
| T2 | 41 (22.5) | 11 (12.2) | 30 (32.6) | ||
| T3 | 71 (39.0) | 42 (46.7) | 29 (31.5) | ||
| T4 | 70 (38.5) | 37 (41.1) | 33 (35.9) | ||
| pN stage, n (%) | 13.241 | 0.010 | |||
| N0 | 59 (32.4) | 18 (20.0) | 41 (44.6) | ||
| N1 | 28 (15.4) | 16 (17.8) | 12 (13.0) | ||
| N2 | 41 (22.5) | 26 (28.9) | 15 (16.3) | ||
| N3a | 37 (20.3) | 20 (22.2) | 17 (18.5) | ||
| N3b | 17 (9.3) | 10 (11.1) | 7 (7.6) | ||
| Lauren classification b, n (%) | 45.742 | <0.001 | |||
| Intestinal | 40 (23.2) | 34 (40.5) | 6 (6.8) | ||
| Diffuse | 45 (26.2) | 6 (7.1) | 39 (44.3) | ||
| Mixed | 87 (50.6) | 44 (52.4) | 43 (48.9) | ||
| Signet-ring cell carcinoma component, n (%) | 28.860 | <0.001 | |||
| No | 136 (74.7) | 83 (92.2) | 53 (57.6) | ||
| Yes | 46 (25.3) | 7 (7.8) | 39 (42.4) | ||
| Differentiation c, n (%) | 3.008 | 0.083 | |||
| Moderately differentiated | 24 (14.5) | 16 (19.3) | 8 (9.8) | ||
| Poorly differentiated | 141 (85.5) | 67 (80.7) | 74 (90.2) | ||
| MSI-H, n (%) | 25.122 | <0.001 | |||
| No | 157 (86.3) | 66 (73.3) | 91 (98.9) | ||
| Yes | 25 (13.7) | 24 (26.7) | 1 (1.1) | ||
| HER2, n (%) | 5.145 | 0.023 | |||
| Negative | 168 (92.3) | 79 (87.8) | 89 (96.7) | ||
| Positive | 14 (7.7) | 11 (12.2) | 3 (3.3) | ||
| Type of resection, n (%) | 2.676 | 0.102 | |||
| Subtotal or distal resection | 110 (60.4) | 49 (54.4) | 61 (66.3) | ||
| Total gastrectomy | 72 (39.6) | 41 (45.6) | 31 (33.7) | ||
| Adjuvant chemotherapy, n (%) | 0.547 | 0.459 | |||
| No | 90 (49.5) | 47 (52.2) | 43 (46.7) | ||
| Yes | 92 (50.5) | 43 (47.8) | 49 (53.3) | ||
| Tumor size, n (%) | 50.018 | <0.001 | |||
| <5 cm | 117 (64.3) | 35 (38.9) | 82 (89.1) | ||
| ≥5 cm | 65 (35.7) | 55 (61.1) | 10 (10.9) |
| Variables | n (%) | High SUVmax | Low SUVmax | HR (95%CI) | p-Value | p for Interaction |
|---|---|---|---|---|---|---|
| All patients | 182 (100.00) | 38/90 | 23/92 | 0.51 (0.30~0.86) | 0.011 | |
| Age | 0.717 | |||||
| <65 | 96 (52.75) | 10/25 | 16/71 | 0.52 (0.24~1.14) | 0.104 | |
| ≥65 | 86 (47.25) | 28/65 | 7/21 | 0.62 (0.27~1.44) | 0.267 | |
| Sex | 0.259 | |||||
| Female | 75 (41.21) | 11/30 | 13/45 | 0.73 (0.33~1.64) | 0.448 | |
| Male | 107 (58.79) | 27/60 | 10/47 | 0.39 (0.19~0.80) | 0.011 | |
| Stage | 0.005 | |||||
| IB/IIA | 53 (29.12) | 7/15 | 3/38 | 0.10 (0.02~0.39) | 0.001 | |
| IIB/III | 129 (70.88) | 31/75 | 20/54 | 0.89 (0.51~1.56) | 0.682 | |
| T stage | 0.674 | |||||
| T2 | 41 (22.53) | 4/11 | 6/30 | 0.43 (0.12~1.54) | 0.195 | |
