Reproducibility of Thermography for Measuring Skin Temperature of Upper Limbs in Breast Cancer Survivors
Abstract
1. Introduction
2. Materials and Methods
2.1. Study Design and Sample
2.2. Recruitment and Screening
2.3. Data Collection
2.4. Thermographic Images Acquisition
2.5. Camera Model and Calibration
2.6. Analysis of Thermograms
2.7. Data Analysis and Interpretation
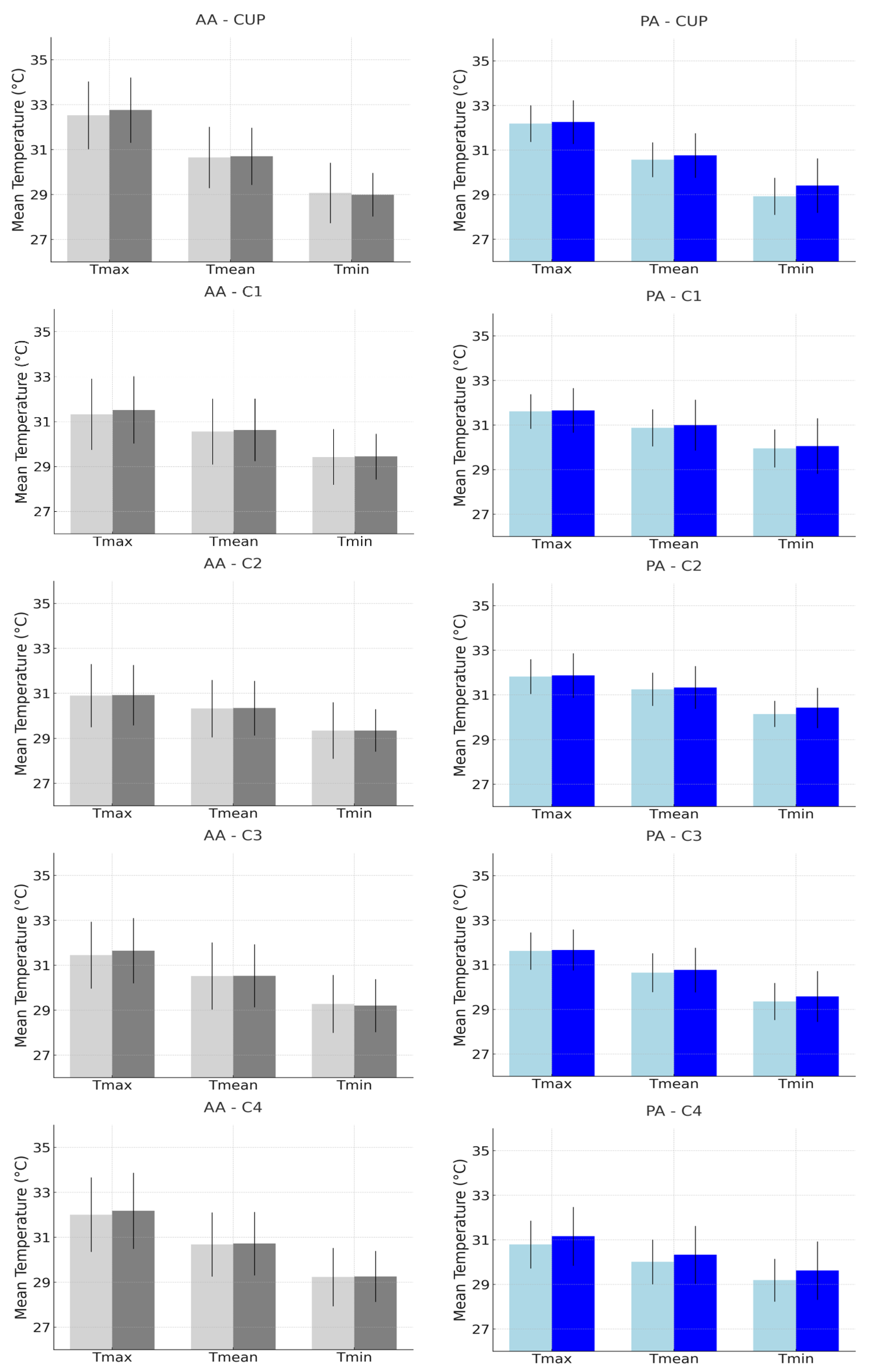
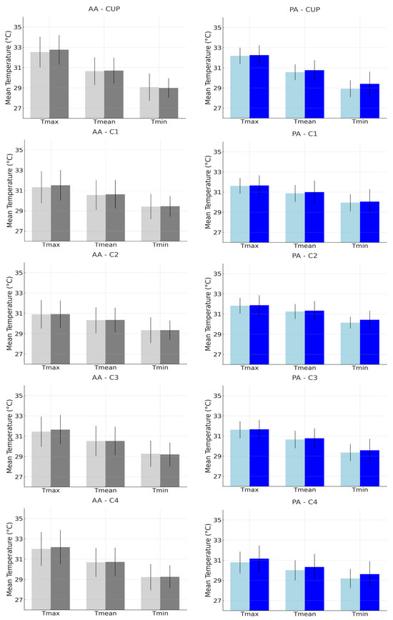
3. Results
4. Discussion
5. Conclusions
Supplementary Materials
Author Contributions
Funding
Institutional Review Board Statement
Informed Consent Statement
Data Availability Statement
Acknowledgments
Conflicts of Interest
References
- Gillespie, T.C.; Sayegh, H.E.; Brunelle, C.L.; Daniell, K.M.; Taghian, A.G. Breast Cancer-Related Lymphedema: Risk Factors, Precautionary Measures, and Treatments. Gland. Surg. 2018, 7, 379–403. [Google Scholar] [CrossRef] [PubMed]
- Brix, B.; Sery, O.; Onorato, A.; Ure, C.; Roessler, A.; Goswami, N. Biology of Lymphedema. Biology 2021, 10, 261. [Google Scholar] [CrossRef] [PubMed]
- Beelen, L.M.; Van Dishoeck, A.M.; Tsangaris, E.; Coriddi, M.; Dayan, J.H.; Pusic, A.L.; Klassen, A.; King, T. Patient-Reported Outcome Measures in Lymphedema: A Systematic Review and COSMIN Analysis. Ann. Surg. Oncol. 2021, 28, 1656–1668. [Google Scholar] [CrossRef] [PubMed]
