Lactate Clearance of the Adsorber Cytosorb® in Critically Ill Patients: A Post-Hoc Analysis of the Cyto-SOLVE Trial
Abstract
1. Introduction
2. Methods
2.1. Study Setting
2.2. Laboratory Measurements and Data Collection
2.3. Study Population
2.4. Blood Sampling
2.5. Statistical Analysis
2.6. AI Statement
3. Results
3.1. Demographic and Clinical Data
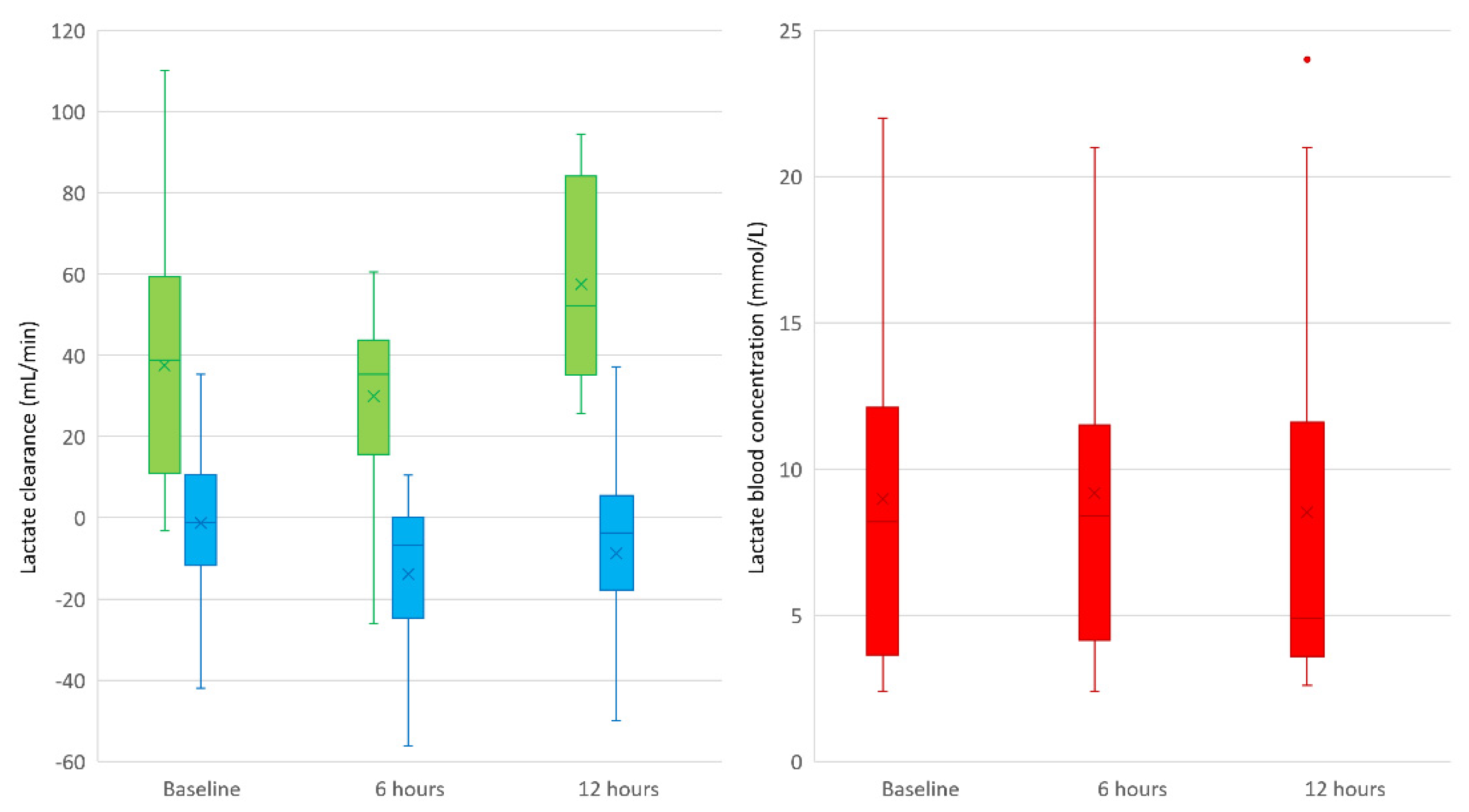
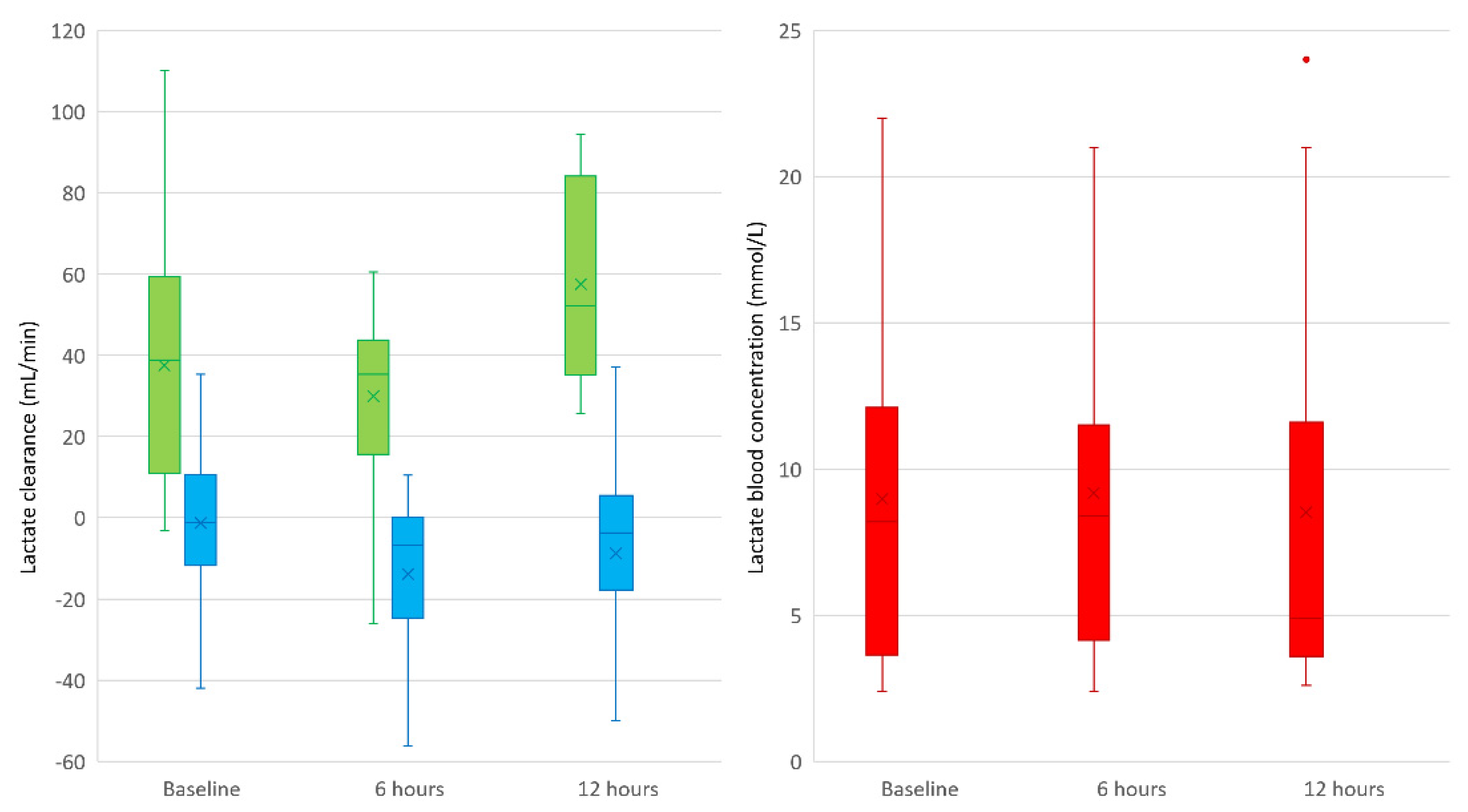
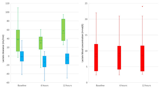
3.2. Lactate Concentration Pre-/Post-CS Application and Pre-/Post-Dialyzer Use
3.3. Lactate Clearance of CS and the Dialyzer
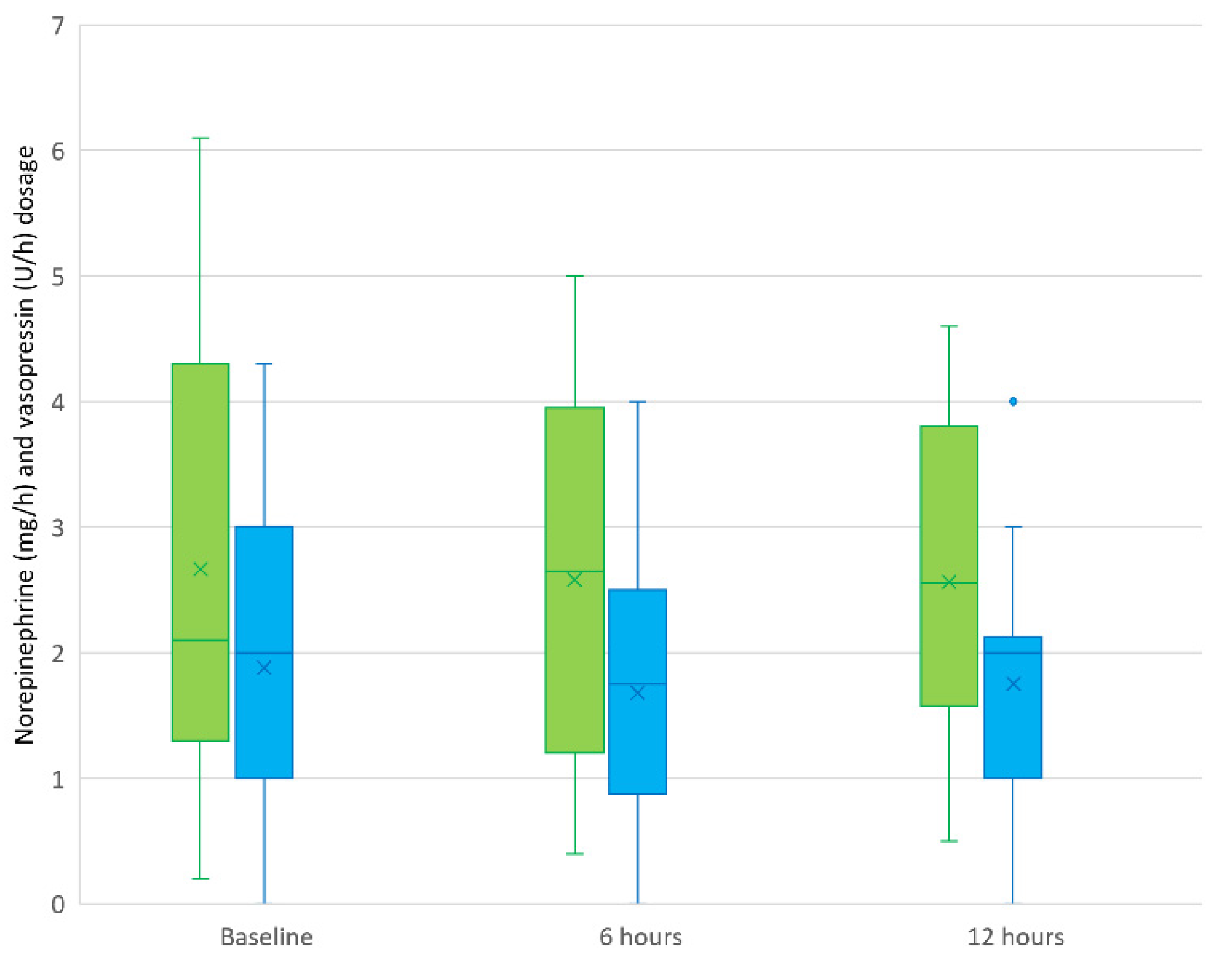
3.4. The Catecholamine Dosage Before, During, and at the End of CS Application
4. Discussion
5. Conclusions
Author Contributions
Funding
Institutional Review Board Statement
Informed Consent Statement
Data Availability Statement
Acknowledgments
Conflicts of Interest
Abbreviations
| AKI | acute kidney injury |
| BMI | body mass index |
| ECMO | extracorporeal membrane oxygenation |
| CKRT | continuous kidney replacement therapy |
| CS | Cytosorb® |
| CVVHD | continuous venovenous hemodialysis |
| CVVHDF | continuous venovenous hemodiafiltration |
| ICU | intensive care unit |
| IQR | interquartile range |
| SAPS II | Simplified Acute Physiology Score II |
