Extracellular DNA and Deoxyribonuclease Activity as Prognostic Markers in Sepsis
Abstract
1. Introduction
2. Methods
2.1. Subjects and Sample Collection
2.2. Extracellular DNA Isolation and Quantification
2.3. Real-Time PCR for Quantification of ncDNA and mtDNA
2.4. Single Radial Enzyme Diffusion (SRED) for Measurement of DNase Activity
2.5. Statistical Analysis
3. Results
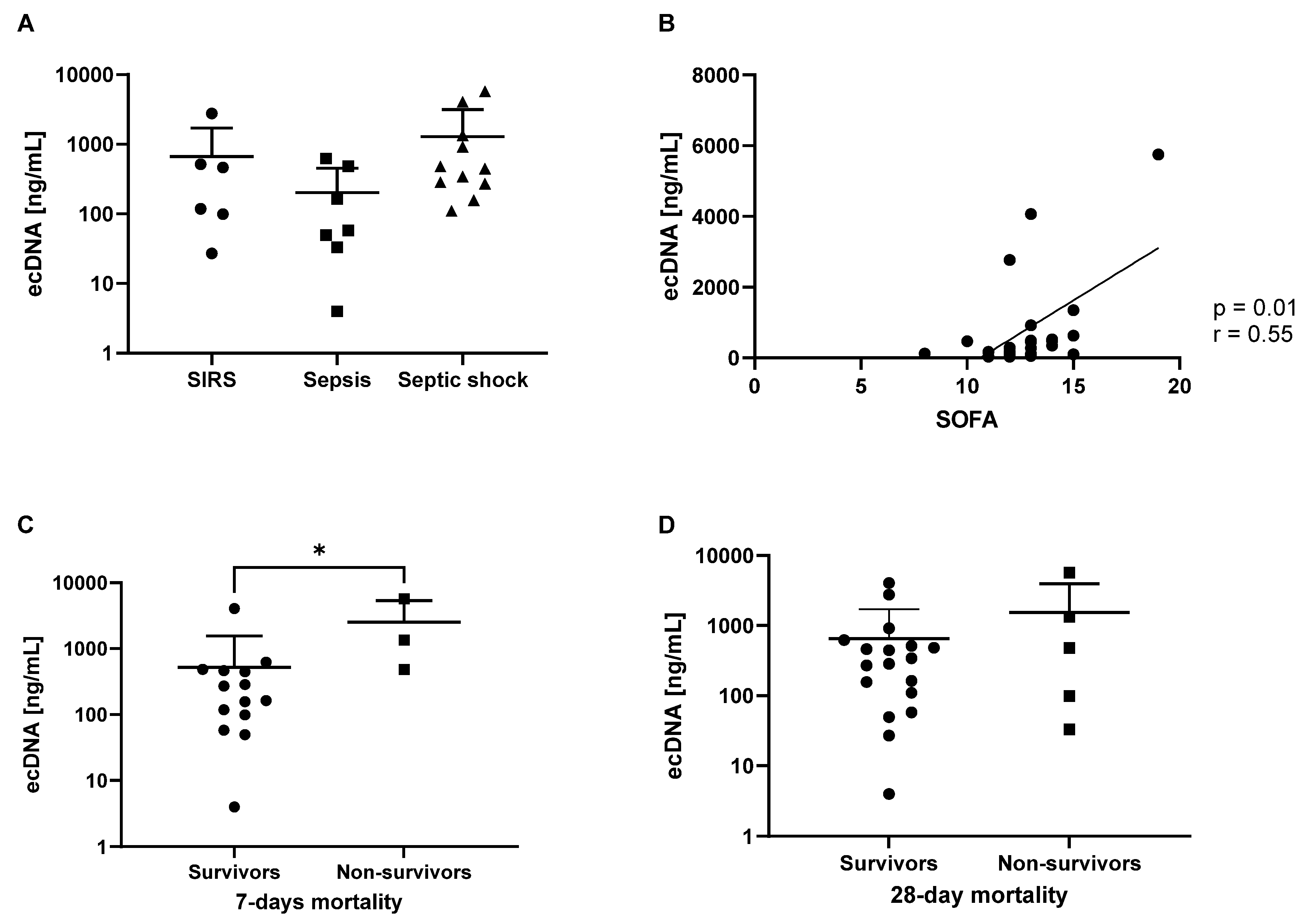
3.1. Non-Survivors Have Higher Plasma ecDNA Concentrations by Day 7 Predicting Sepsis Outcome
3.2. Subcellular Origin of ecDNA Does Not Differ in Patients with SIRS, Sepsis and Septic Shock
3.3. DNase Activity Was Similar in Patients with SIRS, Sepsis and Septic Shock
4. Discussion
Author Contributions
Funding
Institutional Review Board Statement
Informed Consent Statement
Data Availability Statement
Conflicts of Interest
References
- Singer, M.; CDeutschman, S.; Seymour, C.W.; Shankar-Hari, M.; Annane, D.; Bauer, M.; Bellomo, R.; Bernard, G.R.; Chiche, J.D.; Coopersmith, C.M.; et al. The Third International Consensus Definitions for Sepsis and Septic Shock (Sepsis-3). Jama 2016, 315, 801–810. [Google Scholar] [CrossRef] [PubMed]
- Gyawali, B.; Ramakrishna, K.; Dhamoon, A.S. Sepsis: The evolution in definition, pathophysiology, and management. SAGE Open Med. 2019, 7, 2050312119835043. [Google Scholar] [CrossRef] [PubMed]
- Rudd, K.E.; Johnson, S.C.; Agesa, K.M.; Shackelford, K.A.; Tsoi, D.; Kievlan, D.R.; Colombara, D.V.; Ikuta, K.S.; Kissoon, N.; Finfer, S.; et al. Global, regional, and national sepsis incidence and mortality, 1990–2017: Analysis for the Global Burden of Disease Study. Lancet 2020, 395, 200–211. [Google Scholar] [CrossRef] [PubMed]
- Hotchkiss, R.S.; Moldawer, L.L.; Opal, S.M.; Reinhart, K.; Turnbull, I.R.; Vincent, J.-L. Sepsis and septic shock. Nat. Rev. Dis. Primers 2016, 2, 16045. [Google Scholar] [CrossRef] [PubMed]
- Pisetsky, D.S. The origin and properties of extracellular DNA: From PAMP to DAMP. Clin. Immunol. 2012, 144, 32–40. [Google Scholar] [CrossRef]
- Korabecna, M.; Zinkova, A.; Brynychova, I.; Chylikova, B.; Prikryl, P.; Sedova, L.; Neuzil, P.; Seda, O. Cell-free DNA in plasma as an essential immune system regulator. Sci. Rep. 2020, 10, 17478. [Google Scholar] [CrossRef]
- Wong, F.C.; Lo, Y.M. Prenatal Diagnosis Innovation: Genome Sequencing of Maternal Plasma. Annu. Rev. Med. 2016, 67, 419–432. [Google Scholar] [CrossRef]
- Gao, Q.; Zeng, Q.; Wang, Z.; Li, C.; Xu, Y.; Cui, P.; Zhu, X.; Lu, H.; Wang, G.; Cai, S.; et al. Circulating cell-free DNA for cancer early detection. Innovation 2022, 3, 100259. [Google Scholar] [CrossRef]
