Deep Learning in Glaucoma Detection and Progression Prediction: A Systematic Review and Meta-Analysis
Abstract
1. Introduction
2. Materials and Methods
2.1. Protocol and Registration
2.2. Search Strategy for Identifying Studies
2.3. Eligibility Criteria and Study Selection
2.4. Data Collection
2.5. Risk of Bias Assessment
2.6. Analysis and Data Synthesis
3. Results
3.1. Search Results
3.2. Study Characteristics
3.2.1. Risk of Bias and Applicability of Included Studies
3.2.2. Publication Bias
3.3. Overall Performance of DL Using Fundus Photography in Glaucoma Detection
3.4. Overall Performance of DL Using OCT in Glaucoma Detection
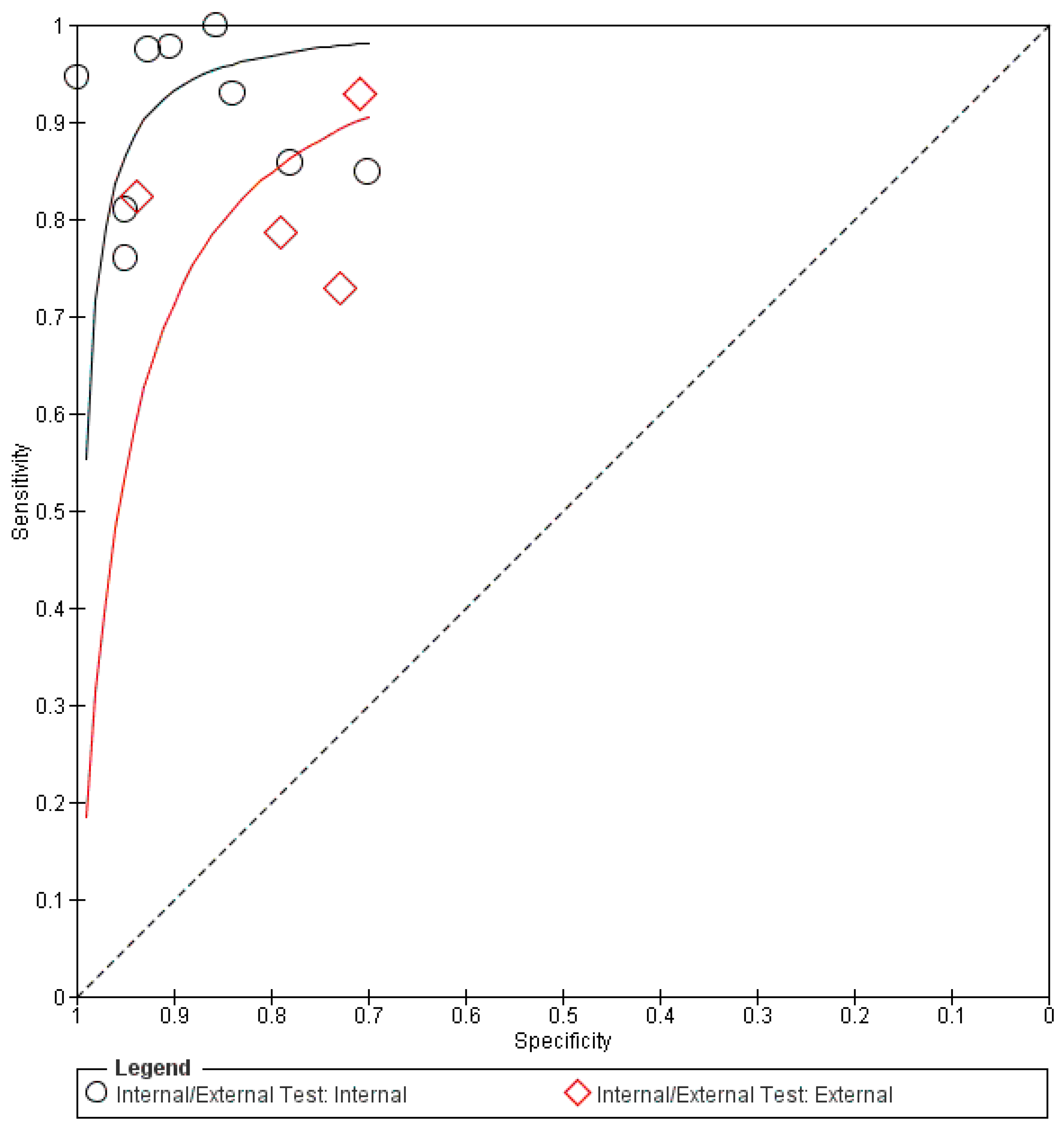
3.5. Overall Performance of DL Using Fundus Photography/OCT in Glaucoma Progression Prediction
3.6. Comparative Analyses Between Performance Metrics (Sensitivity, Specificity, Positive and Negative Likelihood Ratios, and AUROC)
4. Discussion
Supplementary Materials
Author Contributions
Funding
Institutional Review Board Statement
Informed Consent Statement
Data Availability Statement
Acknowledgments
Conflicts of Interest
References
- Allison, K.; Patel, D.; Alabi, O. Epidemiology of Glaucoma: The Past, Present, and Predictions for the Future. Cureus 2020, 12, e11686. [Google Scholar] [CrossRef]
- Jonas, J.B.; Aung, T.; Bourne, R.R.; Bron, A.M.; Ritch, R.; Panda-Jonas, S. Glaucoma. Lancet 2017, 390, 2183–2193. [Google Scholar] [CrossRef] [PubMed]
- Killer, H.E.; Pircher, A. Normal tension glaucoma: Review of current understanding and mechanisms of the pathogenesis. Eye 2018, 32, 924–930. [Google Scholar] [CrossRef] [PubMed]
- Roberti, G.; Michelessi, M.; Tanga, L.; Belfonte, L.; Del Grande, L.M.; Bruno, M.; Oddone, F. Glaucoma Progression Diagnosis: The Agreement between Clinical Judgment and Statistical Software. J. Clin. Med. 2022, 11, 5508. [Google Scholar] [CrossRef]
- Chou, R.; Selph, S.; Blazina, I.; Bougatsos, C.; Jungbauer, R.; Fu, R.; Grusing, S.; Jonas, D.E.; Tehrani, S. Screening for Glaucoma in Adults: Updated Evidence Report and Systematic Review for the US Preventive Services Task Force. JAMA 2022, 327, 1998–2012. [Google Scholar] [CrossRef]
- Sarker, I.H. Deep Learning: A Comprehensive Overview on Techniques, Taxonomy, Applications and Research Directions. SN Comput. Sci. 2021, 2, 420. [Google Scholar] [CrossRef] [PubMed]
- Gutierrez, A.; Chen, T.C. Artificial intelligence in glaucoma: Posterior segment optical coherence tomography. Curr. Opin. Ophthalmol. 2023, 34, 245–254. [Google Scholar] [CrossRef] [PubMed]
- Akter, N.; Fletcher, J.; Perry, S.; Simunovic, M.P.; Briggs, N.; Roy, M. Glaucoma diagnosis using multi-feature analysis and a deep learning technique. Sci. Rep. 2022, 12, 8064. [Google Scholar] [CrossRef]
- Dixit, A.; Yohannan, J.; Boland, M.V. Assessing Glaucoma Progression Using Machine Learning Trained on Longitudinal Visual Field and Clinical Data. Ophthalmology 2021, 128, 1016–1026. [Google Scholar] [CrossRef] [PubMed]
- Chaurasia, A.K.; Greatbatch, C.J.; Hewitt, A.W. Diagnostic Accuracy of Artificial Intelligence in Glaucoma Screening and Clinical Practice. J. Glaucoma 2022, 31, 285–299. [Google Scholar] [CrossRef]
- Mursch-Edlmayr, A.S.; Ng, W.S.; Diniz-Filho, A.; Sousa, D.C.; Arnold, L.; Schlenker, M.B.; Duenas-Angeles, K.; Keane, P.A.; Crowston, J.G.; Jayaram, H. Artificial Intelligence Algorithms to Diagnose Glaucoma and Detect Glaucoma Progression: Translation to Clinical Practice. Transl. Vis. Sci. Technol. 2020, 9, 55. [Google Scholar] [CrossRef] [PubMed]
- Tonti, E.; Tonti, S.; Mancini, F.; Bonini, C.; Spadea, L.; D’Esposito, F.; Gagliano, C.; Musa, M.; Zeppieri, M. Artificial Intelligence and Advanced Technology in Glaucoma: A Review. J. Pers. Med. 2024, 14, 1062. [Google Scholar] [CrossRef]
- Jan, C.; He, M.; Vingrys, A.; Zhu, Z.; Stafford, R.S. Diagnosing glaucoma in primary eye care and the role of Artificial Intelligence applications for reducing the prevalence of undetected glaucoma in Australia. Eye 2024, 38, 2003–2013. [Google Scholar] [CrossRef] [PubMed]
- Lemij, H.G.; Vente, C.; Sanchez, C.I.; Vermeer, K.A. Characteristics of a Large, Labeled Data Set for the Training of Artificial Intelligence for Glaucoma Screening with Fundus Photographs. Ophthalmol. Sci. 2023, 3, 100300. [Google Scholar] [CrossRef]
