Novel Predictive Strategy Using CA19-9 and Fecal Elastase Levels to Make Treatment Decisions for Resectable Pancreatic Cancer: A Retrospective Study
Abstract
1. Introduction
2. Materials and Methods
2.1. Study Participants and Design
2.2. Measurement for Preoperative FE-1
2.3. Statistical Analyses
2.3.1. Defining an Optimal Cutoff Value for Preoperative Tumor Markers
2.3.2. General Characteristics of Patient Data Groups
2.3.3. Kaplan–Meier and Cox Regression Analysis
2.4. Additional Analysis
3. Results
3.1. Clinical Characteristics of Patients with Pancreatic Cancer
3.2. Defining the Cutoff Value of CA19-9
3.3. Clinical Characteristics of Four Groups of Patients Using CA19-9 Cutoff and FE-1 Values
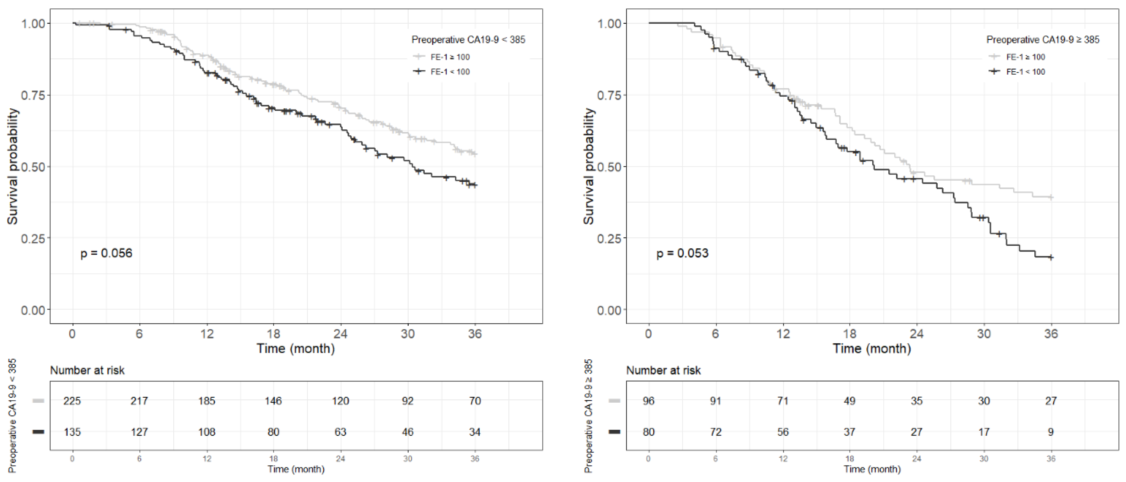
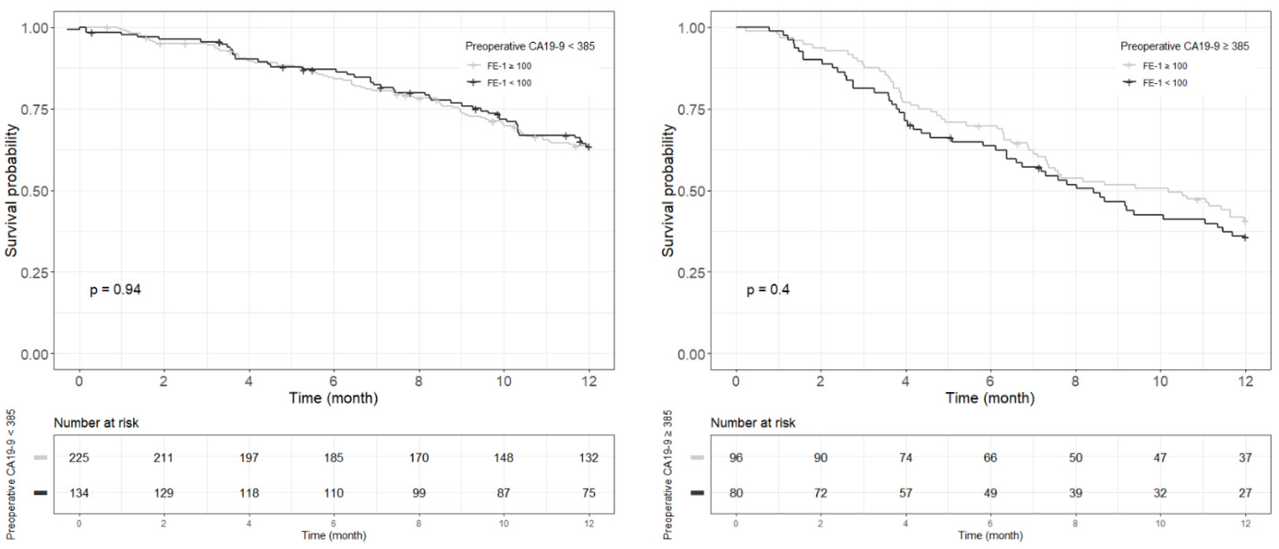
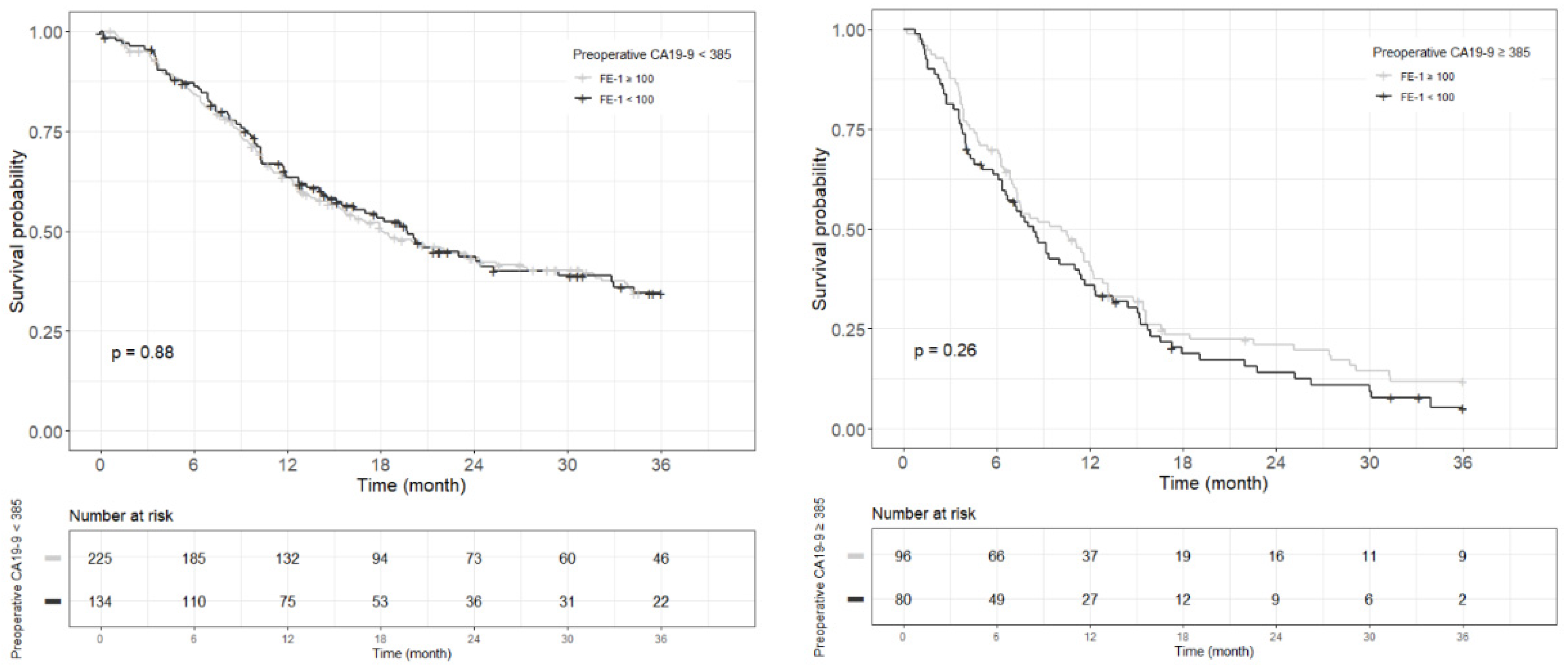
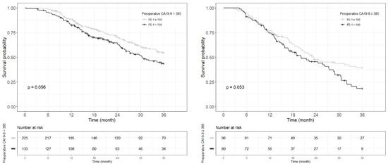
3.4. Kaplan–Meier Estimates of Overall Survival and Recurrence-Free Survival
3.5. Prognostic Impact of Clinicopathologic Features in Pancreatic Cancer
4. Discussion
5. Conclusions
Author Contributions
Funding
Institutional Review Board Statement
Informed Consent Statement
Data Availability Statement
Acknowledgments
Conflicts of Interest
Abbreviations
| PDAC | Pancreatic ductal adenocarcinoma |
| CA19-9 | Carbohydrate antigen 19-9 |
| FE-1 | Fecal elastase-1 |
| NCCN | National Comprehensive Cancer Network |
| OS | Overall survival |
| RFS | Recurrence-free survival |
| ELISA | Enzyme-linked immunosorbent assay |
| ROC | Receiver operating characteristic |
| AUC | Area under the curve |
| HR | Hazard ratio |
Appendix A
| Variables | CA19-9 < 385 (n = 360) | CA19-9 ≥ 385 (n = 176) | p Value |
|---|---|---|---|
| Age, mean (SD) | 65.2 (10.1) | 65.7 (8.7) | 0.582 |
| Age, n (%) | 0.789 | ||
| <58 | 80 (22.2) | 35 (19.9) | |
| ≥58 and <66 | 89 (24.7) | 46 (26.1) | |
| ≥66 and <73 | 93 (25.8) | 51 (29.0) | |
| ≥73 | 98 (27.2) | 44 (25.0) | |
| Sex, n (%) | 0.349 | ||
| Male | 219 (60.8) | 99 (56.3) | |
| Female | 141 (39.2) | 77 (43.8) | |
| T classification, n (%) | <0.001 | ||
| T1 | 59 (16.4) | 8 (4.5) | |
| T2 | 235 (65.3) | 111 (63.1) | |
| T3 | 61 (16.9) | 52 (29.6) | |
| T4 | 5 (1.4) | 5 (2.8) | |
| N classification, n (%) | <0.001 | ||
| N0 | 157 (43.6) | 43 (24.4) | |
| N1 | 148 (41.1) | 91 (51.7) | |
| N2 | 55 (15.3) | 42 (23.9) | |
| Perineural invasion, n (%) | 0.012 | ||
| Negative | 306 (85.0) | 163 (92.6) | |
| Positive | 54 (15.0) | 13 (7.4) | |
| Lymphovascular invasion, n (%) | 0.001 | ||
| Negative | 152 (42.2) | 102 (58.0) | |
| Positive | 208 (57.8) | 74 (42.0) | |
| Histologic differentiate, n (%) | 0.163 | ||
| Well | 38 (10.6) | 10 (5.7) | |
| Moderate | 265 (73.6) | 137 (77.8) | |
| Poorly or undifferentiated | 51 (14.2) | 28 (15.9) | |
| Resection margin, n (%) | 0.690 | ||
| R0 | 312 (86.7) | 150 (85.2) | |
| R1 | 48 (13.3) | 26 (14.8) | |
| Event, n (%) | |||
| Death within 3-year | 146 (40.6) | 106 (60.2) | <0.001 |
| Death within 5-year | 170 (47.2) | 122 (69.3) | <0.001 |
| Recurrence within 1-year | 125 (34.7) | 106 (60.2) | <0.001 |
| Recurrence within 3-year | 204 (56.7) | 150 (85.2) | <0.001 |
| Preoperative FE-1, median (IQR) | 75 (20.8) | 29 (16.5) | 0.045 |
| Variables | CA19-9 < 385 and FE-1 ≥ 100 (n = 225) | CA19-9 < 385 and FE-1 < 100 (n = 135) | CA19-9 ≥ 385 and FE-1 ≥ 100 (n = 96) | CA19-9 ≥ 385 and FE-1 < 100 (n = 80) | p Value |
