Autonomic Modulation in Parkinson’s Disease Using Whole-Body Cryostimulation: A Pilot Study
Abstract
1. Introduction
2. Materials and Methods
2.1. Participants
2.2. Study Design
2.3. Participant Eligibility
2.4. Multidisciplinary Rehabilitation Intervention
2.5. Description of the WBC Session
2.6. Heart Rate Variability Test and Blood Pressure
- Resting Condition: The patient laid supine for 10 min, relaxed with spontaneous breathing.
- Deep Breathing Test: The patient remained supine for 3 min with controlled deep breathing. Participants were instructed to breathe according to the slow breathing technique during the measurements. Slow breathing is performed at a slower pace (around 6 cycles per minute, cpm) than spontaneous breathing, which usually ranges from 12 to 20 cpm in adults, and typically with a higher breathing amplitude [26].
- Lying to Standing: Initial blood pressure was measured while the patient was lying down. The patient was then instructed to move from a supine to a standing position as quickly as possible, maintaining this position for a period of five minutes. Blood pressure was then re-measured one minute after the patient had assumed the standing position, and a third measurement was taken at the conclusion of the five-minute period.
- RR max interval
- RR min interval
- RR mean interval
2.7. Blood Sample Collection
2.8. Feasibility
2.9. Study Variables
2.10. Statistical Analysis
3. Results
3.1. Demographic and Baseline Characteristics
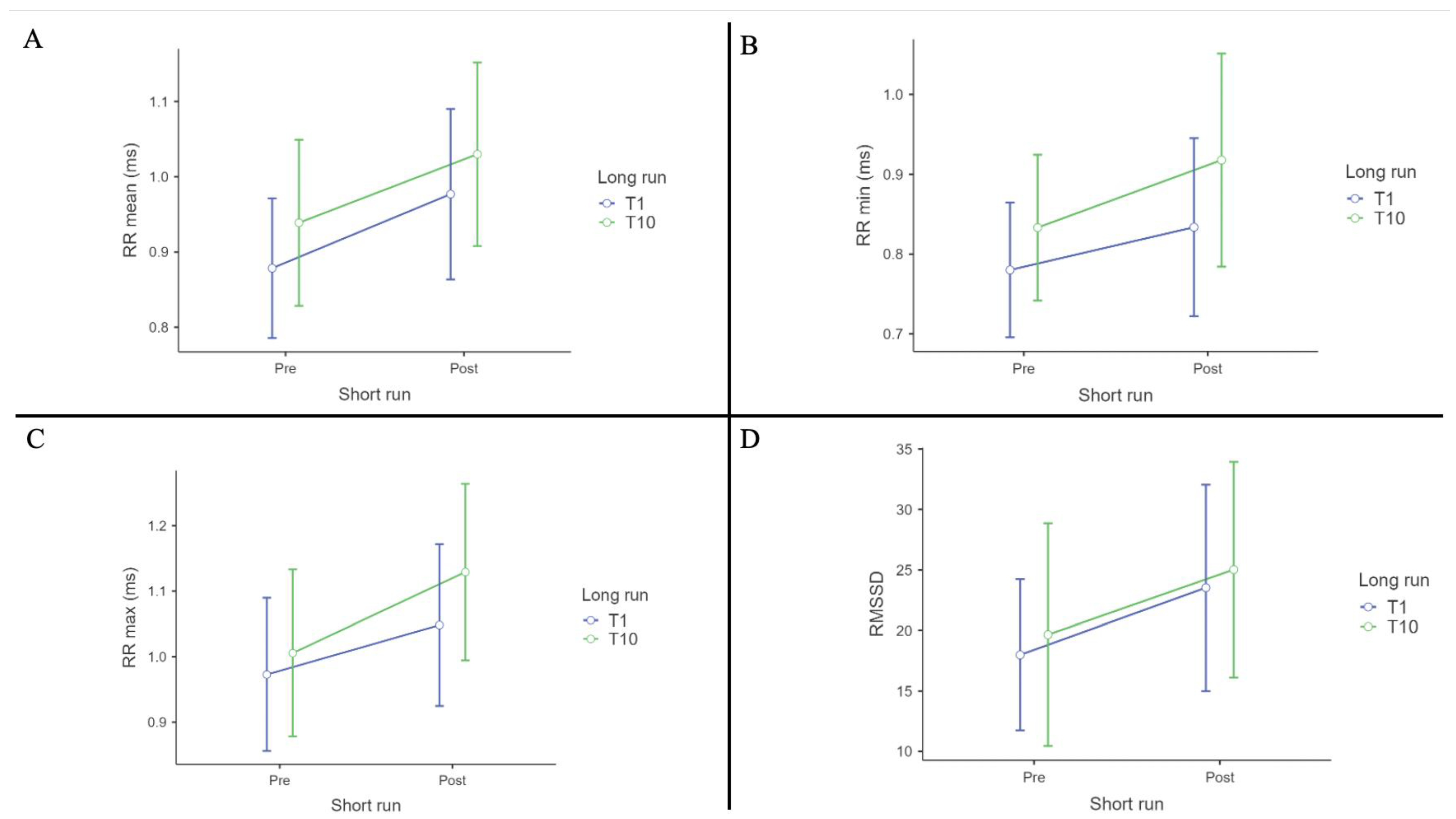
3.2. Heart Rate Variability Test Variables
3.2.1. Time-Domain Indices
3.2.2. Frequency-Domain Indices
3.3. Blood Pressure
3.4. Plasmatic Catecholamines
3.5. UPDRS
4. Discussion
5. Conclusions
Supplementary Materials
Author Contributions
Funding
Institutional Review Board Statement
Informed Consent Statement
Data Availability Statement
Conflicts of Interest
References
- Ramesh, S.; Arachchige, A.S.P.M. Depletion of dopamine in Parkinson’s disease and relevant therapeutic options: A review of the literature. AIMS Neurosci. 2023, 10, 200–231. [Google Scholar] [CrossRef] [PubMed]
- De Virgilio, A.; Greco, A.; Fabbrini, G.; Inghilleri, M.; Rizzo, M.I.; Gallo, A.; Conte, M.; Rosato, C.; Ciniglio Appiani, M.; de Vincentiis, M. Parkinson’s disease: Autoimmunity and neuroinflammation. Autoimmun. Rev. 2016, 15, 1005–1011. [Google Scholar] [CrossRef] [PubMed]