- Chen, J.S.; Lin, W.C.; Yang, S.; Chiang, M.F.; Hribar, M.R. Development of an Open-Source Annotated Glaucoma Medication Dataset From Clinical Notes in the Electronic Health Record. Transl. Vis. Sci. Technol. 2022, 11, 20. [Google Scholar] [CrossRef] [PubMed]
- Wu, J.H.; Nishida, T.; Weinreb, R.N.; Lin, J.W. Performances of Machine Learning in Detecting Glaucoma Using Fundus and Retinal Optical Coherence Tomography Images: A Meta-Analysis. Am. J. Ophthalmol. 2022, 237, 1–12. [Google Scholar] [CrossRef]
- Shi, N.N.; Li, J.; Liu, G.H.; Cao, M.F. Artificial intelligence for the detection of glaucoma with SD-OCT images: A systematic review and Meta-analysis. Int. J. Ophthalmol. 2024, 17, 408–419. [Google Scholar] [CrossRef] [PubMed]
- McInnes, M.D.F.; Moher, D.; Thombs, B.D.; McGrath, T.A.; Bossuyt, P.M.; the PRISMA-DTA Group; Clifford, T.; Cohen, J.F.; Deeks, J.J.; Gatsonis, C.; et al. Preferred Reporting Items for a Systematic Review and Meta-analysis of Diagnostic Test Accuracy Studies: The PRISMA-DTA Statement. JAMA 2018, 319, 388–396. [Google Scholar] [CrossRef]
- Al-Aswad, L.A.; Kapoor, R.; Chu, C.K.; Walters, S.; Gong, D.; Garg, A.; Gopal, K.; Patel, V.; Sameer, T.; Rogers, T.W.; et al. Evaluation of a Deep Learning System For Identifying Glaucomatous Optic Neuropathy Based on Color Fundus Photographs. J. Glaucoma 2019, 28, 1029–1034. [Google Scholar] [CrossRef]
- Asaoka, R.; Murata, H.; Hirasawa, K.; Fujino, Y.; Matsuura, M.; Miki, A.; Kanamoto, T.; Ikeda, Y.; Mori, K.; Iwase, A.; et al. Using Deep Learning and Transfer Learning to Accurately Diagnose Early-Onset Glaucoma From Macular Optical Coherence Tomography Images. Am. J. Ophthalmol. 2019, 198, 136–145. [Google Scholar] [CrossRef] [PubMed]
- Bajwa, M.N.; Malik, M.I.; Siddiqui, S.A.; Dengel, A.; Shafait, F.; Neumeier, W.; Ahmed, S. Two-stage framework for optic disc localization and glaucoma classification in retinal fundus images using deep learning. BMC Med. Inform. Decis. Mak. 2019, 19, 136. [Google Scholar] [CrossRef]
- Chakrabarty, L.; Joshi, G.D.; Chakravarty, A.; Raman, G.V.; Krishnadas, S.R.; Sivaswamy, J. Automated Detection of Glaucoma From Topographic Features of the Optic Nerve Head in Color Fundus Photographs. J. Glaucoma 2016, 25, 590–597. [Google Scholar] [CrossRef]
- Chang, J.; Lee, J.; Ha, A.; Han, Y.S.; Bak, E.; Choi, S.; Yun, J.M.; Kang, U.; Shin, I.H.; Shin, J.Y.; et al. Explaining the Rationale of Deep Learning Glaucoma Decisions with Adversarial Examples. Ophthalmology 2021, 128, 78–88. [Google Scholar] [CrossRef]
- Christopher, M.; Belghith, A.; Bowd, C.; Proudfoot, J.A.; Goldbaum, M.H.; Weinreb, R.N.; Girkin, C.A.; Liebmann, J.M.; Zangwill, L.M. Performance of Deep Learning Architectures and Transfer Learning for Detecting Glaucomatous Optic Neuropathy in Fundus Photographs. Sci. Rep. 2018, 8, 16685. [Google Scholar] [CrossRef]
- Civit-Masot, J.M.; Domínguez-Morales, M.J.; Vicente-Díaz, S.; Civit, A. Dual Machine-Learning System to Aid Glaucoma Diagnosis Using Disc and Cup Feature Extraction. IEEE Access 2020, 8, 127519–127529. [Google Scholar] [CrossRef]
- Diaz-Pinto, A.; Morales, S.; Naranjo, V.; Kohler, T.; Mossi, J.M.; Navea, A. CNNs for automatic glaucoma assessment using fundus images: An extensive validation. BioMed. Eng. OnLine 2019, 18, 29. [Google Scholar] [CrossRef] [PubMed]
- Fu, H.; Li, F.; Xu, Y.; Liao, J.; Xiong, J.; Shen, J.; Liu, J.; Zhang, X.; for iChallenge-GON study group. A Retrospective Comparison of Deep Learning to Manual Annotations for Optic Disc and Optic Cup Segmentation in Fundus Photographs. Transl. Vis. Sci. Technol. 2020, 9, 33. [Google Scholar] [CrossRef] [PubMed]
- Gomez-Valverde, J.J.; Anton, A.; Fatti, G.; Liefers, B.; Herranz, A.; Santos, A.; Sanchez, C.I.; Ledesma-Carbayo, M.J. Automatic glaucoma classification using color fundus images based on convolutional neural networks and transfer learning. Biomed. Opt. Express 2019, 10, 892–913. [Google Scholar] [CrossRef]
- Hemelings, R.; Elen, B.; Schuster, A.K.; Blaschko, M.B.; Barbosa-Breda, J.; Hujanen, P.; Junglas, A.; Nickels, S.; White, A.; Pfeiffer, N.; et al. A generalizable deep learning regression model for automated glaucoma screening from fundus images. npj Digit. Med. 2023, 6, 112. [Google Scholar] [CrossRef] [PubMed]
