Higher Circulating Neutrophil Counts Is Associated with Increased Risk of All-Cause Mortality and Cardiovascular Disease in Patients with Diabetic Kidney Disease
Abstract
1. Introduction
2. Materials and Methods
2.1. Study Population and Definitions of the Exposure and Outcome Variables
2.2. Definition of DM
2.3. Definition of CKD
2.4. Definition of Smoking and Alcohol Use
2.5. Definition of Hypertension and Hyperlipidemia
2.6. Other Clinical Parameters and Covariates
2.7. Statistical Analysis

3. Results
3.1. Characteristics of the Study Population
3.2. Association between Neutrophils Count and Kidney Function in Patients with DKD
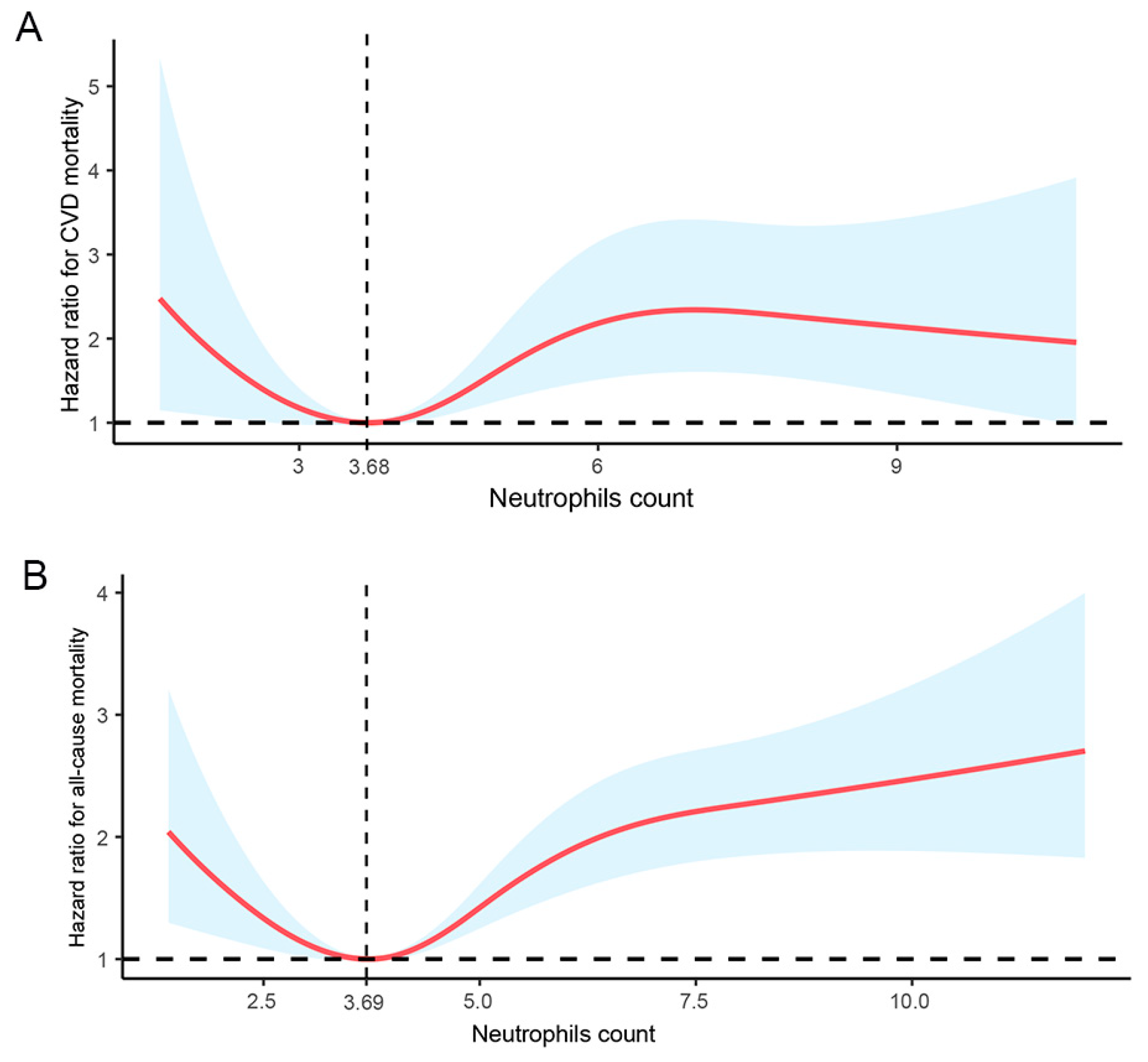
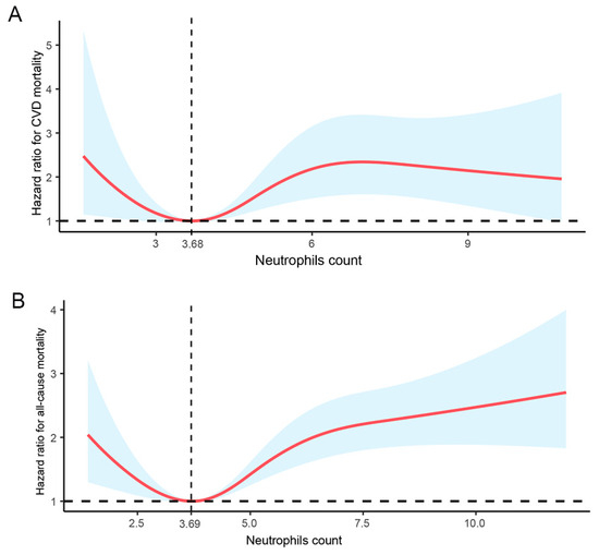
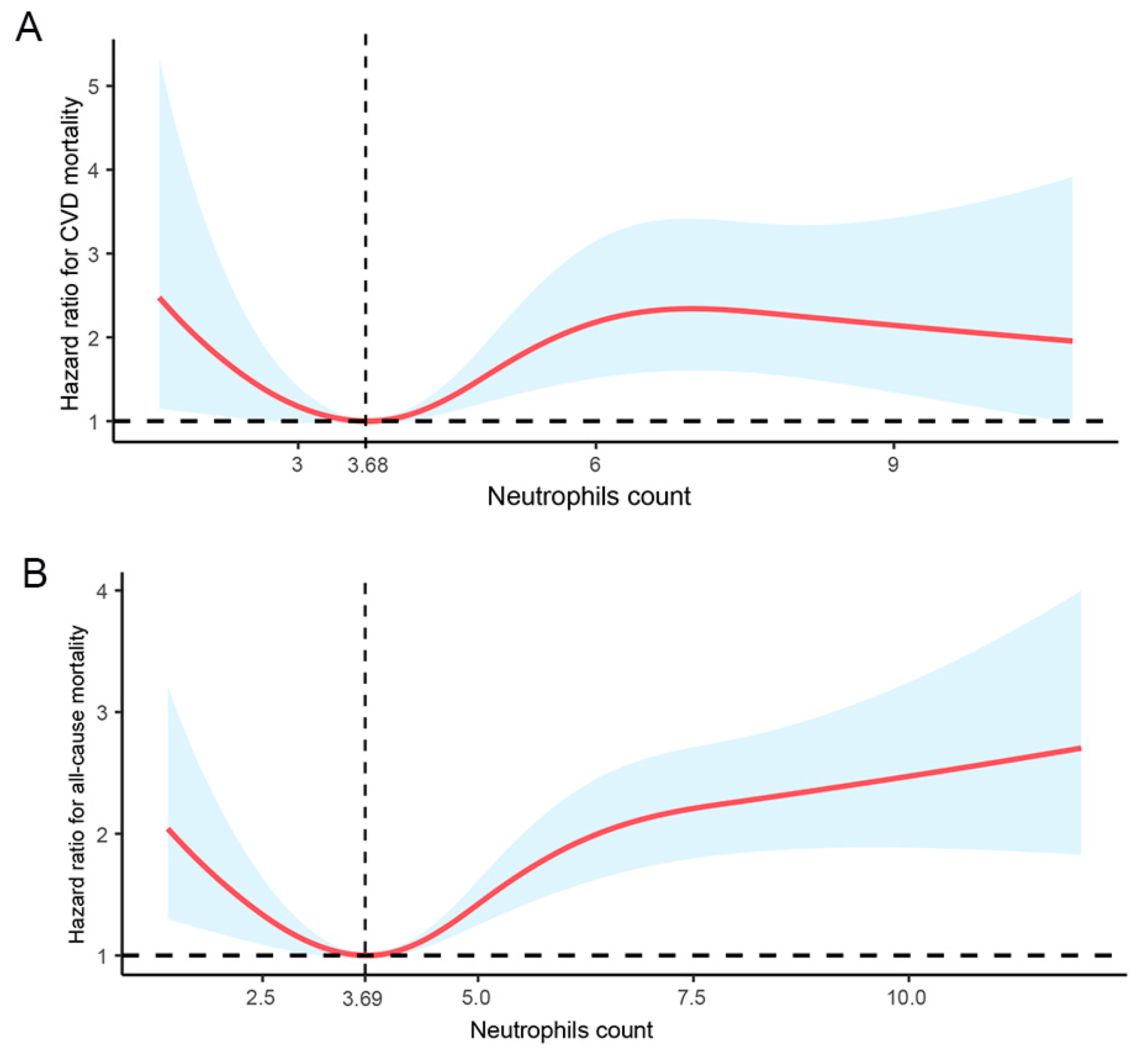
3.3. Associations between Neutrophil Counts, All-Cause Mortality and CVD Mortality
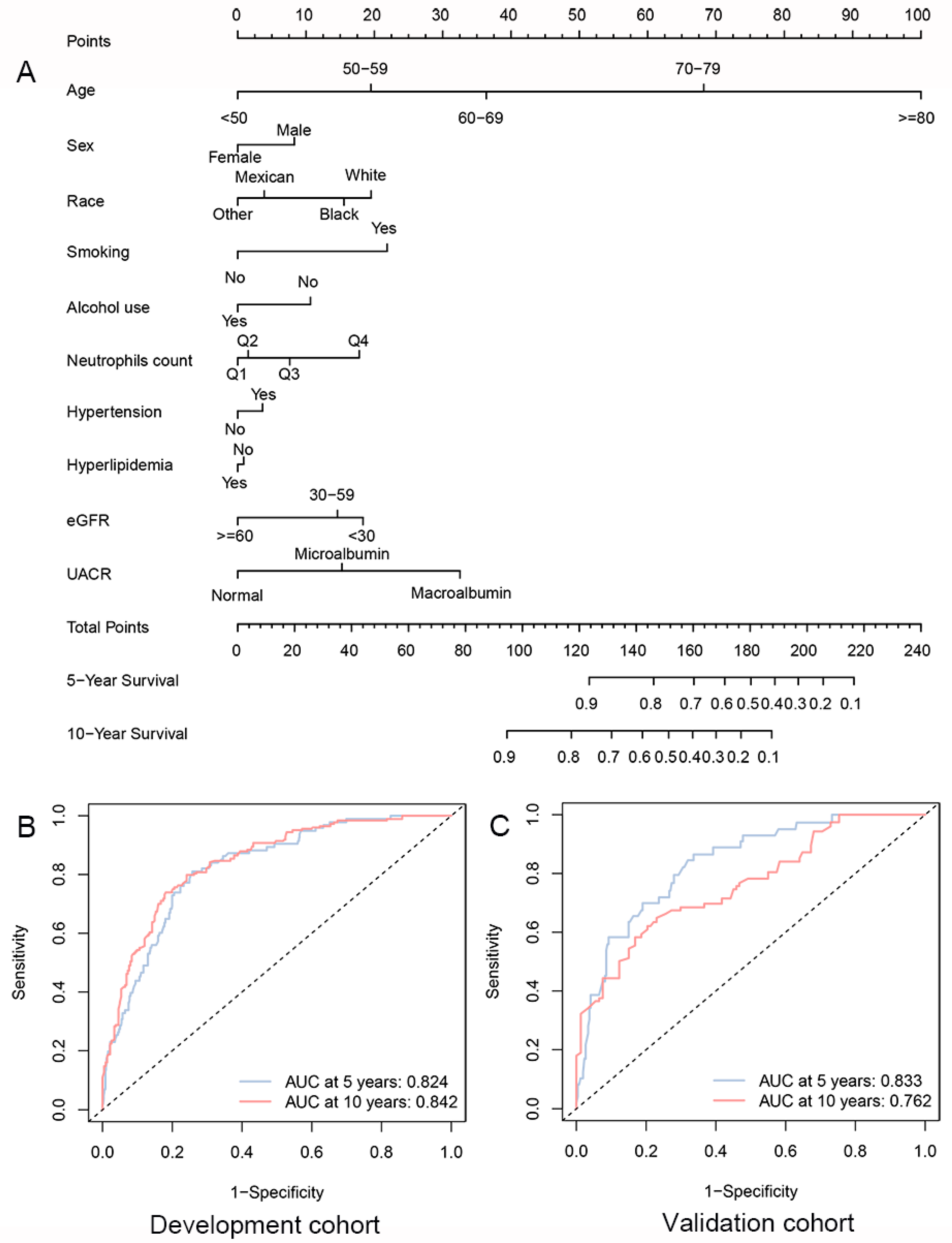
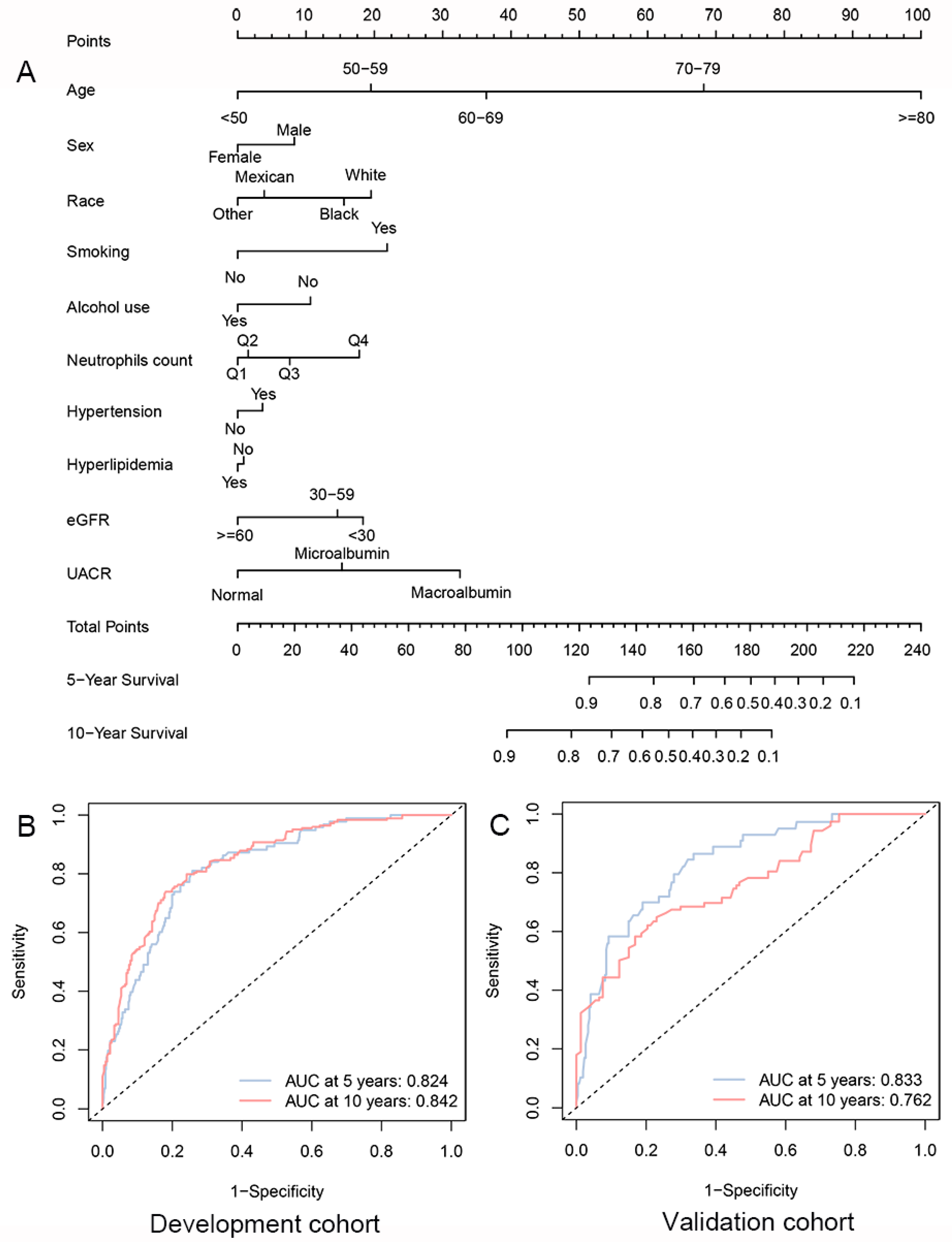
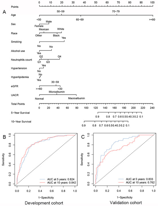
3.4. Development and Validation of a Predictive CVD and All-Cause Mortality Risk Nomogram
4. Discussion
5. Strengths and Limitations
6. Conclusions
Supplementary Materials
Author Contributions
Funding
Institutional Review Board Statement
Informed Consent Statement
Data Availability Statement
Acknowledgments
Conflicts of Interest
References
- Magliano, D.J.; Boyko, E.J.; IDF Diabetes Atlas 10th Edition Scientific Committee. IDF Diabetes Atlas; International Diabetes Federation ©: Brussels, Belgium, 2021. [Google Scholar]
- Collins, A.J.; Foley, R.N.; Chavers, B.; Gilbertson, D.; Herzog, C.; Johansen, K.; Kasiske, B.; Kutner, N.; Liu, J.; St Peter, W.; et al. United States Renal Data System 2011 Annual Data Report: Atlas of chronic kidney disease & end-stage renal disease in the United States. Am. J. Kidney Dis. Off. J. Natl. Kidney Found. 2012, 59 (Suppl. S1), e1–e420. [Google Scholar] [CrossRef]
- Ortiz, A. Benchmarking CKD: Incidence of CKD in a European country with low prevalence of CKD and kidney replacement therapy. Clin. Kidney J. 2022, 15, 1221–1225. [Google Scholar] [CrossRef]
- Zhao, W.M.; Li, X.L.; Shi, R.; Zhu, Y.; Wang, Z.J.; Wang, X.R.; Pan, H.F.; Wang, D.G. Global, regional and national burden of CKD in children and adolescents from 1990 to 2019. Nephrol. Dial. Transplant. Off. Publ. Eur. Dial. Transpl. Assoc. Eur. Ren. Assoc. 2024, 39, 1268–1278. [Google Scholar] [CrossRef]
