Graphical Insight: Revolutionizing Seizure Detection with EEG Representation
Abstract
1. Introduction
1.1. Objectives and Scope
- To extract important features from the EEG signal that have the best properties for each signal, such as frequency content, patterns, and characteristics specific to epilepsy [31], we utilized three epilepsy EEG datasets and extracted several frequency-based features, and statistics such as the mean, variance, skewness, and kurtosis were computed for each segment and employed as input features for the model. We employ a combination of wavelet and statistical features to analyze the EEG signal, as this multivariate approach was found to be more effective in detecting and diagnosing epilepsy than single-feature-based methods. Subsequently, we calculated the vertical average that constituted the final feature set, as illustrated in Figure 1.
- Preprocessing of features was performed to generate minority class data, as seizure windows typically contain a small number of samples. Two up-sampling techniques, namely the synthetic minority oversampling technique (SMOTE) [32] and K-nearest neighbor sampling approach (KNNOR) [33], are applied for this purpose.
- To visualize the feature set, a graph is constructed by representing each feature as a node, and edges are established between nodes based on their Euclidean distance [34]. Euclidean distance is the fastest method for constructing edges between the nodes of graphs.
- Graph convolutional networks (GCNs) [35] are frequently utilized for learning data representations based on graphs. They could extract features from graph-based data and improve their representations by gathering information from the neighboring nodes in the graph. However, in scenarios where the graph data have temporal dynamics, such as time series or sequential data, RNNs such as LSTM [24,36] can be utilized to capture these dynamics. In this study, we propose a GCN-LSTM model that combines the strengths of both GCNs and LSTM to capture both the graph structure and temporal dynamics in the data. The GCN component extracts and enhances the graph-based features, while the LSTM component models the temporal dependencies in the data. To address the unbalanced nature of the dataset and improve classification accuracy, we utilize a balanced random forest (BRF) model [37] in conjunction with a GCN [35].
- To evaluate the performance of our proposed model, we conduct a parametric comparison with previously published models for the detection of epilepsy from EEG signals using a set of standardized metrics, such as accuracy, sensitivity, and specificity. The results demonstrate the utility of utilizing both wavelet and statistical features in the detection and diagnosis of epilepsy from EEG signals.
- We introduce an innovative circular graph visualization method for EEG data that provides a more intuitive and interpretable representation. This novel visualization facilitates effective classification into ictal and interictal classes, thereby achieving enhanced accuracy through visual inspection. This improvement significantly contributes to the practicality of seizure detection.
- Our approach involves the aggregation of essential features, including frequency, statistical, and wavelet features, from all combined channels. This comprehensive method not only enriches the depth of the captured information but also substantially enhances the overall performance of our model.
- To address the computational complexity associated with processing extensive EEG data, we propose an efficient channel selection strategy. By limiting the number of channels to a carefully chosen set of 10, based on prior research findings, we strike a balance between computational efficiency and retention of crucial information. This strategy optimizes computational resources while ensuring comprehensive coverage of the relevant regions essential for capturing epileptiform discharges.
1.2. Literature Review
- Leveraging graph neural networks (GNNs) to effectively capture both spatial and temporal patterns in EEG data, which traditional methods like SVMs, CNNs, or RNNs alone cannot adequately represent.
- The innovative combination of GCNs for learning graph representations and LSTMs/BRFs for modeling temporal dynamics, addressing a gap in holistically analyzing the complex structure inherent in EEG signals.
- Utilizing data augmentation techniques like SMOTE and KNNOR to handle the class imbalance issue prevalent in seizure EEG datasets, improving model performance on the underrepresented seizure class.
- Proposing an efficient channel selection strategy to optimize computational resources while retaining comprehensive coverage of relevant brain regions for seizure detection.
2. Materials and Methods
- Description of Dataset;
