An Approach for Personalized Dynamic Assessment of Chronic Kidney Disease Progression Using Joint Model
Abstract
1. Introduction
2. Methods
2.1. Study Design and Patient Population
2.2. Variables
2.3. Statistical Analysis
3. Longitudinal Process
- is the glomerular filtration rate for the ith patient at jthtime point.
- are the fixed effect parameters.
- are observed covariates (like SBP, creatinine, age).
- are the random effect parameters for each patient.
- are variables associated with the random effects.
- is the random error term.
4. Event Process
- is the hazard function for the ith patient at time .
- is the baseline hazard function.
- are fixed effect coefficients for the covariates.
- are the covariates in the event process (like proteinuria, diabetes).
- α is the association parameter, representing the link between the longitudinal and event processes.
- is a function of the GFR over time in the longitudinal process.
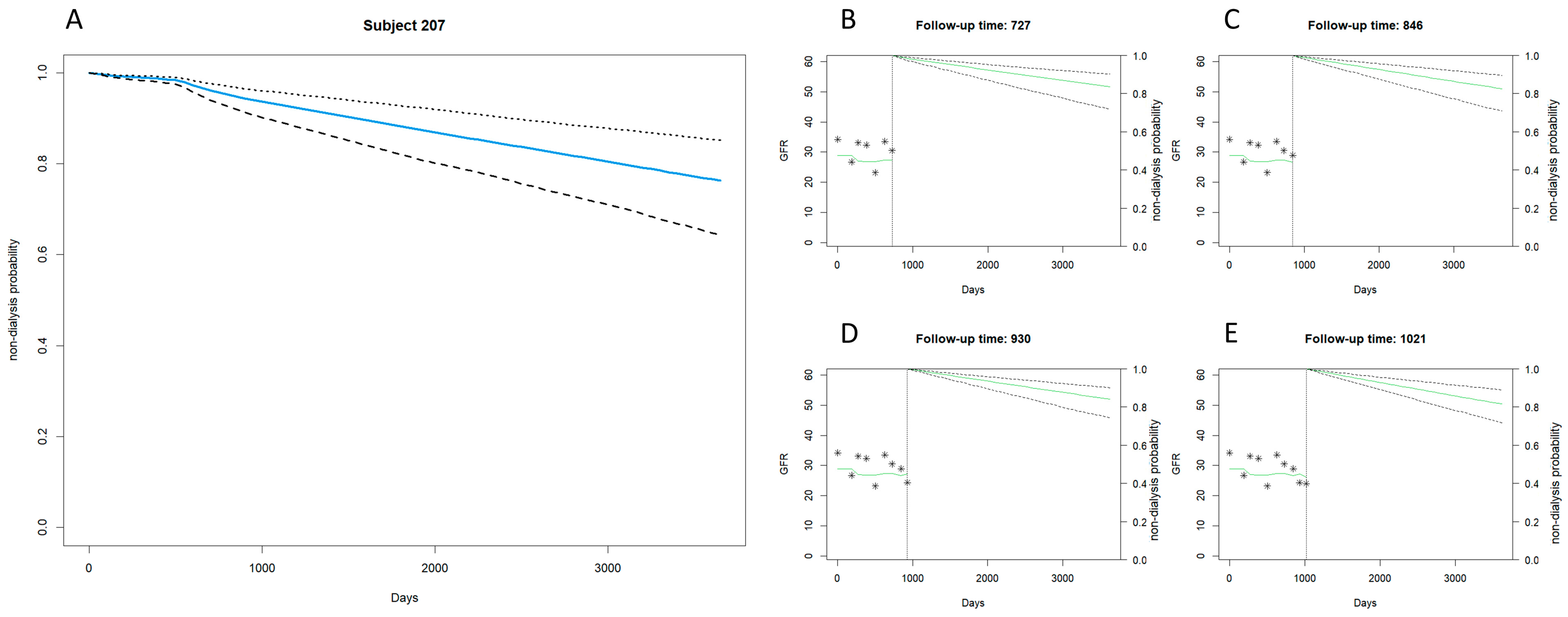
5. Results
6. Discussion
Strengths and Limitations
7. Conclusions
Author Contributions
Funding
Institutional Review Board Statement
Informed Consent Statement
Data Availability Statement
Conflicts of Interest
References
- Kovesdy, C.P. Epidemiology of chronic kidney disease: An update. Kidney Int. Suppl. 2022, 12, 7–11. [Google Scholar] [CrossRef]
- Jager, K.J.; Kovesdy, C.; Langham, R.; Rosenberg, M.; Jha, V.; Zoccali, C. A single number for advocacy and communication—Worldwide more than 850 million individuals have kidney diseases. Kidney Int. 2019, 96, 1048–1050. [Google Scholar] [CrossRef] [PubMed]
- Bikbov, B.; Purcell, C.A.; Levey, A.S.; Smith, M.; Abdoli, A.; Abebe, M.; Owolabi, M.O. Global, regional, and national burden of chronic kidney disease, 1990–2017: A systematic analysis for the Global Burden of Disease Study 2017. Lancet 2020, 395, 709–733. [Google Scholar] [CrossRef] [PubMed]
- Foreman, K.J.; Marquez, N.; Dolgert, A.; Fukutaki, K.; Fullman, N.; McGaughey, M.; Pletcher, M.A.; Smith, A.E.; Tang, K.; Yuan, C.W.; et al. Forecasting life expectancy, years of life lost, and all-cause and cause-specific mortality for 250 causes of death: Reference and alternative scenarios for 2016–40 for 195 countries and territories. Lancet 2018, 392, 2052–2090. [Google Scholar] [CrossRef] [PubMed]
- Saran, R.; Robinson, B.; Abbott, K.C.; Bragg-Gresham, J.; Chen, X.; Gipson, D.; Gu, H.; Hirth, R.A.; Hutton, D.; Jin, Y.; et al. US renal data system 2019 annual data report: Epidemiology of kidney disease in the United States. Am. J. Kidney Dis. 2020, 75, A6–A7. [Google Scholar] [CrossRef] [PubMed]