- Afkarian, M.; Zelnick, L.R.; Hall, Y.N.; Heagerty, P.J.; Tuttle, K.; Weiss, N.S.; de Boer, I.H. Clinical Manifestations of Kidney Disease Among US Adults with Diabetes, 1988–2014. JAMA 2016, 316, 602–610. [Google Scholar] [CrossRef]
- Gupta, K.; Rawlley, B.; Meloche, C.; Minhas, A.M.K.; Hermel, M.; Slipczuk, L.; Sheikh, S.; Khoja, A.; Vaughan, E.M.; Dalakoti, M.; et al. Highlights of Cardiovascular Disease Prevention Studies Presented at the 2024 American College of Cardiology Conference. Curr. Atheroscler. Rep. 2024, 26, 367–381. [Google Scholar] [CrossRef]
- Rodriguez-Araujo, G.; Nakagami, H. Pathophysiology of cardiovascular disease in diabetes mellitus. Cardiovasc. Endocrinol. Metab. 2018, 7, 4–9. [Google Scholar] [CrossRef]
- Vesa, C.M.; Popa, L.; Popa, A.R.; Rus, M.; Zaha, A.A.; Bungau, S.; Tit, D.M.; Corb Aron, R.A.; Zaha, D.C. Current Data Regarding the Relationship between Type 2 Diabetes Mellitus and Cardiovascular Risk Factors. Diagnostics 2020, 10, 314. [Google Scholar] [CrossRef]
- Fan, X.; Yang, M.; Lang, Y.; Lu, S.; Kong, Z.; Gao, Y.; Shen, N.; Zhang, D.; Lv, Z. Mitochondrial metabolic reprogramming in diabetic kidney disease. Cell Death Dis. 2024, 15, 442. [Google Scholar] [CrossRef]
- Fang, Z.; Liu, R.; Xie, J.; He, J.C. Molecular mechanism of renal lipid accumulation in diabetic kidney disease. J. Cell. Mol. Med. 2024, 28, e18364. [Google Scholar] [CrossRef]
- Jankowski, J.; Floege, J.; Fliser, D.; Böhm, M.; Marx, N. Cardiovascular Disease in Chronic Kidney Disease: Pathophysiological Insights and Therapeutic Options. Circulation 2021, 143, 1157–1172. [Google Scholar] [CrossRef]
- Ueda, N.; Takasawa, K. Impact of Inflammation on Ferritin, Hepcidin and the Management of Iron Deficiency Anemia in Chronic Kidney Disease. Nutrients 2018, 10, 1173. [Google Scholar] [CrossRef]
- Pérez-Morales, R.E.; Del Pino, M.D.; Valdivielso, J.M.; Ortiz, A.; Mora-Fernández, C.; Navarro-González, J.F. Inflammation in Diabetic Kidney Disease. Nephron 2019, 143, 12–16. [Google Scholar] [CrossRef]
- Varra, F.N.; Varras, M.; Varra, V.K.; Theodosis-Nobelos, P. Molecular and pathophysiological relationship between obesity and chronic inflammation in the manifestation of metabolic dysfunctions and their inflammation-mediating treatment options (Review). Mol. Med. Rep. 2024, 29, 95. [Google Scholar] [CrossRef]
- Rawat, K.; Shrivastava, A. Neutrophils as emerging protagonists and targets in chronic inflammatory diseases. Inflamm. Res. 2022, 71, 1477–1488. [Google Scholar] [CrossRef]