- Preprocessing;
- Feature Extractions;
- Graph Representation;
- Proposed GCN-LSTM Model;
- Proposed GCN-BRF Model;
- Each section will be discussed in the subsequent parts of this paper.
2.1. Description of Datasets
2.1.1. Children’s Hospital Boston (CHB) MIT Dataset
2.1.2. Siena Scalp EEG Database
2.1.3. TUH-EEG Corpus
2.2. Preprocessing
2.3. Feature Extractions
2.3.1. Statistical Methods
2.3.2. Extraction of Features Using Daubechies Wavelet Transform (DWT)
2.3.3. Mean
2.3.4. Variance
2.3.5. Median
2.3.6. Skewness
2.3.7. Kurtosis
2.3.8. Min and Max Values
2.3.9. Coefficient of Variation
2.3.10. Interquartile Range
2.3.11. Energy and Average Power
2.3.12. Line Length
2.3.13. Amplitude-Integrated
2.3.14. Non-linear Energy
2.3.15. Shannon Entropy
2.4. Graph Representation
| Algorithm 1. Algorithm to convert EEG features set to graph nodes and edges |
| INPUT: a matrix, where each row represents the window features of a specific channel : a vector indicating the class label for each row in . OUTPUT: (graph structure) Initialize an empty graph For i = 0 to i < number of rows in , do Add the ith row as a node in the graph G End For For i = 0 to i < length of , do For j = i + 1 to j < length of , do If i == j, then continue Calculate the Euclidean distance between and and store it End If If and , then add an edge between nodes i and j in End If End For End For Return |
2.5. Proposed Model
2.5.1. GCN-LSTM Model
2.5.2. GCN-BRF Model
3. Results and Discussion
3.1. Model Performance
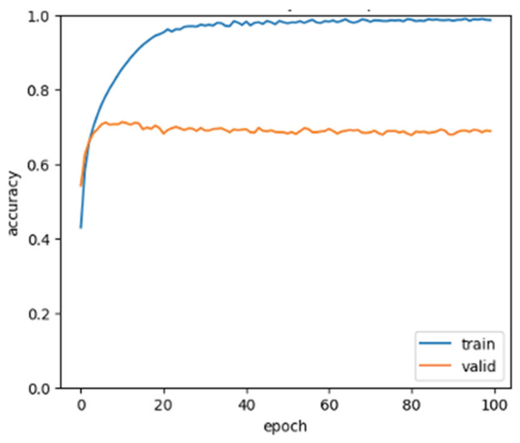
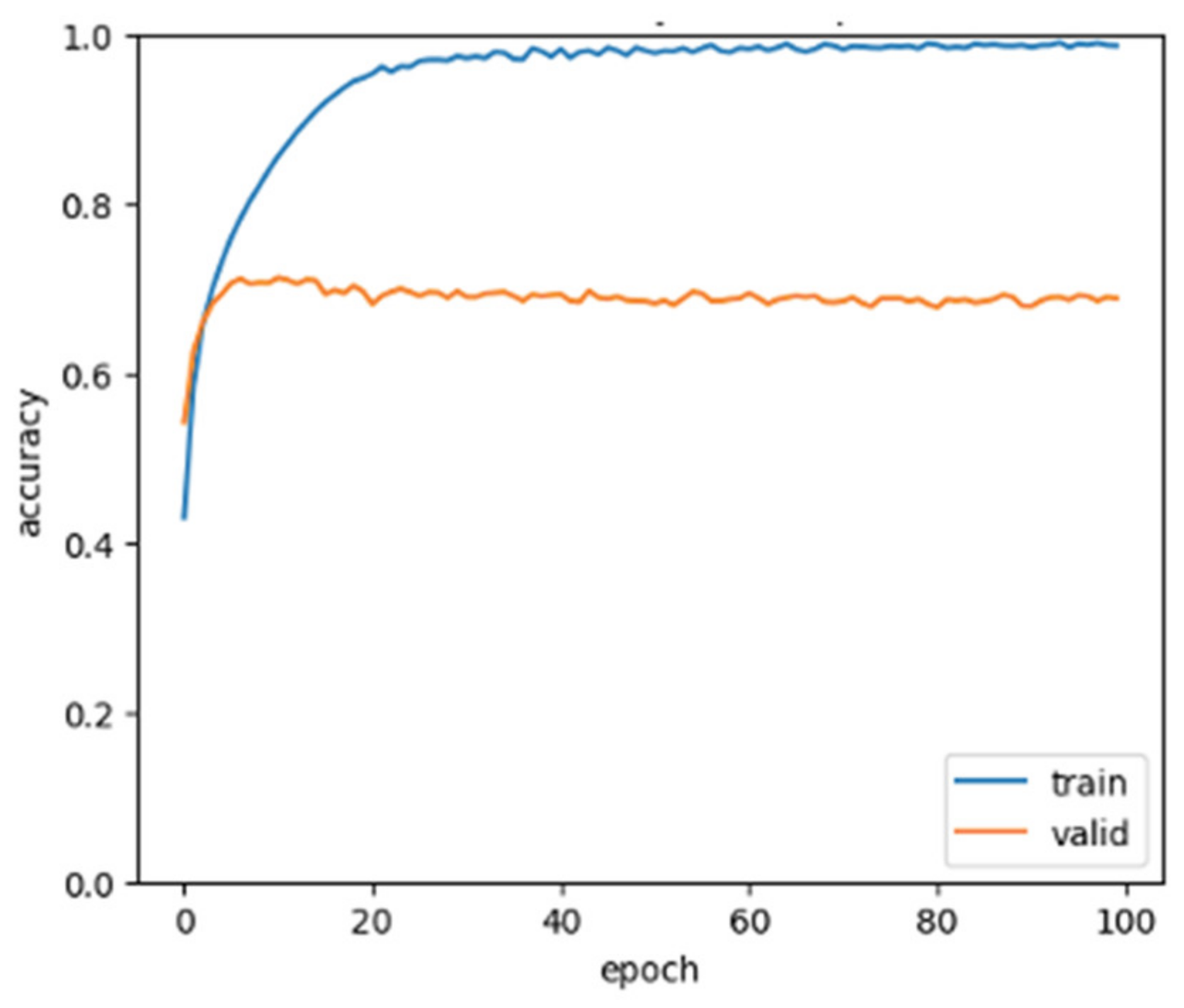
3.1.1. Model Optimization
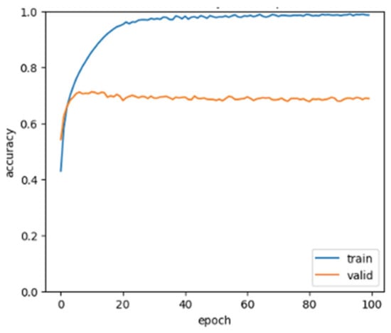
3.1.2. Network Training
3.1.3. New Sample Classification
3.2. Performance Evaluation on Identifying Seizure State
3.3. Effect of Node Embeddings on Model Performance
3.4. Confusion Matrix
3.5. Comparison of the Models’ Performance with the Literature
4. Conclusions
Author Contributions
Funding
Institutional Review Board Statement
Data Availability Statement
Conflicts of Interest
References
- Howell, K.B.; Freeman, J.L.; Mackay, M.T.; Fahey, M.C.; Archer, J.; Berkovic, S.F.; Chan, E.; Dabscheck, G.; Eggers, S.; Hayman, M. The Severe Epilepsy Syndromes of Infancy: A Population-Based Study. Epilepsia 2021, 62, 358–370. [Google Scholar] [CrossRef] [PubMed]
- Roy, Y.; Banville, H.; Albuquerque, I.; Gramfort, A.; Falk, T.H.; Faubert, J. Deep Learning-Based Electroencephalography Analysis: A Systematic Review. J. Neural Eng. 2019, 16, 051001. [Google Scholar] [CrossRef] [PubMed]
- Liu, X.; Wang, J.; Shang, J.; Liu, J.; Dai, L.; Yuan, S. Epileptic Seizure Detection Based on Variational Mode Decomposition and Deep Forest Using EEG Signals. Brain Sci. 2022, 12, 1275. [Google Scholar] [CrossRef] [PubMed]
- Bomela, W.; Wang, S.; Chou, C.-A.; Li, J.-S. Real-Time Inference and Detection of Disruptive EEG Networks for Epileptic Seizures. Sci. Rep. 2020, 10, 8653. [Google Scholar] [CrossRef] [PubMed]
- Ke, H.; Chen, D.; Yao, Q.; Tang, Y.; Wu, J.; Monaghan, J.; Sowman, P.; McAlpine, D. Deep Factor Learning for Accurate Brain Neuroimaging Data Analysis on Discrimination for Structural MRI and Functional MRI. IEEE/ACM Trans. Comput. Biol. Bioinform. 2023, 1–14. [Google Scholar] [CrossRef]
- Ke, H.; Wang, F.; Ma, H.; He, Z. ADHD Identification and Its Interpretation of Functional Connectivity Using Deep Self-Attention Factorization. Knowl. Based Syst. 2022, 250, 109082. [Google Scholar] [CrossRef]
- Henderson, V.W. Alzheimer’s Disease and Other Neurological Disorders. Climacteric 2007, 10, 92–96. [Google Scholar] [CrossRef] [PubMed]
- AbdElminaam, D.S.; Fahmy, A.G.; Ali, Y.M.; El-Din, O.A.D.; Aly, A.R.; Heidar, M. ESEEG: An Efficient Epileptic Seizure Detection Using EEG Signals Based on Machine Learning Algorithms. In Proceedings of the 2022 2nd International Mobile, Intelligent, and Ubiquitous Computing Conference (MIUCC), Cairo, Egypt, 8–9 May 2022; pp. 210–215. [Google Scholar]
- Orosco, L.L.; Correa, M.A.G.; Leber, E.L. A survey of performance and techniques for automatic epilepsy detection 2013. J. Med. Biol. Eng. 2013, 33, 526–537. [Google Scholar] [CrossRef]
- Costa, F.; Grave, K. Fast Neighborhood Subgraph Pairwise Distance Kernel. In Proceedings of the 26th International Conference on Machine Learning, Montreal, QC, Canada, 14–18 June 2009; Omnipress: Madison, WI, USA, 2010. [Google Scholar]
- Sharma, R.; Pachori, R.B.; Gautam, S. Empirical Mode Decomposition Based Classification of Focal and Non-Focal EEG Signals. In Proceedings of the 2014 International Conference on Medical Biometrics, Shenzhen, Guangdong, China, 30 May–1 June 2014. [Google Scholar]
- Kulkarni, N.N.; Bairagi, V.K. Extracting Salient Features for EEG-Based Diagnosis of Alzheimer’s Disease Using Support Vector Machine Classifier. IETE J. Res. 2017, 63, 11–22. [Google Scholar] [CrossRef]