- Matthews, M.; Gordon, S.; Witt, S.; Piller, N. Understanding Normal Seasonal Variations in Upper-Limb Size, Volume and Fluid Distribution in a Healthy Female Population: A North Queensland Study. Wounds Int. 2021, 12, 28–33. [Google Scholar]
- Ibarra Estupiñán, A.; Pons Playa, G.; Fernández Garrido, M.; Zamora Alarcon, P.; Olivares Dominguez, L.; Vega García, C.; Masia Ayala, J. Correlation Between Indocyanine Green Lymphography and Thermography to Evaluate Areas of Dermal Backflow in Lymphedema. J. Plast. Reconstr. Aesthet. Surg. 2020, 73, 1897–1904. [Google Scholar] [CrossRef]
- Dȩbiec-Bąk, A.; Skrzek, A.; Wozniewski, M.; Malicka, I. Using Thermography in the Diagnostics of Lymphedema: Pilot Study. Lymphat. Res. Biol. 2020, 18, 247–253. [Google Scholar] [CrossRef]
- Kelly-Hope, L.A.; Karim, M.J.; Mahmood, A.S.; Kawsar, A.A.; Khair, A.; Betts, H.; Douglass, J.; Forrer, A.; Taylor, M.J. Infrared Thermal Imaging as a Novel Non-Invasive Point-of-Care Tool to Assess Filarial Lymphoedema. PLoS Negl. Trop. Dis. 2020, 14, e0008490. [Google Scholar] [CrossRef]
- Kesztyüs, D.; Brucher, S.; Wilson, C.; Kesztyüs, T. Use of Infrared Thermography in Medical Diagnosis, Screening, and Disease Monitoring: A Scoping Review. Medicina 2023, 59, 2139. [Google Scholar] [CrossRef]
- Executive Committee. The Diagnosis and Treatment of Peripheral Lymphedema: 2016 Consensus Document of the International Society of Lymphology. Lymphology 2016, 49, 170–184.
