Effect of Computer-Assisted Cognitive Remediation Therapy on Cognition among Patients with Schizophrenia: A Pilot Randomized Controlled Trial
Abstract
1. Introduction
2. Materials and Methods
2.1. Study Design and Procedures
2.2. Participants
2.3. Randomization and Blinding
2.4. Interventions
2.4.1. CR Therapy
2.4.2. TAU
2.5. Outcomes
2.5.1. Feasibility and Acceptability Outcomes
2.5.2. Efficacy Outcomes
2.6. Statistical Analysis
3. Results
3.1. Participants
3.2. Feasibility and Acceptability Outcomes
3.3. Primary Efficacy Outcomes
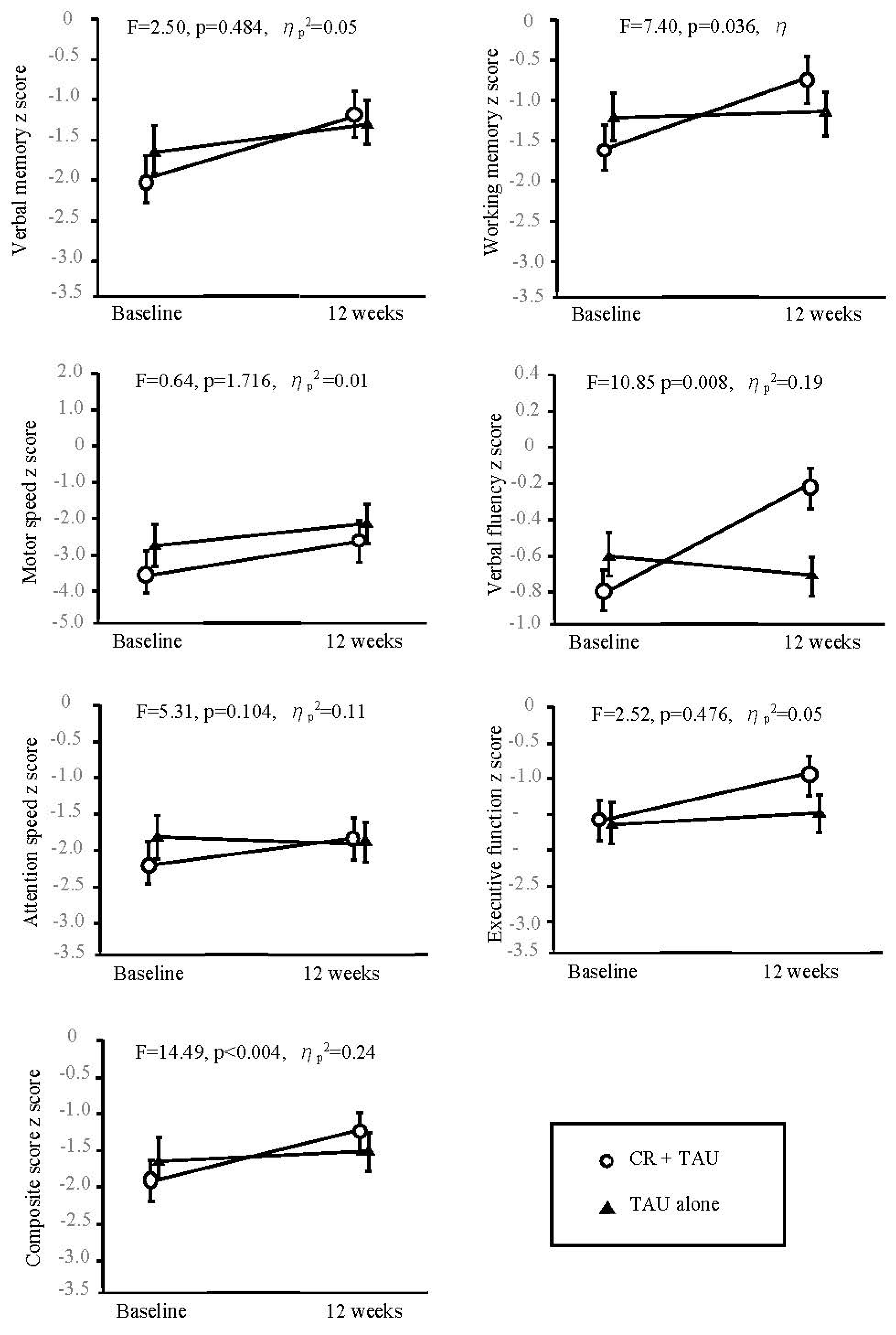
3.4. Secondary Efficacy Outcomes
4. Discussion
4.1. Main Findings
4.2. Strengths and Limitations
5. Conclusions
Author Contributions
Funding
Institutional Review Board Statement
Informed Consent Statement
Data Availability Statement
Acknowledgments
Conflicts of Interest
Appendix A
| Cognitive Domain | RehaCom® Subprogram |
|---|---|
| Attention/Vigilance | (a) Alertness, (b) Saccadic Training, (c) Divided Attention, (d) Divided Attention 2, (e) Sustained Attention |
| Speed of Processing | (f) Reaction Behavior, (g) Responsiveness, (h) Vigilance 2, (i) Two-dimensional Operations, (j) Attention and Concentration, (k) Exploration |
| Reasoning and Problem-Solving | (l) Topological Memory, (m) Logical Reasoning, (n) Restoration Training |
| Working Memory | (o) Working Memory |
| Visual Learning and Memory | (p) Figural Memory |
| Verbal Learning and Memory | (q) Memory for Words, (r) Verbal Memory |
| Social Cognition | (s) Physiognomic Memory |
Appendix B
| a | b | c | d | e | f | g | h | i | j | k | l | m | n | o | p | q | r | s | |
| Session 1 | ○ | ○ | ○ | ○ | ○ | ○ | ○ | ○ | ○ | ||||||||||
| Session 2 | ○ | ○ | ○ | ○ | ○ | ○ | ○ | ○ | ○ | ||||||||||
| Session 3 | ○ | ○ | ○ | ○ | ○ | ○ | ○ | ○ | |||||||||||
| Session 4 | ○ | ○ | ○ | ○ | ○ | ○ | ○ | ○ | ○ | ||||||||||
| Session 5 | ○ | ○ | ○ | ○ | ○ | ○ | ○ | ○ | ○ | ||||||||||
| Session 6 | ○ | ○ | ○ | ○ | ○ | ○ | ○ | ○ | |||||||||||
| Session 7 | ○ | ○ | ○ | ○ | ○ | ○ | ○ | ○ | ○ | ||||||||||
| Session 8 | ○ | ○ | ○ | ○ | ○ | ○ | ○ | ○ | ○ | ||||||||||
| Session 9 | ○ | ○ | ○ | ○ | ○ | ○ | ○ | ○ | |||||||||||
| Session 10 | ○ | ○ | ○ | ○ | ○ | ○ | ○ | ○ | ○ | ||||||||||
| Session 11 | ○ | ○ | ○ | ○ | ○ | ○ | ○ | ○ | ○ | ||||||||||
| Session 12 | ○ | ○ | ○ | ○ | ○ | ○ | ○ | ○ | |||||||||||
| Session 13 | ○ | ○ | ○ | ○ | ○ | ○ | ○ | ○ | ○ | ||||||||||
| Session 14 | ○ | ○ | ○ | ○ | ○ | ○ | ○ | ○ | ○ | ||||||||||
| Session 15 | ○ | ○ | ○ | ○ | ○ | ○ | ○ | ○ | |||||||||||
| Session 16 | ○ | ○ | ○ | ○ | ○ | ○ | ○ | ○ | ○ | ||||||||||
| Session 17 | ○ | ○ | ○ | ○ | ○ | ○ | ○ | ○ | ○ | ||||||||||
| Session 18 | ○ | ○ | ○ | ○ | ○ | ○ | ○ | ○ | |||||||||||
| Session 19 | ○ | ○ | ○ | ○ | ○ | ○ | ○ | ○ | ○ | ||||||||||
| Session 20 | ○ | ○ | ○ | ○ | ○ | ○ | ○ | ○ | ○ | ||||||||||
| Session 21 | ○ | ○ | ○ | ○ | ○ | ○ | ○ | ○ | |||||||||||
