Palm Tocotrienol Activates the Wnt3a/β-Catenin Signaling Pathway, Protecting MC3T3-E1 Osteoblasts from Cellular Damage Caused by Dexamethasone and Promoting Bone Formation
Abstract
1. Introduction
2. Materials and Methods
2.1. Chemicals
2.2. Cell Culture
2.3. To Determine the Effects of Dexamethasone on Cell Proliferation and Differentiation
2.3.1. Cell Viability Assay
2.3.2. Cell Morphology
2.4. To Determine the Effect of PTT on the MC3T3-E1 Cells Treated with Dexamethasone
2.4.1. Alkaline Phosphatase (ALP) Assay
2.4.2. Mineralization Analysis by Alizarin Red Staining
2.4.3. Wnt3a, β-Catenin, COL1α1, and ALP and OCN, LRP6, and RUNX2 ELISA ASSAYS
2.5. Statistical Analysis
3. Results
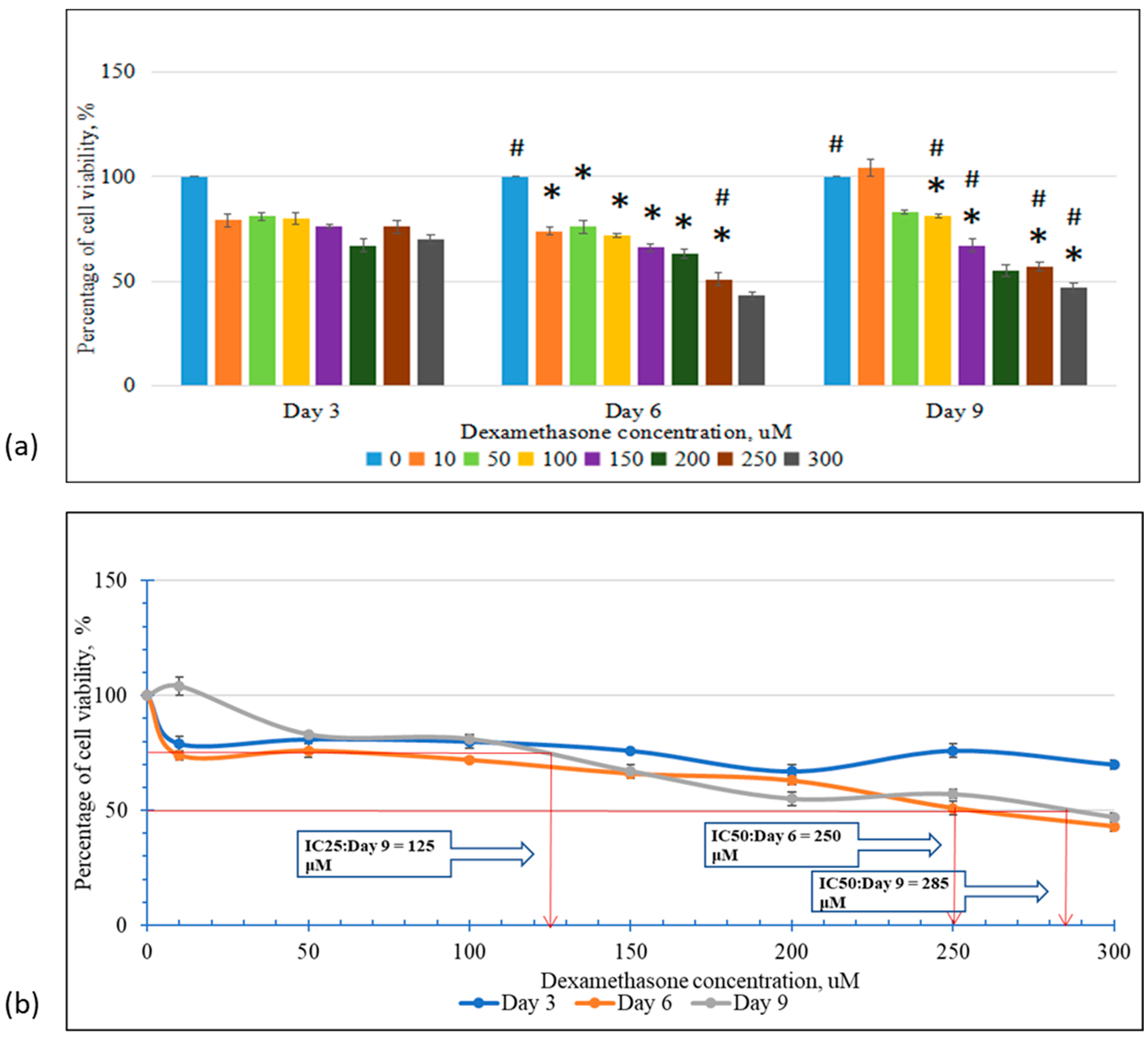
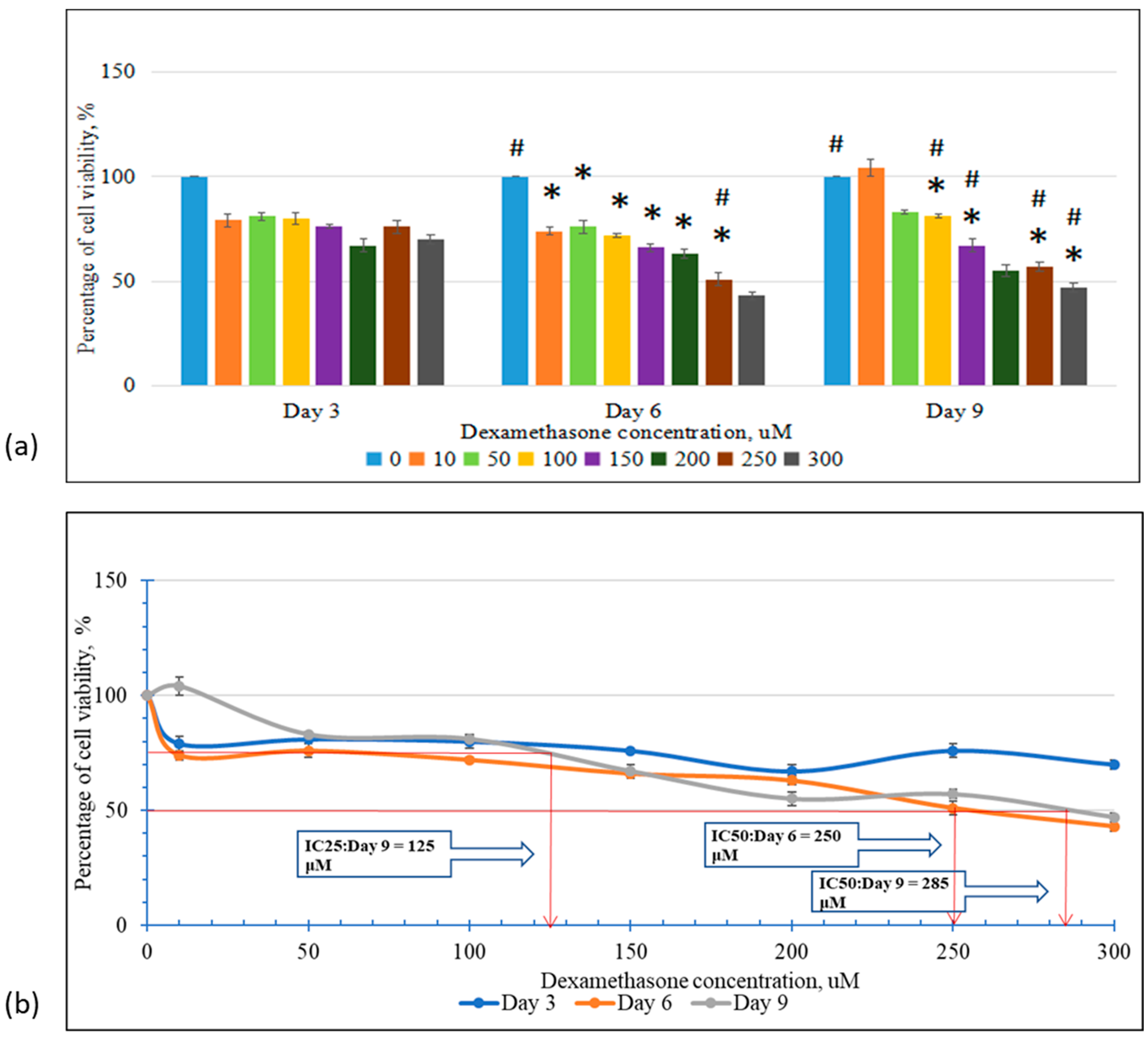
3.1. Effects of Dexamethasone on Cell Proliferation
3.2. Effects of DEX on the Morphology of MC3T3-E1 Cell Differentiation
3.3. PPT Reduced the Alkaline Phosphatase (ALP) Inhibitory Effect of DEX
3.4. PPT Increased the Protein Level of LRP6, Wnt3a, CTNNb1, RUNX2, COL1a1 and OCN in DEX-Treated MC3T3-E1 Cells
3.4.1. Protein LRP6
3.4.2. Protein Wnt3a
3.4.3. Protein CTNNb1
3.4.4. Protein RUNX2
3.4.5. Protein COL1a1
3.4.6. Protein OCN
3.5. PPT Attenuated the Inhibitory Effect of DEX on Mineralization
4. Discussion
5. Conclusions
Author Contributions
Funding
Institutional Review Board Statement
Informed Consent Statement
Data Availability Statement
Acknowledgments
Conflicts of Interest
References
- Rashki Kemmak, A.; Rezapour, A.; Jahangiri, R.; Nikjoo, S.; Farabi, H.; Soleimanpour, S. Economic burden of osteoporosis in the world: A systematic review. Med. J. Islam. Repub. Iran 2020, 34, 154. [Google Scholar] [CrossRef] [PubMed]
- Gabriele, R.; Denise, J.; Jessika, A.; Sven, M.; Serafeim, T.; Johannes, K. Anabolic Therapies in Osteoporosis and Bone Regeneration. Int. J. Mol. Sci. 2018, 20, 83. [Google Scholar] [CrossRef] [PubMed]
- Zammel, N.; Oudadesse, H.; Allagui, I.; Lefeuvre, B.; Rebai, T.; Badraoui, R. Evaluation of lumbar vertebrae mineral composition in rat model of severe osteopenia: A Fourier Transform Infrared Spectroscopy (FTIR) analysis. Vib. Spectrosc. 2021, 115, 103279. [Google Scholar] [CrossRef]
- Frenkel, B.; White, W.; Tuckermann, J. Glucocorticoid-induced osteoporosis. Adv. Exp. Med. Biol. 2015, 872, 179–215. [Google Scholar] [PubMed]
- Henneicke, H.; Gasparini, S.J.; Brennan-Speranza, T.C.; Zhou, H.; Seibel, M.J. Glucocorticoids and bone: Local effects and systemic implications. Trends Endocrinol. Metab. 2014, 25, 197–211. [Google Scholar] [CrossRef]
- Compston, J. Glucocorticoid-induced osteoporosis: An update. Endocrine 2018, 61, 7–16. [Google Scholar] [CrossRef] [PubMed]
- Weinstein, R.S. Glucocorticoid-induced osteonecrosis. Endocrine 2012, 41, 183–190. [Google Scholar] [CrossRef] [PubMed]