- Tall, A.R.; Westerterp, M. Inflammasomes, neutrophil extracellular traps, and cholesterol. J. Lipid Res. 2019, 60, 721–727. [Google Scholar] [CrossRef]
- Dong, Y.; Zhang, Y.; Yang, X.; Yan, C.; Feng, Y. Recent Insights into Neutrophil Extracellular Traps in Cardiovascular Diseases. J. Clin. Med. 2022, 11, 6662. [Google Scholar] [CrossRef]
- Dhayni, K.; Zibara, K.; Issa, H.; Kamel, S.; Bennis, Y. Targeting CXCR1 and CXCR2 receptors in cardiovascular diseases. Pharmacol. Ther. 2022, 237, 108257. [Google Scholar] [CrossRef]
- Yu, Y.; Lin, Q.; Ye, D.; Wang, Y.; He, B.; Li, Y.; Huang, G.; Zhou, Z.; Xiao, Y. Neutrophil count as a reliable marker for diabetic kidney disease in autoimmune diabetes. BMC Endocr. Disord. 2020, 20, 158. [Google Scholar] [CrossRef]
- Petrelli, A.; Popp, S.K.; Fukuda, R.; Parish, C.R.; Bosi, E.; Simeonovic, C.J. The Contribution of Neutrophils and NETs to the Development of Type 1 Diabetes. Front. Immunol. 2022, 13, 930553. [Google Scholar] [CrossRef]
- Zhang, R.; Chen, J.; Xiong, Y.; Wang, L.; Huang, X.; Sun, T.; Zha, B.; Wu, Y.; Yan, C.; Zang, S.; et al. Increased neutrophil count Is associated with the development of chronic kidney disease in patients with diabetes. J. Diabetes 2022, 14, 442–454. [Google Scholar] [CrossRef]
- Silvestre-Roig, C.; Braster, Q.; Ortega-Gomez, A.; Soehnlein, O. Neutrophils as regulators of cardiovascular inflammation. Nat. Rev. Cardiol. 2020, 17, 327–340. [Google Scholar] [CrossRef]
- Kain, V.; Halade, G.V. Role of neutrophils in ischemic heart failure. Pharmacol. Ther. 2020, 205, 107424. [Google Scholar] [CrossRef] [PubMed]
- Adamsson Eryd, S.; Smith, J.G.; Melander, O.; Hedblad, B.; Engström, G. Incidence of coronary events and case fatality rate in relation to blood lymphocyte and neutrophil counts. Arterioscler. Thromb. Vasc. Biol. 2012, 32, 533–539. [Google Scholar] [CrossRef]
- Hsieh, M.M.; Everhart, J.E.; Byrd-Holt, D.D.; Tisdale, J.F.; Rodgers, G.P. Prevalence of neutropenia in the U.S. population: Age, sex, smoking status, and ethnic differences. Ann. Intern. Med. 2007, 146, 486–492. [Google Scholar] [CrossRef]
- Romagnani, P.; Remuzzi, G.; Glassock, R.; Levin, A.; Jager, K.J.; Tonelli, M.; Massy, Z.; Wanner, C.; Anders, H.J. Chronic kidney disease. Nat. Rev. Dis. Primers 2017, 3, 17088. [Google Scholar] [CrossRef]