- Borman, P. Lymphedema Diagnosis, Treatment, and Follow-up from the Viewpoint of Physical Medicine and Rehabilitation Specialists. Turk. J. Phys. Med. Rehabil. 2018, 64, 179–197. [Google Scholar] [CrossRef]
- Levenhagen, K.; Davies, C.; Perdomo, M.; Ryans, K.; Gilchrist, L. Diagnosis of Upper Quadrant Lymphedema Secondary to Cancer: Clinical Practice Guideline from the Oncology Section of the American Physical Therapy Association. Phys. Ther. 2017, 97, 729–745. [Google Scholar] [CrossRef] [PubMed]
- Campanholi, L.L.; Baiocchi, J.M.T.; Batista, B.N.; Bergmann, A.; Fregnani, J.H.T.G.; Duprat Neto, J.P. Agreement Between Optoelectronic Volumetry and Circumferential Girth Measurements to Diagnose Lymphedema in Patients Submitted to Axillary Radical Lymphadenectomy for Treatment of Cutaneous Melanoma. Lymphat. Res. Biol. 2021, 19, 568–572. [Google Scholar] [CrossRef] [PubMed]
- American Academy of Thermology. Guidelines for Breast Thermography. Pan Am. J. Med. Thermol. 2015, 2, 26–34. [Google Scholar] [CrossRef]
- de Jesus Guirro, R.R.; Oliveira Lima Leite Vaz, M.M.; das Neves, L.M.S.; Dibai-Filho, A.V.; Carrara, H.H.A.; de Oliveira Guirro, E.C. Accuracy and Reliability of Infrared Thermography in Assessment of the Breasts of Women Affected by Cancer. J. Med. Syst. 2017, 41, 87. [Google Scholar] [CrossRef] [PubMed]
- Ammer, K. The Glamorgan Protocol for Recording and Evaluation of Thermal Images of the Human Body. Thermol. Int. 2008, 18, 125–129. [Google Scholar]
- Koo, T.K.; Li, M.Y. A Guideline of Selecting and Reporting Intraclass Correlation Coefficients for Reliability Research. J. Chiropr. Med. 2016, 15, 155–163. [Google Scholar] [CrossRef]
- Formenti, D.; Ludwig, N.; Rossi, A.; Trecroci, A.; Alberti, G.; Gargano, M.; Merla, A.; Ammer, K.; Caumo, A. Is the Maximum Value in the Region of Interest a Reliable Indicator of Skin Temperature? Infrared Phys. Technol. 2018, 94, 299–304. [Google Scholar] [CrossRef]
- May-Benson, T.A.; Teasdale, A. Inter-Rater and Test-Retest Reliability of the Sensory Integration Clinical Observations. Phys. Occup. Ther. Pediatr. 2021, 41, 74–84. [Google Scholar] [CrossRef]
- Azhar, S.H.; Lim, H.Y.; Tan, B.K.; Angeli, V. The Unresolved Pathophysiology of Lymphedema. Front. Physiol. 2020, 11, 137. [Google Scholar] [CrossRef]
- Crandall, C.G.; Wilson, T.E.; Kregel, K.C. Mechanisms and Modulators of Temperature Regulation. J. Appl. Physiol. 2010, 109, 1219–1220. [Google Scholar] [CrossRef]
- Romanovsky, A.A. Skin Temperature: Its Role in Thermoregulation. Acta Physiol. 2014, 210, 498–507. [Google Scholar] [CrossRef] [PubMed]