|---|---|---|---|---|---|
| Comorbidity, n (%) | 0.498 | ||||
| No | 139 (61.8) | 81 (60.0) | 66 (68.8) | 53 (66.3) | |
| Yes | 86 (38.2) | 54 (40.0) | 30 (31.2) | 27 (33.7) | |
| Preoperative CEA (ng/mL), median (IQR) | 1.8 (1.6) | 1.9 (1.4) | 2.9 (2.9) | 3.2 (4.5) | 0.011 |
| Histologic type, n (%) | 0.072 | ||||
| Ductal adenocarcinoma | 218 (96.9) | 122 (90.4) | 94 (97.9) | 77 (96.3) | |
| Acinar | 0 | 1 (0.7) | 0 | 0 | |
| Other | 7 (3.1) | 12 (8.9) | 2 (2.1) | 3 (3.7) | |
| Postoperative adjuvant therapy, n (%) | 0.580 | ||||
| No | 29 (12.9) | 24 (17.8) | 13 (13.5) | 10 (12.5) | |
| Yes | 196 (87.1) | 111 (82.2) | 83 (86.5) | 70 (87.5) | |
| Chemotherapy | 118 (60.2) | 52 (46.8) | 45 (54.2) | 43 (61.4) | 0.147 |
| Chemoradiation treatment | 75 (38.3) | 53 (47.8) | 34 (41.0) | 26 (37.2) | |
| Others | 3 (1.5) | 6 (5.4) | 4 (4.8) | 1 (1.4) | |
| Hospital, n (%) | 0.412 | ||||
| Gangnam Severance Hospital | 50 (22.2) | 25 (18.5) | 18 (18.8) | 11 (13.8) | |
| Seoul National University Hospital | 175 (77.8) | 110 (81.5) | 78 (81.3) | 69 (86.3) | |
| Overall survival (month), median (IQR) | 25.7 (22.4) | 21.8 (22.7) | 18.3 (24.7) | 17.1 (18.0) | 0.004 |
| Recurrence free survival (month), median (IQR) | 14.6 (22.6) | 14.1 (17.9) | 9.0 (11.1) | 7.7 (11.3) | <0.001 |
| Event, n (%) | |||||
| Death within 5-year period | 101 (44.9) | 69 (51.1) | 61 (63.5) | 61 (76.3) | <0.001 |
| Recurrence within 3-year period | 131 (58.2) | 73 (54.1) | 80 (83.3) | 70 (87.5) | <0.001 |
| Variables | 5-Year OS | 3-Year RFS | ||||
|---|---|---|---|---|---|---|
| HR (95% CI) | p Value | p Trend | HR (95% CI) | p Value | p Trend | |
| Age | ||||||
| <58 | 1 | ref. | 0.007 | 1 | ref. | 0.994 |
| ≥58 and <66 | 0.74 (0.52, 1.05) | 0.089 | 0.89 (0.66, 1.21) | 0.464 | ||
| ≥66 and <73 | 0.85 (0.61, 1.19) | 0.346 | 0.92 (0.68, 1.23) | 0.559 | ||
| ≥73 | 1.46 (1.06, 2.02) | 0.021 | 0.95 (0.70, 1.29) | 0.727 | ||
| Sex | ||||||
| Male | 1 | ref. | 1 | ref. | ||
| Female | 0.98 (0.77, 1.24) | 0.849 | 0.94 (0.76, 1.17) | 0.597 | ||
| T classification | ||||||
| T1 | 1 | ref. | <0.001 | 1 | ref. | <0.001 |
| T2 | 2.16 (1.43, 3.29) | <0.001 | 2.16 (1.48, 3.17) | <0.001 | ||
| T3/4 | 2.46 (1.60, 3.88) | <0.001 | 2.84 (1.88, 4.31) | <0.001 | ||
| N classification | <0.001 | |||||
| N0 | 1 | ref. | 1 | ref. | <0.001 | |
| N1 | 1.59 (1.21, 2.08) | 0.001 | 1.62 (1.27, 2.07) | <0.001 | ||
| N2 | 2.94 (2.14, 4.03) | <0.001 | 2.45 (1.82, 3.30) | <0.001 | ||
| Perineural invasion | ||||||
| Negative | 1 | ref. | 1 | ref. | ||
| Positive | 0.40 (0.26, 0.61) | <0.001 | 0.53 (0.37, 0.76) | 0.001 | ||
| Lymphovascular invasion | ||||||
| Negative | 1 | ref. | 1 | ref. | ||
| Positive | 0.63 (0.50, 0.79) | <0.001 | 0.67 (0.54, 0.82) | <0.001 | ||
| Histologic differentiate | ||||||
| Well | 1 | ref. | 0.005 | 1 | ref. | <0.001 |
| Moderate | 2.07 (1.28, 3.35) | 0.003 | 1.88 (1.25, 2.84) | 0.003 | ||
| Poorly or undifferentiated | 2.32 (1.34, 4.00) | 0.003 | 2.59 (1.61, 4.17) | <0.001 | ||
| Resection Margine, N (%) | ||||||
| R0 | 1 | ref. | 1 | ref. | ||
| R1 | 1.24 (0.90, 1.72) | 0.193 | 1.17 (0.87, 1.59) | 0.299 | ||
| Preoperative CA19-9 and FE-1 | ||||||
| CA19-9 < 385 and FE-1 ≥ 100 | 1 | ref. | <0.001 | 1 | ref. | <0.001 |