- Kurlawala, Z.; Shadowen, P.H.; McMillan, J.D.; Beverly, L.J.; Friedland, R.P. Progression of Nonmotor Symptoms in Parkinson’s Disease by Sex and Motor Laterality. Park. Dis. 2021, 2021, 8898887. [Google Scholar] [CrossRef]
- Chen, Z.; Li, G.; Liu, J. Autonomic dysfunction in Parkinson’s disease: Implications for pathophysiology, diagnosis, and treatment. Neurobiol. Dis. 2020, 134, 104700. [Google Scholar] [CrossRef]
- Berg, D.; Postuma, R.B.; Adler, C.H.; Bloem, B.R.; Chan, P.; Dubois, B.; Gasser, T.; Goetz, C.G.; Halliday, G.; Joseph, L.; et al. MDS research criteria for prodromal Parkinson’s disease: MDS Criteria for Prodromal PD. Mov. Disord. 2015, 30, 1600–1611. [Google Scholar] [CrossRef]
- Hely, M.A.; Morris, J.G.; Traficante, R.; Reid, W.G.; O’Sullivan, D.J.; Williamson, P.M. The sydney multicentre study of Parkinson’s disease: Progression and mortality at 10 years. J. Neurol. Neurosurg. Psychiatry 1999, 67, 300–307. [Google Scholar] [CrossRef]
- Alster, P.; Madetko-Alster, N. Significance of dysautonomia in Parkinson’s Disease and atypical parkinsonisms. Neurol. Neurochir. Pol. 2024, 58, 147–149. [Google Scholar] [CrossRef]
- Baschieri, F.; Vitiello, M.; Cortelli, P.; Calandra-Buonaura, G.; Morgante, F. Autonomic dysfunction in progressive supranuclear palsy. J. Neurol. 2023, 270, 109–129. [Google Scholar] [CrossRef]
- Heimrich, K.G.; Lehmann, T.; Schlattmann, P.; Prell, T. Heart Rate Variability Analyses in Parkinson’s Disease: A Systematic Review and Meta-Analysis. Brain Sci. 2021, 11, 959. [Google Scholar] [CrossRef]
- Shaffer, F.; Ginsberg, J.P. An Overview of Heart Rate Variability Metrics and Norms. Front. Public Health 2017, 5, 258. [Google Scholar] [CrossRef]
- Kallio, M.; Suominen, K.; Bianchi, A.M.; Mäkikallio, T.; Haapaniemi, T.; Astafiev, S.; Sotaniemi, K.A.; Myllylä, V.V.; Tolonen, U. Comparison of heart rate variability analysis methods in patients with Parkinson’s disease. Med. Biol. Eng. Comput. 2002, 40, 408–414. [Google Scholar] [CrossRef] [PubMed]
- Devos, D.; Kroumova, M.; Bordet, R.; Vodougnon, H.; Guieu, J.D.; Libersa, C.; Destee, A. Heart rate variability and Parkinson’s disease severity. J. Neural Transm. 2003, 110, 997–1011. [Google Scholar] [CrossRef] [PubMed]
- Palma, J.; Carmona-Abellan, M.; Barriobero, N.; Trevino-Peinado, C.; Garcia-Lopez, M.; Fernandez-Jarne, E.; Luquin, M.R. Is cardiac function impaired in premotor Parkinson’s disease? A retrospective cohort study. Mov. Disord. 2013, 28, 591–596. [Google Scholar] [CrossRef] [PubMed]