| Session 22 | ○ | ○ | ○ | ○ | ○ | ○ | ○ | ○ | ○ | ||||||||||
| Session 23 | ○ | ○ | ○ | ○ | ○ | ○ | ○ | ○ | ○ | ||||||||||
| Session 24 | ○ | ○ | ○ | ○ | ○ | ○ | ○ | ○ |
References
- Keefe, R.S.; Harvey, P.D. Cognitive impairment in schizophrenia. Handb. Exp. Pharmacol. 2012, 213, 11–37. [Google Scholar]
- Green, M.F.; Harvey, P.D. Cognition in schizophrenia: Past, present, and future. Schizophr. Res. Cogn. 2014, 1, e1–e9. [Google Scholar] [CrossRef]
- Galderisi, S.; Rossi, A.; Rocca, P.; Bertolino, A.; Mucci, A.; Bucci, P.; Rucci, P.; Gibertoni, D.; Aguglia, E.; Amore, M.; et al. The influence of illness-related variables, personal resources and context-related factors on real-life functioning of people with schizophrenia. World Psychiatry 2014, 13, 275–287. [Google Scholar] [CrossRef]
- Heinrichs, R.W.; Zakzanis, K.K. Neurocognitive deficit in schizophrenia: A quantitative review of the evidence. Neuropsychology 1998, 12, 426–445. [Google Scholar] [CrossRef]
- Nuechterlein, K.H.; Robbins, T.W.; Einat, H. Distinguishing separable domains of cognition in human and animal studies: What separations are optimal for targeting interventions? A summary of recommendations from breakout group 2 at the measurement and treatment research to improve cognition in schizophrenia new approaches conference. Schizophr. Bull. 2005, 31, 870–874. [Google Scholar]
- Mohamed, S.; Rosenheck, R.; Swartz, M.; Stroup, S.; Lieberman, J.A.; Keefe, R.S. Relationship of cognition and psychopathology to functional impairment in schizophrenia. Am. J. Psychiatry 2008, 165, 978–987. [Google Scholar] [CrossRef]
- Green, M.F.; Kern, R.S.; Heaton, R.K. Longitudinal studies of cognition and functional outcome in schizophrenia: Implications for MATRICS. Schizophr. Res. 2004, 72, 41–51. [Google Scholar] [CrossRef]
- Kahn, R.S.; Keefe, R.S. Schizophrenia is a cognitive illness: Time for a change in focus. JAMA Psychiatry 2013, 70, 1107–1112. [Google Scholar] [CrossRef]
- Woodward, N.D.; Purdon, S.E.; Meltzer, H.Y.; Zald, D.H. A meta-analysis of neuropsychological change to clozapine, olanzapine, quetiapine, and risperidone in schizophrenia. Int. J. Neuropsychopharmacol. 2005, 8, 457–472. [Google Scholar] [CrossRef] [PubMed]
- Keefe, R.S.E.; Bilder, R.M.; Davis, S.M.; Harvey, P.D.; Palmer, B.W.; Gold, J.M.; Meltzer, H.Y.; Green, M.F.; Capuano, G.; Stroup, T.S.; et al. Neurocognitive effects of antipsychotic medications in patients with chronic schizophrenia in the CATIE Trial. Arch. Gen. Psychiatry 2007, 64, 633–647. [Google Scholar] [CrossRef] [PubMed]
- Choi, K.H.; Wykes, T.; Kurtz, M.M. Adjunctive pharmacotherapy for cognitive deficits in schizophrenia: Meta-analytical investigation of efficacy. Br. J. Psychiatry 2013, 203, 172–178. [Google Scholar] [CrossRef]
- McGurk, S.R.; Twamley, E.W.; Sitzer, D.I.; McHugo, G.J.; Mueser, K.T. A meta-analysis of cognitive remediation in schizophrenia. Am. J. Psychiatry 2007, 164, 1791–1802. [Google Scholar] [CrossRef]