| CA19-9 < 385 and FE-1 < 100 | 1.25 (0.91, 1.70) | 0.163 | 1.00 (0.75, 1.33) | 0.981 | ||
| CA19-9 ≥ 385 and FE-1 ≥ 100 | 1.74 (1.26, 2.39) | 0.001 | 2.09 (1.58, 2.76) | <0.001 | ||
| CA19-9 ≥ 385 and FE-1 < 100 | 2.50 (1.80, 3.44) | <0.001 | 2.51 (1.87, 3.37) | <0.001 | ||
| Variables | 5-Year OS | 3-Year RFS | ||||
|---|---|---|---|---|---|---|
| HR (95% CI) | p Value | p Trend | HR (95% CI) | p Value | p Trend | |
| Age | ||||||
| <58 | 1 | ref. | 0.007 | 1 | ref. | 0.930 |
| ≥58 and <66 | 0.72 (0.5, 1.02) | 0.067 | 0.84 (0.62, 1.15) | 0.272 | ||
| ≥66 and <73 | 0.85 (0.6, 1.2) | 0.351 | 0.86 (0.63, 1.16) | 0.318 | ||
| ≥73 | 1.49 (1.07, 2.08) | 0.017 | 0.98 (0.71, 1.34) | 0.873 | ||
| Sex | ||||||
| Male | 1 | ref. | 1 | ref. | ||
| Female | 0.96 (0.75, 1.22) | 0.717 | 0.97 (0.78, 1.21) | 0.801 | ||
| T classification | ||||||
| T1 | 1 | ref. | 0.302 | 1 | ref. | 0.057 |
| T2 | 1.50 (0.96, 2.32) | 0.073 | 1.56 (1.04, 2.33) | 0.030 | ||
| T3/4 | 1.46 (0.89, 2.37) | 0.133 | 1.66 (1.07, 2.60) | 0.025 | ||
| N classification | ||||||
| N0 | 1 | ref. | <0.001 | 1 | ref. | <0.001 |
| N1 | 1.34 (1.00, 1.79) | 0.052 | 1.35 (1.04, 1.75) | 0.025 | ||
| N2 | 2.16 (1.53, 3.05) | <0.001 | 1.95 (1.40, 2.71) | <0.001 | ||
| Perineural invasion | ||||||
| Negative | 1 | ref. | 1 | ref. | ||
| Positive | 0.61 (0.39, 0.97) | 0.035 | 0.85 (0.57, 1.25) | 0.404 | ||
| Lymphovascular invasion | ||||||
| Negative | 1 | ref. | 1 | ref. | ||
| Positive | 0.86 (0.67, 1.11) | 0.259 | 0.94 (0.74, 1.18) | 0.577 | ||
| Histologic differentiate | ||||||
| Well | 1 | ref. | 0.012 | 1 | ref. | <0.001 |
| Moderate | 1.62 (0.99, 2.66) | 0.055 | 1.55 (1.02, 2.37) | 0.041 | ||
| Poorly or undifferentiated | 2.06 (1.18, 3.59) | 0.012 | 2.46 (1.51, 4.01) | <0.001 | ||
| Resection Margine, N (%) | ||||||
| R0 | 1 | ref. | 1 | ref. | ||
| R1 | 0.94 (0.66, 1.33) | 0.717 | 1.02 (0.74, 1.41) | 0.911 | ||
| Preoperative CA19-9 and FE-1 | ||||||
| CA19-9 < 385 and FE-1 ≥ 100 | 1 | ref. | <0.001 | 1 | ref. | <0.001 |
| CA19-9 < 385 and FE-1 < 100 | 1.29 (0.94, 1.76) | 0.117 | 0.93 (0.69, 1.25) | 0.613 | ||
| CA19-9 ≥ 385 and FE-1 ≥ 100 | 1.48 (1.07, 2.06) | 0.019 | 1.77 (1.33, 2.36) | <0.001 | ||
| CA19-9 ≥ 385 and FE-1 < 100 | 2.09 (1.50, 2.91) | <0.001 | 2.00 (1.47, 2.72) | <0.001 | ||










References
- Siegel, R.L.; Miller, K.D.; Fuchs, H.E.; Jemal, A. Cancer statistics, 2022. CA Cancer J. Clin. 2022, 72, 7–33. [Google Scholar] [CrossRef]
- Kimura, K.; Amano, R.; Nakata, B.; Yamazoe, S.; Hirata, K.; Murata, A.; Miura, K.; Nishio, K.; Hirakawa, T.; Ohira, M.; et al. Clinical and pathological features of five-year survivors after pancreatectomy for pancreatic adenocarcinoma. World J. Surg. Oncol. 2014, 12, 360. [Google Scholar] [CrossRef] [PubMed]
- Benassai, G.; Quarto, G.; Perrotta, S.; Furino, E.; Benassai, G.L.; Amato, B.; Bianco, T.; De Palma, G.; Forestieri, P. Long-term survival after curative resection for pancreatic ductal adenocarcinoma—Surgical treatment. Int. J. Surg. 2015, 21 (Suppl. S1), S1–S3. [Google Scholar] [CrossRef] [PubMed]
- Yamamoto, T.; Yagi, S.; Kinoshita, H.; Sakamoto, Y.; Okada, K.; Uryuhara, K.; Morimoto, T.; Kaihara, S.; Hosotani, R. Long-term survival after resection of pancreatic cancer: A single-center retrospective analysis. World J. Gastroenterol. 2015, 21, 262–268. [Google Scholar] [CrossRef]