- Chao, H.; Dong, L.; Liu, Y.; Lu, B. Emotion Recognition from Multiband EEG Signals Using CapsNet. Sensors 2019, 19, 2212. [Google Scholar] [CrossRef] [PubMed]
- Sharma, R.; Sircar, P.; Pachori, R.B. Automated Focal EEG Signal Detection Based on Third Order Cumulant Function. Biomed. Signal Process. Control 2020, 58, 101856. [Google Scholar] [CrossRef]
- Chen, M.; Wei, Z.; Huang, Z.; Ding, B.; Li, Y. Simple and Deep Graph Convolutional Networks. In Proceedings of the International Conference on Machine Learning, PMLR, Virtual Event, 13–18 July 2020; pp. 1725–1735. [Google Scholar]
- Gómez, C.; Arbeláez, P.; Navarrete, M.; Alvarado-Rojas, C.; Le Van Quyen, M.; Valderrama, M. Automatic Seizure Detection Based on Imaged-EEG Signals through Fully Convolutional Networks. Sci. Rep. 2020, 10, 21833. [Google Scholar] [CrossRef] [PubMed]
- Bashar, M.K.; Chiaki, I.; Yoshida, H. Human Identification from Brain EEG Signals Using Advanced Machine Learning Method EEG-Based Biometrics. In Proceedings of the 2016 IEEE EMBS Conference on Biomedical Engineering and Sciences (IECBES 2016), Kuala Lumpur, Malaysia, 4–8 December 2016. [Google Scholar]
- Nedelcu, E.; Portase, R.; Tolas, R.; Muresan, R.; Dinsoreanu, M.; Potolea, R. Artifact Detection in EEG Using Machine Learning. In Proceedings of the 2017 13th IEEE International Conference on Intelligent Computer Communication and Processing (ICCP), Cluj-Napoca, Romania, 7–9 September 2017; pp. 77–83. [Google Scholar]
- Lamichhane, B.; Kim, Y.; Segarra, S.; Zhang, G.; Lhatoo, S.; Hampson, J.; Jiang, X. Automated Detection of Activity Onset after Postictal Generalized EEG Suppression. BMC Med. Inform. Decis. Mak. 2020, 20, 327. [Google Scholar] [CrossRef] [PubMed]
- Mønster, D.; Fusaroli, R.; Tylén, K.; Roepstorff, A.; Sherson, J.F. Causal Inference from Noisy Time-Series Data—Testing the Convergent Cross-Mapping Algorithm in the Presence of Noise and External Influence. Future Gener. Comput. Syst. 2017, 73, 52–62. [Google Scholar] [CrossRef]
- Abibullaev, B.; Kang, W.-S.; Lee, S.-H.; An, J. A Simple Wavelet Method for Automated Detection of Epileptic Neural Spikes in Electroencephalogram. Adv. Inf. Sci. Serv. Sci. 2010, 2, 84–92. [Google Scholar]
- Abdulnabi, A.H.; Wang, G.; Lu, J.; Jia, K. Multi-Task CNN Model for Attribute Prediction. IEEE Trans. Multimed. 2015, 17, 1949–1959. [Google Scholar] [CrossRef]
- Wang, F.; Tax, D.M.J. Survey on the Attention Based RNN Model and Its Applications in Computer Vision. arXiv 2016, arXiv:1601.06823. [Google Scholar]
- Awais, M.; Bhuva, A.; Bhuva, D.; Fatima, S.; Sadiq, T. Optimized DEC: An Effective Cough Detection Framework Using Optimal Weighted Features-Aided Deep Ensemble Classifier for COVID-19. Biomed. Signal Process. Control 2023, 86, 105026. [Google Scholar] [CrossRef]
- Liu, G.; Tian, L.; Zhou, W. Patient-Independent Seizure Detection Based on Channel-Perturbation Convolutional Neural Network and Bidirectional Long Short-Term Memory. Int. J. Neural Syst. 2022, 32, 2150051. [Google Scholar] [CrossRef] [PubMed]
- Tsiouris, K.M.; Pezoulas, V.C.; Koutsouris, D.D.; Zervakis, M.; Fotiadis, D.I. Discrimination of Preictal and Interictal Brain States from Long-Term EEG Data. In Proceedings of the 2017 IEEE 30th International Symposium on Computer-Based Medical Systems (CBMS 2017), Thessaloniki, Greece, 22–24 June 2017; pp. 318–323. [Google Scholar]
- Zabihi, M.; Kiranyaz, S.; Rad, A.B.; Katsaggelos, A.K.; Gabbouj, M.; Ince, T. Analysis of High-Dimensional Phase Space via Poincaré Section for Patient-Specific Seizure Detection. IEEE Trans. Neural Syst. Rehabil. Eng. 2015, 24, 386–398. [Google Scholar] [CrossRef] [PubMed]
- Xia, L.; Huang, C.; Xu, Y.; Dai, P.; Zhang, X.; Yang, H.; Pei, J.; Bo, L. Knowledge-Enhanced Hierarchical Graph Transformer Network for Multi-Behavior Recommendation. In Proceedings of the AAAI Conference on Artificial Intelligence, Online, 2–9 February 2021; Volume 35, pp. 4486–4493. [Google Scholar]
- Abbasi, B.; Goldenholz, D.M. Machine Learning Applications in Epilepsy. Epilepsia 2019, 60, 2037–2047. [Google Scholar] [CrossRef] [PubMed]
- Zhao, Y.; Dong, C.; Zhang, G.; Wang, Y.; Chen, X.; Jia, W.; Yuan, Q.; Xu, F.; Zheng, Y. EEG-Based Seizure Detection Using Linear Graph Convolution Network with Focal Loss. Comput. Methods Programs Biomed. 2021, 208, 106277. [Google Scholar] [CrossRef] [PubMed]
- Lu, Y.; Wang, M.; Wu, W.; Han, Y.; Zhang, Q.; Chen, S. Dynamic Entropy-Based Pattern Learning to Identify Emotions from EEG Signals across Individuals. Measurement 2020, 150, 107003. [Google Scholar] [CrossRef]
- Fernández, A.; Garcia, S.; Herrera, F.; Chawla, N.V. SMOTE for Learning from Imbalanced Data: Progress and Challenges, Marking the 15-Year Anniversary. J. Artif. Intell. Res. 2018, 61, 863–905. [Google Scholar] [CrossRef]