- Wykes, T.; Huddy, V.; Cellard, C.; McGurk, S.R.; Czobor, P. A meta-analysis of cognitive remediation for schizophrenia: Methodology and effect sizes. Am. J. Psychiatry 2011, 168, 472–485. [Google Scholar] [CrossRef]
- Prikken, M.; Konings, M.J.; Lei, W.U.; Begemann, M.J.H.; Sommer, I.E.C. The efficacy of computerized cognitive drill and practice training for patients with a schizophrenia-spectrum disorder: A meta-analysis. Schizophr. Res. 2019, 204, 368–374. [Google Scholar] [CrossRef]
- Best, M.W.; Bowie, C.R. A review of cognitive remediation approaches for schizophrenia: From top-down to bottom-up, brain training to psychotherapy. Expert. Rev. Neurother. 2017, 17, 713–723. [Google Scholar] [CrossRef]
- Jahshan, C.; Vinogradov, S.; Wynn, J.K.; Hellemann, G.; Green, M.F. A randomized controlled trial comparing a “bottom-up” and “top-down” approach to cognitive training in schizophrenia. J. Psychiatr. Res. 2019, 109, 118–125. [Google Scholar] [CrossRef]
- Green, M.F.; Horan, W.P.; Lee, J. Nonsocial and social cognition in schizophrenia: Current evidence and future directions. World Psychiatry 2019, 18, 146–161. [Google Scholar] [CrossRef]
- Twamley, E.W.; Jeste, D.V.; Bellack, A.S. A review of cognitive training in schizophrenia. Schizophr. Bull. 2003, 29, 359–382. [Google Scholar] [CrossRef]
- d’Amato, T.; Bation, R.; Cochet, A.; Jalenques, I.; Galland, F.; Giraud-Baro, E.; Pacaud-Troncin, M.; Augier-Astolfi, F.; Llorca, P.M.; Saoud, M.; et al. A randomized, controlled trial of computer-assisted cognitive remediation for schizophrenia. Schizophr. Res. 2011, 125, 284–290. [Google Scholar] [CrossRef]
- Mak, M.; Tyburski, E.; Starkowska, A.; Karabanowicz, E.; Samochowiec, A.; Samochowiec, J. The efficacy of computer-based cognitive training for executive dysfunction in schizophrenia. Psychiatry Res. 2019, 279, 62–70. [Google Scholar] [CrossRef]
- García-Fernández, L.; Cabot-Ivorra, N.; Rodríguez-García, V.; Pérez-Martín, J.; Dompablo, M.; Pérez-Gálvez, B.; Rodriguez-Jimenez, R. Computerized cognitive remediation therapy, REHACOM, in first episode of schizophrenia: A randomized controlled trial. Psychiatry Res. 2019, 281, 112563. [Google Scholar] [CrossRef] [PubMed]
- American Psychiatric Association. Diagnostic and Statistical Manual of Mental Disorders, 5th ed.; American Psychiatric Association: Washington, DC, USA, 2013. [Google Scholar]
- First, M.B.; Williams, J.B.W.; Karg, R.S.; Spitzer, R.L. Structured Clinical Interview for DSM-5 Disorders SCID-5-RV; Takahashi, S., Kitamura, T., Eds.; American Psychiatry Association: Washington, DC, USA, 2015. [Google Scholar]
- Nuechterlein, K.H.; Green, M.F.; Kern, R.S.; Baade, L.E.; Barch, D.M.; Cohen, J.D.; Marder, S.R. The MATRICS Consensus Cognitive Battery, part 1, test selection, reliability, and validity. Am. J. Psychiatry 2008, 165, 203–213. [Google Scholar] [CrossRef] [PubMed]