- Lee, S.R.; Kim, H.O.; Son, B.H.; Yoo, C.H.; Shin, J.H. Prognostic factors associated with long-term survival and recurrence in pancreatic adenocarcinoma. Hepatogastroenterology 2013, 60, 358–362. [Google Scholar]
- Ren, S.; Qian, L.; Cao, Y.; Daniels, M.J.; Song, L.; Tian, Y.; Wang, Z. Computed tomography-based radiomics diagnostic approach for differential diagnosis between early- and late-stage pancreatic ductal adenocarcinoma. World J. Gastrointest. Oncol. 2024, 16, 1256–1267. [Google Scholar] [CrossRef]
- Tempero, M.A.; Malafa, M.P.; Al-Hawary, M.; Behrman, S.W.; Benson, A.B.; Cardin, D.B.; Chiorean, E.G.; Chung, V.; Czito, B.; Chiaro, M.D.; et al. Pancreatic Adenocarcinoma, Version 2.2021, NCCN Clinical Practice Guidelines in Oncology. J. Natl. Compr. Cancer Netw. 2021, 19, 439–457. [Google Scholar] [CrossRef] [PubMed]
- Ono, A.; Murakami, Y.; Abdel-Wahab, M.; Nagata, Y. Current update of treatment strategies for borderline resectable pancreatic cancer: A narrative review. J. Gastrointest. Oncol. 2022, 13, 885–897. [Google Scholar] [CrossRef]
- Isaji, S.; Mizuno, S.; Windsor, J.A.; Bassi, C.; Fernandez-Del Castillo, C.; Hackert, T.; Hayasaki, A.; Katz, M.H.G.; Kim, S.W.; Kishiwada, M.; et al. International consensus on definition and criteria of borderline resectable pancreatic ductal adenocarcinoma 2017. Pancreatology 2018, 18, 2–11. [Google Scholar] [CrossRef] [PubMed]
- Ventrucci, M.; Pozzato, P.; Cipolla, A.; Uomo, G. Persistent elevation of serum CA 19-9 with no evidence of malignant disease. Dig. Liver Dis. 2009, 41, 357–363. [Google Scholar] [CrossRef] [PubMed]
- Mattar, R.; Lima, G.A.; da Costa, M.Z.; Silva-Etto, J.M.; Guarita, D.; Carrilho, F.J. Comparison of fecal elastase 1 for exocrine pancreatic insufficiency evaluation between ex-alcoholics and chronic pancreatitis patients. Arq. Gastroenterol. 2014, 51, 297–301. [Google Scholar] [CrossRef] [PubMed][Green Version]
- Lindkvist, B. Diagnosis and treatment of pancreatic exocrine insufficiency. World J. Gastroenterol. 2013, 19, 7258–7266. [Google Scholar] [CrossRef] [PubMed]
- Sziegoleit, A.; Krause, E.; Klor, H.U.; Kanacher, L.; Linder, D. Elastase 1 and chymotrypsin B in pancreatic juice and feces. Clin. Biochem. 1989, 22, 85–89. [Google Scholar] [CrossRef]
- Loser, C.; Mollgaard, A.; Folsch, U.R. Faecal elastase 1: A novel, highly sensitive, and specific tubeless pancreatic function test. Gut 1996, 39, 580–586. [Google Scholar] [CrossRef] [PubMed]
- Tjomsland, V.; Niklasson, L.; Sandstrom, P.; Borch, K.; Druid, H.; Bratthall, C.; Messmer, D.; Laesson, M.; Spångeus, A. The desmoplastic stroma plays an essential role in the accumulation and modulation of infiltrated immune cells in pancreatic adenocarcinoma. Clin. Dev. Immunol. 2011, 2011, 212810. [Google Scholar] [CrossRef] [PubMed]
- Lim, J.H.; Park, J.S.; Yoon, D.S. Preoperative fecal elastase-1 is a useful prognostic marker following curative resection of pancreatic cancer. HPB 2017, 19, 388–395. [Google Scholar] [CrossRef]
- Tran, T.C.; van ‘t Hof, G.; Kazemier, G.; Hop, W.C.; Pek, C.; van Toorenenbergen, A.W.; van Dekken, H.; van Eijck, C.H.J. Pancreatic fibrosis correlates with exocrine pancreatic insufficiency after pancreatoduodenectomy. Dig. Surg. 2008, 25, 311–318. [Google Scholar] [CrossRef]