| T4/T3 | 141 (77.47) | 34/79 | 17/62 | 0.58 (0.32~1.03) | 0.063 | |
| Lymph node metastasis | 0.066 | |||||
| No | 59 (32.42) | 8/18 | 6/41 | 0.24 (0.08~0.69) | 0.008 | |
| Yes | 123 (67.58) | 30/72 | 17/51 | 0.76 (0.42~1.38) | 0.363 | |
| Lauren classification | 0.909 | |||||
| Diffuse | 45 (26.16) | 3/6 | 11/39 | 0.53 (0.15~1.90) | 0.326 | |
| Intestinal | 40 (23.26) | 11/34 | 1/6 | 0.44 (0.06~3.42) | 0.433 | |
| Mixed | 87 (50.58) | 23/44 | 10/43 | 0.33 (0.16~0.70) | 0.004 | |
| SRCC | 0.475 | |||||
| No | 136 (74.73) | 33/83 | 12/53 | 0.47 (0.24~0.91) | 0.026 | |
| Yes | 46 (25.27) | 5/7 | 11/39 | 0.32 (0.11~0.93) | 0.037 | |
| Differentiation | 0.639 | |||||
| Low | 141 (85.45) | 30/67 | 21/74 | 0.55 (0.31~0.96) | 0.034 | |
| Mid | 24 (14.55) | 5/16 | 1/8 | 0.33 (0.04~2.86) | 0.316 | |
| MSI-H | 0.996 | |||||
| No | 157 (86.26) | 28/66 | 23/91 | 0.53 (0.30~0.92) | 0.023 | |
| Yes | 25 (13.74) | 10/24 | 0/1 | 0.00 (0.00~Inf) | 0.999 | |
| HER2 | 0.004 | |||||
| Negative | 168 (92.31) | 34/79 | 20/89 | 0.44 (0.25~0.76) | 0.003 | |
| Positive | 14 (7.69) | 4/11 | 3/3 | 4.52 (0.98~20.80) | 0.053 | |
| Type of resection | 0.362 | |||||
| Subtotal or distal resection | 110 (60.44) | 18/49 | 12/61 | 0.44 (0.21~0.92) | 0.030 | |
| Total gastrectomy | 72 (39.56) | 20/41 | 11/31 | 0.70 (0.34~1.46) | 0.344 | |
| Adjuvant chemotherapy | 0.385 | |||||
| No | 90 (49.45) | 18/47 | 7/43 | 0.36 (0.15~0.86) | 0.022 | |
| Yes | 92 (50.55) | 20/43 | 16/49 | 0.60 (0.31~1.17) | 0.133 | |
| Tumor size | 0.043 | |||||
| <5 cm | 117 (64.29) | 16/35 | 18/82 | 0.39 (0.20~0.78) | 0.007 | |
| ≥5 cm | 65 (35.71) | 22/55 | 5/10 | 1.34 (0.51~3.55) | 0.553 |
| Variable | Univariate Analysis | Multivariate Analysis | ||
|---|---|---|---|---|
| HR (95%CI) | p-Value | HR (95%CI) | p-Value | |
| Age | 0.051 | |||
| <65 | 1 | |||
| ≥65 | 1.66 (0.998~2.760) | |||
| SUVmax | 0.011 | 0.042 | ||
| High | 1 | 1 | ||
| Low | 0.509 (0.303~0.856) | 0.565 (0.326~0.979) | ||
| Sex | 0.634 | |||
| Male | 1 | |||
| Female | 0.883 (0.528~1.475) | |||
| TNM stage (AJCC 8th edition) | 0.001 | 0.036 | ||
| I/II | 1 | 1 | ||
| III | 2.565 (1.475~4.461) | 3.049 (1.076~8.639) | ||
| pT stage | 0.114 | |||
| T2 | 1 | |||
| T3/T4 | 1.731 (0.876~3.417) | |||
| Lymph node metastasis | 0.039 | 0.259 | ||
| No | 1 | 1 | ||
| Yes | 1.877 (1.032~3.415) | 0.522 (0.169~1.613) | ||
| Lauren classification | 0.502 | |||
| Intestinal | 1 | |||
| Non-intestinal | 1.243 (0.659~2.343) | |||
