Immune-Targeted Therapy with or without Transarterial Chemoembolization (TACE) for Advanced Hepatocellular Carcinoma with Portal Vein Tumor Thrombosis (PVTT): A Multicenter Retrospective Study
Abstract
1. Introduction
2. Materials and Methods
2.1. Study Design and Patients
2.2. PVTT Diagnosis and Classification
2.3. IT
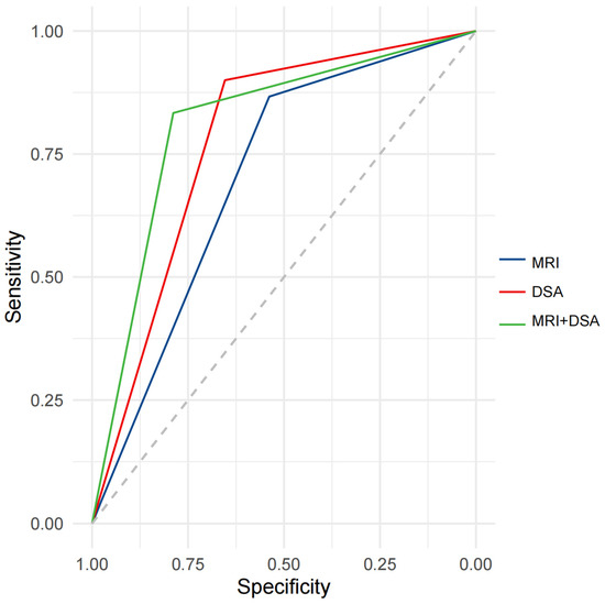
2.4. TACE Procedure and PVTT Blood Supply Classification under DSA
2.5. Follow-Up and Outcomes
2.6. Statistical Analysis
3. Results
3.1. Patient Characteristics
3.2. Treatment Responses
3.3. Associated Factors for OS and PFS
3.4. Safety
4. Discussion
5. Conclusions
Supplementary Materials
Author Contributions
Funding
Institutional Review Board Statement
Informed Consent Statement
Data Availability Statement
Conflicts of Interest
References
- Reig, M.; Forner, A.; Rimola, J.; Ferrer-Fàbrega, J.; Burrel, M.; Garcia-Criado, Á.; Kelley, R.K.; Galle, P.R.; Mazzaferro, V.; Salem, R.; et al. BCLC strategy for prognosis prediction and treatment recommendation: The 2022 update. J. Hepatol. 2022, 76, 681–693. [Google Scholar] [CrossRef] [PubMed]
- Llovet, J.M.; Ricci, S.; Mazzaferro, V.; Hilgard, P.; Gane, E.; Blanc, J.F.; de Oliveira, A.C.; Santoro, A.; Raoul, J.L.; Forner, A.; et al. SHARP Investigators Study Group. Sorafenib in advanced hepatocellular carcinoma. N. Engl. J. Med. 2008, 359, 378–390. [Google Scholar] [CrossRef] [PubMed]
- Kudo, M.; Finn, R.S.; Qin, S.; Han, K.H.; Ikeda, K.; Piscaglia, F.; Baron, A.; Park, J.W.; Han, G.; Jassem, J.; et al. Lenvatinib versus sorafenib in first-line treatment of patients with unresectable hepatocellular carcinoma: A randomised phase 3 non-inferiority trial. Lancet 2018, 391, 1163–1173. [Google Scholar] [CrossRef] [PubMed]
- Zhou, J.; Sun, H.; Wang, Z.; Cong, W.; Zeng, M.; Zhou, W.; Bie, P.; Liu, L.; Wen, T.; Kuang, M.; et al. Guidelines for the Diagnosis and Treatment of Primary Liver Cancer (2022 Edition). Liver Cancer 2023, 12, 405–444. [Google Scholar] [CrossRef] [PubMed]
- Peng, Z.; Fan, W.; Zhu, B.; Wang, G.; Sun, J.; Xiao, C.; Huang, F.; Tang, R.; Cheng, Y.; Huang, Z.; et al. Lenvatinib Combined With Transarterial Chemoembolization as First-Line Treatment for Advanced Hepatocellular Carcinoma: A Phase III.; Randomized Clinical Trial (LAUNCH). J. Clin. Oncol. 2023, 41, 117–127. [Google Scholar] [CrossRef] [PubMed]
- Kudo, M.; Ueshima, K.; Ikeda, M.; Torimura, T.; Tanabe, N.; Aikata, H.; Izumi, N.; Yamasaki, T.; Nojiri, S.; Hino, K.; et al. Randomised, multicentre prospective trial of transarterial chemoembolisation (TACE) plus sorafenib as compared with TACE alone in patients with hepatocellular carcinoma: TACTICS trial. Gut 2020, 69, 1492–1501. [Google Scholar] [CrossRef]