- Kashyap, R.; Nair, R.; Gangadharan, S.M.P.; Botto-Tobar, M.; Farooq, S.; Rizwan, A. Glaucoma Detection and Classification Using Improved U-Net Deep Learning Model. Healthcare 2022, 10, 2497. [Google Scholar] [CrossRef] [PubMed]
- Kausu, T.R.; Gopi, V.P.; Khan; Wahid, A.; Doma, W.; Niwas, S.I. Combination of clinical and multiresolution features for glaucoma detection and its classification using fundus images. Biocybern. Biomed. Eng. 2018, 38, 329–341. [Google Scholar] [CrossRef]
- Kim, K.E.; Kim, J.M.; Song, J.E.; Kee, C.; Han, J.C.; Hyun, S.H. Development and Validation of a Deep Learning System for Diagnosing Glaucoma Using Optical Coherence Tomography. J. Clin. Med. 2020, 9, 2167. [Google Scholar] [CrossRef] [PubMed]
- Ko, Y.C.; Wey, S.Y.; Chen, W.T.; Chang, Y.F.; Chen, M.J.; Chiou, S.H.; Liu, C.J.; Lee, C.Y. Deep learning assisted detection of glaucomatous optic neuropathy and potential designs for a generalizable model. PLoS ONE 2020, 15, e0233079. [Google Scholar] [CrossRef] [PubMed]
- Lee, J.; Kim, Y.; Kim, J.H.; Park, K.H. Screening Glaucoma With Red-free Fundus Photography Using Deep Learning Classifier and Polar Transformation. J. Glaucoma 2019, 28, 258–264. [Google Scholar] [CrossRef]
- Lee, J.; Kim, Y.K.; Park, K.H.; Jeoung, J.W. Diagnosing Glaucoma with Spectral-Domain Optical Coherence Tomography Using Deep Learning Classifier. J. Glaucoma 2020, 29, 287–294. [Google Scholar] [CrossRef]
- Lee, J.; Kim, J.S.; Lee, H.J.; Kim, S.J.; Kim, Y.K.; Park, K.H.; Jeoung, J.W. Discriminating glaucomatous and compressive optic neuropathy on spectral-domain optical coherence tomography with deep learning classifier. Br. J. Ophthalmol. 2020, 104, 1717–1723. [Google Scholar] [CrossRef] [PubMed]
- Li, F.; Su, Y.; Lin, F.; Li, Z.; Song, Y.; Nie, S.; Xu, J.; Chen, L.; Chen, S.; Li, H.; et al. A deep-learning system predicts glaucoma incidence and progression using retinal photographs. J. Clin. Investig. 2022, 132, e157968. [Google Scholar] [CrossRef]
- Li, Z.; Guo, C.; Lin, D.; Nie, D.; Zhu, Y.; Chen, C.; Zhao, L.; Wang, J.; Zhang, X.; Dongye, M.; et al. Deep learning for automated glaucomatous optic neuropathy detection from ultra-widefield fundus images. Br. J. Ophthalmol. 2021, 105, 1548–1554. [Google Scholar] [CrossRef] [PubMed]
- Li, L.; Xu, M.; Liu, H.; Li, Y.; Wang, X.; Jiang, L. A Large-Scale Database and a CNN Model for Attention-Based Glaucoma Detection. IEEE Trans. Med. Imaging 2020, 39, 413–424. [Google Scholar] [CrossRef] [PubMed]
- Li, F.; Yan, L.; Wang, Y.; Shi, J.; Chen, H.; Zhang, X.; Jiang, M.; Wu, Z.; Zhou, K. Deep learning-based automated detection of glaucomatous optic neuropathy on color fundus photographs. Graefe’s Arch. Clin. Exp. Ophthalmol. 2020, 258, 851–867. [Google Scholar] [CrossRef]
- Lin, M.; Hou, B.; Liu, L.; Gordon, M.; Kass, M.; Wang, F.; Van Tassel, S.H.; Peng, Y. Automated diagnosing primary open-angle glaucoma from fundus image by simulating human’s grading with deep learning. Sci. Rep. 2022, 12, 14080. [Google Scholar] [CrossRef] [PubMed]
- Liu, S.; Graham, S.L.; Schulz, A.; Kalloniatis, M.; Zangerl, B.; Cai, W.; Gao, Y.; Chua, B.; Arvind, H.; Grigg, J.; et al. A Deep Learning-Based Algorithm Identifies Glaucomatous Discs Using Monoscopic Fundus Photographs. Ophthalmol. Glaucoma 2018, 1, 15–22. [Google Scholar] [CrossRef]
- Liu, H.; Li, L.; Wormstone, I.M.; Qiao, C.; Zhang, C.; Liu, P.; Li, S.; Wang, H.; Mou, D.; Pang, R.; et al. Development and Validation of a Deep Learning System to Detect Glaucomatous Optic Neuropathy Using Fundus Photographs. JAMA Ophthalmol. 2019, 137, 1353–1360. [Google Scholar] [CrossRef] [PubMed]
- Liu, S.; Hong, J.; Lu, X.; Jia, X.; Lin, Z.; Zhou, Y.; Liu, Y.; Zhang, H. Joint optic disc and cup segmentation using semi-supervised conditional GANs. Comput. Biol. Med. 2019, 115, 103485. [Google Scholar] [CrossRef]
- MacCormick, I.J.C.; Williams, B.M.; Zheng, Y.; Li, K.; Al-Bander, B.; Czanner, S.; Cheeseman, R.; Willoughby, C.E.; Brown, E.N.; Spaeth, G.L.; et al. Accurate, fast, data efficient and interpretable glaucoma diagnosis with automated spatial analysis of the whole cup to disc profile. PLoS ONE 2019, 14, e0209409. [Google Scholar] [CrossRef]
- Martins, J.; Cardoso, J.S.; Soares, F. Offline computer-aided diagnosis for Glaucoma detection using fundus images targeted at mobile devices. Comput. Methods Programs Biomed. 2020, 192, 105341. [Google Scholar] [CrossRef] [PubMed]