- Islam, A.; Belhaouari, S.B.; Rehman, A.U.; Bensmail, H. KNNOR: An Oversampling Technique for Imbalanced Datasets. Appl. Soft Comput. 2022, 115, 108288. [Google Scholar] [CrossRef]
- Danielsson, P.-E. Euclidean Distance Mapping. Comput. Graph. Image Process. 1980, 14, 227–248. [Google Scholar] [CrossRef]
- Zhang, S.; Tong, H.; Xu, J.; Maciejewski, R. Graph Convolutional Networks: A Comprehensive Review. Comput. Soc. Netw. 2019, 6, 11. [Google Scholar] [CrossRef] [PubMed]
- Graves, A.; Graves, A. Long Short-Term Memory. In Supervised Sequence Labelling with Recurrent Neural Networks; Springer: Berlin/Heidelberg, Germany, 2012; pp. 37–45. [Google Scholar]
- Kobyliński, Ł.; Przepiórkowski, A. Definition Extraction with Balanced Random Forests. In Proceedings of the Advances in Natural Language Processing: 6th International Conference, GoTAL 2008, Gothenburg, Sweden, 25–27 August 2008; Springer: Gothenburg, Sweden, 2008. [Google Scholar]
- Dissanayake, T.; Fernando, T.; Denman, S.; Sridharan, S.; Fookes, C. Deep Learning for Patient-Independent Epileptic Seizure Prediction Using Scalp EEG Signals. IEEE Sens. J. 2021, 21, 9377–9388. [Google Scholar] [CrossRef]
- Zhang, Y.; Guo, Y.; Yang, P.; Chen, W.; Lo, B. Epilepsy Seizure Prediction on EEG Using Common Spatial Pattern and Convolutional Neural Network. IEEE J. Biomed. Health Inform. 2019, 24, 465–474. [Google Scholar] [CrossRef]
- Chen, Z.; Lu, G.; Xie, Z.; Shang, W. A Unified Framework and Method for EEG-Based Early Epileptic Seizure Detection and Epilepsy Diagnosis. IEEE Access 2020, 8, 20080–20092. [Google Scholar] [CrossRef]
- Zhou, M.; Tian, C.; Cao, R.; Wang, B.; Niu, Y.; Hu, T.; Guo, H.; Xiang, J. Epileptic Seizure Detection Based on EEG Signals and CNN. Front. Neuroinformatics 2018, 12, 95. [Google Scholar] [CrossRef] [PubMed]
- Shoka, A.A.E.; Dessouky, M.M.; El-Sayed, A.; Hemdan, E.E.-D. An Efficient CNN Based Epileptic Seizures Detection Framework Using Encrypted EEG Signals for Secure Telemedicine Applications. Alex. Eng. J. 2023, 65, 399–412. [Google Scholar] [CrossRef]
- Chou, C.-H.; Shen, T.-W.; Tung, H.; Hsieh, P.F.; Kuo, C.-E.; Chen, T.-M.; Yang, C.-W. Convolutional Neural Network-Based Fast Seizure Detection from Video Electroencephalograms. Biomed. Signal Process. Control 2023, 80, 104380. [Google Scholar] [CrossRef]
- Jácobo-Zavaleta, S.; Zavaleta, J. A Deep Learning Approach for Epilepsy Seizure Identification Using Electroencephalogram Signals: A Preliminary Study. IEEE Lat. Am. Trans. 2023, 21, 419–426. [Google Scholar] [CrossRef]
- Ahmedt-Aristizabal, D.; Fookes, C.; Nguyen, K.; Denman, S.; Sridharan, S.; Dionisio, S. Deep Facial Analysis: A New Phase I Epilepsy Evaluation Using Computer Vision. Epilepsy Behav. 2018, 82, 17–24. [Google Scholar] [CrossRef] [PubMed]
- Dissanayake, T.; Fernando, T.; Denman, S.; Sridharan, S.; Fookes, C. Geometric Deep Learning for Subject Independent Epileptic Seizure Prediction Using Scalp Eeg Signals. IEEE J. Biomed. Health Inform. 2021, 26, 527–538. [Google Scholar] [CrossRef] [PubMed]
- Sánchez-Hernández, S.E.; Salido-Ruiz, R.A.; Torres-Ramos, S.; Román-Godínez, I. Evaluation of Feature Selection Methods for Classification of Epileptic Seizure EEG Signals. Sensors 2022, 22, 3066. [Google Scholar] [CrossRef] [PubMed]
- Fatlawi, H.K.; Kiss, A. Similarity-Based Adaptive Window for Improving Classification of Epileptic Seizures with Imbalance EEG Data Stream. Entropy 2022, 24, 1641. [Google Scholar] [CrossRef] [PubMed]
- Subasi, A. EEG Signal Classification Using Wavelet Feature Extraction and a Mixture of Expert Model. Expert Syst. Appl. 2007, 32, 1084–1093. [Google Scholar] [CrossRef]
- Zhang, T.; Wang, X.; Xu, X.; Chen, C.P. GCB-Net: Graph Convolutional Broad Network and Its Application in Emotion Recognition. IEEE Trans. Affect. Comput. 2019, 13, 379–388. [Google Scholar] [CrossRef]
- Rácz, A.; Bajusz, D.; Héberger, K. Multi-Level Comparison of Machine Learning Classifiers and Their Performance Metrics. Molecules 2019, 24, 2811. [Google Scholar] [CrossRef] [PubMed]
- Goldberger, A.L.; Amaral, L.A.N.; Glass, L.; Hausdorff, J.M.; Ivanov, P.C.; Mark, R.G.; Mietus, J.E.; Moody, G.B.; Peng, C.-K.; Stanley, H.E. PhysioBank, PhysioToolkit, and PhysioNet: Components of a New Research Resource for Complex Physiologic Signals. Circulation 2000, 101, E215–E220. [Google Scholar] [CrossRef] [PubMed]
- Detti, P. Siena Scalp EEG Database. PhysioNet. 2020, 10, 493. [Google Scholar] [CrossRef]
- Harati, A.; Lopez, S.; Obeid, I.; Picone, J.; Jacobson, M.P.; Tobochnik, S. The TUH EEG CORPUS: A Big Data Resource for Automated EEG Interpretation. In Proceedings of the 2014 IEEE Signal Processing in Medicine and Biology Symposium (SPMB), Philadelphia, PA, USA, 13 December 2014; pp. 1–5. [Google Scholar]