- Pardo-Moreno, T.; García-Morales, V.; Suleiman-Martos, S.; Rivas-Domínguez, A.; Mohamed-Mohamed, H.; Ramos-Rodríguez, J.J.; Melguizo-Rodríguez, L.; González-Acedo, A. Current Treatments and New, Tentative Therapies for Parkinson’s Disease. Pharmaceutics 2023, 15, 770. [Google Scholar] [CrossRef]
- Banfi, G.; Lombardi, G.; Colombini, A.; Melegati, G. Whole-body cryotherapy in athletes. Sports Med. Auckl. N. Z. 2010, 40, 509–517. [Google Scholar] [CrossRef]
- Capodaglio, P.; Cremascoli, R.; Piterà, P.; Fontana, J.M. Whole-Body Cryostimulation: A Rehabilitation Booster. J. Rehabil. Med. Clin. Commun. 2022, 5, 2810. [Google Scholar] [CrossRef]
- Boulant, J.A. Neuronal basis of Hammel’s model for set-point thermoregulation. J. Appl. Physiol. 2006, 100, 1347–1354. [Google Scholar] [CrossRef]
- Louis, J.; Theurot, D.; Filliard, J.-R.; Volondat, M.; Dugué, B.; Dupuy, O. The use of whole-body cryotherapy: Time- and dose-response investigation on circulating blood catecholamines and heart rate variability. Eur. J. Appl. Physiol. 2020, 120, 1733–1743. [Google Scholar] [CrossRef]
- Douzi, W.; Dupuy, O.; Tanneau, M.; Boucard, G.; Bouzigon, R.; Dugué, B. 3-min whole body cryotherapy/cryostimulation after training in the evening improves sleep quality in physically active men. Eur. J. Sport Sci. 2019, 19, 860–867. [Google Scholar] [CrossRef]
- Happe, S.; Evers, S.; Thiedemann, C.; Bunten, S.; Siegert, R. Whole body and local cryotherapy in restless legs syndrome: A randomized, single-blind, controlled parallel group pilot study. J. Neurol. Sci. 2016, 370, 7–12. [Google Scholar] [CrossRef]
- Bouzigon, R.; Ravier, G.; Dugue, B.; Grappe, F. The Use of Whole-Body Cryostimulation to Improve the Quality of Sleep in Athletes During High Level Standard Competitions. Br. J. Sports Med. 2014, 48, 572. [Google Scholar] [CrossRef]
- Varallo, G.; Piterà, P.; Fontana, J.M.; Gobbi, M.; Arreghini, M.; Giusti, E.M.; Franceschini, C.; Plazzi, G.; Castelnuovo, G.; Capodaglio, P. Is Whole-Body Cryostimulation an Effective Add-On Treatment in Individuals with Fibromyalgia and Obesity? A Randomized Controlled Clinical Trial. J. Clin. Med. 2022, 11, 4324. [Google Scholar] [CrossRef] [PubMed]
- Hausswirth, C.; Schaal, K.; Meur, Y.L.; Bieuzen, F.; Filliard, J.-R.; Volondat, M.; Louis, J. Parasympathetic Activity and Blood Catecholamine Responses Following a Single Partial-Body Cryostimulation and a Whole-Body Cryostimulation. PLoS ONE 2013, 8, e72658. [Google Scholar] [CrossRef] [PubMed]