- da Silva, W.; Machado, Á.S.; Kunzler, M.R.; Jimenez-Perez, I.; Gil-Calvo, M.; Priego-Quesada, J.I.; Costa, P.D.; Amorim, C.F. Reproducibility of Skin Temperature Analyses by Novice and Experienced Evaluators Using Infrared Thermography. J. Therm. Biol. 2022, 110, 103363. [Google Scholar] [CrossRef] [PubMed]
- Devoogdt, N.; Van den Wyngaert, T.; Bourgeois, P.; Lambrechts, M.; Van Kampen, M.; De Groef, A.; Geraerts, I.; Neven, P.; Vergote, I.; Tjalma, W.; et al. Reproducibility of Lymphoscintigraphic Evaluation of the Upper Limb. Lymphat. Res. Biol. 2014, 12, 202–208. [Google Scholar] [CrossRef] [PubMed]
- Ferro, A.P.; Ferreira, V.T.K.; Rezende, M.S.; Souza, T.R.; de Almeida, A.M.; Guirro, R.R.J.; Guirro, E.C.O. Intra- and Inter-Rater Reliability of Bioimpedance in the Evaluation of Lymphedema Secondary to Treatment of Breast Cancer. Lymphat. Res. Biol. 2018, 16, 262–268. [Google Scholar] [CrossRef] [PubMed]
- das Virgens Aquino, M.J.; dos Santos Leite, P.M.; Lima Rodrigues, I.K.; DeSantana, J.M. Feasibility for Using Thermography Throughout an Exercise Program in Mastectomized Patients. Front. Oncol. 2022, 12, 740787. [Google Scholar] [CrossRef]
- Oya, M.; Takahashi, T.; Tanabe, H.; Oe, M.; Murayama, R.; Yabunaka, K.; Sanada, H. Low-Temperature Infiltration Identified Using Infrared Thermography in Patients with Subcutaneous Edema Revealed Ultrasonographically: A Case Report. Drug Discov. Ther. 2016, 10, 117–122. [Google Scholar] [CrossRef]
- Verstockt, J.; Verspeek, S.; Thiessen, F.; Tjalma, W.A.; Brochez, L.; Steenackers, G. Skin Cancer Detection Using Infrared Thermography: Measurement Setup, Procedure and Equipment. Sensors 2022, 22, 3327. [Google Scholar] [CrossRef]




| Variables | Mean ± SD or n (%) | |
|---|---|---|
| Age (years) | 53.96 ± 8.10 | |
| Diagnosis time (months) | 94.16 ± 81.18 | |
| Time since surgery (months) | 85.70 ± 82.67 | |
| Body mass index (kg/m2) | 27.96 ± 4.43 | |
| Surgery intervention | ||
| Modified mastectomy | 1 (3.30) | |
| Radical mastectomy | 19 (63.30) | |
| Simple mastectomy | 10 (33.30) | |
| Associated therapies | ||
| Chemotherapy | 29 (96.70) | |
| Radiotherapy | 28 (93.30) | |
| Hormone therapy | 15 (50.00) | |
| Dominance | ||
| Right-handed | 27 (90.00) | |
| Left-handed | 3 (10.00) | |
| Affected UL | ||
| Right | 15 (50.00) | |
| Left | 15 (50.00) | |
| Presence of BCRL | 14 (46.70) | |
| INTRA-EXAMINER | ||||||
|---|---|---|---|---|---|---|
| Tmax | Tmin | Tmean | ||||
| Anterior Anatomical Position | ||||||
| LWL | LC | LWL | LC | LWL | LC | |
| Cup | 1.00 (1.00 to 1.00) | 1.00 (0.99 to 1.00) | 1.00 (1.00 to 1.00) | 0.99 (0.99 to 1.00) | 1.00 (1.00 to 1.00) | 0.99 (0.99 to 1.00) |