| SD | standard deviation |
References
- Hawchar, F.; Rao, C.; Akil, A.; Mehta, Y.; Rugg, C.; Scheier, J.; Adamson, H.; Deliargyris, E.; Molnar, Z. The Potential Role of Extracorporeal Cytokine Removal in Hemodynamic Stabilization in Hyperinflammatory Shock. Biomedicines 2021, 9, 768. [Google Scholar] [CrossRef]
- Hotchkiss, R.S.; Monneret, G.; Payen, D. Sepsis-induced immunosuppression: From cellular dysfunctions to immunotherapy. Nat. Rev. Immunol. 2013, 13, 862–874. [Google Scholar] [CrossRef]
- Bertini, P.; Guarracino, F. Pathophysiology of cardiogenic shock. Curr. Opin. Crit. Care 2021, 27, 409–415. [Google Scholar] [CrossRef]
- Abraham, E.; Singer, M. Mechanisms of sepsis-induced organ dysfunction. Crit. Care Med. 2007, 35, 2408–2416. [Google Scholar] [CrossRef]
- Nakhostine, N.; Lamontagne, D. Adenosine contributes to hypoxia-induced vasodilation through ATP-sensitive K+ channel activation. Am. J. Physiol. 1993, 265, H1289–H1293. [Google Scholar] [CrossRef] [PubMed]
- Gunnerson, K.J.; Saul, M.; He, S.; Kellum, J.A. Lactate versus non-lactate metabolic acidosis: A retrospective outcome evaluation of critically ill patients. Crit. Care 2006, 10, R22. [Google Scholar] [CrossRef]