- Sakai, S.; Iwata, C.; Tanaka, H.Y.; Cabral, H.; Morishita, Y.; Miyazono, K.; Kano, M.R. Increased fibrosis and impaired intratumoral accumulation of macromolecules in a murine model of pancreatic cancer co-administered with FGF-2. J. Control. Release 2016, 230, 109–115. [Google Scholar] [CrossRef]
- Nielsen, M.F.; Mortensen, M.B.; Detlefsen, S. Key players in pancreatic cancer-stroma interaction: Cancer-associated fibroblasts, endothelial and inflammatory cells. World J. Gastroenterol. 2016, 22, 2678–2700. [Google Scholar] [CrossRef]
- Yuzawa, S.; Kano, M.R.; Einama, T.; Nishihara, H. PDGFRbeta expression in tumor stroma of pancreatic adenocarcinoma as a reliable prognostic marker. Med. Oncol. 2012, 29, 2824–2830. [Google Scholar] [CrossRef]
- Wang, L.M.; Silva, M.A.; D’Costa, Z.; Bockelmann, R.; Soonawalla, Z.; Liu, S.; O’Neill, E.; Mukherjee, S.; Mckenna, W.G.; Muschel, R.; et al. The prognostic role of desmoplastic stroma in pancreatic ductal adenocarcinoma. Oncotarget 2016, 7, 4183–4194. [Google Scholar] [CrossRef] [PubMed]
- Bever, K.M.; Sugar, E.A.; Bigelow, E.; Sharma, R.; Laheru, D.; Wolfgang, C.L.; Jaffee, E.M.; Anders, R.A.; Jesus-Acosta, A.D.; Zheng, L. The prognostic value of stroma in pancreatic cancer in patients receiving adjuvant therapy. HPB 2015, 17, 292–298. [Google Scholar] [CrossRef] [PubMed]
- Neesse, A.; Michl, P.; Frese, K.K.; Feig, C.; Cook, N.; Jacobetz, M.A.; Lolkema, M.P.; Buchholz, M.; Olive, K.P.; Gress, T.M.; et al. Stromal biology and therapy in pancreatic cancer. Gut 2011, 60, 861–868. [Google Scholar] [CrossRef] [PubMed]
- Partelli, S.; Frulloni, L.; Minniti, C.; Bassi, C.; Barugola, G.; D’Onofrio, M.; Crippa, S.; Falconi, M. Faecal elastase-1 is an independent predictor of survival in advanced pancreatic cancer. Dig. Liver. Dis. 2012, 44, 945–951. [Google Scholar] [CrossRef]
- Ren, S.; Zhu, X.; Zhang, A.; Li, D.; Zuo, C.; Zhang, H. Prognostic value of 18F-FDG PET /CT metabolic parameters in patients with locally advanced pancreatic Cancer treated with stereotactic body radiation therapy. Cancer Imaging 2020, 20, 22. [Google Scholar] [CrossRef] [PubMed]
- Dell’Aquila, E.; Fulgenzi, C.A.M.; Minelli, A.; Citarella, F.; Stellato, M.; Pantano, F.; Russano, M.; Cursano, M.C.; Napolitano, A.; Zeppola, T.; et al. Prognostic and predictive factors in pancreatic cancer. Oncotarget 2020, 11, 924–941. [Google Scholar] [CrossRef] [PubMed]
- Suzuki, F.; Fujiwara, Y.; Hamura, R.; Haruki, K.; Sakamoto, T.; Shiba, H.; Yanaga, K. Combination of Distance from Superior Mesenteric Artery and Serum CA19-9 as a Novel Prediction of Local Recurrence in Patients with Pancreatic Cancer Following Resection. Anticancer Res. 2019, 39, 1469–1478. [Google Scholar] [CrossRef]
- Song, J.Y.; Chen, M.Q.; Guo, J.H.; Lian, S.F.; Xu, B.H. Combined pretreatment serum CA19-9 and neutrophil-to-lymphocyte ratio as a potential prognostic factor in metastatic pancreatic cancer patients. Medicine 2018, 97, e9707. [Google Scholar] [CrossRef] [PubMed]
- Lee, H.S.; Jang, C.Y.; Kim, S.A.; Park, S.B.; Jung, D.E.; Kim, B.O.; Kim, H.Y.; Chung, M.J.; Park, J.Y.; Bang, S.; et al. Combined use of CEMIP and CA 19-9 enhances diagnostic accuracy for pancreatic cancer. Sci. Rep. 2018, 8, 3383. [Google Scholar] [CrossRef] [PubMed]