- Thurairajah, K.; Briggs, G.D.; Balogh, Z.J. The source of cell-free mitochondrial DNA in trauma and potential therapeutic strategies. Eur. J. Trauma Emerg. Surg. 2018, 44, 325–334. [Google Scholar] [CrossRef]
- Kolarova, T.R.; Gammill, H.S.; Nelson, J.L.; Lockwood, C.M.; Shree, R. At Preeclampsia Diagnosis, Total Cell-Free DNA Concentration is Elevated and Correlates with Disease Severity. J. Am. Heart Assoc. 2021, 10, e021477. [Google Scholar] [CrossRef]
- Mattox, A.K.; Douville, C.; Wang, Y.; Popoli, M.; Ptak, J.; Silliman, N.; Dobbyn, L.; Schaefer, J.; Lu, S.; Pearlman, A.H.; et al. The Origin of Highly Elevated Cell-Free DNA in Healthy Individuals and Patients with Pancreatic, Colorectal, Lung, or Ovarian Cancer. Cancer Discov. 2023, 13, 2166–2179. [Google Scholar] [CrossRef] [PubMed]
- Frank, M.O. Circulating Cell-Free DNA Differentiates Severity of Inflammation. Biol. Res. Nurs. 2016, 18, 477–488. [Google Scholar] [CrossRef] [PubMed]
- Rannikko, J.; Seiskari, T.; Huttunen, R.; Tarkiainen, I.; Jylhava, J.; Hurme, M.; Syrjanen, J.; Aittoniemi, J. Plasma cell-free DNA and qSOFA score predict 7-day mortality in 481 emergency department bacteraemia patients. J. Intern. Med. 2018, 284, 418–426. [Google Scholar] [CrossRef] [PubMed]
- Poli, C.; Augusto, J.F.; Dauve, J.; Adam, C.; Preisser, L.; Larochette, V.; Pignon, P.; Savina, A.; Blanchard, S.; Subra, J.F.; et al. IL-26 Confers Proinflammatory Properties to Extracellular DNA. J. Immunol. 2017, 198, 3650–3661. [Google Scholar] [CrossRef] [PubMed]
- Bushra; Ahmed, S.I.; Begum, S.; Maria; Habeeb, M.S.; Jameel, T.; Khan, A.A. Molecular basis of sepsis: A New insight into the role of mitochondrial DNA as a damage-associated molecular pattern. Mitochondrion 2024, 2024, 101967. [Google Scholar] [CrossRef]
- Laukova, L.; Konecna, B.; Janovicova, L.; Vlkova, B.; Celec, P. Deoxyribonucleases and Their Applications in Biomedicine. Biomolecules 2020, 10, 1036. [Google Scholar] [CrossRef]
- Lauková, L.; Konečná, B.; Bábíčková, J.; Wagnerová, A.; Melišková, V.; Vlková, B.; Celec, P. Exogenous deoxyribonuclease has a protective effect in a mouse model of sepsis. Biomed. Pharmacother. 2017, 93, 8–16. [Google Scholar] [CrossRef]
- Rhodes, A.; Evans, L.E.; Alhazzani, W.; Levy, M.M.; Antonelli, M.; Ferrer, R.; Kumar, A.; Sevransky, J.E.; Sprung, C.L.; Nunnally, M.E.; et al. Surviving Sepsis Campaign: International Guidelines for Management of Sepsis and Septic Shock: 2016. Crit. Care Med. 2017, 45, 486–552. [Google Scholar] [CrossRef]