- Khosravani, H.; Shahpori, R.; Stelfox, H.T.; Kirkpatrick, A.W.; Laupland, K.B. Occurrence and adverse effect on outcome of hyperlactatemia in the critically ill. Crit. Care 2009, 13, R90. [Google Scholar] [CrossRef]
- Howell, M.D.; Donnino, M.; Clardy, P.; Talmor, D.; Shapiro, N.I. Occult hypoperfusion and mortality in patients with suspected infection. Intensive Care Med. 2007, 33, 1892–1899. [Google Scholar] [CrossRef] [PubMed]
- Yang, K.; Fan, M.; Wang, X.; Xu, J.; Wang, Y.; Gill, P.S.; Ha, T.; Liu, L.; Hall, J.V.; Williams, D.L.; et al. Lactate induces vascular permeability via disruption of VE-cadherin in endothelial cells during sepsis. Sci. Adv. 2022, 8, eabm8965. [Google Scholar] [CrossRef] [PubMed]
- Cabral, B.M.I.; Edding, S.N.; Portocarrero, J.P.; Lerma, E.V. Rhabdomyolysis. Dis. Mon. 2020, 66, 101015. [Google Scholar] [CrossRef] [PubMed]
- Rehn, M.; Chew, M.S.; Olkkola, K.T.; Ingi Sigurðsson, M.; Yli-Hankala, A.; Hylander Møller, M. Surviving sepsis campaign: International guidelines for management of sepsis and septic shock in adults 2021—Endorsement by the Scandinavian society of anaesthesiology and intensive care medicine. Acta Anaesthesiol. Scand. 2022, 66, 634–635. [Google Scholar] [CrossRef]