- Louis, J.; Schaal, K.; Bieuzen, F.; Meur, Y.L.; Filliard, J.-R.; Volondat, M.; Brisswalter, J.; Hausswirth, C. Head Exposure to Cold during Whole-Body Cryostimulation: Influence on Thermal Response and Autonomic Modulation. PLoS ONE 2015, 10, e0124776. [Google Scholar] [CrossRef]
- Jdidi, H.; Dugué, B.; de Bisschop, C.; Dupuy, O.; Douzi, W. The effects of cold exposure (cold water immersion, whole- and partial- body cryostimulation) on cardiovascular and cardiac autonomic control responses in healthy individuals: A systematic review, meta-analysis and meta-regression. J. Therm. Biol. 2024, 121, 103857. [Google Scholar] [CrossRef]
- Laborde, S.; Allen, M.S.; Borges, U.; Dosseville, F.; Hosang, T.J.; Iskra, M.; Mosley, E.; Salvotti, C.; Spolverato, L.; Zammit, N.; et al. Effects of voluntary slow breathing on heart rate and heart rate variability: A systematic review and a meta-analysis. Neurosci. Biobehav. Rev. 2022, 138, 104711. [Google Scholar] [CrossRef]
- Leppäluoto, J.; Westerlund, T.; Huttunen, P.; Oksa, J.; Smolander, J.; Dugué, B.; Mikkelsson, M. Effects of long-term whole-body cold exposures on plasma concentrations of ACTH, beta-endorphin, cortisol, catecholamines and cytokines in healthy females. Scand. J. Clin. Lab. Investig. 2008, 68, 145–153. [Google Scholar] [CrossRef]
- Fanciulli, A.; Leys, F.; Falup-Pecurariu, C.; Thijs, R.; Wenning, G.K. Management of Orthostatic Hypotension in Parkinson’s Disease. J. Park. Dis. 2020, 10, S57–S64. [Google Scholar] [CrossRef]
- Fedorowski, A.; Ricci, F.; Hamrefors, V.; Sandau, K.E.; Hwan Chung, T.; Muldowney, J.A.S.; Gopinathannair, R.; Olshansky, B. Orthostatic Hypotension: Management of a Complex, But Common, Medical Problem. Circ. Arrhythm. Electrophysiol. 2022, 15, e010573. [Google Scholar] [CrossRef]





| N | Mean | Median | SD | Minimum | Maximum | |
|---|---|---|---|---|---|---|
| RR mean Pre T1 (ms) | 13 | 0.878 | 0.859 | 0.154 | 0.621 | 1.25 |
| RR mean Post T1 (ms) | 13 | 0.977 | 0.993 | 0.188 | 0.64 | 1.33 |
| RR mean Pre T10 (ms) | 13 | 0.939 | 0.953 | 0.183 | 0.72 | 1.31 |
| RR mean Post T10 (ms) | 13 | 1.03 | 1.018 | 0.202 | 0.759 | 1.39 |
| N | Mean | Median | SD | Minimum | Maximum | |
|---|---|---|---|---|---|---|
| RR min Pre T1 (ms) | 13 | 0.78 | 0.79 | 0.14 | 0.604 | 1.13 |
| RR min Post T1(ms) | 13 | 0.834 | 0.817 | 0.185 | 0.503 | 1.14 |
| RR min Pre T10 (ms) | 13 | 0.833 | 0.803 | 0.151 | 0.653 | 1.2 |
| RR min Post T10 (ms) | 13 | 0.918 | 0.922 | 0.221 | 0.528 | 1.3 |
| N | Mean | Median | SD | Minimum | Maximum | |