- Kern, R.S.; Nuechterlein, K.H.; Green, M.F.; Baade, L.E.; Fenton, W.S.; Gold, J.M.; Marder, S.R. The MATRICS Consensus Cognitive Battery, part 2, co-norming and standardization. Am. J. Psychiatry 2008, 165, 214–220. [Google Scholar] [CrossRef] [PubMed]
- Medalia, A.; Revheim, N.; Herlands, T. Remediation of Cognitive Deficits in Psychiatric Patients: A Clinician’s Manual; Montefiore Medical Center Press: New York, NY, USA, 2002. [Google Scholar]
- Keefe, R.S.; Goldberg, T.E.; Harvey, P.D.; Gold, J.M.; Poe, M.P.; Coughenour, L. The Brief Assessment of Cognition in Schizophrenia: Reliability, sensitivity, and comparison with a standard neurocognitive battery. Schizophr. Res. 2004, 68, 283–297. [Google Scholar] [CrossRef]
- Kaneda, Y.; Sumiyoshi, T.; Keefe, R.; Ishimoto, Y.; Numata, S.; Ohmori, T. Brief assessment of cognition in schizophrenia: Validation of the Japanese version. Psychiatry Clin. Neurosci. 2007, 61, 602–609. [Google Scholar] [CrossRef]
- Keefe, R.S.; Poe, M.; Walker, T.M.; Kang, J.W.; Harvey, P.D. The Schizophrenia Cognition Rating Scale: An interview-based assessment and its relationship to cognition, real-world functioning, and functional capacity. Am. J. Psychiatry 2006, 163, 426–432. [Google Scholar] [CrossRef] [PubMed]
- Kaneda, Y.; Ueoka, Y.; Sumiyoshi, T.; Yasui-Furukori, N.; Ito, T.; Higuchi, Y.; Ohmori, T. The Schizophrenia Cognition Rating Scale Japanese Version (SCoRS-J). Clin. Psychiatry 2010, 52, 1027–1030. (In Japanese) [Google Scholar]
- Keefe, R.S.; Davis, V.G.; Spagnola, N.B.; Hilt, D.; Dgetluck, N.; Ruse, S.; Patterson, T.D.; Narasimhan, M.; Harvey, P.D. Reliability, validity and treatment sensitivity of the Schizophrenia Cognition Rating Scale. Eur. Neuropsychopharmacol. 2015, 25, 176–184. [Google Scholar] [CrossRef] [PubMed]
- Heinrichs, D.W.; Hanlon, T.E.; Carpenter, W.T., Jr. The Quality of Life Scale: An instrument for rating the schizophrenic deficit syndrome. Schizophr. Bull. 1984, 10, 388–398. [Google Scholar] [CrossRef]
- Ryan, R.M.; Deci, E.L. Self-determination theory and the facilitation of intrinsic motivation, social development, and well-being. Am. Psychol. 2000, 55, 68–78. [Google Scholar] [CrossRef]
- Fervaha, G.; Zakzanis, K.K.; Foussias, G.; Graff-Guerrero, A.; Agid, O.; Remington, G. Motivational deficits and cognitive test performance in schizophrenia. JAMA Psychiatry 2014, 71, 1058–1065. [Google Scholar] [CrossRef] [PubMed]
- Choi, J.; Mogami, T.; Medalia, A. Intrinsic motivation inventory: An adapted measure for schizophrenia research. Schizophr. Bull. 2010, 36, 966–976. [Google Scholar] [CrossRef] [PubMed]
- Kay, S.R.; Fiszbein, A.; Opler, L.A. The positive and negative syndrome scale (PANSS) for schizophrenia. Schizophr. Bull. 1987, 13, 261–276. [Google Scholar] [CrossRef] [PubMed]