- Cecconi, M.; De Backer, D.; Antonelli, M.; Beale, R.; Bakker, J.; Hofer, C.; Jaeschke, R.; Mebazaa, A.; Pinsky, M.R.; Teboul, J.L.; et al. Consensus on circulatory shock and hemodynamic monitoring. Task force of the European Society of Intensive Care Medicine. Intensive Care Med. 2014, 40, 1795–1815. [Google Scholar] [CrossRef]
- Rhodes, A.; Evans, L.E.; Alhazzani, W.; Levy, M.M.; Antonelli, M.; Ferrer, R.; Kumar, A.; Sevransky, J.E.; Sprung, C.L.; Nunnally, M.E.; et al. Surviving Sepsis Campaign: International Guidelines for Management of Sepsis and Septic Shock: 2016. Intensive Care Med. 2017, 43, 304–377. [Google Scholar] [CrossRef]
- Khadzhynov, D.; Dahlinger, A.; Schelter, C.; Peters, H.; Kindgen-Milles, D.; Budde, K.; Lehner, L.J.; Halleck, F.; Staeck, O.; Slowinski, T. Hyperlactatemia, Lactate Kinetics and Prediction of Citrate Accumulation in Critically Ill Patients Undergoing Continuous Renal Replacement Therapy With Regional Citrate Anticoagulation. Crit. Care Med. 2017, 45, e941–e946. [Google Scholar] [CrossRef] [PubMed]
- Liu, Y.; Ouyang, B.; Chen, J.; Chen, M.; Ma, J.; Wu, J.; Huang, S.; Li, L.; Liu, Z.; Guan, X. Effects of different doses in continuous veno-venous hemofiltration on plasma lactate in critically ill patients. Chin. Med. J. 2014, 127, 1827–1832. [Google Scholar] [CrossRef]
- CytoSorbents Europe GmbH. Available online: https://cytosorb-therapy.com/en/ (accessed on 12 January 2024).
