Synthesis, Characterization, and Anticancer Activity of Phosphanegold(i) Complexes of 3-Thiosemicarbano-butan-2-one Oxime
Abstract
1. Introduction
2. Materials and Methods
2.1. General
2.2. Synthesis of Ligand (TBO)
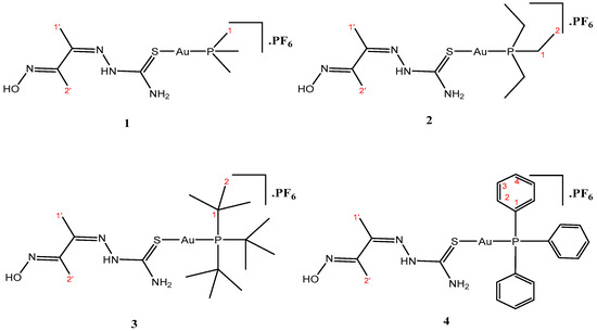
2.3. Synthesis of [Au(PR3)(TBO)]PF6 Complexes (1–4)
2.4. Cell Culture
2.5. Cell Viability Assay
2.6. Mitochondrial Membrane Potential (ΔΨm) Assay
2.7. ROS Assay
2.8. Quantitative Reverse Transcription-Polymerase Chain Reaction (qRT-PCR)
2.9. Solution Chemistry of Complexes (1–4)
3. Results
3.1. Preparation and FT-IR Characterization
3.2. NMR Characterization
3.3. Evaluation of Novel Complexes (1–4)
3.4. Mitochondrial Damage and Induction of Apoptosis by the Novel Complex 2
3.5. Induction of Mitochondrial ROS and Apoptosis by Complex 2
3.6. Complex 2 Induction of Apoptosis by Enhancing the Production of Proapoptotic Gene Expression and Reducing Antiapoptotic Genes in MDA-MB-231 Cells
3.7. Solution Chemistry of Complexes (1–4)
4. Discussion
5. Conclusions
Supplementary Materials
Author Contributions
Funding
Institutional Review Board Statement
Informed Consent Statement
Data Availability Statement
Conflicts of Interest
References
- Sergeant, N.; Vingtdeux, V.; Eddarkaoui, S.; Gay, M.; Evrard, C.; le Fur, N.; Laurent, C.; Caillierez, R.; Obriot, H.; Larchanché, P.E.; et al. New Piperazine Multi-Effect Drugs Prevent Neurofibrillary Degeneration and Amyloid Deposition, and Preserve Memory in Animal Models of Alzheimer’s Disease. Neurobiol. Dis. 2019, 129, 217–233. [Google Scholar] [CrossRef] [PubMed]
- Siegel, R.L.; Miller, K.D.; Jemal, A. Cancer Statistics, 2016. CA Cancer J. Clin. 2016, 66, 7–30. [Google Scholar] [CrossRef] [PubMed]
- Park, G.Y.; Wilson, J.J.; Song, Y.; Lippard, S.J. Phenanthriplatin, a Monofunctional DNA-Binding Platinum Anticancer Drug Candidate with Unusual Potency and Cellular Activity Profile. Proc. Natl. Acad. Sci. USA 2012, 109, 11987–11992. [Google Scholar] [CrossRef] [PubMed]
- Galanski, M.; Jakupec, M.; Keppler, B. Update of the Preclinical Situation of Anticancer Platinum Complexes: Novel Design Strategies and Innovative Analytical Approaches. Curr. Med. Chem. 2005, 12, 2075–2094. [Google Scholar] [CrossRef]
- Cerri, S.; Piccolini, V.M.; Santin, G.; Bottone, M.G.; de Pascali, S.A.; Migoni, D.; Iadarola, P.; Fanizzi, F.P.; Bernocchi, G. The Developmental Neurotoxicity Study of Platinum Compounds. Effects of Cisplatin versus a Novel Pt(II) Complex on Rat Cerebellum. Neurotoxicol. Teratol. 2011, 33, 273–281. [Google Scholar] [CrossRef]