|---|---|---|---|---|---|---|
| RR max Pre T1 (ms) | 13 | 0.973 | 0.962 | 0.193 | 0.649 | 1.32 |
| RR max Post T1 (ms) | 13 | 1.048 | 1.05 | 0.204 | 0.661 | 1.44 |
| RR max Pre T10 (ms) | 13 | 1.006 | 0.999 | 0.211 | 0.761 | 1.44 |
| RR max Post T10 (ms) | 13 | 1.129 | 1.079 | 0.223 | 0.805 | 1.57 |
| N | Mean | Median | SD | Minimum | Maximum | |
|---|---|---|---|---|---|---|
| RMSSD Pre T1 (ms) | 13 | 18 | 15.4 | 10.3 | 3.06 | 34.1 |
| RMSSD Post T1 (ms) | 13 | 23.5 | 25 | 14.1 | 3.42 | 56.3 |
| RMSSD Pre T10 (ms) | 13 | 19.6 | 17 | 15.2 | 6.97 | 63.8 |
| RMSSD Post T10 (ms) | 13 | 25 | 25.3 | 14.8 | 6.25 | 51.3 |
| N | Mean | Median | SD | Minimum | Maximum | |
|---|---|---|---|---|---|---|
| HF spectrum (ms2) Pre T1 | 13 | 106 | 46 | 126 | 2.77 | 376 |
| HF spectrum (ms2) Post T1 | 13 | 189 | 141 | 216 | 2.03 | 789 |
| HF spectrum (ms2) Pre T10 | 13 | 157 | 67.5 | 257 | 10.03 | 975 |
| HF spectrum (ms2) Post T10 | 13 | 242 | 148.3 | 251 | 13.89 | 716 |
| N | Mean | Median | SD | Minimum | Maximum | |
|---|---|---|---|---|---|---|
| LF spectrum (ms2) Pre T1 | 13 | 155 | 105 | 140 | 2.62 | 486 |
| LF spectrum (ms2) Post T1 | 13 | 305 | 173 | 399 | 3.49 | 1529 |
| LF spectrum (ms2) Pre T10 | 13 | 268 | 136 | 396 | 45.96 | 1456 |
| LF spectrum Post (ms2) T10 | 13 | 262 | 205 | 277 | 25.63 | 1047 |
| N | Mean | Median | SD | Minimum | Maximum | |
|---|---|---|---|---|---|---|
| Tot spectrum (ms2) Pre T1 | 13 | 658 | 466 | 612 | 67.3 | 2036 |
| Tot spectrum (ms2) Post T1 | 13 | 968 | 702 | 968 | 36.2 | 3730 |
| Tot spectrum (ms2) Pre T10 | 13 | 1053 | 511 | 1190 | 181.3 | 3854 |
| Tot spectrum (ms2) Post T10 | 13 | 1235 | 1017 | 898 | 151 | 2780 |
| Position | Variable | PRE T1 (Mean ± SD) | PRE T10 (Mean ± SD) | POST T1 (Mean ± SD) | POST T10 (Mean ± SD) |
|---|---|---|---|---|---|
| supine | SBP (mmHg) | 119.2 ± 11.83 | 113.9 ± 13.12 | 115.5 ± 10.81 | 117.5 ± 11.86 |
| supine | DBP (mmHg) | 78.6 ± 6.58 | 76.8 ± 8.91 | 74.6 ± 17.83 | 77.9 ± 7.88 |
| standing | SBP (mmHg) | 116.1 ± 13.53 | 117.1 ± 11.87 | 114.3 ± 13.03 | 112.4 ± 12.16 |
| standing | DBP (mmHg) | 78.4 ± 9.38 | 80.6 ± 8.40 | 83.4 ± 6.53 | 78.1 ± 9.44 |
| N | Mean | Median | SD | Minimum | Maximum | |
|---|---|---|---|---|---|---|
| NE pre T1 (ng/mL) | 12 | 0.594 | 0.459 | 0.47 | 0.096 | 1.59 |
| NE post T1 (ng/mL) | 12 | 0.727 | 0.648 | 0.465 | 0.157 | 1.67 |
| NE pre T10 (ng/mL) | 12 | 0.599 | 0.389 | 0.498 | 0.083 | 1.6 |
| NE post T10 (ng/mL) | 12 | 0.662 | 0.568 | 0.535 | 0.121 | 1.92 |