| C1 | 0.89 (0.67 to 0.97) | 0.99 (0.99 to 1.00) | 0.96 (0.89 to 0.98) | 0.99 (0.99 to 1.00) | 0.89 (0.68 to 0.96) | 0.99 (0.99 to 1.00) |
| C2 | 0.91 (0.70 to 0.97) | 0.99 (0.99 to 0.99) | 0.95 (0.84 to 0.98) | 1.00 (1.00 to 1.00) | 0.91 (0.74 to 0.97) | 1.00 (1.00 to 1.00) |
| C3 | 0.88 (0.65 to 0.96) | 0.99 (0.99 to 0.99) | 0.92 (0.77 to 0.97) | 1.00 (1.00 to 1.00) | 0.95 (0.84 to 0.98) | 0.99 (0.99 to 0.99) |
| C4 | 0.89 (0.66 to 0.96) | 0.99 (0.99 to 0.99) | 0.92 (0.75 to 0.97) | 1.00 (0.99 to 1.00) | 0.92 (0.76 to 0.97) | 0.99 (0.99 to 0.99) |
| Posterior Anatomical Position | ||||||
| Cup | 1.00 (1.00 to 1.00) | 0.85 (0.73 to 0.92) | 0.99 (0.96 to 1.00) | 0.86 (0.80 to 0.92) | 1.00 (0.99 to 1.00) | 0.99 (0.96 to 0.99) |
| C1 | 0.99 (0.99 to 0.99) | 0.99 (0.99 to 1.00) | 0.89 (0.67 to 0.97) | 0.99 (0.99 to 1.00) | 1.00 (0.99 to 1.00) | 0.99 (0.99 to 1.00) |
| C2 | 0.99 (0.99 to 0.99) | 0.99 (0.99 to 1.00) | 0.90 (0.77 to 0.97) | 0.99 (0.99 to 1.00) | 1.00 (0.99 to 1.00) | 0.99 (0.99 to 1.00) |
| C3 | 0.99 (0.99 to 1.00) | 0.99 (0.99 to 0.99) | 0.99 (0.99 to 0.99) | 0.99 (0.99 to 1.00) | 0.99 (0.99 to 0.99) | 0.99 (0.99 to 0.99) |
| C4 | 0.99 (0.98 to 0.99) | 1.00 (0.99 to 1.00) | 0.99 (0.96 to 1.00) | 1.00 (0.99 to 1.00) | 0.99 (0.99 to 0.99) | 1.00 (0.99 to 1.00) |
| Anterior Arm Abduction | ||||||
| Cup | 0.99 (0.99 to 0.99) | 0.94 (0.90 to 0.97) | 0.94 (0.81 to 0.98) | 0.98 (0.96 to 0.99) | 0.99 (0.99 to 1.00) | 0.95 (0.91 to 0.97) |
| C1 | 0.99 (0.98 to 0.99) | 0.98 (0.981to 0.99) | 0.92 (0.76 to 0.97) | 0.82 (0.97 to 0.90) | 0.99 (0.97 to 0.99) | 0.99 (0.98 to 0.99) |
| C2 | 0.99 (0.98 to 0.99) | 0.99 (0.99 to 0.99) | 0.92 (0.76 to 0.97) | 0.97 (0.94 to 0.99) | 0.99 (0.98 to 0.99) | 0.99 (0.99 to 0.99) |
| C3 | 0.99 (0.97 to 0.99) | 0.98 (0.97 to 0.99) | 0.97 (0.90 to 0.99) | 0.93 (0.88 to 0.96) | 0.99 (0.97 to 0.99) | 0.99 (0.99 to 0.99) |
| C4 | 0.98 (0.92 to 0.99) | 0.93 (0.89 to 0.96) | 0.92 (0.75 to 0.97) | 0.92 (0.85 to 0.95) | 0.99 (0.96 to 0.99) | 0.98 (0.97 to 0.99) |
| Posterior Arm Abduction | ||||||
| Cup | 0.95 (0.92 to 0.97) | 0.97 (0.95 to 0.99) | 0.92 (0.85 to 0.95) | 0.98 (0.94 to 0.98) | 0.96 (0.93 to 0.97) | 0.98 (0.95 to 0.99) |
| C1 | 0.96 (0.92 to 0.98) | 0.92 (0.84 to 0.96) | 0.96 (0.92 to 0.98) | 0.93 (0.89 to 0.97) | 0.98 (0.95 to 0.98) | 0.92 (0.84 to 0.96) |
| C2 | 0.96 (0.91 to 0.98) | 0.98 (0.96 to 0.99) | 0.95 (0.90 to 0.98) | 0.95 (0.89 to 0.97) | 0.97 (0.94 to 0.98) | 0.98 (0.96 to 0.99) |
| C3 | 0.96 (0.90 to 0.98) | 0.99 (0.99 to 0.99) | 0.91 (0.81 to 0.96) | 0.99 (0.98 to 0.99) | 0.99 (0.99 to 0.99) | 0.99 (0.99 to 0.99) |