- Koromila, T.; Baniwal, S.K.; Song, Y.S.; Martin, A.; Xiong, J.; Frenkel, B. Glucocorticoids antagonize RUNX2 during osteoblast differentiation in cultures of ST2 pluripotent mesenchymal cells. J. Cell. Biochem. 2014, 115, 27–33. [Google Scholar] [CrossRef] [PubMed]
- Kerachian, M.A.; Séguin, C.; Harvey, E.J. Glucocorticoids in osteonecrosis of the femoral head: A new understanding of the mechanisms of action. J. Steroid Biochem. Mol. Biol. 2009, 114, 121–128. [Google Scholar] [CrossRef] [PubMed]
- Rauch, A.; Seitz, S.; Baschant, U.; Schilling, A.F.; Illing, A.; Stride, B.; Kirilov, M.; Mandic, V.; Takacz, A.; Schmidt-Ullrich, R.; et al. Glucocorticoids suppress bone formation by attenuating osteoblast differentiation via the monomeric glucocorticoid receptor. Cell Metab. 2010, 11, 517–531. [Google Scholar] [CrossRef]
- Ohnaka, K.; Tanabe, M.; Kawate, H.; Nawata, H.; Takayanagi, R. Glucocorticoid suppresses the canonical Wnt signal in cultured human osteoblasts. Biochem. Biophys. Res. Commun. 2005, 329, 177–181. [Google Scholar] [CrossRef] [PubMed]
- Gu, K.; Zhang, L.; Jin, T.; Rutherford, R.B. Identification of potential modifiers of Runx2/Cbfa1 activity in C2C12 cells in response to bone morphogenetic protein-7. Cells Tissues Organ. 2004, 176, 28–40. [Google Scholar] [CrossRef] [PubMed]
- Shen, B.; Wei, A.; Whittaker, S.; Williams, L.A.; Tao, H.; Ma, D.D.; Ashish, D.D. The role of BMP-7 in chondrogenic and osteogenic differentiation of human bone marrow multipotent mesenchymal stromal cells in vitro. J. Cell. Biochem. 2010, 109, 406–416. [Google Scholar] [CrossRef] [PubMed]
- Tan, G.; Kang, P.D.; Pei, F.X. Glucocorticoids affect the metabolism of bone marrow stromal cells and lead to osteonecrosis of the femoral head: A review. Chin. Med. J. (Engl.) 2012, 125, 134–139. [Google Scholar] [CrossRef] [PubMed]
- Peng, J.; Dong, Z.; Hui, Z.; Aifei, W.; Lianfu, D.; Youjia, X. Bone Sclerostin and Dickkopf-related protein-1 are positively correlated with bone mineral density, bone microarchitecture, and bone strength in postmenopausal osteoporosis. BMC Musculoskelet. Disord. 2021, 22, 480. [Google Scholar] [CrossRef]
- Hasan, L.K.; Aljabban, J.; Rohr, M.; Mukhtar, M.; Adapa, N.; Salim, R.; Aljabban, N.; Syed, S.; Syed, S.; Panahiazar, M.; et al. Metaanalysis Reveals Genetic Correlates of Osteoporosis Pathogenesis. J. Rheumatol. 2021, 48, 940–945. [Google Scholar] [CrossRef]
- Takada, S.; Stark, K.L.; Shea, M.J.; Vassileva, G.; McMahon, J.A.; McMahon, A.P. Wnt-3a regulates somite and tailbud formation in the mouse embryo. Genes Dev. 1994, 8, 174–189. [Google Scholar] [CrossRef]