- Tripathi, R.; Morales, J.; Lee, V.; Gibson, C.M.; Mack, M.J.; Schneider, D.J.; Douketis, J.; Sellke, F.W.; Ohman, M.E.; Thourani, V.H.; et al. Antithrombotic drug removal from whole blood using Haemoadsorption with a porous polymer bead sorbent. Eur. Heart J. Cardiovasc. Pharmacother. 2022, 8, 847–856. [Google Scholar] [CrossRef]
- Hakemi, M.S.; Nassiri, A.A.; Nobakht, A.; Mardani, M.; Darazam, I.A.; Parsa, M.; Miri, M.M.; Shahrami, R.; Koomleh, A.A.; Entezarmahdi, K.; et al. Benefit of Hemoadsorption Therapy in Patients Suffering Sepsis-Associated Acute Kidney Injury: A Case Series. Blood Purif. 2022, 51, 823–830. [Google Scholar] [CrossRef] [PubMed]
- Paul, R.; Sathe, P.; Kumar, S.; Prasad, S.; Aleem, M.; Sakhalvalkar, P. Multicentered prospective investigator initiated study to evaluate the clinical outcomes with extracorporeal cytokine adsorption device (CytoSorb((R))) in patients with sepsis and septic shock. World J. Crit. Care Med. 2021, 10, 22–34. [Google Scholar] [CrossRef]
- Friesecke, S.; Stecher, S.S.; Gross, S.; Felix, S.B.; Nierhaus, A. Extracorporeal cytokine elimination as rescue therapy in refractory septic shock: A prospective single-center study. J. Artif. Organs 2017, 20, 252–259. [Google Scholar] [CrossRef] [PubMed]
- Calabro, M.G.; Febres, D.; Recca, G.; Lembo, R.; Fominskiy, E.; Scandroglio, A.M.; Zangrillo, A.; Pappalardo, F. Blood Purification With CytoSorb in Critically Ill Patients: Single-Center Preliminary Experience. Artif. Organs 2019, 43, 189–194. [Google Scholar] [CrossRef]
- Kogelmann, K.; Jarczak, D.; Scheller, M.; Druner, M. Hemoadsorption by CytoSorb in septic patients: A case series. Crit. Care 2017, 21, 74. [Google Scholar] [CrossRef]
- Ahlstedt, C.; Sivapalan, P.; Kriz, M.; Jacobson, G.; Sylvest Meyhoff, T.; Skov Kaas-Hansen, B.; Holm, M.; Hollenberg, J.; Nalos, M.; Rooijackers, O.; et al. Effects of restrictive fluid therapy on the time to resolution of hyperlactatemia in ICU patients with septic shock. A secondary post hoc analysis of the CLASSIC randomized trial. Intensive Care Med. 2024, 50, 678–686. [Google Scholar] [CrossRef]
- Yohannes, S.; Serafim, L.P.; Slavinsky, V.; O’Connor, T.; Cabrera, M.; Chin, M.K.; Pratt, A. Evaluation of the Recommended 30 cc/kg Fluid Dose for Patients With Septic Shock and Hypoperfusion With Lactate Greater Than 4 mmol/L. Crit. Care Explor. 2023, 5, e0932. [Google Scholar] [CrossRef] [PubMed]
- De Corte, W.; Vuylsteke, S.; De Waele, J.J.; Dhondt, A.W.; Decruyenaere, J.; Vanholder, R.; Hoste, E.A. Severe lactic acidosis in critically ill patients with acute kidney injury treated with renal replacement therapy. J. Crit. Care 2014, 29, 650–655. [Google Scholar] [CrossRef] [PubMed]
- Hourmozdi, J.J.; Gill, J.; Miller, J.B.; Markin, A.; Adams, B.; Soi, V.; Jaehne, A.K.; Taylor, A.R.; Langberg, S.; Rodriguez, L.; et al. Change in Lactate Levels After Hemodialysis in Patients With End-Stage Renal Disease. Ann. Emerg. Med. 2018, 71, 737–742. [Google Scholar] [CrossRef]