| SRCC component | 0.784 | |||
| No | 1 | |||
| Yes | 1.083 (0.612~1.918) | |||
| Differentiation | 0.308 | |||
| Moderately differentiated | 1 | |||
| Poorly differentiated | 1.552 (0.666~3.618) | |||
| MSI-H | 0.277 | |||
| No | 1 | |||
| Yes | 1.456 (0.739~2.869) | |||
| HER2 | ||||
| Negative | 1 | 0.204 | ||
| Positive | 1.666 (0.758~3.664) | |||
| Type of resection | 0.020 | 0.243 | ||
| Subtotal or distal resection | 1 | 1 | ||
| Total gastrectomy | 1.833 (1.102~3.048) | 1.369 (0.808~2.319) | ||
| Adjuvant chemotherapy | 0.041 | 0.060 | ||
| No | 1 | 1 | ||
| Yes | 1.710 (1.023~2.857) | 1.654 (0.979~2.792) | ||
| Tumor size | 0.052 | |||
| <5 cm | 1 | |||
| ≥5 cm | 1.650 (0.995~2.737) | |||
Disclaimer/Publisher’s Note: The statements, opinions and data contained in all publications are solely those of the individual author(s) and contributor(s) and not of MDPI and/or the editor(s). MDPI and/or the editor(s) disclaim responsibility for any injury to people or property resulting from any ideas, methods, instructions or products referred to in the content. |
© 2025 by the authors. Licensee MDPI, Basel, Switzerland. This article is an open access article distributed under the terms and conditions of the Creative Commons Attribution (CC BY) license (https://creativecommons.org/licenses/by/4.0/).
Share and Cite
Sun, Y.; Sun, X.; Xiong, R.; Li, C.; Zhou, Y.; Jiang, W.; Wang, H.; Gao, X. Predictive Value of Preoperative Maximum Standardized Uptake Value (SUVmax) in Patients with Advanced Gastric Cancer. Biomedicines 2025, 13, 554. https://doi.org/10.3390/biomedicines13030554
Sun Y, Sun X, Xiong R, Li C, Zhou Y, Jiang W, Wang H, Gao X. Predictive Value of Preoperative Maximum Standardized Uptake Value (SUVmax) in Patients with Advanced Gastric Cancer. Biomedicines. 2025; 13(3):554. https://doi.org/10.3390/biomedicines13030554
Chicago/Turabian StyleSun, Yinwen, Xiangfei Sun, Ran Xiong, Chao Li, Yuning Zhou, Wenchao Jiang, Hongshan Wang, and Xiaodong Gao. 2025. "Predictive Value of Preoperative Maximum Standardized Uptake Value (SUVmax) in Patients with Advanced Gastric Cancer" Biomedicines 13, no. 3: 554. https://doi.org/10.3390/biomedicines13030554
APA StyleSun, Y., Sun, X., Xiong, R., Li, C., Zhou, Y., Jiang, W., Wang, H., & Gao, X. (2025). Predictive Value of Preoperative Maximum Standardized Uptake Value (SUVmax) in Patients with Advanced Gastric Cancer. Biomedicines, 13(3), 554. https://doi.org/10.3390/biomedicines13030554