- Medeiros, F.A.; Jammal, A.A.; Thompson, A.C. From Machine to Machine: An OCT-Trained Deep Learning Algorithm for Objective Quantification of Glaucomatous Damage in Fundus Photographs. Ophthalmology 2019, 126, 513–521. [Google Scholar] [CrossRef] [PubMed]
- Noury, E.; Mannil, S.S.; Chang, R.T.; Ran, A.R.; Cheung, C.Y.; Thapa, S.S.; Rao, H.L.; Dasari, S.; Riyazuddin, M.; Chang, D.; et al. Deep Learning for Glaucoma Detection and Identification of Novel Diagnostic Areas in Diverse Real-World Datasets. Transl. Vis. Sci. Technol. 2022, 11, 11. [Google Scholar] [CrossRef] [PubMed]
- Phene, S.; Dunn, R.C.; Hammel, N.; Liu, Y.; Krause, J.; Kitade, N.; Schaekermann, M.; Sayres, R.; Wu, D.J.; Bora, A.; et al. Deep Learning and Glaucoma Specialists: The Relative Importance of Optic Disc Features to Predict Glaucoma Referral in Fundus Photographs. Ophthalmology 2019, 126, 1627–1639. [Google Scholar] [CrossRef]
- Raghavendra, U.; Gudigar, A.; Bhandary, S.V.; Rao, T.N.; Ciaccio, E.J.; Acharya, U.R. A Two Layer Sparse Autoencoder for Glaucoma Identification with Fundus Images. J. Med. Syst. 2019, 43, 299. [Google Scholar] [CrossRef] [PubMed]
- Ran, A.R.; Cheung, C.Y.; Wang, X.; Chen, H.; Luo, L.Y.; Chan, P.P.; Wong, M.O.M.; Chang, R.T.; Mannil, S.S.; Young, A.L.; et al. Detection of glaucomatous optic neuropathy with spectral-domain optical coherence tomography: A retrospective training and validation deep-learning analysis. Lancet Digit. Health 2019, 1, e172–e182. [Google Scholar] [CrossRef]
- Rogers, T.W.; Jaccard, N.; Carbonaro, F.; Lemij, H.G.; Vermeer, K.A.; Reus, N.J.; Trikha, S. Evaluation of an AI system for the automated detection of glaucoma from stereoscopic optic disc photographs: The European Optic Disc Assessment Study. Eye 2019, 33, 1791–1797. [Google Scholar] [CrossRef] [PubMed]
- Shibata, N.; Tanito, M.; Mitsuhashi, K.; Fujino, Y.; Matsuura, M.; Murata, H.; Asaoka, R. Development of a deep residual learning algorithm to screen for glaucoma from fundus photography. Sci. Rep. 2018, 8, 14665. [Google Scholar] [CrossRef] [PubMed]
- Singh, L.K.; Pooja; Garg, H.; Khanna, M. An Artificial Intelligence-Based Smart System for Early Glaucoma Recognition Using OCT Images. Int. J. E-Health Med. Commun. 2021, 12, 32–59. [Google Scholar] [CrossRef]
- Soorya, M.; Issac, A.; Dutta, M.K. Automated Framework for Screening of Glaucoma Through Cloud Computing. J. Med. Syst. 2019, 43, 136. [Google Scholar] [CrossRef] [PubMed]
- Thompson, A.C.; Jammal, A.A.; Berchuck, S.I.; Mariottoni, E.B.; Medeiros, F.A. Assessment of a Segmentation-Free Deep Learning Algorithm for Diagnosing Glaucoma From Optical Coherence Tomography Scans. JAMA Ophthalmol. 2020, 138, 333–339. [Google Scholar] [CrossRef]
- Wu, C.W.; Chen, H.Y.; Chen, J.Y.; Lee, C.H. Glaucoma Detection Using Support Vector Machine Method Based on Spectralis OCT. Diagnostics 2022, 12, 391. [Google Scholar] [CrossRef] [PubMed]
- Xu, Y.; Hu, M.; Liu, H.; Yang, H.; Wang, H.; Lu, S.; Liang, T.; Li, X.; Xu, M.; Li, L.; et al. A hierarchical deep learning approach with transparency and interpretability based on small samples for glaucoma diagnosis. npj Digit. Med. 2021, 4, 48. [Google Scholar] [CrossRef]
- Yang, H.K.; Kim, Y.J.; Sung, J.Y.; Kim, D.H.; Kim, K.G.; Hwang, J.M. Efficacy for Differentiating Nonglaucomatous Versus Glaucomatous Optic Neuropathy Using Deep Learning Systems. Am. J. Ophthalmol. 2020, 216, 140–146. [Google Scholar] [CrossRef]
- Zheng, C.; Xie, X.; Huang, L.; Chen, B.; Yang, J.; Lu, J.; Qiao, T.; Fan, Z.; Zhang, M. Detecting glaucoma based on spectral domain optical coherence tomography imaging of peripapillary retinal nerve fiber layer: A comparison study between hand-crafted features and deep learning model. Graefes Arch. Clin. Exp. Ophthalmol. 2020, 258, 577–585. [Google Scholar] [CrossRef]
- Brown, A.; Cousins, H.; Cousins, C.; Esquenazi, K.; Elze, T.; Harris, A.; Filipowicz, A.; Barna, L.; Yonwook, K.; Vinod, K.; et al. Deep Learning for Localized Detection of Optic Disc Hemorrhages. Am. J. Ophthalmol. 2023, 255, 161–169. [Google Scholar] [CrossRef] [PubMed]
- Ha, A.; Sun, S.; Kim, Y.K.; Jeoung, J.W.; Kim, H.C.; Park, K.H. Deep-learning-based prediction of glaucoma conversion in normotensive glaucoma suspects. Br. J. Ophthalmol. 2024, 108, 927–932. [Google Scholar] [CrossRef]