- Cornejo, R.; Downey, P.; Castro, R.; Romero, C.; Regueira, T.; Vega, J.; Castillo, L.; Andresen, M.; Dougnac, A.; Bugedo, G.; et al. High-volume hemofiltration as salvage therapy in severe hyperdynamic septic shock. Intensive Care Med. 2006, 32, 713–722. [Google Scholar] [CrossRef]
- Scharf, C.; Schroeder, I.; Paal, M.; Winkels, M.; Irlbeck, M.; Zoller, M.; Liebchen, U. Can the cytokine adsorber CytoSorb((R)) help to mitigate cytokine storm and reduce mortality in critically ill patients? A propensity score matching analysis. Ann. Intensive Care 2021, 11, 115. [Google Scholar] [CrossRef]
- Jerman, A.; Gubensek, J.; Berden, J.; Persic, V. A matched case-control study on the effectiveness of extracorporeal cytokine adsorption in critically ill patients. Sci. Rep. 2023, 13, 13464. [Google Scholar] [CrossRef] [PubMed]
- Supady, A.; Zahn, T.; Rieder, M.; Benk, C.; Lother, A.; Bode, C.; Wengenmayer, T.; Staudacher, D.; Kellum, J.A.; Duerschmied, D. Effect of Cytokine Adsorption on Survival and Circulatory Stabilization in Patients Receiving Extracorporeal Cardiopulmonary Resuscitation. ASAIO J. 2022, 68, 64–72. [Google Scholar] [CrossRef] [PubMed]
- Buhlmann, A.; Erlebach, R.; Muller, M.; David, S.; BonHan, Z.A.s.g. The phenomenon of desorption: What are the best adsorber exchange intervals? Crit. Care 2024, 28, 178. [Google Scholar] [CrossRef]
- Brozat, C.I.; Zoller, M.; Frank, S.; Bruegel, M.; Grafe, C.; Rebholz, D.; Paal, M.; Graf, H.; Liebchen, U.; Scharf, C. Albumin and Platelet Loss during the Application of CytoSorb(R) in Critically Ill Patients: A post hoc Analysis of the Cyto-SOLVE Trial. Blood Purif. 2024, 93–101. [Google Scholar] [CrossRef] [PubMed]
- Scharf, C.; Weinelt, F.; Schroeder, I.; Paal, M.; Weigand, M.; Zoller, M.; Irlbeck, M.; Kloft, C.; Briegel, J.; Liebchen, U. Does the cytokine adsorber CytoSorb((R)) reduce vancomycin exposure in critically ill patients with sepsis or septic shock? a prospective observational study. Ann. Intensive Care 2022, 12, 44. [Google Scholar] [CrossRef] [PubMed]
- Schneider, A.G.; Andre, P.; Scheier, J.; Schmidt, M.; Ziervogel, H.; Buclin, T.; Kindgen-Milles, D. Pharmacokinetics of anti-infective agents during CytoSorb hemoadsorption. Sci. Rep. 2021, 11, 10493. [Google Scholar] [CrossRef] [PubMed]
- Liebchen, U.; Paal, M.; Grafe, C.; Zoller, M.; Scharf, C.; Cyto, S.S.G. The cytokine adsorber Cytosorb(R) does not reduce ammonia concentrations in critically ill patients with liver failure. Intensive Care Med. 2023, 49, 360–362. [Google Scholar] [CrossRef] [PubMed]
- Monard, C.; Bianchi, N.; Poli, E.; Altarelli, M.; Debonneville, A.; Oddo, M.; Liaudet, L.; Schneider, A. Cytokine hemoadsorption with CytoSorb(®) in post-cardiac arrest syndrome, a pilot randomized controlled trial. Crit. Care 2023, 27, 36. [Google Scholar] [CrossRef] [PubMed]