- McCullough, K.P.; Morgenstern, H.; Saran, R.; Herman, W.H.; Robinson, B.M. Projecting ESRD incidence and prevalence in the United States through 2030. J. Am. Soc. Nephrol. 2019, 30, 127–135. [Google Scholar] [CrossRef] [PubMed]
- Prasad, B.; Osman, M.; Jafari, M.; Gordon, L.; Tangri, N.; Ferguson, T.W.; Jin, S.; Kappel, J.; Kozakewycz, D. Kidney failure risk equation and cost of care in patients with chronic kidney disease. Clin. J. Am. Soc. Nephrol. 2022, 17, 17–26. [Google Scholar] [CrossRef]
- Kuo, H.W.; Tsai, S.S.; Tiao, M.M.; Yang, C.Y. Epidemiological features of CKD in Taiwan. Am. J. Kidney Dis. 2007, 49, 46–55. [Google Scholar] [CrossRef]
- Lee, C.C.; Hsu, C.C.; Lin, M.H.; Chen, K.H.; Wu, I.W. Hospitalization in patients with dialysis in Taiwan: A nationwide population-based observational study. J. Formos. Med. Assoc. 2022, 121, S39–S46. [Google Scholar] [CrossRef]
- Levey, A.S.; Coresh, J.; Bolton, K.; Culleton, B.; Harvey, K.S.; Ikizler, T.A.; Johnson, C.A.; Kausz, A.; Kimmel, P.L.; Kusek, J.; et al. K/DOQI clinical practice guidelines for chronic kidney disease: Evaluation, classification, and stratification. Am. J. Kidney Dis. 2002, 39, S1–S266. [Google Scholar]
- Chittora, P.; Chaurasia, S.; Chakrabarti, P.; Culleton, B.; Harvey, K.S.; Ikizler, T.A.; Johnson, C.A.; Kausz, A.; Kimmel, P.L.; Kusek, J.; et al. Prediction of chronic kidney disease—A machine learning perspective. IEEE Access 2021, 9, 17312–17334. [Google Scholar] [CrossRef]
- Tangri, N.; Stevens, L.A.; Griffith, J.; Tighiouart, H.; Djurdjev, O.; Naimark, D.; Levin, A.; Levey, A.S. A predictive model for progression of chronic kidney disease to kidney failure. JAMA 2011, 305, 1553–1559. [Google Scholar] [CrossRef] [PubMed]
- Zhang, L.; Long, J.; Jiang, W.; Shi, Y.; He, X.; Zhou, Z.; Li, Y.; Yeung, R.O.; Wang, J.; Matsushita, K.; et al. Trends in chronic kidney disease in China. N. Engl. J. Med. 2016, 375, 905–906. [Google Scholar] [CrossRef]
- Tangri, N.; Inker, L.A.; Hiebert, B.; Wong, J.; Naimark, D.; Kent, D.; Levey, A.S. A dynamic predictive model for progression of CKD. Am. J. Kidney Dis. 2017, 69, 514–520. [Google Scholar] [CrossRef]
- Chang, Y.P.; Liao, C.M.; Wang, L.H.; Hu, H.H.; Lin, C.M. Static and dynamic prediction of chronic renal disease progression using longitudinal clinical data from Taiwan’s national prevention programs. J. Clin. Med. 2021, 10, 3085. [Google Scholar] [CrossRef]
- Asar, Ö.; Ritchie, J.; Kalra, P.A.; Diggle, P.J. Joint modelling of repeated measurement and time-to-event data: An introductory tutorial. Int. J. Epidemiol. 2015, 44, 334–344. [Google Scholar] [CrossRef] [PubMed]