- Greco, T.L.; Takada, S.; Newhouse, M.M.; McMahon, J.A.; McMahon, A.P.; Camper, S.A. Analysis of the vestigial tail mutation demonstrates that Wnt-3a gene dosage regulates mouse axial development. Genes Dev. 1996, 10, 313–324. [Google Scholar] [CrossRef] [PubMed]
- Hill, T.P.; Spater, D.; Taketo, M.M.; Birchmeier, W.; Hartmann, C. Canonical Wnt/beta-catenin signaling prevents osteoblasts from differentiating into chondrocytes. Dev. Cell 2005, 8, 727–738. [Google Scholar] [CrossRef] [PubMed]
- Day, T.F.; Guo, X.; Garrett-Beal, L.; Yang, Y. Wnt/beta-catenin signaling in mesenchymal progenitors controls osteoblast and chondrocyte differentiation during vertebrate skeletogenesis. Dev. Cell 2005, 8, 739–750. [Google Scholar] [CrossRef]
- Riddle, R.C.; Diegel, C.R.; Leslie, J.M.; Van Koevering, K.K.; Faugere, M.C.; Clemens, T.L.; Williams, B.O. Lrp5 and Lrp6 exert overlapping functions in osteoblasts during postnatal bone acquisition. PLoS ONE 2013, 8, e63323. [Google Scholar] [CrossRef] [PubMed]
- Holmen, S.L.; Giambernardi, T.A.; Zylstra, C.R.; Buckner-Berghuis, B.D.; Resau, J.H.; Hess, J.F.; Glatt, V.; Bouxsein, M.L.; Ai, M.; Warman, M.L.; et al. Decreased BMD and limb deformities in mice carrying mutations in both Lrp5 and Lrp6. J. Bone Miner. Res. 2004, 19, 2033–2040. [Google Scholar] [CrossRef] [PubMed]
- Zhong, Z.; Zylstra-Diegel, C.R.; Schumacher, C.A.; Baker, J.J.; Carpenter, A.C.; Rao, S.; Yao, W.; Guan, M.; Helms, J.A.; Lane, N.E.; et al. Wntless functions in mature osteoblasts to regulate bone mass. Proc. Natl. Acad. Sci. USA 2012, 109, E2197–E2204. [Google Scholar] [CrossRef] [PubMed]
- Glass, D.A., 2nd; Bialek, P.; Ahn, J.D.; Starbuck, M.; Patel, M.S.; Clevers, H.; Taketo, M.M.; Long, F.; McMahon, A.P.; Lang, R.A.; et al. Canonical Wnt signaling in differentiated osteoblasts controls osteoclast differentiation. Dev. Cell 2005, 8, 751–764. [Google Scholar] [CrossRef] [PubMed]
- Holmen, S.L.; Zylstra, C.R.; Mukherjee, A.; Sigler, R.E.; Faugere, M.C.; Bouxsein, M.L.; Deng, L.; Clemens, T.; Williams, B.O. Essential role of beta-catenin in postnatal bone acquisition. J. Biol. Chem. 2005, 280, 21162–21168. [Google Scholar] [CrossRef]
- Li, C.; Xing, Q.; Yu, B.; Xie, H.; Wang, W.; Shi, C.; Crane, J.L.; Cao, X.; Wan, M. Disruption of LRP6 in osteoblasts blunts the bone anabolic activity of PTH. J. Bone Miner. Res. 2013, 28, 2094–2108. [Google Scholar] [CrossRef] [PubMed]
- Romero, G.; Sneddon, W.B.; Yang, Y.; Wheeler, D.; Blair, H.C.; Friedman, P.A. Parathyroid hormone receptor directly interacts with dishevelled to regulate beta-catenin signaling and osteoclastogenesis. J. Biol. Chem. 2010, 285, 14756–14763. [Google Scholar] [CrossRef] [PubMed]
- Wan, M.; Yang, C.; Li, J.; Wu, X.; Yuan, H.; Ma, H.; He, X.; Nie, S.; Chang, C.; Cao, X. Parathyroid hormone signaling through low-density lipoprotein-related protein 6. Genes Dev. 2008, 22, 2968–2979. [Google Scholar] [CrossRef] [PubMed]