- Andreasen, N.C. The Scale for the Assessment of Negative Symptoms (SANS): Conceptual and theoretical foundations. Br. J. Psychiatry Suppl. 1989, 155, 49–58. [Google Scholar] [CrossRef]
- Hall, R.C. Global assessment of functioning. A modified scale. Psychosomatics 1995, 36, 267–275. [Google Scholar] [CrossRef]
- Eguchi, S.; Koike, S.; Suga, M.; Takizawa, R.; Kasai, K. Psychological symptom and social functioning subscales of the Modified Global Assessment of Functioning Scale: Reliability and validity of the Japanese version. Psychiatry Clin. Neurosci. 2015, 69, 126–127. [Google Scholar] [CrossRef]
- Vita, A.; Barlati, S.; Ceraso, A.; Nibbio, G.; Ariu, C.; Deste, G.; Wykes, T. Effectiveness, core elements, and moderators of response of cognitive remediation for schizophrenia, a systematic review and meta-analysis of randomized clinical trials. JAMA Psychiatry 2021, 78, 848–858. [Google Scholar] [CrossRef]
- Medalia, A.; Saperstein, A. The role of motivation for treatment success. Schizophr. Bull. 2011, 37, S122–S128. [Google Scholar] [CrossRef] [PubMed]
- Saperstein, A.M.; Medalia, A. The role of motivation in cognitive remediation for people with schizophrenia. Curr. Top. Behav. Neurosci. 2016, 27, 533–546. [Google Scholar]
- Green, M.F.; Hellemann, G.; Horan, W.P.; Lee, J.; Wynn, J.K. From perception to functional outcome in schizophrenia: Modeling the role of ability and motivation. Arch. Gen. Psychiatry 2012, 69, 1216–1224. [Google Scholar] [CrossRef]
- Fervaha, G.; Foussias, G.; Agid, O.; Remington, G. Motivational deficits in early schizophrenia: Prevalent, persistent, and key determinants of functional outcome. Schizophr. Res. 2015, 166, 9–16. [Google Scholar] [CrossRef] [PubMed]
- Marder, S.R.; Cannon, T.D. Schizophrenia. N. Engl. J. Med. 2019, 381, 1753–1761. [Google Scholar] [CrossRef] [PubMed]
- Fleischhacker, W.W.; Arango, C.; Arteel, P.; Barnes, T.R.E.; Carpenter, W.; Duckworth, K.; Galderisi, S.; Halpern, L.; Knapp, M.; Marder, S.R.; et al. Schizophrenia—Time to commit to policy change. Schizophr. Bull. 2014, 40, S165–S194. [Google Scholar] [CrossRef]
- Fervaha, G.; Foussias, G.; Agid, O.; Remington, G. Impact of primary negative symptoms on functional outcomes in schizophrenia. Eur. Psychiatry 2014, 29, 449–455. [Google Scholar] [CrossRef] [PubMed]
- Mäkinen, J.; Miettunen, J.; Isohanni, M.; Koponen, H. Negative symptoms in schizophrenia: A review. Nord. J. Psychiatry 2008, 62, 334–341. [Google Scholar] [CrossRef] [PubMed]
- Harvey, P.D.; Strassnig, M. Predicting the severity of everyday functional disability in people with schizophrenia: Cognitive deficits, functional capacity, symptoms, and health status. World Psychiatry 2012, 11, 73–79. [Google Scholar] [CrossRef]