- Hussain, S.; Chua, J.; Wong, D.; Lo, J.; Kadziauskiene, A.; Asoklis, R.; Barbastathis, G.; Schmetterer, L.; Yong, L. Predicting glaucoma progression using deep learning framework guided by generative algorithm. Sci. Rep. 2023, 13, 19960. [Google Scholar] [CrossRef]
- Mandal, S.; Jammal, A.A.; Malek, D.; Medeiros, F.A. Progression or Aging? A Deep Learning Approach for Distinguishing Glaucoma Progression From Age-Related Changes in OCT Scans. Am. J. Ophthalmol. 2024, 266, 46–55. [Google Scholar] [CrossRef] [PubMed]
- Mariottoni, E.B.; Datta, S.; Shigueoka, L.S.; Jammal, A.A.; Tavares, I.M.; Henao, R.; Carin, L.; Medeiros, F.A. Deep Learning-Assisted Detection of Glaucoma Progression in Spectral-Domain OCT. Ophthalmol. Glaucoma 2023, 6, 228–238. [Google Scholar] [CrossRef] [PubMed]
- Medeiros, F.A.; Jammal, A.A.; Mariottoni, E.B. Detection of Progressive Glaucomatous Optic Nerve Damage on Fundus Photographs with Deep Learning. Ophthalmology 2021, 128, 383–392. [Google Scholar] [CrossRef]
- Murtagh, P.; Greene, G.; O’Brien, C. Current applications of machine learning in the screening and diagnosis of glaucoma: A systematic review and Meta-analysis. Int. J. Ophthalmol. 2020, 13, 149–162. [Google Scholar] [CrossRef]
- Ran, A.R.; Tham, C.C.; Chan, P.P.; Cheng, C.Y.; Tham, Y.C.; Rim, T.H.; Cheung, C.Y. Deep learning in glaucoma with optical coherence tomography: A review. Eye 2021, 35, 188–201. [Google Scholar] [CrossRef]
- Mirzania, D.; Thompson, A.C.; Muir, K.W. Applications of deep learning in detection of glaucoma: A systematic review. Eur. J. Ophthalmol. 2021, 31, 1618–1642. [Google Scholar] [CrossRef]
- Thakur, S.; Dinh, L.L.; Lavanya, R.; Quek, T.C.; Liu, Y.; Cheng, C.Y. Use of artificial intelligence in forecasting glaucoma progression. Taiwan J. Ophthalmol. 2023, 13, 168–183. [Google Scholar] [CrossRef] [PubMed]
- Cascarano, A.; Mur-Petit, J.; Hernández-González, J.; Camacho, M.; de Toro Eadie, N.; Gkontra, P.; Chadeau-Hyam, M.; Vitrià, J.; Lekadir, K. Machine and deep learning for longitudinal biomedical data: A review of methods and applications. Artif. Intell. Rev. 2023, 56 (Suppl. S2), 1711–1771. [Google Scholar] [CrossRef]
- Thakur, A.; Goldbaum, M.; Yousefi, S. Predicting Glaucoma before Onset Using Deep Learning. Ophthalmol. Glaucoma 2020, 3, 262–268. [Google Scholar] [CrossRef] [PubMed]
- Zhang, L.; Tang, L.; Xia, M.; Cao, G. The application of artificial intelligence in glaucoma diagnosis and prediction. Front. Cell Dev. Biol. 2023, 11, 1173094. [Google Scholar] [CrossRef] [PubMed]
- Lee, J.; Kim, Y.W.; Ha, A.; Kim, Y.K.; Park, K.H.; Choi, H.J.; Jeoung, J.W. Estimating visual field loss from monoscopic optic disc photography using deep learning model. Sci. Rep. 2020, 10, 21052. [Google Scholar] [CrossRef] [PubMed]
- Xu, L.; Asaoka, R.; Kiwaki, T.; Murata, H.; Fujino, Y.; Matsuura, M.; Hashimoto, Y.; Asano, S.; Miki, A.; Mori, K.; et al. Predicting the Glaucomatous Central 10-Degree Visual Field From Optical Coherence Tomography Using Deep Learning and Tensor Regression. Am. J. Ophthalmol. 2020, 218, 304–313. [Google Scholar] [CrossRef]
- Shin, J.; Kim, S.; Kim, J.; Park, K. Visual Field Inference From Optical Coherence Tomography Using Deep Learning Algorithms: A Comparison Between Devices. Transl. Vis. Sci. Technol. 2021, 10, 4. [Google Scholar] [CrossRef] [PubMed]
- Kim, D.; Seo, S.B.; Park, S.J.; Cho, H.K. Deep learning visual field global index prediction with optical coherence tomography parameters in glaucoma patients. Sci. Rep. 2023, 13, 18304. [Google Scholar] [CrossRef] [PubMed]
- Vinciguerra, R.; Rehman, S.; Vallabh, N.A.; Batterbury, M.; Czanner, G.; Choudhary, A.; Cheeseman, R.; Elsheikh, A.; Willoughby, C.E. Corneal biomechanics and biomechanically corrected intraocular pressure in primary open-angle glaucoma, ocular hypertension and controls. Br. J. Ophthalmol. 2020, 104, 121–126. [Google Scholar] [CrossRef]
- Kaushik, S.; Pandav, S.S.; Banger, A.; Aggarwal, K.; Gupta, A. Relationship between corneal biomechanical properties, central corneal thickness, and intraocular pressure across the spectrum of glaucoma. Am. J. Ophthalmol. 2012, 153, 840–849.e2. [Google Scholar] [CrossRef]
- Wang, S.; He, X.; Jian, Z.; Li, J.; Xu, C.; Chen, Y.; Liu, Y.; Chen, H.; Huang, C.; Hu, J.; et al. Advances and prospects of multi-modal ophthalmic artificial intelligence based on deep learning: A review. Eye Vis. 2024, 11, 38. [Google Scholar] [CrossRef]