- Baker, J. The Prevalence and Clinical Features of Epileptic Seizures in a Memory Clinic Population. Seizure 2019, 71, 83–92. [Google Scholar] [CrossRef] [PubMed]
- Al-Fahoum, A.S.; Al-Fraihat, A.A. Methods of EEG Signal Features Extraction Using Linear Analysis in Frequency and Time-Frequency Domains. Int. Sch. Res. Not. 2014, 2014, 730218. [Google Scholar] [CrossRef] [PubMed]
- Liu, Q.; Cai, J.; Fan, S.-Z.; Abbod, M.F.; Shieh, J.-S.; Kung, Y.; Lin, L. Spectrum Analysis of EEG Signals Using CNN to Model Patient’s Consciousness Level Based on Anesthesiologists’ Experience. IEEE Access 2019, 7, 53731–53742. [Google Scholar] [CrossRef]
- Albaqami, H.; Hassan, G.M.; Subasi, A.; Datta, A. Automatic Detection of Abnormal EEG Signals Using Wavelet Feature Extraction and Gradient Boosting Decision Tree. Biomed. Signal Process. Control 2021, 70, 102957. [Google Scholar] [CrossRef]
- Shen, M.; Wen, P.; Song, B.; Li, Y. An EEG Based Real-Time Epilepsy Seizure Detection Approach Using Discrete Wavelet Transform and Machine Learning Methods. Biomed. Signal Process. Control 2022, 77, 103820. [Google Scholar] [CrossRef]
- Vonesch, C.; Blu, T.; Unser, M. Generalized Daubechies Wavelet Families. IEEE Trans. Signal Process. 2007, 55, 4415–4429. [Google Scholar] [CrossRef]
- Adeli, H.; Zhou, Z.; Dadmehr, N. Analysis of EEG Records in an Epileptic Patient Using Wavelet Transform. J. Neurosci. Methods 2003, 123, 69–87. [Google Scholar] [CrossRef] [PubMed]
- Tang, S.; Dunnmon, J.A.; Saab, K.; Zhang, X.; Huang, Q.; Dubost, F.; Rubin, D.L.; Lee-Messer, C. Self-Supervised Graph Neural Networks for Improved Electroencephalographic Seizure Analysis 2022. In Proceedings of the International Conference on Learning Representations, Virtual Event, 25–29 April 2022. [Google Scholar]
- Kiranyaz, S.; Ince, T.; Zabihi, M.; Ince, D. Automated Patient-Specific Classification of Long-Term Electroencephalography. J. Biomed. Inform. 2014, 49, 16–31. [Google Scholar] [CrossRef] [PubMed]
- Samiee, K.; Kovács, P.; Gabbouj, M. Epileptic Seizure Detection in Long-Term EEG Records Using Sparse Rational Decomposition and Local Gabor Binary Patterns Feature Extraction. Knowl. Based Syst. 2017, 118, 228–240. [Google Scholar] [CrossRef]
- Liang, W.; Pei, H.; Cai, Q.; Wang, Y. Scalp EEG Epileptogenic Zone Recognition and Localization Based on Long-Term Recurrent Convolutional Network. Neurocomputing 2020, 396, 569–576. [Google Scholar] [CrossRef]
- Hu, X.; Yuan, S.; Xu, F.; Leng, Y.; Yuan, K.; Yuan, Q. Scalp EEG Classification Using Deep Bi-LSTM Network for Seizure Detection. Comput. Biol. Med. 2020, 124, 103919. [Google Scholar] [CrossRef] [PubMed]
- Tsiouris, K.M.; Pezoulas, V.C.; Zervakis, M.; Konitsiotis, S.; Koutsouris, D.D.; Fotiadis, D.I. A Long Short-Term Memory Deep Learning Network for the Prediction of Epileptic Seizures Using EEG Signals. Comput. Biol. Med. 2018, 99, 24–37. [Google Scholar] [CrossRef] [PubMed]
- Yang, X.; Zhao, J.; Sun, Q.; Lu, J.; Ma, X. An Effective Dual Self-Attention Residual Network for Seizure Prediction. IEEE Trans. Neural Syst. Rehabil. Eng. 2021, 29, 1604–1613. [Google Scholar] [CrossRef] [PubMed]
- Wang, X.; Wang, X.; Liu, W.; Chang, Z.; Kärkkäinen, T.; Cong, F. One Dimensional Convolutional Neural Networks for Seizure Onset Detection Using Long-Term Scalp and Intracranial EEG. Neurocomputing 2021, 459, 212–222. [Google Scholar] [CrossRef]
- Peng, H.; Lei, C.; Zheng, S.; Zhao, C.; Wu, C.; Sun, J.; Hu, B. Automatic Epileptic Seizure Detection via Stein Kernel-Based Sparse Representation. Comput. Biol. Med. 2021, 132, 104338. [Google Scholar] [CrossRef] [PubMed]
- Ein Shoka, A.A.; Alkinani, M.H.; El-Sherbeny, A.S.; El-Sayed, A.; Dessouky, M.M. Automated Seizure Diagnosis System Based on Feature Extraction and Channel Selection Using EEG Signals. Brain Inform. 2021, 8, 1. [Google Scholar] [CrossRef] [PubMed]
- Zhang, Y.; Yao, S.; Yang, R.; Liu, X.; Qiu, W.; Han, L.; Zhou, W.; Shang, W. Epileptic Seizure Detection Based on Bidirectional Gated Recurrent Unit Network. IEEE Trans. Neural Syst. Rehabil. Eng. 2022, 30, 135–145. [Google Scholar] [CrossRef] [PubMed]
















| Study | Method | Datasets | Results | Challenges |
|---|---|---|---|---|
| Gómez et al. [16] | FCN | CHB-MIT-EEG | Attaining average accuracy and specificity rates of 99.3% and 99.6%, respectively, for the CHB-MIT dataset, as well as corresponding rates of 98.0% and 98.3% for the EPILEPSIAE patients. | Exploring an automated approach for epileptic seizure detection by employing an imaged-EEG representation of brain signals. |
| Dissanayake et al. [38] | Deep learning | CHB-MIT-EEG | The proposed models achieve a state-of-the-art level of performance for seizure prediction on the CHB-MIT-EEG dataset, exhibiting accuracies of 88.81% and 91.54%, respectively. | Designing patient-independent seizure prediction models that can adapt to the considerable inter-subject variability present in EEG data. |