- Manzano-Robleda Mdel, C.; Barranco-Fragoso, B.; Uribe, M.; Méndez-Sánchez, N. Portal vein thrombosis: What is new? Ann. Hepatol. 2015, 14, 20–27. [Google Scholar] [CrossRef]
- Yang, Z.; Zou, R.; Zheng, Y.; Qiu, J.; Shen, J.; Liao, Y.; Zhang, Y.; Wang, C.; Wang, Y.; Yuan, Y.; et al. Lipiodol deposition in portal vein tumour thrombus predicts treatment outcome in HCC patients after transarterial chemoembolisation. Eur. Radiol. 2019, 29, 5752–5762. [Google Scholar] [CrossRef]
- Jin, Z.C.; Chen, J.J.; Zhu, X.L.; Duan, X.H.; Xin, Y.J.; Zhong, B.Y.; Chen, J.Z.; Tie, J.; Zhu, K.S.; Zhang, L.; et al. Immune checkpoint inhibitors and anti-vascular endothelial growth factor antibody/tyrosine kinase inhibitors with or without transarterial chemoembolization as first-line treatment for advanced hepatocellular carcinoma (CHANCE2201): A target trial emulation study. EClinicalMedicine 2024, 72, 102622. [Google Scholar]
- Jin, Z.C.; Zhong, B.Y.; Chen, J.J.; Zhu, H.D.; Sun, J.H.; Yin, G.W.; Ge, N.J.; Luo, B.; Ding, W.B.; Li, W.H.; et al. Real-world efficacy and safety of TACE plus camrelizumab and apatinib in patients with HCC (CHANCE2211): A propensity score matching study. Eur. Radiol. 2023, 33, 8669–8681. [Google Scholar] [CrossRef]
- You, R.; Xu, Q.; Wang, Q.; Zhang, Q.; Zhou, W.; Cao, C.; Huang, X.; Ji, H.; Lv, P.; Jiang, H.; et al. Efficacy and safety of camrelizumab plus transarterial chemoembolization in intermediate to advanced hepatocellular carcinoma patients: A prospective.; multi-center, real-world study. Front. Oncol. 2022, 12, 816198. [Google Scholar] [CrossRef] [PubMed]
- Ikai, I.; Yamamoto, Y.; Yamamoto, N.; Terajima, H.; Hatano, E.; Shimahara, Y.; Yamaoka, Y. Results of hepatic resection for hepatocellular carcinoma invading major portal and/or hepatic veins. Surg. Oncol. Clin. N. Am. 2003, 12, 65–75. [Google Scholar] [CrossRef] [PubMed]
- Galle, P.R.; Finn, R.S.; Qin, S.; Ikeda, M.; Zhu, A.X.; Kim, T.Y.; Kudo, M.; Breder, V.; Merle, P.; Kaseb, A.; et al. Patient-reported outcomes with atezolizumab plus bevacizumab versus sorafenib in patients with unresectable hepatocellular carcinoma (IMbrave150): An open-label.; randomised.; phase 3 trial. Lancet Oncol. 2021, 22, 991–1001. [Google Scholar] [CrossRef] [PubMed]
- Zhu, H.D.; Li, H.L.; Huang, M.S.; Yang, W.Z.; Yin, G.W.; Zhong, B.Y.; Sun, J.H.; Jin, Z.C.; Chen, J.J.; Ge, N.J.; et al. CHANCE001 Investigators. Transarterial chemoembolization with PD-(L)1 inhibitors plus molecular targeted therapies for hepatocellular carcinoma (CHANCE001). Signal Transduct. Target. Ther. 2023, 8, 58. [Google Scholar] [CrossRef] [PubMed]