- Kihara, Y.; Montesano, G.; Chen, A.; Amerasinghe, N.; Dimitriou, C.; Jacob, A.; Chabi, A.; Crabb, D.P.; Lee, A.Y. Policy-Driven, Multimodal Deep Learning for Predicting Visual Fields from the Optic Disc and OCT Imaging. Ophthalmology 2022, 129, 781–791. [Google Scholar] [CrossRef] [PubMed]
- Beam, A.L.; Kohane, I.S. Big Data and Machine Learning in Health Care. JAMA 2018, 319, 1317–1318. [Google Scholar] [CrossRef]
- Van Calster, B.; Steyerberg, E.W.; Wynants, L.; van Smeden, M. There is no such thing as a validated prediction model. BMC Med. 2023, 21, 70. [Google Scholar] [CrossRef] [PubMed]
- Montesinos López, O.A.; Montesinos López, A.; Crossa, J. Chapter 4, Overfitting, Model Tuning, and Evaluation of Prediction Performance. In Multivariate Statistical Machine Learning Methods for Genomic Prediction; Springer: Cham, Switzerland, 2022. [Google Scholar]
- Arora, A.; Alderman, J.E.; Palmer, J.; Ganapathi, S.; Laws, E.; McCradden, M.D.; Oakden-Rayner, L.; Pfohl, S.R.; Ghassemi, M.; McKay, F.; et al. The value of standards for health datasets in artificial intelligence-based applications. Nat. Med. 2023, 29, 2929–2938. [Google Scholar] [CrossRef]
- Sihota, R.; Sidhu, T.; Dada, T. The role of clinical examination of the optic nerve head in glaucoma today. Curr. Opin. Ophthalmol. 2021, 32, 83–91. [Google Scholar] [CrossRef] [PubMed]
- Michelessi, M.; Lucenteforte, E.; Oddone, F.; Brazzelli, M.; Parravano, M.; Franchi, S.; Ng, S.M.; Virgili, G. Optic nerve head and fibre layer imaging for diagnosing glaucoma. Cochrane Database Syst. Rev. 2015, 2015, CD008803. [Google Scholar] [CrossRef] [PubMed]
- Li, Z.; Wang, L.; Wu, X.; Jiang, J.; Qiang, W.; Xie, H.; Zhou, H.; Wu, S.; Shao, Y.; Chen, W. Artificial intelligence in ophthalmology: The path to the real-world clinic. Cell Rep. Med. 2023, 4, 101095. [Google Scholar] [CrossRef] [PubMed]







| Study (Year) | Country/ Region | DL Algorithm | Data Type | Testing Data Sets | Total Testing Data Size (Images) | Sensitivity | Specificity | AUC | Internal/ External Validation |
|---|---|---|---|---|---|---|---|---|---|
| Al-Aswad (2019) [19] | United States | ResNet50 | Fundus imaging | Singapore Malay Eye Study | 110 | 0.84 | 0.88 | 0.93 | External |
| Asaoka (2018) [20] | Japan | Deep Learning (CNN) with Transfer Learning | OCT | Private | 196 | 0.82 | 0.94 | 0.94 | Internal |
| Bajwa (2019) [21] | Europe | RCNN | Fundus imaging | ORIGA, HRF, OCT, CFI | 551 | 0.81 | 0.70 | 0.87 | External |
| Chakrabarty (2016) [22] | India | Image vector | Fundus imaging | Private | 314 | 0.72 | 0.72 | 0.79 | External |
| Chang (2021) [23] | Korea | ResNet50 | Fundus imaging | Private | 605 | 0.79 | 0.90 | 0.90 | Internal |
| Christopher (2018) [24] | USA | CNN | Fundus imaging | The African Descent and Glaucoma Evaluation Study(ADAGES) and University of California, San Diego (UCSD) | 1482 | 0.84 | 0.83 | 0.91 | External |
| Civit-Masot (2020) [25] | Spain | MobileNet V2 | Fundus imaging | RIM-ONE | 232 | 0.89 | 0.82 | 0.83 | Internal |
| Diaz-Pinto (2019) [26] | Spain | CNN | Fundus imaging | ACRIMA | 1707 | 0.93 | 0.86 | 0.96 | External |
| Fu (2020) [27] | China | U-Net network | Fundus imaging | ORIGA, Singapore Chinese Eye Study (SCES), Singapore Indian Eye Study (SINDI) | 1676 | 0.85 | 0.84 | 0.84 | External |
| Gomez-Valverd (2019) [28] | Spain | CNN | Fundus imaging | RIM-ONE, ESPERANZA, DRISHTI-G | 579 | 0.87 | 0.89 | 0.94 | Internal |
| Hemelings (2023) [29] | Multiple | G-risk regression model | Fundus imaging | BMES, GHS, AIROGS, ORIGA, REFUGE1, ODIR, REFUGE2, GAMMA, RIM-ONEr3, RIM-ONE DL, ACRIMA, PAPILA | 3554 | 0.87 | 0.95 | 0.98 | External |
| Kashyap (2022) [30] | Multiple | Dense-Net 201 | Fundus imaging | Singapore Malay Eye Study | 162 | 0.95 | 0.95 | 0.95 | Internal |
| Kausu (2018) [31] | India | CNN | Fundus imaging | Private | 86 | 0.97 | 0.98 | 0.98 | Internal |
| Kim (2020) [32] | Korea | CNN | OCT | Private | 425 | 0.98 | 0.90 | 0.98 | Internal |
| Ko (2020) [33] | Taiwan | CNN | Fundus imaging | Private | 187 | 0.96 | 0.94 | 0.99 | Internal |
| Lee (2019) [34] | Korea | CNN | OCT | Private | 200 | 0.93 | 0.84 | 0.94 | Internal |
| Lee (2020) [35] | Korea | CNN | OCT | Private | 85 | 0.95 | 1.00 | 0.99 | Internal |