- Stockmann, H.; Thelen, P.; Stroben, F.; Pigorsch, M.; Keller, T.; Krannich, A.; Spies, C.; Treskatsch, S.; Ocken, M.; Kunz, J.V.; et al. CytoSorb Rescue for COVID-19 Patients With Vasoplegic Shock and Multiple Organ Failure: A Prospective, Open-Label, Randomized Controlled Pilot Study. Crit. Care Med. 2022, 50, 964–976. [Google Scholar] [CrossRef]



| n (%) or Median [IQR] | |
|---|---|
| Patient Characteristics | |
| Age (years) | 52 [45, 63] |
| BMI (kg/m2) | 23.4 [21.3, 26.3] |
| 28-day mortality | 12 (85.7) |
| SAPS II score on treatment day | 67 [60, 77] |
| Dialysis characteristics | |
| Dialyzer | Multifiltrate, Fresenius Ultraflux AV 1000 S, surface area: 1.4 m2, elimination spectrum: 0–15 kDa |
| CVVHD (CiCa®)/CVVHDF (MultiBic®) | 6 (43)/8 (57) |
| Blood flow (mL/min) | 200 [100, 260] |
| Net ultrafiltration (mL/h) | 0 [0, 0] |
| Fluid balance (mL/24 h) | 6550 [2975, 9120] |
| Laboratory parameters | |
| Interleukin-6 (pg/mL) before CS | 7416 [868, 23,459] |
| Interleukin-6 (pg/mL) after CS | 5512 [304, 22,786] |
| Myoglobin (ng/mL) before CS | 40,480 [11,989, 81,947] |
| Myoglobin (ng/mL) after CS | 42,923 [9108, 86,747] |
| Bilirubin (mg/dL) before CS | 3.2 [2.0, 9.0] |
| Bilirubin (mg/dL) after CS | 2.8 [2.0, 6.1] |
Disclaimer/Publisher’s Note: The statements, opinions and data contained in all publications are solely those of the individual author(s) and contributor(s) and not of MDPI and/or the editor(s). MDPI and/or the editor(s) disclaim responsibility for any injury to people or property resulting from any ideas, methods, instructions or products referred to in the content. |
© 2025 by the authors. Licensee MDPI, Basel, Switzerland. This article is an open access article distributed under the terms and conditions of the Creative Commons Attribution (CC BY) license (https://creativecommons.org/licenses/by/4.0/).
Share and Cite
Wustrow, V.; Gräfe, C.; Graf, H.; Scheiermann, P.; Paal, M.; Vogeser, M.; Liebchen, U.; Scharf, C. Lactate Clearance of the Adsorber Cytosorb® in Critically Ill Patients: A Post-Hoc Analysis of the Cyto-SOLVE Trial. Biomedicines 2025, 13, 418. https://doi.org/10.3390/biomedicines13020418
Wustrow V, Gräfe C, Graf H, Scheiermann P, Paal M, Vogeser M, Liebchen U, Scharf C. Lactate Clearance of the Adsorber Cytosorb® in Critically Ill Patients: A Post-Hoc Analysis of the Cyto-SOLVE Trial. Biomedicines. 2025; 13(2):418. https://doi.org/10.3390/biomedicines13020418
Chicago/Turabian StyleWustrow, Vassilissa, Caroline Gräfe, Helen Graf, Patrick Scheiermann, Michael Paal, Michael Vogeser, Uwe Liebchen, and Christina Scharf. 2025. "Lactate Clearance of the Adsorber Cytosorb® in Critically Ill Patients: A Post-Hoc Analysis of the Cyto-SOLVE Trial" Biomedicines 13, no. 2: 418. https://doi.org/10.3390/biomedicines13020418
APA StyleWustrow, V., Gräfe, C., Graf, H., Scheiermann, P., Paal, M., Vogeser, M., Liebchen, U., & Scharf, C. (2025). Lactate Clearance of the Adsorber Cytosorb® in Critically Ill Patients: A Post-Hoc Analysis of the Cyto-SOLVE Trial. Biomedicines, 13(2), 418. https://doi.org/10.3390/biomedicines13020418