- Pinato, D.J.; Murray, S.M.; Forner, A.; Kaneko, T.; Fessas, P.; Toniutto, P.; Mínguez, B.; Cacciato, V.; Avellini, C.; Diaz, A.; et al. Trans-arterial chemoembolization as a loco-regional inducer of immunogenic cell death in hepatocellular carcinoma: Implications for immunotherapy. J. Immunother. Cancer 2021, 9, e003311. [Google Scholar] [CrossRef]
- Llovet, J.M.; De Baere, T.; Kulik, L.; Haber, P.K.; Greten, T.F.; Meyer, T.; Lencioni, R. Locoregional therapies in the era of molecular and immune treatments for hepatocellular carcinoma. Nat. Rev. Gastroenterol. Hepatol. 2021, 18, 293–313. [Google Scholar] [CrossRef]
- Yuan, Y.; He, W.; Yang, Z.; Qiu, J.; Huang, Z.; Shi, Y.; Lin, Z.; Zheng, Y.; Chen, M.; Lau, W.Y.; et al. TACE-HAIC combined with targeted therapy and immunotherapy versus TACE alone for hepatocellular carcinoma with portal vein tumour thrombus: A propensity score matching study. Int. J. Surg. 2023, 109, 1222–1230. [Google Scholar] [CrossRef]
- Lin, Z.; Chen, D.; Hu, X.; Huang, D.; Chen, Y.; Zhang, J.; Li, X.; Zou, X. Clinical efficacy of HAIC (FOLFOX) combined with lenvatinib plus PD-1 inhibitors vs. TACE combined with lenvatinib plus PD-1 inhibitors in the treatment of advanced hepatocellular carcinoma with portal vein tumor thrombus and arterioportal fistulas. Am. J. Cancer Res. 2023, 13, 5455–5465. [Google Scholar]
- Zhang, X.P.; Wang, K.; Li, N.; Zhong, C.Q.; Wei, X.B.; Cheng, Y.Q.; Gao, Y.Z.; Wang, H.; Cheng, S.Q. Survival benefit of hepatic resection versus transarterial chemoembolization for hepatocellular carcinoma with portal vein tumor thrombus: A systematic review and meta-analysis. BMC Cancer 2017, 17, 902. [Google Scholar] [CrossRef]
- Sun, J.; Guo, R.; Bi, X.; Wu, M.; Tang, Z.; Lau, W.Y.; Zheng, S.; Wang, X.; Yu, J.; Chen, X.; et al. Guidelines for Diagnosis and Treatment of Hepatocellular Carcinoma with Portal Vein Tumor Thrombus in China (2021 Edition). Liver Cancer 2022, 11, 315–328. [Google Scholar] [CrossRef]
- Facciorusso, A.; Tartaglia, N.; Villani, R.; Serviddio, G.; Ramai, D.; Mohan, B.P.; Chandan, S.; Abd El Aziz, M.A.; Evangelista, J.; Cotsoglou, C.; et al. Lenvatinib versus sorafenib as first-line therapy of advanced hepatocellular carcinoma: A systematic review and meta-analysis. Am. J. Transl. Res. 2021, 13, 2379–2387. [Google Scholar] [PubMed]





| Characteristics | IT + TACE (n = 82) | IT (n = 183) | p Value |
|---|---|---|---|
| Age (years), median (IQR) | 59 (48, 66) | 55 (51, 64) | 0.509 |
| Sex | 0.557 | ||