| Lee’ (2020) [36] | Korea | CNN | OCT | Private | 81 | 0.97 | 0.93 | 0.99 | Internal |
| Li (2022) [37] | China | DiagnoseNet | Fundus imaging | Private A | 2866 | 0.89 | 0.83 | 0.94 | External |
| Private B | 155 | 0.92 | 0.71 | 0.91 | External | ||||
| Li (2021) [38] | Japan and China | InceptionResNetV2 | Fundus imaging | Chinese Medical Alliance for Artificial Intelligence (CMAAI) | 783 | 0.97 | 0.98 | 0.99 | Internal |
| Li (2020) [39] | China | AG-CNN | Fundus imaging | LAG database | 832 | 0.95 | 0.97 | 0.98 | Internal |
| Li’ (2020) [40] | China | ResNet101 | Fundus imaging | Private | 3481 | 0.96 | 0.93 | 0.99 | Internal |
| Lin (2022) [41] | USA | CNN | Fundus imaging | OHTS | 37339 | 0.90 | 0.90 | 0.90 | External |
| Liu (2018) [42] | Australia | ResNet50 | Fundus imaging | RIM-ONE and Sydney-based images | 800 | 0.89 | 0.97 | 0.97 | Internal |
| High Resolution Fundus (HRF) database | 30 | 0.87 | 0.87 | 0.89 | External | ||||
| Liu (2019) [43] | China | GD-CNN | Fundus imaging | CSGA | Internal | ||||
| Bejing Tongren Hospital | 20,466 | 0.96 | 0.97 | 0.99 | External | ||||
| Peking Third Hospital | 12,718 | 0.96 | 0.96 | 0.99 | External | ||||
| Harbin Medical University | 9305 | 0.94 | 0.96 | 0.99 | External | ||||
| Handan Eye Study | 29,676 | 0.91 | 0.93 | 0.96 | External | ||||
| Hamilton Glaucoma Center | 7877 | 0.87 | 0.81 | 0.92 | External | ||||
| Websites | 884 | 0.82 | 0.71 | 0.82 | External | ||||
| Liu’ (2019) [44] | China | Semi-supervised Conditional GANs | Fundus imaging | ORIGA, REFUGE, RIM-ONE, DRISHTI-GS | 100 | 0.73 | 0.80 | 0.86 | External |
| Maccormick (2019) [45] | Singapore | Spatial probalistic model | Fundus imaging | ORIGA | 325 | 1.00 | 0.98 | 0.99 | Internal |
| RIM-ONE | 159 | 0.90 | 0.79 | 0.91 | External | ||||
| Martins (2020) [46] | Portugal | CNN | Fundus imaging | ORIGA, Drishti-GS, RIM-ONE, iChallenge, RIGA | 2482 | 0.85 | 0.88 | 0.93 | Internal |
| Meideros (2021) [47] | USA | CNN | OCT | Duke Glaucoma Repository | 6292 | 0.76 | 0.95 | 0.94 | Internal |
| Noury (2022) [48] | Multiple | 3D Deep Learning Algorithm | OCT | Stanford | 694 | 0.86 | 0.78 | 0.91 | Internal |
| Hong Kong | 1625 | 0.73 | 0.73 | 0.80 | External | ||||
| India | 672 | 0.93 | 0.71 | 0.94 | External | ||||
| Nepal | 380 | 0.79 | 0.79 | 0.90 | External | ||||
| Phene (2019) [49] | Multiple | CNN | Fundus imaging | EyePACS, UK Biobank, AREDS etc. | 1205 | 0.80 | 0.90 | 0.95 | Internal |
| VA Eye Clinics | 9642 | 0.80 | 0.85 | 0.86 | External | ||||
| India | 346 | 0.85 | 0.80 | 0.92 | External | ||||
| Raghavendra (2019) [50] | India | Two Layer Sparse Autoencoder | Fundus imaging | Manipal College | 428 | 0.95 | 0.95 | 0.95 | Internal |
| Ran (2019) [51] | Hong Kong | CNN | Fundus imaging | Hong Kong Eye Hospital | 975 | 0.78 | 0.86 | 0.91 | External |
| Rogers (2019) [52] | UK, Europe | CNN | Fundus imaging | European Optic Disc Assessment Study (EODAT) | 94 | 0.81 | 0.86 | 0.87 | External |
| Shibata (2018) [53] | Japan | CNN | Fundus imaging | Matsue Red Cross Hospital | 110 | 0.97 | 0.95 | 0.97 | Internal |
| Singh (2021) [54] | India | SVM | OCT | Mendeley and private dataset | 140 | 1.00 | 0.85 | 0.97 | Internal |
| Soorya (2021) [55] | India | Cloud-based system | Fundus imaging | Private | 364 | 0.86 | 0.96 | 0.91 | Internal |
| Thompson (2020) [56] | USA | CNN | OCT | Duke Glaucoma Repository | 6340 | 0.81 | 0.95 | 0.96 | Internal |
| Wu (2022) [57] | Taiwan | SVM | OCT | KaoHsiung Medical University Hospital and Fu-Jen Catholic Hospital | 752 | 0.85 | 0.70 | 0.82 | Internal |
| Xu (2021) [58] | China | Hierarchical Deep Learning System (HDLS) | Fundus imaging | Bejing Tongren Hospital | 400 | 0.96 | 0.94 | 0.95 | Internal |
| Yang (2020) [59] | Korea | CNN | Fundus imaging | Seoul National University Hospital | 2675 | 0.86 | 0.99 | 0.95 | Internal |
| Zheng (2020) [60] | China | CNN | OCT | Shantou and Hong Kong | 102 | 0.98 | 0.90 | 0.94 | Internal |
| Study (Year) | Country/ Region | DL Algorithm | Data Type | Testing Data Sets | Total Testing Data Size (Eyes) | Sensitivity | Specificity | AUC | Internal/ External Validation |
|---|---|---|---|---|---|---|---|---|---|