- Gu, J.; Wang, D.; Huang, Y.; Lu, Y.; Peng, C. Diagnostic value of combining CA 19-9 and K-ras gene mutation in pancreatic carcinoma: A meta-analysis. Int. J. Clin. Exp. Med. 2014, 7, 3225–3234. [Google Scholar]
- Zhang, J.; Wang, Y.; Zhao, T.; Li, Y.; Tian, L.; Zhao, J.; Zhang, J. Evaluation of serum MUC5AC in combination with CA19-9 for the diagnosis of pancreatic cancer. World J. Surg. Oncol. 2020, 18, 31. [Google Scholar] [CrossRef] [PubMed]
- Xu, J.; Lyu, S.; Zhao, Y.; Zhang, X.; Liu, Z.; Zhao, X.; He, Q. Ratio of CA19-9 Level to Total Tumor Volume as a Prognostic Predictor of Pancreatic Carcinoma After Curative Resection. Technol. Cancer Res. Treat. 2022, 21, 15330338221078438. [Google Scholar] [CrossRef] [PubMed]
- Kim, S.; Park, B.K.; Seo, J.H.; Choi, J.; Choi, J.W.; Lee, C.K.; Chung, J.B.; Park, Y.; Kim, D.W. Carbohydrate antigen 19-9 elevation without evidence of malignant or pancreatobiliary diseases. Sci. Rep. 2020, 10, 8820. [Google Scholar] [CrossRef] [PubMed]
- Parra-Robert, M.; Santos, V.M.; Canis, S.M.; Pla, X.F.; Fradera, J.M.A.; Porto, R.M. Relationship Between CA 19.9 and the Lewis Phenotype: Options to Improve Diagnostic Efficiency. Anticancer Res. 2018, 38, 5883–5888. [Google Scholar] [CrossRef]
- Nurmi, A.M.; Mustonen, H.K.; Stenman, U.H.; Seppanen, H.E.; Haglund, C.H. Combining CRP and CA19-9 in a novel prognostic score in pancreatic ductal adenocarcinoma. Sci. Rep. 2021, 11, 781. [Google Scholar] [CrossRef] [PubMed]


| Variables | Mean/n (SD/%) |
|---|---|
| Age, mean (SD) | 65.4 (9.6) |
| Age, n (%) | |
| <58 | 115 (21.5) |
| ≥58 and <66 | 135 (25.2) |
| ≥66 and <73 | 144 (26.9) |
| ≥73 | 142 (26.5) |
| Sex, n (%) | |
| Male | 318 (59.3) |
| Female | 218 (40.7) |
| T classification, n (%) | |
| T1 | 67 (12.5) |
| T2 | 346 (64.6) |
| T3 | 113 (21.1) |
| T4 | 10 (1.8) |
| N classification, n (%) | |
| N0 | 200 (37.3) |
| N1 | 239 (44.6) |
| N2 | 97 (18.1) |
| Perineural invasion, n (%) | |
| Negative | 469 (87.5) |
| Positive | 67 (12.5) |
| Lymphovascular invasion, n (%) | |
| Negative | 254 (47.4) |
| Positive | 282 (52.6) |
| Histologic differentiate, n (%) | |
| Well | 48 (9.0) |
| Moderate | 402 (75.0) |
| Poorly or undifferentiated | 79 (14.7) |
| Unknown | 7 (1.3) |
| Resection margine, n (%) | |
| R0 | 462 (86.2) |
| R1 | 74 (13.8) |
| Variables | CA19-9 < 385 and FE-1 ≥ 100 (n = 225) | CA19-9 < 385 and FE-1 < 100 (n = 135) | CA19-9 ≥ 385 and FE-1 ≥ 100 (n = 96) | CA19-9 ≥ 385 and FE-1 < 100 (n = 80) | p Value |
|---|---|---|---|---|---|
| Age, mean (SD) | 65.4 (9.9) | 64.9 (10.4) | 66.4 (9.0) | 64.8 (8.3) | 0.642 |
| Age, n (%) | 0.505 | ||||
| <58 | 47 (20.9) | 33 (24.4) | 16 (16.7) | 19 (23.8) | |
| ≥58 and <66 | 58 (25.8) | 31 (23.0) | 27 (28.1) | 19 (23.8) | |
| ≥66 and <73 | 59 (26.2) | 34 (25.2) | 23 (24.0) | 28 (35.0) | |
| ≥73 | 61 (27.1) | 37 (27.4) | 30 (31.2) | 14 (17.5) | |
| Sex, n (%) | 0.126 | ||||
| Male | 130 (57.8) | 89 (65.9) | 49 (51.0) | 50 (62.5) | |
| Female | 95 (42.2) | 46 (34.1) | 47 (49.0) | 30 (37.5) | |
| T classification, n (%) | 0.002 | ||||
| T1 | 36 (16.0) | 23 (17.0) | 3 (3.1) | 5 (6.3) | |
| T2 | 152 (67.6) | 83 (61.5) | 61 (63.5) | 50 (62.5) | |
| T3 | 36 (16.0) | 25 (18.5) | 30 (31.3) | 22 (27.5) | |
| T4 | 1 (0.4) | 4 (3.0) | 2 (2.1) | 3 (3.8) | |
| N classification, n (%) | 0.001 | ||||
| N0 | 97 (43.1) | 60 (44.4) | 27 (28.1) | 16 (20.0) | |