- Levey, A.S.; Bosch, J.P.; Lewis, J.B.; Greene, T.; Rogers, N.; Roth, D. A more accurate method to estimate glomerular filtration rate from serum creatinine: A new prediction equation. Ann. Intern. Med. 1999, 130, 461–470. [Google Scholar] [CrossRef]
- Schwandt, A.; Denkinger, M.; Fasching, P.; Pfeifer, M.; Wagner, C.; Weiland, J.; Zeyfang, A.; Holl, R.W. Comparison of MDRD, CKD-EPI, and Cockcroft-Gault equation in relation to measured glomerular filtration rate among a large cohort with diabetes. J. Diabetes Complicat. 2017, 31, 1376–1383. [Google Scholar] [CrossRef] [PubMed]
- Snyder, S.; Pendergraph, B. Detection and evaluation of chronic kidney disease. Am. Fam. Physician 2005, 72, 1723–1732. [Google Scholar]
- Rubin, D.B.; Schenker, N. Multiple imputation for interval estimation from simple random samples with ignorable nonresponse. J. Am. Stat. Assoc. 1986, 81, 366–374. [Google Scholar] [CrossRef]
- Ramspek, C.L.; Evans, M.; Wanner, C.; Drechsler, C.; Chesnaye, N.C.; Szymczak, M.; Krajewska, M.; Torino, C.; Porto, G.; Hayward, S.; et al. Kidney failure prediction models: A comprehensive external validation study in patients with advanced CKD. J. Am. Soc. Nephrol. 2021, 32, 1174. [Google Scholar] [CrossRef]
- Bou-Matar, R.; Dell, K.M.; Bobrowski, A. Machine learning models to predict post-dialysis blood pressure in children and young adults on maintenance hemodialysis. Sci. Rep. 2023, 13, 19105. [Google Scholar] [CrossRef]
- Rankin, S.; Han, L.; Scherzer, R.; Tenney, S.; Keating, M.; Genberg, K.; Rahn, M.; Wilkins, K.; Shlipak, M.; Estrella, M. A Machine learning model for predicting mortality within 90 days of dialysis initiation. Kidney360 2022, 3, 1556–1565. [Google Scholar] [CrossRef]
- Liu, L.; Pang, J.; Xu, J.; Liu, L.N.; Liao, M.Y.; Huang, Q.X.; Li, Y.L. Impact of initial dialysis modality on the survival of patients with ESRD: A propensity-score-matched study. BMC Nephrol. 2023, 24, 313. [Google Scholar] [CrossRef]
- Pitanupong, J.; Chang, A. Relationship of serum albumin at initiation of incident peritoneal dialysis with cardiovascular and overall survival. Clin. Nephrol. 2023, 99, 265–273. [Google Scholar] [CrossRef]
- Ma, X.Y.; Sheng, Y.P.; Yang, X.M.; Wang, N.; Zhang, H.R.; Xu, H.P.; Sun, F.Y. Characteristics and prognostic outcome factors between young and elderly peritoneal dialysis patients: A prospective cohort study. Ann. Palliat. Med. 2022, 11, 2952–2960. [Google Scholar] [CrossRef]
- Dong, J.; Cao, J.; Gill, J.; Miles, C.; Plumb, T. Functional joint models for chronic kidney disease in kidney transplant recipients. Stat. Methods Med. Res. 2021, 30, 1932–1943. [Google Scholar] [CrossRef] [PubMed]