- Kulkarni, N.H.; Halladay, D.L.; Miles, R.R.; Gilbert, L.M.; Frolik, C.A.; Galvin, R.J.; Martin, T.J.; Gillespie, M.T.; Onyia, J.E. Effects of parathyroid hormone on Wnt signaling pathway in bone. J. Cell. Biochem. 2005, 95, 1178–1190. [Google Scholar] [CrossRef] [PubMed]
- Li, W.; Huang, X.; Yu, W.; Xu, Y.; Huang, R.; Park, J.; Moshaverinia, A.; Arora, P.; Chen, C. Activation of Functional Somatic Stem Cells Promotes Endogenous Tissue Regeneration. J. Dent. Res. 2022, 101, 802–811. [Google Scholar] [CrossRef] [PubMed]
- Wu, Y.; Wang, X.; Zhang, Y.; Wen, Z.; Li, Y.; Zhang, K.; Gosar, N.; Li, Q.; Mao, J.; Gong, S. Proanthocyanidins Ameliorate LPS-Inhibited Osteogenesis of PDLSCs by Restoring Lysine Lactylation. Int. J. Mol. Sci. 2024, 25, 2947. [Google Scholar] [CrossRef] [PubMed]
- Liu, Z.; Li, Q.; Wang, X.; Wu, Y.; Zhang, Z.; Mao, J.; Gong, S. Proanthocyanidin enhances the endogenous regeneration of alveolar bone by elevating the autophagy of PDLSCs. J. Periodontal Res. 2023, 58, 1300–1314. [Google Scholar] [CrossRef] [PubMed]
- Wan Nuraini, W.H.; Kok-Yong, C.; Norzana, A.G.; Ima Nirwana, S. Annatto-Derived Tocotrienol Promotes Mineralization of MC3T3-E1 Cells by Enhancing BMP-2 Protein Expression via Inhibiting RhoA Activation and HMG-CoA Reductase Gene Expression. Drug Des. Dev. Ther. 2020, 14, 969–976. [Google Scholar]
- Chin, K.Y.; Ima-Nirwana, S. The biological effects of tocotrienol on bone: A review on evidence from rodent models. Drug Des. Dev. Ther. 2015, 9, 2049–2061. [Google Scholar] [CrossRef]
- Madhu, M.; Muthu, K.S.; Grishma, R.; Gautham, S.; Alan, P. Kumar Tocotrienols: The unsaturated sidekick shifting new paradigms in vitamin E therapeutics. Drug Discov. Today 2017, 12, 1765–1781. [Google Scholar]
- Radzi, N.F.M.; Ismail, N.A.S.; Alias, E. Tocotrienols Regulate Bone Loss through Suppression on Osteoclast Differentiation and Activity: A Systematic Review. Curr. Drug Targets 2018, 19, 1095–1107. [Google Scholar] [CrossRef] [PubMed]
- Liu, S.; Fang, T.; Yang, L.; Chen, Z.; Mu, S.; Fu, Q. Gastrodin protects MC3T3-E1 osteoblasts from dexamethasone-induced cellular dysfunction and promotes bone formation via induction of the NRF2 signaling pathway. Int. J. Mol. Med. 2018, 4, 2059–2069. [Google Scholar] [CrossRef] [PubMed]
- Shen, C.-L.; Klein, A.; Chin, K.Y.; Huanbiao, M.; Peihsuan, T.; Yang, R.-S.; Chyu, M.-C.; Ima-Nirwana, S. Tocotrienols for bone health: A translational approach. Ann. N. Y. Acad. Sci. 2017, 1401, 150–165. [Google Scholar] [CrossRef] [PubMed]
- Xu, W.N.; Zheng, H.L.; Yang, R.Z.; Jiang, L.S.; Jiang, S.D. HIF-1α Regulates Glucocorticoid-Induced Osteoporosis Through PDK1/AKT/mTOR Signaling Pathway. Front. Endocrinol. 2020, 10, 922. [Google Scholar] [CrossRef] [PubMed]