| Male | 70 (85.4%) | 161 (88.0%) | |
| Female | 12 (14.6%) | 22 (12.0%) | |
| HBV | 0.596 | ||
| Absent | 16 (19.5%) | 41 (22.4%) | |
| Present | 66 (80.5%) | 142 (77.6%) | |
| Child–Pugh class | 0.083 | ||
| A | 70 (85.4%) | 139 (76.0%) | |
| B7 | 12 (14.6%) | 44 (24.0%) | |
| ALBI | 0.263 | ||
| 1 | 32 (39.0%) | 89 (48.6%) | |
| 2 | 49 (59.8%) | 90 (49.2%) | |
| 3 | 1 (1.2%) | 4 (2.2%) | |
| Cirrhosis | 0.522 | ||
| Absent | 28 (34.1%) | 70 (38.3%) | |
| Present | 54 (65.9%) | 113 (61.7%) | |
| AFP level (ng/mL) | 0.624 | ||
| Within 400 | 39 (47.6%) | 93 (50.8%) | |
| Beyond 400 | 43 (52.4%) | 90 (49.2%) | |
| Number of tumor lesions | 0.609 | ||
| 1 | 11 (13.4%) | 29 (15.8%) | |
| ≥2 | 71 (86.6%) | 154 (84.2%) | |
| Tumor size (cm), median (IQR) | 7.3 (4.0, 11.9) | 8.6 (5.1, 11.6) | 0.185 |
| PVTT classification | 0.886 | ||
| VP2 | 4 (4.9%) | 7 (3.8%) | |
| VP3 | 25 (30.5%) | 55 (30.1%) | |
| VP4 | 53 (64.6%) | 121 (66.1%) |
| Response | IT + TACE (n = 82) | IT (n = 183) | p Value |
|---|---|---|---|
| Best response | <0.001 | ||
| CR | 2 (2.4%) | 0 | |
| PR | 50 (61.0%) | 49 (26.8%) | |
| SD | 25 (30.5%) | 77 (42.1%) | |
| PD | 5 (6.1%) | 57 (31.1%) | |
| ORR | 52 (63.4%) | 49 (26.8%) | <0.001 |
| DCR | 77 (93.9%) | 126 (68.9%) | <0.001 |
| Characteristics | Univariable Analysis | Multivariable Analysis | ||||||||
|---|---|---|---|---|---|---|---|---|---|---|
| N | Events | HR | 95% CI | p Value | N | Events | HR | 95% CI | p Value | |
| Treatment group | ||||||||||
| IT + TACE | 82 | 54 | — | — | 82 | 54 | — | — | ||
| IT | 183 | 126 | 2.91 | 2.03, 4.18 | <0.001 | 183 | 126 | 3.14 | 2.17, 4.55 | <0.001 |
| Age | 265 | 180 | 1.00 | 0.98, 1.01 | 0.705 | |||||
| Sex | ||||||||||
| Male | 231 | 161 | — | — | ||||||
| Female | 34 | 19 | 0.78 | 0.49, 1.26 | 0.312 | |||||
| HBV | ||||||||||
| Absent | 57 | 36 | — | — | ||||||
| Present | 208 | 144 | 1.11 | 0.77, 1.60 | 0.589 | |||||
| Child–Pugh class | ||||||||||
| A | 209 | 143 | — | — | 209 | 143 | — | — | ||
| B7 | 56 | 37 | 2.14 | 1.48, 3.09 | <0.001 | 56 | 37 | 1.94 | 1.33, 2.82 | <0.001 |
| ALBI | ||||||||||
| 1 | 121 | 79 | — | — | ||||||
| 2 | 139 | 96 | 1.07 | 0.79, 1.44 | 0.663 | |||||
| 3 | 5 | 5 | 2.13 | 0.86, 5.28 | 0.103 | |||||
| Cirrhosis | ||||||||||
| Absent | 98 | 67 | — | — | 98 | 67 | — | — | ||
| Present | 167 | 113 | 1.39 | 1.02, 1.89 | 0.036 | 167 | 113 | 1.32 | 0.96, 1.81 | 0.085 |
| AFP level | ||||||||||
| Within 400 | 132 | 88 | — | — | ||||||
| Beyond 400 | 133 | 92 | 1.31 | 0.97, 1.77 | 0.077 | |||||
| Tumor size | 265 | 180 | 1.05 | 1.01, 1.08 | 0.005 | 265 | 180 | 1.03 | 1.00, 1.07 | 0.044 |