- Lisoni, J.; Baldacci, G.; Nibbio, G.; Zucchetti, A.; Lemmi Gigli, E.B.; Savorelli, A.; Facchi, M.; Miotto, P.; Deste, G.; Barlati, S.; et al. Effects of bilateral, bipolar-nonbalanced, frontal transcranial direct current stimulation (tDCS) on negative symptoms and neurocognition in a sample of patients living with schizophrenia: Results of a randomized double-blind sham-controlled trial. J. Psychiatr. Res. 2022, 155, 430–442. [Google Scholar] [CrossRef]
- Xu, H.; Zhou, Y.; Wang, J.; Liang, Z.; Wang, Y.; Wu, W.; Liu, Y.; Liu, X.; Zhang, X.; Huo, L. Effect of HD-tDCS on white matter integrity and associated cognitive function in chronic schizophrenia: A double-blind, sham-controlled randomized trial. Psychiatry Res. 2023, 324, 115183. [Google Scholar] [CrossRef]
- Orlov, N.D.; Tracy, D.K.; Joyce, D.; Patel, S.; Rodzinka-Pasko, J.; Dolan, H.; Hodsoll, J.; Collier, T.; Rothwell, J.; Shergill, S.S. Stimulating cognition in schizophrenia: A controlled pilot study of the effects of prefrontal transcranial direct current stimulation upon memory and learning. Brain Stimul. 2017, 10, 560–566. [Google Scholar] [CrossRef]
- Vergallito, A.; Gramano, B.; La Monica, K.; Giuliani, L.; Palumbo, D.; Gesi, C.; Torriero, S. Combining transcranial magnetic stimulation with training to improve social cognition impairment in schizophrenia: A pilot randomized controlled trial. Front. Psychol. 2024, 15, 1308971. [Google Scholar] [CrossRef]


| CR + TAU (n = 14) | TAU Alone (n = 13) | t/χ2 | p | |||
|---|---|---|---|---|---|---|
| Age (years), mean (SD) | 46.57 | (9.80) | 48.46 | (10.33) | −0.49 | 0.630 |
| Sex, n (% male) | 9 | (64.29) | 8 | (61.54) | 0.02 | 0.883 |
| Onset age (years), mean (SD) | 21.93 | (6.90) | 23.85 | (8.38) | −0.65 | 0.521 |
| Duration of an illness (days), mean (SD) | 9018.00 | (4115.75) | 8928.46 | (3540.74) | 0.06 | 0.952 |
| Total length of hospital stays (months), mean (SD) | 111.29 | (108.46) | 100.69 | (80.75) | 0.29 | 0.777 |
| Education (year), mean (SD) | 12.50 | (2.47) | 13.15 | (1.99) | −0.75 | 0.459 |
| Antipsychotic | ||||||
| Chlorpromazine equivalent dose (mg/day), mean (SD) | ||||||
| Baseline | 849.43 | (603.25) | 831.15 | (455.17) | 0.08 | 0.930 |
| 12 weeks | 849.43 | (603.25) | 831.15 | (455.17) | 0.08 | 0.930 |
| Generation, n (%) | ||||||
| FGA | 1 | (7.14) | 1 | (7.69) | 0.16 | 0.922 |
| SGA | 10 | (71.43) | 10 | (76.92) | ||
| FGA + SGA | 3 | (21.43) | 2 | (15.38) | ||
| Prescription, n (%) | ||||||
| Monotherapy | 5 | (35.71) | 4 | (30.77) | 0.07 | 0.785 |
| Polypharmacy therapy | 9 | (64.29) | 9 | (69.23) | ||
| Outcome | CR + TAU (n = 14) | TAU Alone (n = 13) | F | Effect Size | |||||
|---|---|---|---|---|---|---|---|---|---|
| Mean | (SD) | Mean | (SD) | Time | Group | Time × Group | |||
| BACS | |||||||||
| Verbal memory | Baseline | −2.00 | (1.45) | −1.74 | (1.25) | 10.78 ** | 1.68 | 2.50 | 0.05 |
| Post | −1.25 | (1.33) | −1.48 | (1.10) | |||||
| Working memory | Baseline | −1.78 | (1.20) | −1.35 | (1.27) | 8.29 * | 4.85 | 7.40 * | 0.14 |
| Post | −0.86 | (1.30) | −1.32 | (0.98) | |||||