| N1 | 97 (43.1) | 51 (37.8) | 48 (50) | 43 (53.8) | |
| N2 | 31 (13.8) | 24 (17.8) | 21 (21.9) | 21 (26.3) | |
| Perineural invasion, n (%) | 0.086 | ||||
| Negative | 193 (85.8) | 113 (83.7) | 89 (92.7) | 74 (92.5) | |
| Positive | 32 (14.2) | 22 (16.3) | 7 (7.3) | 6 (7.5) | |
| Lymphovascular invasion, n (%) | 0.001 | ||||
| Negative | 94 (41.8) | 58 (43.0) | 49 (51.0) | 53 (66.3) | |
| Positive | 131 (58.2) | 77 (57.0) | 47 (49.0) | 27 (33.8) | |
| Histologic differentiate, n (%) | 0.346 | ||||
| Well | 23 (10.2) | 15 (11.1) | 8 (8.3) | 2 (2.5) | |
| Moderate | 171 (76.0) | 94 (69.6) | 74 (77.1) | 63 (78.8) | |
| Poorly or undifferentiated | 29 (12.9) | 22 (16.3) | 14 (14.6) | 14 (17.5) | |
| Unknown | 2 (0.9) | 4 (3.0) | 0 (0.0) | 1 (1.2) | |
| Resection margine, n (%) | 0.017 | ||||
| R0 | 202 (89.8) | 110 (81.5) | 87 (90.6) | 63 (78.8) | |
| R1 | 23 (10.2) | 25 (18.5) | 9 (9.4) | 17 (21.2) | |
| Event, n (%) | |||||
| Death within 3-year | 83 (36.9) | 63 (46.7) | 51 (53.1) | 55 (68.8) | <0.001 |
| Recurrence within 1-year | 79 (35.1.2) | 46 (34.1) | 56 (58.4) | 50 (65.2) | <0.001 |
| Variables | Univariate Cox Proportional Model | Multivariate Cox Proportional Model | ||||||||||
|---|---|---|---|---|---|---|---|---|---|---|---|---|
| Event = 3-Year OS | Event = 1-Year RFS | Event = 3-Year OS | Event = 1-Year RFS | |||||||||
| HR (95% CI) | p Value | p Trend | HR (95% CI) | p Value | p Trend | HR (95% CI) | p Value | p Trend | HR (95% CI) | p Value | p Trend | |
| Age | ||||||||||||
| <58 | 1 | ref. | 0.002 | 1 | ref. | 0.557 | 1 | ref. | 0.001 | 1 | ref. | 0.797 |
| ≥58 and <66 | 0.80 (0.55, 1.18) | 0.267 | 0.88 (0.60, 1.28) | 0.499 | 0.79 (0.53, 1.17) | 0.234 | 0.82 (0.55, 1.2) | 0.304 | ||||
| ≥66 and <73 | 1.01 (0.70, 1.46) | 0.959 | 0.93 (0.64, 1.36) | 0.716 | 1.01 (0.70, 1.46) | 0.963 | 0.85 (0.58, 1.24) | 0.391 | ||||
| ≥73 | 1.61 (1.14, 2.29) | 0.008 | 1.06 (0.73, 1.54) | 0.750 | 1.68 (1.18, 2.41) | 0.004 | 1.03 (0.70, 1.50) | 0.893 | ||||
| Sex | ||||||||||||
| Male | 1 | ref. | 1 | ref. | 1 | ref. | 1 | ref. | ||||
| Female | 1.01 (0.78, 1.30) | 0.968 | 0.99 (0.76, 1.29) | 0.945 | 0.98 (0.76, 1.27) | 0.868 | 1.04 (0.79, 1.37) | 0.783 | ||||
| T classification | ||||||||||||
| T1 | 1 | ref. | 0.002 | 1 | ref. | <0.001 | 1 | ref. | 0.439 | 1 | ref. | 0.085 |
| T2 | 2.22 (1.39, 3.53) | 0.001 | 2.94 (1.63, 5.29) | <0.001 | 1.50 (0.92, 2.44) | 0.109 | 2.02 (1.09, 3.74) | 0.025 | ||||
| T3/4 | 2.46 (1.48, 4.07) | 0.001 | 3.87 (2.09, 7.18) | <0.001 | 1.42 (0.83, 2.44) | 0.201 | 2.13 (1.11, 4.09) | 0.024 | ||||
| N classification | ||||||||||||
| N0 | 1 | ref. | <0.001 | 1 | ref. | <0.001 | 1 | ref. | <0.001 | 1 | ref. | 0.007 |
| N1 | 1.66 (1.23, 2.24) | 0.001 | 1.74 (1.28, 2.37) | <0.001 | 1.39 (1.01, 1.92) | 0.046 | 1.40 (1.00, 1.96) | 0.049 | ||||
| N2 | 3.14 (2.24, 4.41) | <0.001 | 2.25 (1.55, 3.25) | <0.001 | 2.33 (1.60, 3.39) | <0.001 | 1.75 (1.16, 2.64) | 0.007 | ||||
| Perineural invasion | ||||||||||||
| Negative | 1 | ref. | 1 | ref. | 1 | ref. | 1 | ref. | ||||
| Positive | 0.42 (0.26, 0.67) | <0.001 | 0.61 (0.39, 0.97) | 0.035 | 0.67 (0.41, 1.10) | 0.113 | 1.11 (0.68, 1.83) | 0.671 | ||||
| Lymphovascular invasion | ||||||||||||
| Negative | 1 | ref. | 1 | ref. | 1 | ref. | 1 | ref. | ||||