- Papanastasiou, L.; Fountoulakis, S.; Vatalas, I.A. Adrenal disorders and non-alcoholic fatty liver disease. Minerva Endocrinol. 2017, 42, 151–163. [Google Scholar] [CrossRef] [PubMed]
- Fairus, A.; Ima Nirwana, S.; Elvy Suhana, M.R.; Ming Hooi, T.; Farihah, H.S. Histomorphometric changes in the perirenal adipocytes of adrenalectomied rats treated with dexamethasone. Clinics 2011, 66, 849–853. [Google Scholar]
- Cooper, M.S.; Hewison, M.; Stewart, P.M. Glucocorticoid activity, inactivity and the osteoblast. J. Endocrinol. 1999, 163, 159–164. [Google Scholar] [CrossRef] [PubMed]
- Canalis, E.; Delany, A.M. Mechanisms of glucocorticoid action in bone. Ann. N. Y. Acad. Sci. 2002, 966, 71–73. [Google Scholar] [CrossRef] [PubMed]
- Delany, A.M.; Gabbitas, B.Y.; Canalis, E. Cortisol downregulates osteoblast alpha 1 (I) procollagen mRNA by transcriptional and posttranscriptional mechanisms. J. Cell. Biochem. 1995, 57, 488–494. [Google Scholar] [CrossRef] [PubMed]
- Delany, A.M.; Jeffrey, J.J.; Rydziel, S.; Canalis, E. Cortisol increases interstitial collagenase expression in osteoblasts by post-transcaptional mechanisms. J. Biol. Chem 1995, 270, 26607–26612. [Google Scholar] [CrossRef] [PubMed]
- Qian Li, H.; Weng, W.X.; Wu, Z.; Li, H.; Zhuang, Q.; Feng, B.; Bian, Y. Glucocorticoid receptor and sequential P53 activation by dexamethasone mediates apoptosis and cell cycle arrest of osteoblastic MC3T3-E1 cells. PLoS ONE 2012, 7, e37030. [Google Scholar]
- Chua, C.C.; Chua, B.; Chen, Z.; Landy, C.; Hamdy, R.C. Dexamethasone induces caspase activation in murine osteoblastic MC3T3-E1 cells. Biochim. Biophys. Acta 2003, 1642, 79–85. [Google Scholar] [CrossRef] [PubMed]
- Kalak, R.; Zhou, H.; Street, J.; Day, R.E.; Modzelewski, J.R.; Spies, C.M.; Liu, P.Y.; Li, G.; Dunstan, C.R.; Seibel, M.J. Endogenous glucocorticoid signalling in osteoblasts is necessary to maintain normal bone structure in mice. Bone 2009, 45, 61–67. [Google Scholar] [CrossRef]
- Chen, Z.; Xue, J.; Shen, T.; Mu, S.; Fu, Q. Curcumin alleviates glucocorticoid-induced osteoporosis through the regulation of the Wnt signaling pathway. Int. J. Mol. Med. 2016, 37, 329–338. [Google Scholar] [CrossRef]
- Elvy Suhana, M.R.; Mohamad Fairuz, Y.; Fairus, A.; Ima Nirwana, S. Protective Effects of Palm Tocotrienol Against Glucocorticoid Induced Osteoporosis via Regulation of Gene Expression. Med. Health 2018, 13, 175–197. [Google Scholar]
- Williams, C.; Sapra, A. Osteoporosis Markers. In StatPearls; StatPearls Publishing LLC.: Treasure Island, FL, USA, 2021. [Google Scholar]
- Westerlind, K.C.; Turner, R.T. The skeletal effects of spaceflight in growing rats: Tissue-specific alterations in mRNA levels for TGF-beta. J. Bone Miner. Res. 1995, 10, 843–848. [Google Scholar] [CrossRef] [PubMed]