- Zacharias, H.U.; Altenbuchinger, M.; Schultheiss, U.T.; Raffler, J.; Kotsis, F.; Ghasemi, S.; Ali, I.; Kollerits, B.; Metzger, M.; Steinbrenner, I.; et al. A predictive model for progression of CKD to kidney failure based on routine laboratory tests. Am. J. Kidney Dis. 2022, 79, 217–230. [Google Scholar] [CrossRef] [PubMed]
- Hannan, M.; Ansari, S.; Meza, N.; Anderson, A.H.; Srivastava, A.; Waikar, S.; Charleston, J.; Weir, M.R.; Taliercio, J.; Horwitz, E.; et al. Risk factors for CKD progression: Overview of findings from the CRIC study. Clin. J. Am. Soc. Nephrol. 2021, 16, 648. [Google Scholar] [CrossRef] [PubMed]
- Segal, Z.; Kalifa, D.; Radinsky, K.; Ehrenberg, B.; Elad, G.; Maor, G.; Lewis, M.; Tibi, M.; Korn, L.; Koren, G.; et al. Machine learning algorithm for early detection of end-stage renal disease. BMC Nephrol. 2020, 21, 518. [Google Scholar] [CrossRef] [PubMed]
- Eriksen, B.O.; Ingebretsen, O.C. The progression of chronic kidney disease: A 10-year population-based study of the effects of gender and age. Kidney Int. 2006, 69, 375–382. [Google Scholar] [CrossRef]
- Ricardo, A.C.; Yang, W.; Sha, D.; Appel, L.J.; Chen, J.; Krousel-Wood, M.; Manoharan, A.; Steigerwalt, S.; Wright, J.; Rahman, M.; et al. Sex-related disparities in CKD progression. J. Am. Soc. Nephrol. 2019, 30, 137. [Google Scholar] [CrossRef]
- Minutolo, R.; Gabbai, F.B.; Chiodini, P.; Provenzano, M.; Borrelli, S.; Garofalo, C.; Bellizzi, V.; Russo, D.; Conte, G.; De Nicola, L. Sex differences in the progression of CKD among older patients: Pooled analysis of 4 cohort studies. Am. J. Kidney Dis. 2020, 75, 30–38. [Google Scholar] [CrossRef]
- Swartling, O.; Rydell, H.; Stendahl, M.; Segelmark, M.; Lagerros, Y.T.; Evans, M. CKD progression and mortality among men and women: A nationwide study in Sweden. Am. J. Kidney Dis. 2021, 78, 190–199. [Google Scholar] [CrossRef]
- Liu, P.; Quinn, R.R.; Lam, N.N.; Al-Wahsh, H.; Sood, M.M.; Tangri, N.; Tonelli, M.; Ravani, P. Progression and regression of chronic kidney disease by age among adults in a population-based cohort in Alberta, Canada. JAMA Netw. Open 2021, 4, e2112828. [Google Scholar] [CrossRef]




| Variable | Non-Dialysis | Dialysis | p-Value |
|---|---|---|---|
| Mean (SD)/n (%) | Mean (SD)/n (%) | ||
| GFR (mL/min/1.73 m2) | 53.92 (10.21) | 46.61 (10.83) | <0.001 |
| Height (cm) | 160.52 (11.45) | 161.15 (7.89) | 0.714 |
| Weight (kg) | 65.88 (12.43) | 64.59 (12.54) | 0.505 |
| SBP (mmHg) | 132.86 (17.94) | 137.48 (19.00) | 0.098 |
| DBP (mmHg) | 72.82 (10.90) | 71.30 (11.22) | 0.371 |
| Cr (mg/dL) | 1.30 (0.24) | 1.52 (0.42) | <0.001 |
| LDL (mg/dL) | 102.39 (28.16) | 96.50 (29.71) | 0.178 |
| HbA1c (%) | 6.52 (1.35) | 6.88 (1.72) | 0.098 |