| C4 | 0.98 (0.94 to 0.98) | 0.98 (0.96 to 0.99) | 0.95 (0.89 to 0.97) | 0.99 (0.97 to 0.99) | 0.99 (0.99 to 1.00) | 0.99 (0.99 to 1.00) |
| INTER-EXAMINER | ||||||
|---|---|---|---|---|---|---|
| Tmax | Tmin | Tmean | ||||
| Anterior Anatomical Position | ||||||
| LWL | LC | LWL | LC | LWL | LC | |
| Cup | 0.98 (0.94 to 0.99) | 0.99 (0.98 to 0.99) | 0.95 (0.84 to 0.98) | 0.87 (0.77 to 0.93) | 0.99 (0.99 to 0.99) | 0.99 (0.99 to 0.99) |
| C1 | 0.99 (0.99 to 0.99) | 0.98 (0.96 to 0.98) | 0.90 (0.69 to 0.99) | 0.85 (0.72 to 0.91) | 0.98 (0.95 to 0.99) | 0.98 (0.98 to 0.99) |
| C2 | 0.99 (0.97 to 0.99) | 0.97 (0.94 to 0.98) | 0.95 (0.84 to 0.98) | 0.88 (0.78 to 0.93) | 0.99 (0.98 to 0.99) | 0.98 (0.96 to 0.98) |
| C3 | 0.97 (0.92 to 0.99) | 0.97 (0.94 to 0.98) | 0.95 (0.86 to 0.98) | 0.91 (0.84 to 0.95) | 0.99 (0.98 to 0.99) | 0.98 (0.97 to 0.99) |
| C4 | 0.98 (0.95 to 0.99) | 0.93 (0.87 to 0.96) | 0.94 (0.81 to 0.98) | 0.92 (0.86 to 0.95) | 0.99 (0.98 to 0.99) | 0.96 (0.92 to 0.97) |
| Posterior Anatomical Position | ||||||
| Cup | 0.97 (0.91 to 0.99) | 0.96 (0.92 to 0.98) | 0.84 (0.75 to 0.95) | 0.88 (0.75 to 0.94) | 0.92 (0.76 to 0.97) | 0.95 (0.90 to 0.98) |
| C1 | 0.99 (0.99 to 0.99) | 0.95 (0.90 to 0.98) | 0.99 (0.99 to 0.99) | 0.90 (0.88 to 0.95) | 0.99 (0.98 to 0.99) | 0.95 (0.90 to 0.98) |
| C2 | 0.99 (0.99 to 0.99) | 0.95 (0.89 to 0.97) | 0.99 (0.99 to 0.99) | 0.90 (0.88 to 0.95) | 0.99 (0.98 to 0.99) | 0.95 (0.90 to 0.98) |
| C3 | 0.93 (0.85 to 0.96) | 0.91 (0.83 to 0.96) | 0.88 (0.75 to 0.94) | 0.92 (0.84 to 0.97) | 0.92 (0.82 to 0.96) | 0.91 (0.82 to 0.96) |
| C4 | 0.87 (0.76 to 0.95) | 0.88 (0.75 to 0.94) | 0.92 (0.84 to 0.96) | 0.93 (0.84 to 0.96) | 0.93 (0.85 to 0.96) | 0.92 (0.83 to 0.96) |
| Anterior Arm Abduction | ||||||
| Cup | 0.98 (0.75 to 0.99) | 0.99 (0.98 to 0.99) | 0.92 (0.89 to 0.99) | 0.93(0.86 to 0.96) | 0.99 (0.99 to 0.99) | 0.99 (0.99 to 0.99) |
| C1 | 0.99 (0.99 to 0.99) | 0.89 (0.84 to 0.92) | 0.99 (0.96 to 0.97) | 0.99 (0.98 to 0.99) | 0.99 (0.98 to 0.99) | 0.98 (0.97 to 0.99) |
| C2 | 0.99 (0.98 to 0.99) | 0.99 (0.99 to 0.99) | 0.99 (0.97 to 0.99) | 0.94 (0.88 to 0.97) | 0.99 (0.98 to 0.99) | 0.99 (0.99 to 0.99) |
| C3 | 0.99 (0.97 to 0.99) | 0.99 (0.88 to 0.99) | 0,95 (0.90 to 0.98) | 0.95 (0.89 to 0.97) | 0.99 (0.98 to 0.99) | 0.90 (0.81 to 0.96) |
| C4 | 0.97 (0.94 to 0.99) | 0.98 (0.95 to 0.97) | 0.95 (0.89 to 0.97) | 0.93 (0.84 to 0.96) | 0.93 (0.85 to 0.96) | 0.92 (0.83 to 0.96) |
| Posterior Anatomical Position | ||||||