- Tabassum, A.; Wismeijer, D.; Hogervorst, J.; Tahmaseb, A. Comparison of proliferation and differentiation of human osteoblast-like cells harvested during implant osteotomy preparation using two different drilling protocols. Int. J. Oral Maxillofac. Implants 2020, 35, 141–149. [Google Scholar] [CrossRef] [PubMed]
- Deng, L.; Ding, Y.; Peng, Y.; Wu, Y.; Fan, J.; Li, W.; Yang, R.; Yang, M.; Fu, Q. γ-Tocotrienol protects against ovariectomy-induced bone loss via mevalonate pathway as HMG-CoA reductase inhibitor. Bone 2014, 67, 200–207. [Google Scholar] [CrossRef]
- Zhang, M.; Yan, Y.; Lim, Y.B.; Tang, D.; Xie, R.; Chen, A.; Tai, P.; Harris, S.E.; Qin, Y.Q.; Chen, D. BMP-2 modulates beta-catenin signaling through stimulation of Lrp5 expression and inhibition of beta-TrCP expression in osteoblasts. J. Cell. Biochem. 2009, 108, 896–905. [Google Scholar] [CrossRef] [PubMed]
- Rawadi, G.; Vayssière, B.; Dunn, F.; Baron, R.; Roman-Roman, S. BMP-2 controls alkaline phosphatase expression and osteoblast mineralization by a Wnt autocrine loop. J. Bone Miner. Res. 2003, 18, 1842–1853. [Google Scholar] [CrossRef] [PubMed]
- Zhang, R.; Oyajobi, B.O.; Harris, S.E.; Chen, D.; Tsao, C.; Deng, H.W.; Zhao, M. Wnt/β-catenin signaling activates bone morphogenetic protein 2 expression in osteoblasts. Bone 2013, 52, 145–156. [Google Scholar] [CrossRef] [PubMed]
- Westendorf, J.J.; Kahler, R.A.; Schroeder, T.M. Wnt signaling in osteoblasts and bone diseases. Gene 2004, 341, 19–39. [Google Scholar] [CrossRef]
- Amjadi-Moheb, F.; Akhavan-Niaki, H. Wnt signaling pathway in osteoporosis: Epigenetic regulation, interaction with other signaling pathways, and therapeutic promises. J. Cell. Physiol. 2019, 234, 14641–14650. [Google Scholar] [CrossRef] [PubMed]
- Teufel, S.; Hartmann, C. Wnt-signaling in skeletal development. Curr. Top. Dev. Biol. 2019, 133, 235–279. [Google Scholar]
- Visweswaran, M.; Pohl, S.; Arfuso, F.; Newsholme, P.; Dilley, R.; Pervaiz, S.; Dharmarajan, A. Multi-lineage differentiation of mesenchymal stem cells—To Wnt, or not Wnt. Int. J. Biochem. Cell Biol. 2015, 68, 139–147. [Google Scholar] [CrossRef]
- Pan, F.F.; Shao, J.; Shi, C.J.; Li, Z.P.; Fu, W.M.; Zhang, J.F. Apigenin promotes osteogenic differentiation of mesenchymal stem cells and accelerates bone fracture healing via activating Wnt/β-catenin signaling. Am. J. Physiol. Endocrinol. Metab. 2021, 320, E760–E771. [Google Scholar] [CrossRef] [PubMed]
- Liang, Y.; Liu, X.; Zhou, R.; Song, D.; Jiang, Y.; Xue, W. Chaetocin Promotes Osteogenic Differentiation via Modulating Wnt/Beta-Catenin Signaling in Mesenchymal Stem Cells. Stem Cells Int. 2021, 2021, 8888416. [Google Scholar] [CrossRef] [PubMed]