| Zhang et al. [39] | CSP and CNN | CHB-MIT-EEG | The model attains an accuracy rate of 92.2%. | Distinguishing between the preictal and interictal states, as their high similarity complicates seizure prediction, unlike the relatively well-studied seizure detection that targets the interictal and ictal states. |
| Tsiouris et al. [26] | RIPPER, SVM, NN | CHB-MIT-EEG | The SVM classifier demonstrates the highest classification accuracy in the patient-specific scenario, achieving 85.75% sensitivity and specificity. However, in the patient-independent case, its performance is comparatively lower. | Exploring the capability of various classification methods to differentiate between preictal and interictal EEG segments. |
| Chen et al. [40] | Autoregressive moving average and one-class SVM | Bern-Barcelona and CHB-MIT EEG | Introducing a unified framework for early seizure detection and epilepsy diagnosis, which achieves classification accuracies of 93% and 94%. | Presumptions concerning the stationarity, linearity, and normality of EEG time series. |
| Zabihi et al. [27] | Phase-space representation and LDA and naive Bayesian classifiers | CHB-MIT benchmark database | Obtaining an average sensitivity of 88.27% and specificity of 93.21% in the detection of epileptic seizures. | Examining how well the phase-space representation can elucidate the fundamental dynamics of epileptic seizures. |
| Zhou et al. [41] | CNN | Intracranial Freiburg and scalp CHB-MIT | Frequency-domain signals outperformed time-domain signals in detecting epileptic seizures, with an average accuracy of 96.7–95.6% in Freiburg and 95.4–97.5% in CHB-MIT. | Accurately characterizing signal properties and effectively distinguishing between ictal, preictal, and interictal segments. |
| Shoka et al. [42] | CNN | CHB-MIT-EEG | Achieving accuracy levels of up to 86.11% and 84.72% when employing GoogLeNet in combination with Arnold and chaotic methods. | Providing a robust approach for encrypted EEG classification and prediction. |
| Chou et al. [43] | CNN | CHB-MIT-EEG | The peak performance was observed during testing with only 1% of the testing dataset, resulting in an overall accuracy of 85.9%. The accuracy for the ictal stage was notably high at 97.7%. | Leveraging state-of-the-art deep learning techniques to improve the efficiency of critical stage detection in EEG for epilepsy diagnosis. |
| Jácobo-Zavaleta and Zavaleta [44] | ChronoNet | TUH-EEG | Achieving sensitivities of up to 71.50% and specificities of up to 83.70% for patient-control detection, while reaching sensitivities of up to 56.60% and specificities of up to 95.90% for patient-specific detection. | Identifying the optimal performance for seizure detection using raw EEG signals from the TUH EEG Seizure Corpus database. |
| Ahmedt-Aristizabal et al. [45] | Deep learning model | TUH-EEG | In a multifold cross-validation of the region-based approach, an average test accuracy of 95.19% and an average AUC of 0.98 for the ROC curve were observed. In contrast, when applying a leave-one-subject-out cross-validation scheme for the same approach, accuracy declined due to data limitations, resulting in an average test accuracy of 50.85%. | Seeking to automatically extract and categorize semiological patterns from facial expressions, addressing the limitations of current computer-based analytical methods in epilepsy monitoring that have predominantly overlooked facial movements. |
| Dissanayake et al. [46] | Geometric deep learning | SSE | The models introduced in both stages attain a state-of-the-art performance by using a one-hour early seizure prediction window on two benchmark datasets. Specifically, they achieve an accuracy of 95.38% with 23 subjects on the CHB-MIT-EEG dataset and 96.05% with 15 subjects on the Siena-EEG dataset. | Exploring seizure prediction in scenarios where the target subject has limited or no training data available. |
| Sánchez-Hernández et al. [47] | Feature selection methods | SSE | The highest F1-score of 90% was achieved by the K-nearest neighbor algorithm in conjunction with the CHB-MIT dataset. | Employment of feature selection techniques to choose features that enhance pattern recognition in the detection of ictal activity from the CHB-MIT and Siena Scalp EEG databases. |
| Fatlawi and Kiss [48] | SAW | SSE | The model attains an accuracy rate of 96.44%. | Tackling the issue of unbalanced representation among classification targets in data streams. |
| Patient | Gender | Age | Number of Seizure Events (Tmax–Tmin in seconds) | Total Duration of Seizures (s) | Total Duration of Non-Seizures (s) | Total Duration (s) |
|---|---|---|---|---|---|---|
| 1 | F | 11 | 7 (28–102) | 449 | 23,476 | 23,925 |