| Cup | 0.94 (0.87 to 0.99) | 0.93 (0.85 to 0.96) | 0.90 (0.89 to 0.91) | 0.88 (0.75 to 0.94) | 0.92 (0.84 to 0.96) | 0.94 (0.88 to 0.97) |
| C1 | 0.93 (0.86 to 0.97) | 0.95 (0.89 to 0.97) | 0.88 (0.83 to 0.89) | 0.89 (0.78 to 0.95) | 0.93 (0.86 to 0.97) | 0.94 (0.88 to 0.97) |
| C2 | 0.93 (0.85 to 0.96) | 0,89 (0.77 to 0.95) | 0.88 (0.83 to 0.89) | 0.80 (0.78 to 0.90) | 0.92 (0.84 to 0.96) | 0.88 (0.76 to 0.95) |
| C3 | 0.86 (0.81 to 0.93) | 0,85 (0.79 to 0.93) | 0.86 (0.74 to 0.87) | 0.88 (0.74 to 0.94) | 0.86 (0.80 to 0.93) | 0.88 (0.76 to 0.94) |
| C4 | 0.93 (0.85 to 0.96) | 0.93 (0.86 to 0.97) | 0.89 (0.76 to 0.95) | 0.90 (0.79 to 0.95) | 0.93 (0.85 to 0.97) | 0.93 (0.86 to 0.97) |
Disclaimer/Publisher’s Note: The statements, opinions and data contained in all publications are solely those of the individual author(s) and contributor(s) and not of MDPI and/or the editor(s). MDPI and/or the editor(s) disclaim responsibility for any injury to people or property resulting from any ideas, methods, instructions or products referred to in the content. |
© 2024 by the authors. Licensee MDPI, Basel, Switzerland. This article is an open access article distributed under the terms and conditions of the Creative Commons Attribution (CC BY) license (https://creativecommons.org/licenses/by/4.0/).
Share and Cite
Gomes, V.M.d.S.A.; Tenório, N.; Silva, A.R.C.d.; Oliveira, L.R.P.; Silva, A.C.S.d.; Maia, J.N.; Brioschi, M.L.; Dantas, D. Reproducibility of Thermography for Measuring Skin Temperature of Upper Limbs in Breast Cancer Survivors. Biomedicines 2024, 12, 2465. https://doi.org/10.3390/biomedicines12112465
Gomes VMdSA, Tenório N, Silva ARCd, Oliveira LRP, Silva ACSd, Maia JN, Brioschi ML, Dantas D. Reproducibility of Thermography for Measuring Skin Temperature of Upper Limbs in Breast Cancer Survivors. Biomedicines. 2024; 12(11):2465. https://doi.org/10.3390/biomedicines12112465
Chicago/Turabian StyleGomes, Vanessa Maria da Silva Alves, Naiany Tenório, Ana Rafaela Cardozo da Silva, Laura Raynelle Patriota Oliveira, Ana Claúdia Souza da Silva, Juliana Netto Maia, Marcos Leal Brioschi, and Diego Dantas. 2024. "Reproducibility of Thermography for Measuring Skin Temperature of Upper Limbs in Breast Cancer Survivors" Biomedicines 12, no. 11: 2465. https://doi.org/10.3390/biomedicines12112465
APA StyleGomes, V. M. d. S. A., Tenório, N., Silva, A. R. C. d., Oliveira, L. R. P., Silva, A. C. S. d., Maia, J. N., Brioschi, M. L., & Dantas, D. (2024). Reproducibility of Thermography for Measuring Skin Temperature of Upper Limbs in Breast Cancer Survivors. Biomedicines, 12(11), 2465. https://doi.org/10.3390/biomedicines12112465