| Motor speed | Baseline | −3.52 | (1.63) | −2.61 | (1.54) | 5.28 * | 0.10 | 0.64 | 0.01 |
| Post | −2.92 | (1.51) | −2.32 | (1.41) | |||||
| Verbal fluency | Baseline | −0.89 | (1.16) | −0.60 | (1.35) | 3.52 | 8.51 * | 10.85 ** | 0.19 |
| Post | −0.33 | (1.11) | −0.76 | (1.10) | |||||
| Attention | Baseline | −2.23 | (1.44) | −1.81 | (1.61) | 1.86 | 4.97 | 5.31 | 0.11 |
| Post | −1.81 | (1.47) | −1.92 | (1.76) | |||||
| Executive function | Baseline | −1.62 | (2.34) | −1.65 | (2.23) | 3.76 | 2.78 | 2.52 | 0.05 |
| Post | −1.00 | (2.21) | −1.58 | (2.04) | |||||
| Composite score | Baseline | −2.01 | (1.17) | −1.62 | (1.20) | 21.51 ** | 11.04 ** | 14.49 ** | 0.24 |
| Post | −1.37 | (0.99) | −1.56 | (1.10) | |||||
| SCoRS | |||||||||
| Patient total | Baseline | 35.43 | (10.75) | 39.08 | (10.10) | 20.19 ** | 0.07 | 2.10 | 0.04 |
| Post | 28.07 | (4.91) | 35.31 | (10.74) | |||||
| Patient global rating | Baseline | 4.64 | (2.74) | 4.77 | (2.42) | 0.08 | 0.96 | 0.85 | 0.02 |
| Post | 4.36 | (2.41) | 5.31 | (2.39) | |||||
| Informant total | Baseline | 37.43 | (13.50) | 38.92 | (12.18) | 7.68 * | 3.40 | 2.45 | 0.05 |
| Post | 30.79 | (7.04) | 37.10 | (10.20) | |||||
| Informant global rating | Baseline | 6.21 | (2.05) | 5.92 | (1.89) | 9.26 * | 7.82 * | 9.26 * | 0.17 |
| Post | 4.79 | (1.37) | 5.92 | (1.98) | |||||
| Interviewer total | Baseline | 38.10 | (14.50) | 40.54 | (11.70) | 11.73 ** | 6.56 | 4.76 | 0.09 |
| Post | 30.79 | (6.75) | 38.92 | (9.73) | |||||
| Interviewer global rating | Baseline | 6.21 | (1.93) | 6.54 | (1.76) | 13.12 * | 7.86 * | 6.08 | 0.12 |
| Post | 5.00 | (1.30) | 6.31 | (1.70) | |||||
| QLS | |||||||||
| QLS score | Baseline | 4.79 | (2.49) | 5.31 | (2.32) | 20.94 ** | 45.58 ** | 47.27 ** | 0.50 |
| Post | 9.00 | (3.33) | 4.46 | (1.98) | |||||
| IMI | |||||||||
| Interest/enjoyment | Baseline | 30.64 | (8.33) | 28.15 | (7.28) | 1.26 | 9.01 | 6.35 * | 0.12 |
| Post | 33.86 | (4.15) | 26.92 | (7.65) | |||||
| Value/usefulness | Baseline | 35.57 | (11.80) | 28.46 | (12.80) | 1.68 | 4.60 | 2.06 | 0.04 |
| Post | 40.00 | (9.41) | 28.23 | (10.90) | |||||
| Perceived choice | Baseline | 24.29 | (5.76) | 29.69 | (5.22) | 3.27 | 0.13 | 1.17 | 0.02 |
| Post | 27.36 | (8.18) | 30.46 | (4.24) | |||||
| IMI total | Baseline | 90.50 | (21.66) | 86.31 | (17.38) | 5.05 | 7.59 * | 6.51 | 0.12 |
| Post | 101.36 | (13.94) | 85.62 | (17.77) | |||||
| PANSS | |||||||||
| Positive | Baseline | 32.00 | (7.37) | 32.85 | (6.66) | 33.22 ** | 1.76 | 2.12 | 0.04 |
| Post | 26.07 | (7.31) | 29.31 | (5.95) | |||||
| Negative | Baseline | 31.00 | (6.79) | 32.08 | (6.28) | 22.86 ** | 2.20 | 2.06 | 0.04 |
| Post | 26.86 | (5.13) | 29.85 | (5.13) | |||||
| General psychopathology | Baseline | 71.07 | (14.37) | 72.85 | (12.86) | 22.42 ** | 0.08 | 0.26 | 0.01 |
| Post | 62.64 | (11.63) | 62.38 | (10.14) | |||||
| Total | Baseline | 134.07 | (27.67) | 137.77 | (24.50) | 39.55 ** | 0.33 | 0.18 | 0.00 |