| Positive | 0.60 (0.47, 0.77) | <0.001 | 0.61 (0.47, 0.80) | <0.001 | 0.84 (0.64, 1.10) | 0.198 | 0.84 (0.63, 1.12) | 0.237 | ||||
| Histologic differentiate | ||||||||||||
| Well | 1 | ref. | 0.001 | 1 | ref. | <0.001 | 1 | ref. | 0.001 | 1 | ref. | <0.001 |
| Moderate | 2.36 (1.35, 4.15) | 0.003 | 3.61 (1.69, 7.68) | 0.001 | 1.97 (1.11, 3.50) | 0.021 | 3.03 (1.41, 6.53) | 0.005 | ||||
| Poorly or undifferentiated | 3.02 (1.62, 5.63) | 0.001 | 6.75 (3.05, 14.92) | <0.001 | 2.85 (1.51, 5.36) | 0.001 | 6.23 (2.79, 13.92) | <0.001 | ||||
| Resection Margine, N (%) | ||||||||||||
| R0 | 1 | ref. | 1 | ref. | 1 | ref. | 1 | ref. | ||||
| R1 | 1.25 (0.88, 1.78) | 0.220 | 1.28 (0.89, 1.85) | 0.182 | 0.97 (0.67, 1.41) | 0.876 | 1.20 (0.81, 1.76) | 0.367 | ||||
| Preoperative CA19-9 and FE-1 | ||||||||||||
| CA19-9 < 385 and FE-1 ≥ 100 | 1 | ref. | <0.001 | 1 | ref. | <0.001 | 1 | ref. | <0.001 | 1 | ref. | <0.001 |
| CA19-9 < 385 and FE-1 < 100 | 1.40 (1.01, 1.95) | 0.046 | 1.00 (0.69, 1.45) | 0.989 | 1.41 (1.01, 1.97) | 0.045 | 0.88 (0.61, 1.29) | 0.522 | ||||
| CA19-9 ≥ 385 and FE-1 ≥ 100 | 1.72 (1.21, 2.44) | 0.002 | 2.08 (1.47, 2.93) | <0.001 | 1.45 (1.01, 2.07) | 0.045 | 1.75 (1.23, 2.50) | 0.002 | ||||
| CA19-9 ≥ 385 and FE-1 < 100 | 2.48 (1.75, 3.49) | <0.001 | 2.43 (1.70, 3.48) | <0.001 | 2.00 (1.40, 2.86) | <0.001 | 1.88 (1.29, 2.72) | 0.001 | ||||
Disclaimer/Publisher’s Note: The statements, opinions and data contained in all publications are solely those of the individual author(s) and contributor(s) and not of MDPI and/or the editor(s). MDPI and/or the editor(s) disclaim responsibility for any injury to people or property resulting from any ideas, methods, instructions or products referred to in the content. |
© 2024 by the authors. Licensee MDPI, Basel, Switzerland. This article is an open access article distributed under the terms and conditions of the Creative Commons Attribution (CC BY) license (https://creativecommons.org/licenses/by/4.0/).
Share and Cite
Kim, H.S.; Kim, W.; Yun, W.-G.; Jung, H.-S.; Han, Y.; Lee, M.; Kwon, W.; Jang, J.-Y.; Park, J.S. Novel Predictive Strategy Using CA19-9 and Fecal Elastase Levels to Make Treatment Decisions for Resectable Pancreatic Cancer: A Retrospective Study. Biomedicines 2025, 13, 62. https://doi.org/10.3390/biomedicines13010062
Kim HS, Kim W, Yun W-G, Jung H-S, Han Y, Lee M, Kwon W, Jang J-Y, Park JS. Novel Predictive Strategy Using CA19-9 and Fecal Elastase Levels to Make Treatment Decisions for Resectable Pancreatic Cancer: A Retrospective Study. Biomedicines. 2025; 13(1):62. https://doi.org/10.3390/biomedicines13010062
Chicago/Turabian StyleKim, Hyung Sun, Woojin Kim, Won-Gun Yun, Hye-Sol Jung, Youngmin Han, Mirang Lee, Wooil Kwon, Jin-Young Jang, and Joon Seong Park. 2025. "Novel Predictive Strategy Using CA19-9 and Fecal Elastase Levels to Make Treatment Decisions for Resectable Pancreatic Cancer: A Retrospective Study" Biomedicines 13, no. 1: 62. https://doi.org/10.3390/biomedicines13010062
APA StyleKim, H. S., Kim, W., Yun, W.-G., Jung, H.-S., Han, Y., Lee, M., Kwon, W., Jang, J.-Y., & Park, J. S. (2025). Novel Predictive Strategy Using CA19-9 and Fecal Elastase Levels to Make Treatment Decisions for Resectable Pancreatic Cancer: A Retrospective Study. Biomedicines, 13(1), 62. https://doi.org/10.3390/biomedicines13010062