| 2 | M | 11 | 3 (10–83) | 175 | 7984 | 8159 |
| 3 | F | 14 | 7 (48–70) | 409 | 24,791 | 25,200 |
| 4 | M | 22 | 4 (50–117) | 382 | 37,977 | 38,359 |
| 5 | F | 7 | 5 (97–121) | 563 | 17,437 | 18,000 |
| 6 | F | 1.5 | 10 (13–21) | 163 | 93,053 | 93,216 |
| 7 | F | 14.5 | 3 (87–144) | 328 | 32,209 | 32,537 |
| 8 | M | 3.5 | 5 (135–265) | 924 | 17,076 | 18,000 |
| 9 | F | 10 | 4 (63–80) | 280 | 34,219 | 34,499 |
| 10 | M | 3 | 7 (36–90) | 454 | 50,010 | 50,464 |
| 11 | F | 12 | 3 (23–753) | 809 | 9250 | 10,059 |
| 12 | F | 2 | 27 (14–98) | 1016 | 33,844 | 34,860 |
| 13 | F | 3 | 10 (18–71) | 450 | 24,750 | 25,200 |
| 14 | F | 9 | 8 (15–42) | 177 | 25,023 | 25,200 |
| 16 | F | 7 | 8 (7–15) | 77 | 17,923 | 18,000 |
| 17 | F | 12 | 3 (89–116) | 296 | 10,528 | 10,824 |
| 18 | F | 18 | 6 (31–69) | 323 | 19,951 | 20,274 |
| 19 | F | 19 | 3 (78–82) | 239 | 10,307 | 10,546 |
| 20 | F | 6 | 8 (30–50) | 302 | 19,734 | 20,036 |
| 21 | F | 13 | 4 (13–82) | 203 | 13,587 | 13,790 |
| 22 | F | 9 | 3 (59–75) | 207 | 10,593 | 10,800 |
| 23 | F | 6 | 7 (21–114) | 431 | 31,823 | 32,254 |
| 24 | Unknown | Unknown | 16 (17–71) | 539 | 42,661 | 43,200 |
| Dataset | Number of Subjects | Gender Distribution | Age Range (Years) | Seizure Events | Seizure Duration | EEG Channels | Sampling Rate (Hz) |
|---|---|---|---|---|---|---|---|
| CHB-MIT-EEG | 22 | 10 male, 12 female | 0.3–17.5 | 198 | A few seconds to several minutes | 22 | 256 |
| SSE-EEG | 14 | 9 male, 5 female | 20–71 | 47 | A few seconds to few minutes | Varies (up to 34) | 512 |
| TUH-EEG | 10,874 | 51% female | <1–90+ | N/A (ongoing collection) | N/A | Varies (up to 31) | Most at 250 |
| Layer (Type) | Output Shape | Amount of Params |
|---|---|---|
| GCN | ||
| conv1 (GCNConv) | (N, 256, 1400) | 131,072 |
| ReLU | (N, 256, 1400) | 0 |
| conv2 (GCNConv) | (N, 256, 256) | 524,544 |
| ReLU | (N, 256, 256) | 0 |
| conv3 (GCNConv) | (N, 256, 256) | 524,544 |
| ReLU | (N, 256, 256) | 0 |
| conv4 (GCNConv) | (N, 256, 256) | 524,544 |
| ReLU | (N, 256, 256) | 0 |
| conv5 (GCNConv) | (N, 16, 256) | 40,976 |
| ReLU | (N, 16, 256) | 0 |
| LSTM | ||
| lstm (LSTM) | (1, 256, 16) | 330,240 |
| fc (Linear) | (1, 2) | 514 |
| Total params: 2,077,434 Trainable params: 2,077,434 Non-trainable params: 0 | ||
| Layer (Type) | Output Shape | Amount of Params |
|---|---|---|
| conv1 (GCNConv) | (N, 256, 1400) | 131,072 |
| ReLU | (N, 256, 1400) | 0 |
| conv2 (GCNConv) | (N, 256, 256) | 524,544 |
| ReLU | (N, 256, 256) | 0 |
| conv3 (GCNConv) | (N, 256, 256) | 524,544 |
| ReLU | (N, 256, 256) | 0 |
| conv4 (GCNConv) | (N, 256, 256) | 524,544 |
| ReLU | (N, 256, 256) | 0 |
| conv5 (GCNConv) | (N, 16, 256) | 40,976 |
| ReLU | (N, 16, 256) | 0 |
| Total params: 1,746,680 Trainable params: 1,746,680 Non-trainable params: 0 | ||
| GCN-LSTM Model | |||||||||
|---|---|---|---|---|---|---|---|---|---|
| Datasets | CHB-MIT-EEG | SSE-EEG | TUH-EEG | ||||||
| Metrics | Without Augmentation | SMOTE | KNNOR | Without Augmentation | SMOTE | KNNOR | Without Augmentation | SMOTE | KNNOR |
| Accuracy | 0.9700 | 0.9834 | 0.9973 | 0.9746 | 0.9941 | 0.9985 | 0.9652 | 0.9748 | 0.9958 |
| Recall | 0.9435 | 0.9679 | 0.9823 | 0.9552 | 0.9810 | 0.9825 | 0.9685 | 0.9858 | 0.9947 |
| Precision | 1.0 | 1.0 | 0.9874 | 0.9946 | 0.9862 | 1.0 | 0.9752 | 0.9825 | 0.9858 |
| F1-measure | 0.9709 | 0.9837 | 0.9874 | 0.9745 | 0.9868 | 0.9855 | 0.9625 | 0.9858 | 0.9755 |
| Sensitivity | 0.9596 | 0.9650 | 0.9865 | 0.9552 | 0.9874 | 0.9800 | 0.9525 | 0.9758 | 0.9747 |
| AUC | 0.9719 | 0.9858 | 0.9911 | 0.9749 | 0.9900 | 0.9952 | 0.9858 | 0.9858 | 0.9925 |
| Kappa | 0.9437 | 0.9600 | 0.9879 | 0.9492 | 0.9863 | 0.9840 | 0.9745 | 0.9698 | 0.9698 |
| GCN-BRF Model | |||||||||
| Datasets | CHB-MIT-EEG | SSE-EEG | TUH-EEG | ||||||
| Metrics | Without Augmentation | SMOTE | KNNOR | Without Augmentation | SMOTE | KNNOR | Without Augmentation | SMOTE | KNNOR |
| Accuracy | 0.9845 | 0.9928 | 0.9961 | 0.9735 | 0.9900 | 0.9952 | 0.9702 | 0.9711 | 0.9921 |
| Recall | 0.9851 | 0.9795 | 0.9800 | 0.94965 | 0.9825 | 0.9852 | 0.9517 | 0.9885 | 0.9985 |
| Precision | 0.9852 | 0.9890 | 0.9790 | 0.9801 | 0.9802 | 0.9985 | 0.9785 | 0.9839 | 0.9893 |
| F1-measure | 0.9862 | 0.9798 | 0.9885 | 0.9689 | 0.9798 | 0.989 | 0.9689 | 0.9782 | 0.9710 |
| Sensitivity | 0.98 | 0.9851 | 0.9885 | 0.9601 | 0.9874 | 0.9700 | 0.9560 | 0.9663 | 0.9734 |
| AUC | 0.98 | 0.9898 | 0.9902 | 0.9752 | 0.9895 | 0.9850 | 0.96006 | 0.9754 | 0.9817 |
| Kappa | 0.9801 | 0.9885 | 0.9896 | 0.9562 | 0.9960 | 0.9690 | 0.9658 | 0.9655 | 0.9622 |
| Case ID | No. of Seizures | Accuracy | Recall | Precision | F1-Measure | Sensitivity | AUC | Kappa |
|---|---|---|---|---|---|---|---|---|
| CHB1 | 7 | 0.9714 | 0.9429 | 1 | 0.9706 | 0.9429 | 0.9715 | 0.9429 |
| CHB2 | 3 | 0.9708 | 0.9429 | 0.9986 | 0.97 | 0.9419 | 0.9708 | 0.9416 |