| PCRln (mg/g) | 5.23 (1.24) | 6.11 (1.54) | <0.001 |
| Age (year) | 80.74 (11.30) | 79.57 (13.09) | 0.507 |
| Sex | 0.846 | ||
| Female | 144 (30.8%) | 13 (28.3%) | |
| Male | 323 (69.2%) | 33 (71.7%) | |
| Hypertension | 0.985 | ||
| Yes | 189 (40.5%) | 18 (39.1%) | |
| No | 278 (59.5%) | 28 (60.9%) | |
| Diabetes | 0.024 | ||
| Yes | 229 (49.0%) | 14 (30.4%) | |
| No | 238 (51.0%) | 32 (69.6%) | |
| CVD | 0.271 | ||
| Yes | 357 (76.4%) | 39 (84.8%) | |
| No | 110 (23.6%) | 7 (15.2%) | |
| Frequency | 3.77 (1.70) | 3.30 (1.74) | 0.080 |
| Model Component | Parameter | Estimate | Std. Error | p-Value |
|---|---|---|---|---|
| Longitudinal Process | (Intercept) | 57.122 | 3.484 | <0.0001 |
| Obstime | −0.002 | 0.001 | 0.0002 | |
| SBP | 0.046 | 0.013 | 0.0005 | |
| Cr | −2.096 | 0.210 | <0.0001 | |
| Age | −0.088 | 0.037 | 0.0167 | |
| Event Process | PCRln | 0.604 | 0.146 | <0.0001 |
| Male | 0.933 | 0.382 | 0.0146 | |
| Diabetes | 0.060 | 0.350 | 0.8637 | |
| Hypertension | 0.531 | 0.327 | 0.1042 | |
| Assoct | −0.117 | 0.027 | <0.0001 | |
| log(xi.1) | −9.104 | 1.824 | ||
| log(xi.2) | −8.044 | 1.796 | ||
| log(xi.3) | −7.732 | 1.785 | ||
| log(xi.4) | −8.961 | 1.827 | ||
| log(xi.5) | −7.576 | 1.701 | ||
| log(xi.6) | −8.121 | 1.729 | ||
| log(xi.7) | −6.695 | 1.664 |
| Variable | Non-Dialysis | Dialysis | p-Value |
|---|---|---|---|
| Mean (SD)/n (%) | Mean (SD)/n (%) | ||
| GFR (mL/min/1.73 m2) | 26.94 (10.74) | 11.81 (7.27) | <0.001 |
| SBP (mmHg) | 137.72 (19.35) | 141.92 (21.98) | 0.142 |
| DBP (mmHg) | 74.37 (32.27) | 75.44 (14.21) | 0.802 |
| Hgb (mg/dL) | 11.42 (2.05) | 9.62 (1.60) | <0.001 |
| Hct (%) | 34.63 (5.96) | 29.89 (5.33) | <0.001 |
| BUN (mg/dL) | 41.44 (22.46) | 78.01 (41.92) | <0.001 |
| Cr (mg/dL) | 2.68 (1.57) | 6.22 (3.40) | <0.001 |
| Na (mg/dL) | 140.18 (3.48) | 139.77 (5.05) | 0.452 |
| Ca (mg/dL) | 8.92 (0.60) | 8.31 (0.80) | <0.001 |
| P (mg/dL) | 3.96 (0.83) | 5.06 (1.51) | <0.001 |
| Alb (g/dL) | 3.62 (0.46) | 3.16 (0.63) | <0.001 |
| Tri (mg/dL) | 134.71 (79.79) | 159.64 (100.05) | 0.039 |
| LDL (mg/dL) | 102.32 (33.06) | 104.68 (37.91) | 0.628 |
| HbA1c (%) | 6.50 (1.40) | 6.66 (1.37) | 0.423 |
| PCRln (mg/g) | 6.33 (1.76) | 7.69 (1.63) | <0.001 |
| Age (year) | 80.25 (13.20) | 74.97 (13.55) | 0.006 |
| Sex | 0.615 | ||
| Female | 88 (32.8%) | 22 (37.3%) | |
| Male | 180 (67.2%) | 37 (62.7%) | |
| Hypertension | 0.141 | ||
| Yes | 137 (51.1%) | 37 (62.7%) | |
| No | 131 (48.9%) | 22 (37.3%) | |
| Diabetes | 0.251 | ||
| Yes | 196 (73.1%) | 48 (81.4%) | |
| No | 72 (26.9%) | 11 (18.6%) | |
| CVD | 0.353 | ||
| Yes | 21 (7.8%) | 2 (3.4%) | |
| No | 247 (92.2%) | 57 (96.6%) | |