- Charoensappakit, A.; Sae-Khow, K.; Rattanaliam, P.; Vutthikraivit, N.; Pecheenbuvan, M.; Udomkarnjananun, S.; Leelahavanichkul, A. Cell-free DNA as diagnostic and prognostic biomarkers for adult sepsis: A systematic review and meta-analysis. Sci. Rep. 2023, 13, 19624. [Google Scholar] [CrossRef]
- de Miranda, F.S.; Claudio, L.; de Almeida, D.S.M.; Nunes, J.B.; Barauna, V.G.; Luiz, W.B.; Vassallo, P.F.; Campos, L.C.G. Cell-Free Nuclear and Mitochondrial DNA as Potential Biomarkers for Assessing Sepsis Severity. Biomedicines 2024, 12, 933. [Google Scholar]
- Ermakov, A.V.; Konkova, M.S.; Kostyuk, S.V.; Izevskaya, V.L.; Baranova, A.; Veiko, N.N. Oxidized extracellular DNA as a stress signal in human cells. Oxid. Med. Cell Longev. 2013, 2013, 649747. [Google Scholar] [CrossRef]
- Brinkmann, V.; Reichard, U.; Goosmann, C.; Fauler, B.; Uhlemann, Y.; Weiss, D.S.; Weinrauch, Y.; Zychlinsky, A. Neutrophil extracellular traps kill bacteria. Science 2004, 303, 1532–1535. [Google Scholar] [CrossRef] [PubMed]
- van der Meer, A.J.; Kroeze, A.; Hoogendijk, A.J.; Soussan, A.A.; van der Schoot, C.E.; Wuillemin, W.A.; Voermans, C.; van der Poll, T.; Zeerleder, S. Systemic inflammation induces release of cell-free DNA from hematopoietic and parenchymal cells in mice and humans. Blood Adv. 2019, 3, 724–728. [Google Scholar] [CrossRef] [PubMed]
- Pastor, B.; Abraham, J.D.; Pisareva, E.; Sanchez, C.; Kudriavstev, A.; Tanos, R.; Mirandola, A.; Mihalovičová, L.; Pezzella, V.; Adenis, A.; et al. Association of neutrophil extracellular traps with the production of circulating DNA in patients with colorectal cancer. iScience 2022, 25, 103826. [Google Scholar] [CrossRef] [PubMed]
- Fridlich, O.; Peretz, A.; Fox-Fisher, I.; Pyanzin, S.; Dadon, Z.; Shcolnik, E.; Sadeh, R.; Fialkoff, G.; Sharkia, I.; Moss, J.; et al. Elevated cfDNA after exercise is derived primarily from mature polymorphonuclear neutrophils, with a minor contribution of cardiomyocytes. Cell Rep. Med. 2023, 4, 101074. [Google Scholar] [CrossRef]
- Hayden, H.; Ibrahim, N.; Klopf, J.; Zagrapan, B.; Mauracher, L.M.; Hell, L.; Hofbauer, T.M.; Ondracek, A.S.; Schoergenhofer, C.; Jilma, B.; et al. ELISA detection of MPO-DNA complexes in human plasma is error-prone and yields limited information on neutrophil extracellular traps formed in vivo. PLoS ONE 2021, 16, e0250265. [Google Scholar] [CrossRef]
- Briggs, G.D.; Gelzinnis, S.; Meakes, S.; King, K.L.; Balogh, Z.J. Not all cell-free mitochondrial DNA is equal in trauma patients. Shock 2022, 58, 231–235. [Google Scholar] [CrossRef]
- Pisetsky, D.S.; Gauley, J.; Ullal, A.J. Microparticles as a source of extracellular DNA. Immunol. Res. 2011, 49, 227–234. [Google Scholar] [CrossRef]