| Brown (2023) [61] | United States | Object detection model | Fundus | New York Eye and Ear Infirmary of Mount Sinai (NYEE- MSSM), Ocular Hypertension Treatment Study (OHTS), Thessaloniki Eye Study (TES), Massachusetts Eye and Ear (MEE), Glaucomatous Optic Neuropathy Evaluation (GONE) | 165 | 0.97 | 0.73 | 0.94 | Internal |
| Ha (2024) [62] | Korea | XGBoost, Random Forest, Gradient Boosting | Fundus | Private | 210 | 0.98 | 0.98 | 0.99 | Internal |
| Hussain (2023) [63] | Multiple | Multimodal deep learning with GAN | OCT | Vilnius University Hospital Santaros Klinikos | 21 | 0.73 | 0.73 | 0.68 | Internal |
| Li (2022) [37] | China | DiagnoseNet | Fundus | Private A | 337 | 0.82 | 0.59 | 0.87 | External |
| Private B | 513 | 0.81 | 0.74 | 0.88 | External | ||||
| Mandal (2024) [64] | United States | Noise-Positive Unlabeled | OCT | Bascom Palmer Eye Institute and Duke | 446 | 0.50 | 0.95 | 0.50 | Internal |
| Mariotonni (2023) [65] | United States | CNN | OCT | Duke Glaucoma Registry | 924 | 0.87 | 0.86 | 0.94 | Internal |
| Meideros (2021) [66] | United States | ResNet50 | OCT | Duke Glaucoma Registry | 1147 | 0.85 | 0.90 | 0.96 | Internal |
| Variables | No. of Tested Images | Sensitivity (95% CI) | Specificity (95% CI) | LR+ (95% CI) | LR− (95% CI) | AUROC (95% CI) |
|---|---|---|---|---|---|---|
| Fundus pictures | ||||||
| All data | 194,259 | 0.92 (0.89–0.94) | 0.93 (0.90–0.95) | 12.99 (9.23–18.30) | 0.09 (0.07– 0.12) | 0.90 (0.88–0.92) |
| Internal | 124,552 | 0.93 (0.91–0.95) | 0.95 (0.93–0.97) | 18.77 (13.09–26.91) | 0.07 (0.05–0.10) | 0.91 (0.90–0.93) |
| External | 69,707 | 0.86 (0.82–0.93) | 0.88 (0.80–0.93) | 7.259 (4.14–12.73) | 0.13 (0.08–0.22) | 0.88 (0.86–0.91) |
| OCT | ||||||
| All data | 17,882 | 0.90 (0.84–0.94) | 0.87 (0.81–0.91) | 6.87 (4.57–10.33) | 0.11 (0.07–0.19) | 0.86 (0.83–0.90) |
| Internal | 15,009 | 0.93 (0.85–0.96) | 0.89 (0.83–0.93) | 8.46 (5.23–13.68) | 0.08 (0.04–0.17) | 0.89 (0.85–0.93) |
| External | 2873 | 0.83 (0.73–0.90) | 0.80 (0.68–0.88) | 4.20 (2.56–6.89) | 0.21 (0.13–0.34) | 0.80 (0.75–0.86) |
| Variables | No. of Tested Eyes | Sensitivity (95% CI) | Specificity (95% CI) | LR+ (95% CI) | LR− (95% CI) | AUROC (95% CI) |
|---|---|---|---|---|---|---|
| Fundus pictures | ||||||
| All data | 841 | 0.89 (0.78–0.95) | 0.77 (0.64–0.87) | 3.88 (2.31–6.51) | 0.14 (0.07–0.30) | 0.91 (0.85–0.97) |
| Internal | 375 | 0.95 (0.82–0.99) | 0.88 (0.60–0.97) | 7.87 (1.97–31.48) | 0.06 (0.02–0.23) | 0.94 (0.84–1.00) |
| External | 466 | 0.81 (0.77–0.85) | 0.67 (0.51–0.79) | 2.44 (2.18–2.73) | 0.28 (0.23–0.34) | 0.88 (0.84–0.92) |
| OCT | ||||||
| Internal | 2538 | 0.74 (0.51–0.89) | 0.93 (0.88–0.96) | 10.09 (7.60–13.39) | 0.28 (0.14–0.57) | 0.90 (0.84–0.95) |
Disclaimer/Publisher’s Note: The statements, opinions and data contained in all publications are solely those of the individual author(s) and contributor(s) and not of MDPI and/or the editor(s). MDPI and/or the editor(s) disclaim responsibility for any injury to people or property resulting from any ideas, methods, instructions or products referred to in the content. |
© 2025 by the authors. Licensee MDPI, Basel, Switzerland. This article is an open access article distributed under the terms and conditions of the Creative Commons Attribution (CC BY) license (https://creativecommons.org/licenses/by/4.0/).
Share and Cite
Ling, X.C.; Chen, H.S.-L.; Yeh, P.-H.; Cheng, Y.-C.; Huang, C.-Y.; Shen, S.-C.; Lee, Y.-S. Deep Learning in Glaucoma Detection and Progression Prediction: A Systematic Review and Meta-Analysis. Biomedicines 2025, 13, 420. https://doi.org/10.3390/biomedicines13020420
Ling XC, Chen HS-L, Yeh P-H, Cheng Y-C, Huang C-Y, Shen S-C, Lee Y-S. Deep Learning in Glaucoma Detection and Progression Prediction: A Systematic Review and Meta-Analysis. Biomedicines. 2025; 13(2):420. https://doi.org/10.3390/biomedicines13020420
Chicago/Turabian StyleLing, Xiao Chun, Henry Shen-Lih Chen, Po-Han Yeh, Yu-Chun Cheng, Chu-Yen Huang, Su-Chin Shen, and Yung-Sung Lee. 2025. "Deep Learning in Glaucoma Detection and Progression Prediction: A Systematic Review and Meta-Analysis" Biomedicines 13, no. 2: 420. https://doi.org/10.3390/biomedicines13020420
APA StyleLing, X. C., Chen, H. S.-L., Yeh, P.-H., Cheng, Y.-C., Huang, C.-Y., Shen, S.-C., & Lee, Y.-S. (2025). Deep Learning in Glaucoma Detection and Progression Prediction: A Systematic Review and Meta-Analysis. Biomedicines, 13(2), 420. https://doi.org/10.3390/biomedicines13020420