- Rayego-Mateos, S.; Rodrigues-Diez, R.R.; Fernandez-Fernandez, B.; Mora-Fernández, C.; Marchant, V.; Donate-Correa, J.; Navarro-González, J.F.; Ortiz, A.; Ruiz-Ortega, M. Targeting inflammation to treat diabetic kidney disease: The road to 2030. Kidney Int. 2023, 103, 282–296. [Google Scholar] [CrossRef] [PubMed]
- Shirakawa, K.; Sano, M. Neutrophils and Neutrophil Extracellular Traps in Cardiovascular Disease: An Overview and Potential Therapeutic Approaches. Biomedicines 2022, 10, 1850. [Google Scholar] [CrossRef]
- Carbone, F.; Mach, F.; Montecucco, F. Update on the role of neutrophils in atherosclerotic plaque vulnerability. Curr. Drug Targets 2015, 16, 321–333. [Google Scholar] [CrossRef]
- Fernández-Ruiz, I. Neutrophil-driven SMC death destabilizes atherosclerotic plaques. Nat. Rev. Cardiol. 2019, 16, 455. [Google Scholar] [CrossRef]
- Ząbczyk, M.; Ariëns, R.A.S.; Undas, A. Fibrin clot properties in cardiovascular disease: From basic mechanisms to clinical practice. Cardiovasc. Res. 2023, 119, 94–111. [Google Scholar] [CrossRef]
- Yang, X.; Mou, S. Role of Immune Cells in Diabetic Kidney Disease. Curr. Gene Ther. 2017, 17, 424–433. [Google Scholar] [CrossRef]
- Liu, Y.; Lv, Y.; Zhang, T.; Huang, T.; Lang, Y.; Sheng, Q.; Liu, Y.; Kong, Z.; Gao, Y.; Lu, S.; et al. T cells and their products in diabetic kidney disease. Front. Immunol. 2023, 14, 1084448. [Google Scholar] [CrossRef]
- Guo, W.; Song, Y.; Sun, Y.; Du, H.; Cai, Y.; You, Q.; Fu, H.; Shao, L. Systemic immune-inflammation index is associated with diabetic kidney disease in Type 2 diabetes mellitus patients: Evidence from NHANES 2011–2018. Front. Endocrinol. 2022, 13, 1071465. [Google Scholar] [CrossRef] [PubMed]
- Wan, H.; Wang, Y.; Fang, S.; Chen, Y.; Zhang, W.; Xia, F.; Wang, N.; Lu, Y. Associations between the Neutrophil-to-Lymphocyte Ratio and Diabetic Complications in Adults with Diabetes: A Cross-Sectional Study. J. Diabetes Res. 2020, 2020, 6219545. [Google Scholar] [CrossRef]
- Ji, C.; Zhang, J.; Shi, H.; Chen, B.; Xu, W.; Jin, J.; Qian, H. Single-cell RNA transcriptomic reveal the mechanism of MSC derived small extracellular vesicles against DKD fibrosis. J. Nanobiotechnol. 2024, 22, 339. [Google Scholar] [CrossRef]
- Hu, S.; Hang, X.; Wei, Y.; Wang, H.; Zhang, L.; Zhao, L. Crosstalk among podocytes, glomerular endothelial cells and mesangial cells in diabetic kidney disease: An updated review. Cell Commun. Signal. CCS 2024, 22, 136. [Google Scholar] [CrossRef]