| E pre T1 (ng/mL) | 12 | 0.12 | 0.0935 | 0.0836 | 0.017 | 0.294 |
| E post T1 (ng/mL) | 12 | 0.143 | 0.0835 | 0.1281 | 0.022 | 0.41 |
| E pre T10 (ng/mL) | 12 | 0.11 | 0.103 | 0.0843 | 0.035 | 0.324 |
| E post T10 (ng/mL) | 12 | 0.116 | 0.1025 | 0.0834 | 0.012 | 0.31 |
| Dopa pre T1 (ng/mL) | 12 | 0.738 | 0.243 | 1.332 | 0.053 | 4.57 |
| Dopa post T1 (ng/mL) | 12 | 0.785 | 0.475 | 1 | 0.03 | 3.66 |
| Dopa pre T10 (ng/mL) | 12 | 0.605 | 0.233 | 1.219 | 0.073 | 4.4 |
| Dopa post T10 (ng/mL) | 11 | 0.525 | 0.409 | 0.501 | 0.07 | 1.84 |
Disclaimer/Publisher’s Note: The statements, opinions and data contained in all publications are solely those of the individual author(s) and contributor(s) and not of MDPI and/or the editor(s). MDPI and/or the editor(s) disclaim responsibility for any injury to people or property resulting from any ideas, methods, instructions or products referred to in the content. |
© 2024 by the authors. Licensee MDPI, Basel, Switzerland. This article is an open access article distributed under the terms and conditions of the Creative Commons Attribution (CC BY) license (https://creativecommons.org/licenses/by/4.0/).
Share and Cite
Piterà, P.; Cremascoli, R.; Bianchi, L.; Borghesi, F.; Verme, F.; Cattaldo, S.; Prina, E.; Mai, S.; Cipresso, P.; Galli, F.; et al. Autonomic Modulation in Parkinson’s Disease Using Whole-Body Cryostimulation: A Pilot Study. Biomedicines 2024, 12, 2467. https://doi.org/10.3390/biomedicines12112467
Piterà P, Cremascoli R, Bianchi L, Borghesi F, Verme F, Cattaldo S, Prina E, Mai S, Cipresso P, Galli F, et al. Autonomic Modulation in Parkinson’s Disease Using Whole-Body Cryostimulation: A Pilot Study. Biomedicines. 2024; 12(11):2467. https://doi.org/10.3390/biomedicines12112467
Chicago/Turabian StylePiterà, Paolo, Riccardo Cremascoli, Laura Bianchi, Francesca Borghesi, Federica Verme, Stefania Cattaldo, Elisa Prina, Stefania Mai, Pietro Cipresso, Federica Galli, and et al. 2024. "Autonomic Modulation in Parkinson’s Disease Using Whole-Body Cryostimulation: A Pilot Study" Biomedicines 12, no. 11: 2467. https://doi.org/10.3390/biomedicines12112467
APA StylePiterà, P., Cremascoli, R., Bianchi, L., Borghesi, F., Verme, F., Cattaldo, S., Prina, E., Mai, S., Cipresso, P., Galli, F., Fontana, J. M., Priano, L., Mauro, A., & Capodaglio, P. (2024). Autonomic Modulation in Parkinson’s Disease Using Whole-Body Cryostimulation: A Pilot Study. Biomedicines, 12(11), 2467. https://doi.org/10.3390/biomedicines12112467