| Frequency | 3.78 (3.20) | 4.02 (3.66) | 0.611 |
| Model Component | Parameter | Estimate | Standard Error | p-Value |
|---|---|---|---|---|
| Longitudinal Process | (Intercept) | 37.385 | <0.001 | <0.0001 |
| obstime | <0.001 | 0.001 | 0.4422 | |
| SBP | −0.021 | 0.001 | <0.0001 | |
| DBP | 0.007 | 0.003 | 0.0083 | |
| Cr | −2.563 | <0.001 | <0.0001 | |
| P | −0.014 | <0.001 | <0.0001 | |
| LDL | −0.017 | 0.001 | <0.0001 | |
| PCRln | −0.775 | <0.001 | <0.0001 | |
| Age | −0.056 | 0.001 | <0.0001 | |
| Hgb | 1.049 | <0.001 | <0.0001 | |
| BUN | −0.043 | 0.007 | <0.0001 | |
| HbA1c | −0.069 | <0.001 | <0.0001 | |
| Event Process | Male | 0.339 | <0.001 | <0.0001 |
| Diabetes | 0.304 | <0.001 | <0.0001 | |
| Hypertension | 0.244 | <0.001 | <0.0001 | |
| Assoct | −0.153 | 0.004 | <0.0001 | |
| log(xi.1) | −5.964 | <0.001 | ||
| log(xi.2) | −6.639 | <0.001 | ||
| log(xi.3) | −21.137 | <0.001 | ||
| log(xi.4) | −6.201 | <0.001 | ||
| log(xi.5) | −4.929 | <0.001 | ||
| log(xi.6) | −5.250 | <0.001 | ||
| log(xi.7) | −5.553 | <0.001 |
Disclaimer/Publisher’s Note: The statements, opinions and data contained in all publications are solely those of the individual author(s) and contributor(s) and not of MDPI and/or the editor(s). MDPI and/or the editor(s) disclaim responsibility for any injury to people or property resulting from any ideas, methods, instructions or products referred to in the content. |
© 2024 by the authors. Licensee MDPI, Basel, Switzerland. This article is an open access article distributed under the terms and conditions of the Creative Commons Attribution (CC BY) license (https://creativecommons.org/licenses/by/4.0/).
Share and Cite
Liao, C.-M.; Kao, Y.-W.; Chang, Y.-P.; Lin, C.-M. An Approach for Personalized Dynamic Assessment of Chronic Kidney Disease Progression Using Joint Model. Biomedicines 2024, 12, 622. https://doi.org/10.3390/biomedicines12030622
Liao C-M, Kao Y-W, Chang Y-P, Lin C-M. An Approach for Personalized Dynamic Assessment of Chronic Kidney Disease Progression Using Joint Model. Biomedicines. 2024; 12(3):622. https://doi.org/10.3390/biomedicines12030622
Chicago/Turabian StyleLiao, Chen-Mao, Yi-Wei Kao, Yi-Ping Chang, and Chih-Ming Lin. 2024. "An Approach for Personalized Dynamic Assessment of Chronic Kidney Disease Progression Using Joint Model" Biomedicines 12, no. 3: 622. https://doi.org/10.3390/biomedicines12030622
APA StyleLiao, C.-M., Kao, Y.-W., Chang, Y.-P., & Lin, C.-M. (2024). An Approach for Personalized Dynamic Assessment of Chronic Kidney Disease Progression Using Joint Model. Biomedicines, 12(3), 622. https://doi.org/10.3390/biomedicines12030622