- Zheng, F.; Ma, L.; Li, X.; Wang, Z.; Gao, R.; Peng, C.; Kang, B.; Wang, Y.; Luo, T.; Wu, J.; et al. Neutrophil Extracellular Traps Induce Glomerular Endothelial Cell Dysfunction and Pyroptosis in Diabetic Kidney Disease. Diabetes 2022, 71, 2739–2750. [Google Scholar] [CrossRef]
- Gupta, A.; Singh, K.; Fatima, S.; Ambreen, S.; Zimmermann, S.; Younis, R.; Krishnan, S.; Rana, R.; Gadi, I.; Schwab, C.; et al. Neutrophil Extracellular Traps Promote NLRP3 Inflammasome Activation and Glomerular Endothelial Dysfunction in Diabetic Kidney Disease. Nutrients 2022, 14, 2965. [Google Scholar] [CrossRef]
- Korkmaz, B.; Horwitz, M.S.; Jenne, D.E.; Gauthier, F. Neutrophil elastase, proteinase 3, and cathepsin G as therapeutic targets in human diseases. Pharmacol. Rev. 2010, 62, 726–759. [Google Scholar] [CrossRef] [PubMed]
- Donate-Correa, J.; Sanchez-Niño, M.D.; González-Luis, A.; Ferri, C.; Martín-Olivera, A.; Martín-Núñez, E.; Fernandez-Fernandez, B.; Tagua, V.G.; Mora-Fernández, C.; Ortiz, A.; et al. Repurposing drugs for highly prevalent diseases: Pentoxifylline, an old drug and a new opportunity for diabetic kidney disease. Clin. Kidney J. 2022, 15, 2200–2213. [Google Scholar] [CrossRef]
- Ren, J.; Liu, D.; Li, G.; Duan, J.; Dong, J.; Liu, Z. Prediction and Risk Stratification of Cardiovascular Disease in Diabetic Kidney Disease Patients. Front. Cardiovasc. Med. 2022, 9, 923549. [Google Scholar] [CrossRef] [PubMed]
- Willis, M.; Asseburg, C.; Slee, A.; Nilsson, A.; Neslusan, C. Development and Internal Validation of a Discrete Event Simulation Model of Diabetic Kidney Disease Using CREDENCE Trial Data. Diabetes Ther. Res. Treat. Educ. Diabetes Relat. Disord. 2020, 11, 2657–2676. [Google Scholar] [CrossRef]




| No Diabetes Mellitus | Diabetes Mellitus | |||||
|---|---|---|---|---|---|---|
| Variable | Total | No CKD (n = 31,591, 77%) | CKD (n = 4707, 9.3%) | No CKD, (n = 4856, 8.7%) | CKD, (n = 3178, 5.0%) | p Value |
| Predictive population | 224,500,575 | 173,094,552 | 20,850,397 | 19,558,373 | 10,997,253 | |
| Age | 46.79(46.37,47.22) | 43.21(42.81,43.60) | 57.91(57.12,58.70) | 56.73(56.18,57.29) | 64.51(63.76,65.27) | <0.0001 |
| Sex, % | <0.0001 | |||||
| Female | 51.04 | 50.25 | 61.55 | 48.35 | 48.38 | |
| Male | 48.96 | 49.75 | 38.45 | 51.65 | 51.62 | |
| Race, % | <0.0001 | |||||
| White | 66.55 | 66.92 | 71.89 | 60.59 | 61.25 | |
| Black | 10.73 | 10.19 | 10.87 | 13.48 | 14.11 | |
| Mexican America | 8.78 | 8.86 | 6.32 | 9.99 | 9.91 | |
| Other | 13.93 | 14.02 | 10.92 | 15.93 | 14.73 | |