| CHB3 | 7 | 0.9708 | 0.9429 | 0.9986 | 0.97 | 0.9429 | 0.9416 | 0.9708 |
| CHB4 | 4 | 0.9695 | 0.9429 | 0.9959 | 0.9687 | 0.9429 | 0.939 | 0.9695 |
| CHB5 | 5 | 0.9695 | 0.939 | 1 | 0.9686 | 0.939 | 0.939 | 0.9695 |
| CHB6 | 10 | 0.9701 | 0.9403 | 1 | 0.9693 | 0.9403 | 0.9403 | 0.9702 |
| CHB7 | 3 | 0.9682 | 0.9364 | 1 | 0.9672 | 0.9364 | 0.9364 | 0.9682 |
| CHB8 | 5 | 0.9552 | 0.9364 | 0.973 | 0.9544 | 0.9364 | 0.9104 | 0.9552 |
| CHB9 | 4 | 0.9669 | 0.9429 | 0.9905 | 0.9661 | 0.9429 | 0.9338 | 0.9669 |
| CHB10 | 7 | 0.9718 | 0.9429 | 0.9986 | 60.97 | 0.9429 | 0.9416 | 0.9708 |
| CHB11 | 2 (3) | 0.9656 | 0.9377 | 0.9931 | 0.9646 | 0.9377 | 0.9312 | 0.9656 |
| CHB12 | 21 (40) | 0.9623 | 0.9377 | 0.9864 | 0.9614 | 0.9377 | 0.9247 | 0.9624 |
| CHB13 | 10 (12) | 0.9701 | 0.9403 | 1 | 0.9693 | 0.9403 | 0.9403 | 0.9702 |
| CHB14 | 8 | 0.9508 | 0.9257 | 0.9747 | 0.9496 | 0.9257 | 0.9017 | 0.9508 |
| CHB15 | 17 (20) | 0.95 | 0.9222 | 0.9766 | 0.9486 | 0.9222 | 0.9 | 0.95 |
| CHB16 | 9 (10) | 0.9494 | 0.9196 | 0.9779 | 0.9479 | 0.9196 | 0.8987 | 0.9494 |
| CHB17 | 3 | 0.9692 | 0.9429 | 0.9952 | 0.9684 | 0.9429 | 0.92405 | 0.98345 |
| CHB18 | 6 | 0.96863 | 0.9429 | 0.99397 | 0.96783 | 0.943 | 0.91138 | 0.99435 |
| CHB19 | 3 | 0.96806 | 0.9429 | 0.99274 | 0.96726 | 0.9431 | 0.89871 | 0.998 |
| CHB20 | 8 | 0.96749 | 0.9429 | 0.99151 | 0.96669 | 0.9432 | 0.88604 | 1.000 |
| CHB21 | 4 | 0.96692 | 0.9429 | 0.99028 | 0.96612 | 0.9433 | 0.87337 | 0.9960 |
| CHB22 | 3 | 0.96635 | 0.9429 | 0.98905 | 0.96555 | 0.9434 | 0.8607 | 0.9858 |
| CHB23 | 7 | 0.96578 | 0.9429 | 0.98782 | 0.96498 | 0.9435 | 0.84803 | 0.9957 |
| Dataset | Author | Method | Sensitivity | Specificity | Accuracy |
|---|---|---|---|---|---|
| CHB-MIT-EEG | Kiranyaz et al. [63] | Collective network of binary classifiers | 89.01 | 94.71 | – |
| Zabihi et al. [27] | Linear discriminate analysis + Naive Bayesian | 89.1 | 94.8 | 94.69 | |
| Samiee et al. [64] | Sparse rational decomposition + Local Gabor binary patterns | 70.4 | 99.1 | 83.53 | |
| Liang et al. [65] | CNN + LSTM | 84 | 99 | 99 | |
| Hu et al. [66] | Local mean decomposition + Bi-LSTM | 93.61 | 91.85 | - | |
| Tsiouris [67] | EEG features + LSTM network | 99.38 | 99.6 | - | |
| Yang et al. [68] | STFT spectral images + Dual self-attention residual network | 89.25 | 92.67 | 92.07 | |
| Wang et al. [69] | Stacked 1D-CNN | 88.14 | 99.62 | 99.54 | |
| Peng et al. [70] | Stein-kernel based sparse representation | 97.85 | 98.57 | 98.21 | |
| Shoka et al. [71] | Channel selection + Ensemble classifier | 100 | 77.5 | 89.02 | |
| Zhang [72] | Bi-GRU network | 93.89 | 98.49 | 98.49 | |
| Proposed method | GCN + BRF | 98.86 | 98.00 | 99.61 | |
| Proposed method | GCN + LSTM | 98.65 | 98.00 | 99.73 | |
| SEE-EEG | Dissanayake [46] | Geometric deep learning | 95.88 | 96.41 | 95.88 |
| Sergio E et al. [47] | Feature selection methods | 76 | - | 96 | |
| Attila Kiss [48] | SAW | 93.13 | 96.66 | 96.44 | |
| Proposed method | GCN + BRF | 97.00 | 99.00 | 99.52 | |
| Proposed method | GCN + LSTM | 98.00 | 97.00 | 99.85 | |
| TUH-EEG | Ahmedt Aristizabal et al. [45] | Sigmoid, 2D CNN-LSTM | 71.50 | 83.70 | 92.50 |
| Jorge Zavaleta et al. [44] | LSTM, ChronoNet | 56.60 | 95.90 | - | |
| Proposed method | GCN + BRF | 98.69 | 98.14 | 99.01 | |
| Proposed method | GCN + LSTM | 98.10 | 97.25 | 99.40 |
Disclaimer/Publisher’s Note: The statements, opinions and data contained in all publications are solely those of the individual author(s) and contributor(s) and not of MDPI and/or the editor(s). MDPI and/or the editor(s) disclaim responsibility for any injury to people or property resulting from any ideas, methods, instructions or products referred to in the content. |
© 2024 by the authors. Licensee MDPI, Basel, Switzerland. This article is an open access article distributed under the terms and conditions of the Creative Commons Attribution (CC BY) license (https://creativecommons.org/licenses/by/4.0/).
Share and Cite
Awais, M.; Belhaouari, S.B.; Kassoul, K. Graphical Insight: Revolutionizing Seizure Detection with EEG Representation. Biomedicines 2024, 12, 1283. https://doi.org/10.3390/biomedicines12061283
Awais M, Belhaouari SB, Kassoul K. Graphical Insight: Revolutionizing Seizure Detection with EEG Representation. Biomedicines. 2024; 12(6):1283. https://doi.org/10.3390/biomedicines12061283
Chicago/Turabian StyleAwais, Muhammad, Samir Brahim Belhaouari, and Khelil Kassoul. 2024. "Graphical Insight: Revolutionizing Seizure Detection with EEG Representation" Biomedicines 12, no. 6: 1283. https://doi.org/10.3390/biomedicines12061283
APA StyleAwais, M., Belhaouari, S. B., & Kassoul, K. (2024). Graphical Insight: Revolutionizing Seizure Detection with EEG Representation. Biomedicines, 12(6), 1283. https://doi.org/10.3390/biomedicines12061283