| Number of tumor lesions | ||||||||||
| 1 | 40 | 27 | — | — | 40 | 27 | — | — | ||
| ≥2 | 225 | 153 | 1.26 | 0.84, 1.91 | 0.264 | 225 | 153 | 1.38 | 0.90, 2.11 | 0.139 |
| PVTT classification | ||||||||||
| VP2 | 11 | 6 | — | — | 11 | 6 | — | — | ||
| VP3 | 80 | 56 | 2.36 | 1.01, 5.51 | 0.047 | 80 | 56 | 2.70 | 1.14, 6.40 | 0.024 |
| VP4 | 174 | 118 | 3.04 | 1.33, 6.95 | 0.008 | 174 | 118 | 3.21 | 1.39, 7.43 | 0.006 |
| MRI arterial enhancement | ||||||||||
| Negative | 154 | 110 | — | — | 154 | 110 | — | — | ||
| Positive | 111 | 70 | 0.74 | 0.55, 1.00 | 0.054 | 111 | 70 | 0.67 | 0.50, 0.91 | 0.011 |
| Characteristics | Univariable Analysis | Multivariable Analysis | ||||||||
|---|---|---|---|---|---|---|---|---|---|---|
| N | Events | HR | 95% CI | p Value | N | Events | HR | 95% CI | p Value | |
| Treatment group | ||||||||||
| IT + TACE | 82 | 57 | — | — | 82 | 57 | — | — | ||
| IT | 183 | 143 | 3.62 | 2.46, 5.34 | <0.001 | 183 | 143 | 3.77 | 2.53, 5.60 | <0.001 |
| Age | 265 | 200 | 1.00 | 0.98, 1.01 | 0.671 | |||||
| Sex | ||||||||||
| Male | 231 | 176 | — | — | 231 | 176 | — | — | ||
| Female | 34 | 24 | 0.80 | 0.52, 1.23 | 0.319 | 34 | 24 | 0.71 | 0.46, 1.09 | 0.115 |
| HBV | ||||||||||
| Absent | 57 | 40 | — | — | ||||||
| Present | 208 | 160 | 1.05 | 0.75, 1.49 | 0.763 | |||||
| Child–Pugh class | ||||||||||
| A | 209 | 154 | — | — | 209 | 154 | — | — | ||
| B7 | 56 | 46 | 2.82 | 2.00, 3.98 | <0.001 | 56 | 46 | 2.64 | 1.85, 3.76 | <0.001 |
| ALBI | ||||||||||
| 1 | 121 | 93 | — | — | ||||||
| 2 | 139 | 103 | 1.10 | 0.83, 1.46 | 0.520 | |||||
| 3 | 5 | 4 | 2.84 | 1.03, 7.80 | 0.043 | |||||
| Cirrhosis | ||||||||||
| Absent | 98 | 78 | — | — | 98 | 78 | — | — | ||
| Present | 167 | 122 | 1.39 | 1.04, 1.86 | 0.024 | 167 | 122 | 1.36 | 1.01, 1.83 | 0.040 |
| AFP level | ||||||||||
| Within 400 | 132 | 102 | — | — | ||||||
| Beyond 400 | 133 | 98 | 1.25 | 0.94, 1.65 | 0.127 | |||||
| Tumor size | 265 | 200 | 1.03 | 1.00, 1.06 | 0.031 | |||||
| Number of tumor lesions | ||||||||||
| 1 | 40 | 30 | — | — | 40 | 30 | — | — | ||
| ≥2 | 225 | 170 | 1.31 | 0.89, 1.94 | 0.171 | 225 | 170 | 1.44 | 0.97, 2.15 | 0.071 |
| PVTT classification | ||||||||||
| VP2 | 11 | 8 | — | — | 11 | 8 | — | — | ||
| VP3 | 80 | 65 | 2.42 | 1.16, 5.08 | 0.019 | 80 | 65 | 2.38 | 1.13, 5.04 | 0.023 |
| VP4 | 174 | 127 | 3.03 | 1.47, 6.26 | 0.003 | 174 | 127 | 3.00 | 1.44, 6.26 | 0.003 |
| MRI arterial enhancement | ||||||||||
| Negative | 154 | 114 | — | — | 154 | 114 | — | — | ||
| Positive | 111 | 86 | 0.80 | 0.60, 1.06 | 0.119 | 111 | 86 | 0.74 | 0.56, 0.99 | 0.041 |