| BMI | 29.01(28.86,29.15) | 28.32(28.18,28.46) | 28.74(28.48,29.00) | 33.18(32.85,33.52) | 32.95(32.52,33.38) | <0.0001 |
| WBC (×109/L) | 7.27(7.22,7.32) | 7.14(7.10,7.19) | 7.46(7.30,7.63) | 7.68(7.59,7.77) | 8.04(7.91,8.17) | <0.0001 |
| Neutrophils (×109/L) | 4.29(4.25,4.32) | 4.19(4.16,4.23) | 4.42(4.35,4.49) | 4.60(4.53,4.67) | 4.98(4.89,5.07) | <0.0001 |
| Neutrophils percentage (%) | 58.16(57.97,58.35) | 57.68(57.49,57.88) | 59.64(59.26,60.03) | 59.04(58.61,59.47) | 61.30(60.82,61.78) | <0.0001 |
| Lymphocytes (×109/L) | 2.16(2.14,2.18) | 2.15(2.14,2.17) | 2.20(2.07,2.33) | 2.23(2.19,2.28) | 2.14(2.07,2.22) | <0.001 |
| Hb | 14.26(14.22,14.30) | 14.34(14.30,14.39) | 13.84(13.77,13.91) | 14.20(14.13,14.27) | 13.82(13.73,13.91) | <0.0001 |
| PLT (×109/L) | 248.28(246.86,249.70) | 249.70(248.24,251.16) | 243.38(240.42,246.34) | 246.01(242.88,249.14) | 239.22(235.17,243.28) | <0.0001 |
| NLR | 2.17(2.15,2.20) | 2.10(2.07,2.12) | 2.44(2.39,2.49) | 2.29(2.23,2.34) | 2.68(2.61,2.76) | <0.0001 |
| SII | 540.73(534.54,546.91) | 526.03(519.46,532.60) | 593.21(577.37,609.05) | 559.33(544.72,573.94) | 639.47(619.10,659.84) | <0.0001 |
| Albumin, urine (mg/L) | 33.76(31.51,36.01) | 9.13(8.94, 9.31) | 121.29(106.82,135.75) | 11.93(11.55, 12.31) | 294.34(258.23,330.45) | <0.0001 |
| Creatinine, urine (mg/dL) | 122.91(121.43,124.38) | 125.05(123.36,126.75) | 112.94(110.16,115.71) | 120.33(117.19,123.46) | 112.61(109.21,116.00) | <0.0001 |
| UACR (mg/g) | 33.36(30.96,35.76) | 7.51(7.41, 7.61) | 125.39(108.45,142.32) | 10.17(9.95, 10.39) | 306.94(269.23,344.65) | <0.0001 |
| eGFR (mL/min/1.73 m2) | 95.04(94.47,95.61) | 99.27(98.76,99.79) | 76.14(74.86,77.42) | 91.75(91.04,92.45) | 70.16(68.69,71.63) | <0.0001 |
| Anti-diabetic medication, % | <0.0001 | |||||
| Yes | 8.38 | 0 | 0 | 57.88 | 68.2 | |
| No | 91.62 | 100 | 100 | 42.12 | 31.8 | |
| Lipid-lowering agents, % | <0.0001 | |||||
| Yes | 17.86 | 10.74 | 27.55 | 49.05 | 55.99 | |
| No | 82.14 | 89.26 | 72.45 | 50.95 | 44.01 | |
| Anti-hypertensive medication, % | <0.0001 | |||||
| Yes | 26.63 | 17.02 | 47.97 | 60.82 | 76.52 | |
| No | 73.37 | 82.98 | 52.03 | 39.18 | 23.48 | |
| Aspirin, % | <0.0001 | |||||
| Yes | 0.76 | 0.34 | 1.25 | 2.38 | 3.56 | |
| No | 99.24 | 99.66 | 98.75 | 97.62 | 96.44 | |
| ACEI or ARB, % | <0.0001 | |||||
| Yes | 17.45 | 10.05 | 29.03 | 47.21 | 59.06 | |
| No | 82.55 | 89.95 | 70.97 | 52.79 | 40.94 | |
| eGFR | UACR | |||
|---|---|---|---|---|