- Liang, K.; Du, Y.; Chen, L.; Wang, L.; Li, R.; Yan, Z.; Liu, Y. Contrary Roles of Wnt/β-Catenin Signaling in BMP9-Induced Osteogenic and Adipogenic Differentiation of 3T3-L1 Preadipocytes. Cell Biochem. Biophys. 2020, 78, 347–356. [Google Scholar] [CrossRef] [PubMed]
- Gong, Y.; Slee, R.B.; Fukai, N.; Rawadi, G.; Roman-Roman, S.; Reginato, A.M.; Wang, H.; Cundy, T.; Glorieux, F.H.; Lev, D.; et al. LDL receptor-related protein 5 (LRP5) affects bone accrual and eye development. Cell 2001, 107, 513–523. [Google Scholar] [CrossRef] [PubMed]
- Kato, M.; Patel, M.S.; Levasseur, R.; Lobov, I.; Chang, B.H.; Glass, D.A., 2nd; Hartmann, C.; Li, L.; Hwang, T.H.; Brayton, C.F.; et al. Cbfa1-independent decrease in osteoblast proliferation, osteopenia, and persistent embryonic eye vascularization in mice deficient in Lrp5, a Wnt coreceptor. J. Cell Biol. 2002, 157, 303–314. [Google Scholar] [CrossRef]
- Hildebrandt, S.; Baschant, U.; Thiele, S.; Tuckermann, J.; Hofbauer, L.C.; Rauner, M. Glucocorticoids suppress Wnt16 expression in osteoblasts in vitro and in vivo. Sci. Rep. 2018, 8, 8711. [Google Scholar] [CrossRef]
- Mak, W.; Shao, X.; Dunstan, C.R.; Seibel, M.J.; Zhou, H. Biphasic glucocorticoid-dependent regulation of Wnt expression and its inhibitors in mature osteoblastic cells. Calcif. Tissue Int. 2009, 85, 538–545. [Google Scholar] [CrossRef]
- Zhou, M.; Wu, J.; Yu, Y.; Yang, Y.; Li, J.; Cui, L.; You, W.; Liu, Y. Polygonum multiflorm alleviates glucocorticoid-induced osteoporosis and Wnt signaling pathway. Mol. Med. Res. 2018, 17, 970–978. [Google Scholar] [CrossRef] [PubMed]
- Yao, W.; Cheng, Z.; Busse, C.; Pham, A.; Nakamura, M.C.; Lane, N.E. Glucocorticoid excess in mice results in early activation of osteoclastogenesis and adipogenesis and prolonged suppression of osteogenesis: A longitudinal study of gene expression in bone tissue from glucocorticoid-treated mice. Arthritis Rheum. 2008, 58, 1674–8166. [Google Scholar] [CrossRef]
- Kawano, Y.; Kypta, R. Secreted antagonists of the Wnt signalling pathway. J. Cell Sci. 2003, 116, 2627–2634. [Google Scholar] [CrossRef] [PubMed]
- Hayashi, K.; Yamaguchi, T.; Yano, S.; Kanazawa, I.; Yamauchi, M.; Yamamoto, M.; Sugimoto, T. BMP/Wnt antagonists are upregulated by dexamethasone in osteoblasts and reversed by alendronate and PTH: Potential therapeutic targets for glucocorticoid-induced osteoporosis. Biochem. Biophys. Res. Commun. 2009, 379, 261–266. [Google Scholar] [CrossRef] [PubMed]
- Jacobsson, M.; van Raalte, D.H.; Heijboer, A.C.; den Heijer, M.; de Jongh, R.T. Short-term glucocorticoid treatment reduces circulating sclerostin concentrations in healthy young Men: A randomized, placebo-controlled, double-blind study. J. Bone Miner. Res. Plus 2020, 4, e10341. [Google Scholar] [CrossRef]