- Lacey, K.A.; Serpas, L.; Makita, S.; Wang, Y.; Rashidfarrokhi, A.; Soni, C.; Gonzalez, S.; Moreira, A.; Torres, V.J.; Reizis, B. Secreted mammalian DNases protect against systemic bacterial infection by digesting biofilms. J. Exp. Med. 2023, 220, e20221086. [Google Scholar] [CrossRef]
- Jiménez-Alcázar, M.; Rangaswamy, C.; Panda, R.; Bitterling, J.; Simsek, Y.J.; Long, A.T.; Bilyy, R.; Krenn, V.; Renné, C.; Renné, T.; et al. Host DNases prevent vascular occlusion by neutrophil extracellular traps. Science 2017, 358, 1202–1206. [Google Scholar] [CrossRef]
- Mai, S.H.; Khan, M.; Dwivedi, D.J.; Ross, C.A.; Zhou, J.; Gould, T.J.; Gross, P.L.; Weitz, J.I.; Fox-Robichaud, A.E.; Liaw, P.C. Delayed but not Early Treatment with DNase Reduces Organ Damage and Improves Outcome in a Murine Model of Sepsis. Shock 2015, 44, 166–172. [Google Scholar] [CrossRef]
- Medeiros, S.K.; Sharma, N.; Dwivedi, D.; Cani, E.; Zhou, J.; Dwivedi, N.; Sohrabipour, S.; Liaw, P.C. The effects of DNase I and low-molecular-weight heparin in a murine model of polymicrobial abdominal sepsis. Shock 2023, 59, 666–672. [Google Scholar] [CrossRef] [PubMed]
- Englert, H.; Göbel, J.; Khong, D.; Omidi, M.; Wolska, N.; Konrath, S.; Frye, M.; Mailer, R.K.; Beerens, M.; Gerwers, J.C.; et al. Targeting NETs using dual-active DNase1 variants. Front. Immunol. 2023, 14, 1181761. [Google Scholar] [CrossRef] [PubMed]
- Meng, W.; Paunel-Görgülü, A.; Flohé, S.; Witte, I.; Schädel-Höpfner, M.; Windolf, J.; Lögters, T.T. Deoxyribonuclease is a potential counter regulator of aberrant neutrophil extracellular traps formation after major trauma. Mediat. Inflamm. 2012, 2012, 149560. [Google Scholar] [CrossRef] [PubMed]
- Janovičová, Ľ.; Čonka, J.; Lauková, L.; Celec, P. Variability of endogenous deoxyribonuclease activity and its pathophysiological consequences. Mol. Cell Probes 2022, 65, 101844. [Google Scholar] [CrossRef]



| Patient ID | Sex | Age | Height (m) | Weight (kg) | BMI | SOFA |
|---|---|---|---|---|---|---|
| 1 | M | 28 | 1.94 | 90 | 23.91 | 12 |
| 2 | M | 51 | 1.64 | 64 | 23.80 | 15 |
| 3 | M | 74 | 1.85 | 95 | 27.76 | 15 |
| 4 | M | 72 | 1.80 | 85 | 26.23 | 15 |
| 5 | M | 58 | 1.67 | 63 | 22.59 | 12 |
| 6 | M | 46 | 1.85 | 90 | 26.30 | 12 |
| 7 | F | 59 | 1.68 | 60 | 21.26 | 13 |
| 8 | M | 64 | 1.66 | 74 | 26.85 | 11 |
| 9 | M | 70 | 1.80 | 95 | 29.32 | 13 |
| 10 | F | 81 | 1.62 | 65 | 24.77 | 8 |
| 11 | F | 70 | 1.75 | 72 | 23.51 | 13 |
| 12 | F | 68 | 1.60 | 85 | 33.20 | 19 |
| 13 | F | 84 | 1.60 | 55 | 21.48 | 10 |