| Variable | r (95% CI) | p | r (95% CI) | p |
| Neutrophils (×109/L) | 0.09(−0.69, 0.88) | 0.81 | 33.93(9.05, 58.81) | 0.01 |
| Neutrophils percentage (%) | −0.36(−0.51, −0.21) | <0.0001 | 5.23(1.09, 9.36) | 0.01 |
| NLR | −3.16(−4.05, −2.26) | <0.0001 | 25.70(0.43, 50.98) | 0.05 |
| SII | −0.01(−0.01, 0.00) | <0.001 | 0.16(0.03, 0.29) | 0.02 |
| Kidney Function Measures | Neutrophils Count Level (×109/L) | |||||||
|---|---|---|---|---|---|---|---|---|
| Quartile 1 | Quartile 2 | Quartile 3 | Quartile 4 | |||||
| UACR | ||||||||
| Character | β (95% CI) | β (95% CI) | p | β (95% CI) | p | β (95% CI) | p | p for trend |
| Crude model | reference | 73.8(−7.35, 154.95) | 0.07 | 100.62(8.91, 192.34) | 0.03 | 189.47(79.97, 298.97) | <0.001 | 0.001 |
| Model 1 | reference | 89.28(14.54, 164.02) | 0.02 | 125.64(32.42, 218.85) | 0.01 | 219.56(104.53, 334.59) | <0.001 | <0.001 |
| Model 2 | reference | 108.12(21.92, 194.32) | 0.01 | 102.76(5.33, 200.20) | 0.04 | 260.98(126.71, 395.24) | <0.001 | <0.001 |
| Model 3 | reference | 102.58(17.96, 187.20) | 0.02 | 87.48(−6.82, 181.77) | 0.07 | 251.33(118.70, 383.96) | <0.001 | <0.001 |
| eGFR | ||||||||
| Character | β (95% CI) | β (95% CI) | p | β (95% CI) | p | β (95% CI) | p | p for trend |
| Crude model | reference | 2.26(−1.91, 6.42) | 0.29 | 2.91(−0.71, 6.54) | 0.11 | 0.96(−3.58, 5.50) | 0.68 | 0.70 |
| Model 1 | reference | −0.44(−2.94, 2.07) | 0.73 | −1.08(−3.96, 1.80) | 0.46 | −3.77(−6.60, −0.93) | 0.01 | 0.01 |
| Model 2 | reference | −1(−3.56, 1.57) | 0.44 | −1.96(−5.24, 1.33) | 0.24 | −4.78(−7.80, −1.75) | 0.002 | 0.002 |
| Model 3 | reference | −0.87(−3.40, 1.66) | 0.50 | −1.62(−4.96, 1.72) | 0.34 | −4.56(−7.60, −1.52) | 0.004 | 0.003 |
| Crude Model | Model 1 | Model 2 | Model 3 | ||||||
|---|---|---|---|---|---|---|---|---|---|
| No. Death/No at Risk | HR (95% CI) | p | HR (95% CI) | p | HR (95% CI) | p | HR (95% CI) | p | |
| All-cause mortality | |||||||||
| Quartile 1 | 194/398 | 1(reference) | 1(reference) | 1(reference) | 1(reference) | ||||
| Quartile 2 | 175/392 | 0.91(0.71,1.14) | 0.40 | 0.92(0.73,1.15) | 0.46 | 0.88(0.70,1.12) | 0.31 | 0.88(0.70,1.11) | 0.29 |
| Quartile 3 | 178/333 | 1.13(0.87,1.47) | 0.35 | 1.24(0.97,1.59) | 0.08 | 1.21(0.94,1.57) | 0.13 | 1.20(0.93,1.54) | 0.15 |
| Quartile 4 | 228/322 | 1.62(1.28,2.04) | <0.0001 | 1.98(1.55,2.53) | <0.0001 | 1.73(1.33,2.26) | <0.0001 | 1.73(1.34,2.25) | <0.0001 |
| p for trend | <0.0001 | <0.0001 | <0.0001 | <0.0001 | |||||