- Pereira, R.C.; Delany, A.M.; Canalis, E. Effects of cortisol and bone morphogenetic protein-2 on stromal cell differentiation: Correlation with CCAAT-enhancer binding protein expression. Bone 2002, 30, 685–691. [Google Scholar] [CrossRef] [PubMed]
- Hong, W.; Zhang, W. Hesperidin promotes differentiation of alveolar osteoblasts via Wnt/β-Catenin signaling pathway. J. Recept. Signal Transduct. Res. 2020, 40, 442–448. [Google Scholar] [CrossRef] [PubMed]
- Kim, J.H.; Kim, M.; Hong, S.; Kim, E.Y.; Lee, H.; Jung, H.S.; Sohn, Y. Albiflorin Promotes Osteoblast Differentiation and Healing of Rat Femoral Fractures Through Enhancing BMP-2/Smad and Wnt/β-Catenin Signaling. Front. Pharmacol. 2021, 12, 69011. [Google Scholar] [CrossRef]










Disclaimer/Publisher’s Note: The statements, opinions and data contained in all publications are solely those of the individual author(s) and contributor(s) and not of MDPI and/or the editor(s). MDPI and/or the editor(s) disclaim responsibility for any injury to people or property resulting from any ideas, methods, instructions or products referred to in the content. |
© 2025 by the authors. Licensee MDPI, Basel, Switzerland. This article is an open access article distributed under the terms and conditions of the Creative Commons Attribution (CC BY) license (https://creativecommons.org/licenses/by/4.0/).
Share and Cite
Abdullah Sani, N.; Kamaruddin, N.A.; Soelaiman, I.N.; Pang, K.-L.; Chin, K.-Y.; Ramli, E.S.M. Palm Tocotrienol Activates the Wnt3a/β-Catenin Signaling Pathway, Protecting MC3T3-E1 Osteoblasts from Cellular Damage Caused by Dexamethasone and Promoting Bone Formation. Biomedicines 2025, 13, 243. https://doi.org/10.3390/biomedicines13010243
Abdullah Sani N, Kamaruddin NA, Soelaiman IN, Pang K-L, Chin K-Y, Ramli ESM. Palm Tocotrienol Activates the Wnt3a/β-Catenin Signaling Pathway, Protecting MC3T3-E1 Osteoblasts from Cellular Damage Caused by Dexamethasone and Promoting Bone Formation. Biomedicines. 2025; 13(1):243. https://doi.org/10.3390/biomedicines13010243
Chicago/Turabian StyleAbdullah Sani, Norfarahin, Nur Aqilah Kamaruddin, Ima Nirwana Soelaiman, Kok-Lun Pang, Kok-Yong Chin, and Elvy Suhana Mohd Ramli. 2025. "Palm Tocotrienol Activates the Wnt3a/β-Catenin Signaling Pathway, Protecting MC3T3-E1 Osteoblasts from Cellular Damage Caused by Dexamethasone and Promoting Bone Formation" Biomedicines 13, no. 1: 243. https://doi.org/10.3390/biomedicines13010243
APA StyleAbdullah Sani, N., Kamaruddin, N. A., Soelaiman, I. N., Pang, K.-L., Chin, K.-Y., & Ramli, E. S. M. (2025). Palm Tocotrienol Activates the Wnt3a/β-Catenin Signaling Pathway, Protecting MC3T3-E1 Osteoblasts from Cellular Damage Caused by Dexamethasone and Promoting Bone Formation. Biomedicines, 13(1), 243. https://doi.org/10.3390/biomedicines13010243