| 14 | F | 50 | 1.58 | 50 | 20.03 | 12 |
| 15 | M | 61 | 1.95 | 95 | 24.98 | 13 |
| 16 | M | 59 | 1.80 | 120 | 37.04 | 13 |
| 17 | M | 57 | 1.70 | 70 | 24.22 | 14 |
| 18 | F | 55 | 1.58 | 60 | 24.03 | 11 |
| 19 | M | 59 | 1.73 | 86 | 28.73 | 13 |
| 20 | M | 68 | 1.75 | 85 | 27.76 | 12 |
| 21 | F | 73 | 1.68 | 50 | 17.72 | 14 |
| 22 | M | 42 | 1.80 | 85 | 26.23 | 13 |
| 23 | M | 50 | 1.80 | 85 | 26.23 | 11 |
| 24 | F | 45 | 1.65 | 60 | 22.04 | 14 |
| 25 | 1 | 70 | 1.69 | 75 | 26.26 | 15 |
| 26 | 0 | 55 | 1.70 | 80 | 27.68 | 9 |
| 27 | 0 | 49 | 1.85 | 75 | 21.91 | 13 |
| Diagnosis | SIRS | Sepsis | Septic Shock |
|---|---|---|---|
| Number of patients | 8 | 7 | 12 |
| Sex (men/women) | 4/4 | 5/2 | 8/4 |
| Average age | 58 | 63 | 59 |
| SOFA score (min/max) | 8/15 | 11/15 | 12/19 |
Disclaimer/Publisher’s Note: The statements, opinions and data contained in all publications are solely those of the individual author(s) and contributor(s) and not of MDPI and/or the editor(s). MDPI and/or the editor(s) disclaim responsibility for any injury to people or property resulting from any ideas, methods, instructions or products referred to in the content. |
© 2024 by the authors. Licensee MDPI, Basel, Switzerland. This article is an open access article distributed under the terms and conditions of the Creative Commons Attribution (CC BY) license (https://creativecommons.org/licenses/by/4.0/).
Share and Cite
Janíková, M.; Pribulová, N.; Kmeťová, K.; Macáková, K.; Dobišová, A.; Kopčová, M.; Bucová, M.; Vlková, B.; Celec, P. Extracellular DNA and Deoxyribonuclease Activity as Prognostic Markers in Sepsis. Biomedicines 2024, 12, 2565. https://doi.org/10.3390/biomedicines12112565
Janíková M, Pribulová N, Kmeťová K, Macáková K, Dobišová A, Kopčová M, Bucová M, Vlková B, Celec P. Extracellular DNA and Deoxyribonuclease Activity as Prognostic Markers in Sepsis. Biomedicines. 2024; 12(11):2565. https://doi.org/10.3390/biomedicines12112565
Chicago/Turabian StyleJaníková, Monika, Nikola Pribulová, Katarína Kmeťová, Kristína Macáková, Anna Dobišová, Michaela Kopčová, Mária Bucová, Barbora Vlková, and Peter Celec. 2024. "Extracellular DNA and Deoxyribonuclease Activity as Prognostic Markers in Sepsis" Biomedicines 12, no. 11: 2565. https://doi.org/10.3390/biomedicines12112565
APA StyleJaníková, M., Pribulová, N., Kmeťová, K., Macáková, K., Dobišová, A., Kopčová, M., Bucová, M., Vlková, B., & Celec, P. (2024). Extracellular DNA and Deoxyribonuclease Activity as Prognostic Markers in Sepsis. Biomedicines, 12(11), 2565. https://doi.org/10.3390/biomedicines12112565