| Cardiovascular mortality | |||||||||
| Quartile 1 | 61/398 | 1(reference) | 1(reference) | 1(reference) | 1(reference) | ||||
| Quartile 2 | 52/392 | 0.86(0.55,1.33) | 0.49 | 0.88(0.55,1.38) | 0.57 | 0.86(0.54,1.37) | 0.52 | 0.83(0.52,1.32) | 0.47 |
| Quartile 3 | 58/333 | 1.16(0.76,1.79) | 0.49 | 1.29(0.83,2.03) | 0.26 | 1.27(0.81,2.00) | 0.30 | 1.23(0.78,1.94) | 0.35 |
| Quartile 4 | 67/322 | 1.71(1.09,2.67) | 0.02 | 2.25(1.42,3.57) | <0.001 | 1.82(1.13,2.94) | 0.01 | 1.81(1.14,2.89) | 0.01 |
| p for trend | 0.01 | <0.001 | 0.01 | 0.004 |
Disclaimer/Publisher’s Note: The statements, opinions and data contained in all publications are solely those of the individual author(s) and contributor(s) and not of MDPI and/or the editor(s). MDPI and/or the editor(s) disclaim responsibility for any injury to people or property resulting from any ideas, methods, instructions or products referred to in the content. |
© 2024 by the authors. Licensee MDPI, Basel, Switzerland. This article is an open access article distributed under the terms and conditions of the Creative Commons Attribution (CC BY) license (https://creativecommons.org/licenses/by/4.0/).
Share and Cite
Xie, R.; Bishai, D.M.; Lui, D.T.W.; Lee, P.C.H.; Yap, D.Y.H. Higher Circulating Neutrophil Counts Is Associated with Increased Risk of All-Cause Mortality and Cardiovascular Disease in Patients with Diabetic Kidney Disease. Biomedicines 2024, 12, 1907. https://doi.org/10.3390/biomedicines12081907
Xie R, Bishai DM, Lui DTW, Lee PCH, Yap DYH. Higher Circulating Neutrophil Counts Is Associated with Increased Risk of All-Cause Mortality and Cardiovascular Disease in Patients with Diabetic Kidney Disease. Biomedicines. 2024; 12(8):1907. https://doi.org/10.3390/biomedicines12081907
Chicago/Turabian StyleXie, Ruiyan, David M. Bishai, David T. W. Lui, Paul C. H. Lee, and Desmond Y. H. Yap. 2024. "Higher Circulating Neutrophil Counts Is Associated with Increased Risk of All-Cause Mortality and Cardiovascular Disease in Patients with Diabetic Kidney Disease" Biomedicines 12, no. 8: 1907. https://doi.org/10.3390/biomedicines12081907
APA StyleXie, R., Bishai, D. M., Lui, D. T. W., Lee, P. C. H., & Yap, D. Y. H. (2024). Higher Circulating Neutrophil Counts Is Associated with Increased Risk of All-Cause Mortality and Cardiovascular Disease in Patients with Diabetic Kidney Disease. Biomedicines, 12(8), 1907. https://doi.org/10.3390/biomedicines12081907