| Characteristic | IT + TACE | IT | ||||
|---|---|---|---|---|---|---|
| MRI Arterial Enhancement | MRI Arterial Enhancement | |||||
| Negative (n = 50) | Positive (n = 32) | p Value | Negative (n = 104) | Positive (n = 79) | p Value | |
| Age (years), median (IQR) | 58 (47, 67) | 59 (52, 66) | 0.379 | 55 (51, 63) | 54 (51, 64) | 0.516 |
| Sex | 0.757 | 0.492 | ||||
| Male | 42 (84.0%) | 28 (87.5%) | 90 (86.5%) | 71 (89.9%) | ||
| Female | 8 (16.0%) | 4 (12.5%) | 14 (13.5%) | 8 (10.1%) | ||
| HBV | 0.477 | 0.334 | ||||
| Absent | 11 (22.0%) | 5 (15.6%) | 26 (25.0%) | 15 (19.0%) | ||
| Present | 39 (78.0%) | 27 (84.4%) | 78 (75.0%) | 64 (81.0%) | ||
| Child–Pugh class | 0.757 | 0.728 | ||||
| A | 42 (84.0%) | 28 (87.5%) | 78 (75.0%) | 61 (77.2%) | ||
| B7 | 8 (16.0%) | 4 (12.5%) | 26 (25.0%) | 18 (22.8%) | ||
| ALBI | 0.606 | 0.337 | ||||
| 1 | 20 (40.0%) | 12 (37.5%) | 46 (44.2%) | 43 (54.4%) | ||
| 2 | 30 (60.0%) | 19 (59.4%) | 56 (53.8%) | 34 (43.0%) | ||
| 3 | 0 | 1 (3.1%) | 2 (1.9%) | 2 (2.5%) | ||
| Cirrhosis | 0.322 | 0.946 | ||||
| Absent | 15 (30.0%) | 13 (40.6%) | 40 (38.5%) | 30 (38.0%) | ||
| Present | 35 (70.0%) | 19 (59.4%) | 64 (61.5%) | 49 (62.0%) | ||
| AFP level (ng/mL) | 0.723 | 0.732 | ||||
| Within 400 | 23 (46.0%) | 16 (50.0%) | 54 (51.9%) | 39 (49.4%) | ||
| Beyond 400 | 27 (54.0%) | 16 (50.0%) | 50 (48.1%) | 40 (50.6%) | ||
| Number of tumor lesions | >0.999 | 0.311 | ||||
| 1 | 7 (14.0%) | 4 (12.5%) | 14 (13.5%) | 15 (19.0%) | ||
| ≥2 | 43 (86.0%) | 28 (87.5%) | 90 (86.5%) | 64 (81.0%) | ||
| PVTT classification | >0.999 | 0.626 | ||||
| VP2 | 3 (6.0%) | 1 (3.1%) | 3 (2.9%) | 4 (5.1%) | ||
| VP3 | 15 (30.0%) | 10 (31.3%) | 30 (28.8%) | 25 (31.6%) | ||
| VP4 | 32 (64.0%) | 21 (65.6%) | 71 (68.3%) | 50 (63.3%) | ||
| Tumor size (cm), median (IQR) | 7.2 (3.6, 11.2) | 7.7 (4.9, 12.6) | 0.276 | 8.5 (5.1, 11.2) | 8.7 (5.4, 11.7) | 0.723 |
| Best response | <0.001 | 0.500 | ||||
| CR | 1 (2.0%) | 1 (3.1%) | 0 | 0 | ||
| PR | 23 (46.0%) | 27 (84.4%) | 26 (25.0%) | 23 (29.1%) | ||
| SD | 22 (44.0%) | 3 (9.4%) | 42 (40.4%) | 35 (44.3%) | ||
| PD | 4 (8.0%) | 1 (3.1%) | 36 (34.6%) | 21 (26.6%) | ||
| Events | IT + TACE (n = 82) | IT (n = 183) | p Value | ||
|---|---|---|---|---|---|
| Any Grade | Grade 3–4 | Any Grade | Grade 3–4 | ||
| Diarrhea | 10 (12.2%) | 3 (3.7%) | 27 (14.8%) | 10 (5.5%) | >0.999 |
| Hand–foot syndrome | 20 (24.4%) | 9 (11.0%) | 30 (16.4%) | 9 (4.9%) | 0.462 |
| Hypertension | 15 (18.3%) | 5 (6.1%) | 39 (21.3%) | 7 (3.8%) | 0.489 |
| Fatigue | 23 (28.0%) | 4 (4.9%) | 58 (31.7%) | 20 (10.9%) | 0.248 |
| Anorexia and nausea | 23 (28.0%) | 5 (6.1%) | 37 (20.2%) | 7 (3.8%) | >0.999 |