| Post | 115.50 | (22.59) | 121.54 | (14.20) | |||||
| SANS | |||||||||
| Affective flattening | Baseline | 29.79 | (7.51) | 31.85 | (6.26) | 22.37 ** | 0.97 | 0.53 | 0.01 |
| Post | 26.21 | (6.97) | 29.23 | (4.83) | |||||
| Alogia | Baseline | 18.36 | (6.03) | 18.62 | (5.39) | 19.03 ** | 1.57 | 1.71 | 0.04 |
| Post | 15.64 | (4.33) | 17.15 | (4.93) | |||||
| Avolition/apathy | Baseline | 15.29 | (5.12) | 17.31 | (3.12) | 1.37 | 4.07 | 0.36 | 0.01 |
| Post | 13.86 | (3.86) | 16.85 | (2.85) | |||||
| Anhedonia/asociality | Baseline | 21.57 | (4,16) | 21.69 | (3.84) | 19.00 ** | 9.49 ** | 10.66 ** | 0.19 |
| Post | 18.36 | (4.80) | 21.23 | (3.30) | |||||
| Attention | Baseline | 13.36 | (3.86) | 13.31 | (3.88) | 5.55 * | 1.58 | 1.84 | 0.04 |
| Post | 11.93 | (3.85) | 12.92 | (3.38) | |||||
| Total | Baseline | 99.64 | (22.91) | 102.77 | (20.44) | 29.95 ** | 5.27 | 5.64 | 0.11 |
| Post | 86.00 | (22.22) | 97.38 | (16.80) | |||||
| mGAF-F | |||||||||
| mGAF-F score | Baseline | 39.14 | (10.92) | 41.92 | (5.78) | 10.77 ** | 14.34 ** | 18.72 ** | 0.29 |
| Post | 49.79 | (10.54) | 40.46 | (6.45) | |||||
Disclaimer/Publisher’s Note: The statements, opinions and data contained in all publications are solely those of the individual author(s) and contributor(s) and not of MDPI and/or the editor(s). MDPI and/or the editor(s) disclaim responsibility for any injury to people or property resulting from any ideas, methods, instructions or products referred to in the content. |
© 2024 by the authors. Licensee MDPI, Basel, Switzerland. This article is an open access article distributed under the terms and conditions of the Creative Commons Attribution (CC BY) license (https://creativecommons.org/licenses/by/4.0/).
Share and Cite
Yamanushi, A.; Shimada, T.; Koizumi, A.; Kobayashi, M. Effect of Computer-Assisted Cognitive Remediation Therapy on Cognition among Patients with Schizophrenia: A Pilot Randomized Controlled Trial. Biomedicines 2024, 12, 1498. https://doi.org/10.3390/biomedicines12071498
Yamanushi A, Shimada T, Koizumi A, Kobayashi M. Effect of Computer-Assisted Cognitive Remediation Therapy on Cognition among Patients with Schizophrenia: A Pilot Randomized Controlled Trial. Biomedicines. 2024; 12(7):1498. https://doi.org/10.3390/biomedicines12071498
Chicago/Turabian StyleYamanushi, Ayumi, Takeshi Shimada, Ami Koizumi, and Masayoshi Kobayashi. 2024. "Effect of Computer-Assisted Cognitive Remediation Therapy on Cognition among Patients with Schizophrenia: A Pilot Randomized Controlled Trial" Biomedicines 12, no. 7: 1498. https://doi.org/10.3390/biomedicines12071498
APA StyleYamanushi, A., Shimada, T., Koizumi, A., & Kobayashi, M. (2024). Effect of Computer-Assisted Cognitive Remediation Therapy on Cognition among Patients with Schizophrenia: A Pilot Randomized Controlled Trial. Biomedicines, 12(7), 1498. https://doi.org/10.3390/biomedicines12071498