| Rash | 18 (22.0%) | 3 (3.7%) | 34 (18.6%) | 6 (3.3%) | >0.999 |
| Oral ulcer | 13 (15.9%) | 6 (7.3%) | 45 (24.6%) | 12 (6.6%) | 0.364 |
| Trachyphonia | 6 (7.3%) | 0 | 24 (13.1%) | 9 (4.9%) | 0.305 |
| Thyroid dysfunction | 8 (9.8%) | 5 (6.1%) | 18 (9.8%) | 3 (1.6%) | 0.211 |
| Hyperbilirubinemia | 26 (31.7%) | 11 (13.4%) | 50 (27.3%) | 16 (8.7%) | 0.544 |
| Proteinuria | 10 (12.2%) | 3 (3.7%) | 11 (6.0%) | 2 (1.1%) | >0.999 |
| Platelet count decreased | 16 (19.5%) | 4 (4.9%) | 22 (12.0%) | 14 (7.7%) | 0.147 |
Disclaimer/Publisher’s Note: The statements, opinions and data contained in all publications are solely those of the individual author(s) and contributor(s) and not of MDPI and/or the editor(s). MDPI and/or the editor(s) disclaim responsibility for any injury to people or property resulting from any ideas, methods, instructions or products referred to in the content. |
© 2024 by the authors. Licensee MDPI, Basel, Switzerland. This article is an open access article distributed under the terms and conditions of the Creative Commons Attribution (CC BY) license (https://creativecommons.org/licenses/by/4.0/).
Share and Cite
You, R.; Cheng, Y.; Diao, L.; Wang, C.; Leng, B.; Yu, Z.; Xu, Q.; Yin, G. Immune-Targeted Therapy with or without Transarterial Chemoembolization (TACE) for Advanced Hepatocellular Carcinoma with Portal Vein Tumor Thrombosis (PVTT): A Multicenter Retrospective Study. Biomedicines 2024, 12, 2124. https://doi.org/10.3390/biomedicines12092124
You R, Cheng Y, Diao L, Wang C, Leng B, Yu Z, Xu Q, Yin G. Immune-Targeted Therapy with or without Transarterial Chemoembolization (TACE) for Advanced Hepatocellular Carcinoma with Portal Vein Tumor Thrombosis (PVTT): A Multicenter Retrospective Study. Biomedicines. 2024; 12(9):2124. https://doi.org/10.3390/biomedicines12092124
Chicago/Turabian StyleYou, Ran, Yuan Cheng, Lingfeng Diao, Chendong Wang, Bin Leng, Zeyu Yu, Qingyu Xu, and Guowen Yin. 2024. "Immune-Targeted Therapy with or without Transarterial Chemoembolization (TACE) for Advanced Hepatocellular Carcinoma with Portal Vein Tumor Thrombosis (PVTT): A Multicenter Retrospective Study" Biomedicines 12, no. 9: 2124. https://doi.org/10.3390/biomedicines12092124
APA StyleYou, R., Cheng, Y., Diao, L., Wang, C., Leng, B., Yu, Z., Xu, Q., & Yin, G. (2024). Immune-Targeted Therapy with or without Transarterial Chemoembolization (TACE) for Advanced Hepatocellular Carcinoma with Portal Vein Tumor Thrombosis (PVTT): A Multicenter Retrospective Study. Biomedicines, 12(9), 2124. https://doi.org/10.3390/biomedicines12092124