- Galluzzi, L.; Senovilla, L.; Vitale, I.; Michels, J.; Martins, I.; Kepp, O.; Castedo, M.; Kroemer, G. Molecular Mechanisms of Cisplatin Resistance. Oncogene 2012, 31, 1869–1883. [Google Scholar] [CrossRef]
- Argyriou, A.A.; Polychronopoulos, P.; Iconomou, G.; Chroni, E.; Kalofonos, H.P. A Review on Oxaliplatin-Induced Peripheral Nerve Damage. Cancer Treat. Rev. 2008, 34, 368–377. [Google Scholar] [CrossRef]
- Bruijnincx, P.C.; Sadler, P.J. New Trends for Metal Complexes with Anticancer Activity. Curr. Opin. Chem. Biol. 2008, 12, 197–206. [Google Scholar] [CrossRef]
- Casas, J.S.; Garcia-Tasende, M.S.; Sordo, J. Main Group Metal Complexes of Semicarbazones and Thiosemicarbazones. A Structural Review. Coord. Chem. Rev. 2000, 209, 197–261. Available online: https://www.scirp.org/(S(351jmbntvnsjt1aadkposzje))/reference/referencespapers.aspx?referenceid=1749909 (accessed on 4 November 2022). [CrossRef]
- Lobana, T.S.; Sharma, R.; Bawa, G.; Khanna, S. Bonding and Structure Trends of Thiosemicarbazone Derivatives of Metals—An Overview. Coord. Chem. Rev. 2009, 253, 977–1055. Available online: https://www.scirp.org/reference/ReferencesPapers.aspx?ReferenceID=1819711 (accessed on 4 November 2022). [CrossRef]
- Yildiz, M.; Ünver, H.; Dülger, B.; Erdener, D.; Ocak, N.; Erdönmez, A.; Durlu, T.N. Spectroscopic Study, Antimicrobial Activity and Crystal Structures of N-(2-Hydroxy-5-Nitrobenzalidene)4-Aminomorpholine and N-(2-Hydroxy-1-Naphthylidene)4-Aminomorpholine. J. Mol. Struct. 2005, 738, 253–260. [Google Scholar] [CrossRef]
- Mishra, D.; Naskar, S.; Drew, M.G.B.; Chattopadhyay, S.K. Synthesis, Spectroscopic and Redox Properties of Some Ruthenium(II) Thiosemicarbazone Complexes: Structural Description of Four of These Complexes. Inorg. Chim. Acta 2006, 359, 585–592. [Google Scholar] [CrossRef]
- Basuli, F.; Peng, S.M.; Bhattacharya, S. Unusual Coordination Mode of Thiosemicarbazone Ligands. A Search for the Origin. Inorg. Chem. 2000, 39, 1120–1127. [Google Scholar] [CrossRef]
- Beraldo, H.; Gambino, D. The Wide Pharmacological Versatility of Semicarbazones, Thiosemicarbazones and Their Metal Complexes. Mini-Rev. Med. Chem. 2004, 4, 31–39. Available online: https://www.scirp.org/reference/referencespapers.aspx?referenceid=2312425 (accessed on 5 November 2022).
- West, D.X.; Liberta, A.E.; Padhye, S.B.; Chikate, R.C.; Sonawane, P.B.; Kumbhar, A.S.; Yerande, R.G. Thiosemicarbazone Complexes of Copper(II): Structural and Biological Studies. Coord. Chem. Rev. 1993, 123, 49–71. [Google Scholar] [CrossRef]
- Prabhakaran, R.; Kalaivani, P.; Poornima, P.; Dallemer, F.; Huang, R.; Vijaya Padma, V.; Natarajan, K. Synthesis, DNA/Protein Binding and in Vitro Cytotoxic Studies of New Palladium Metallothiosemicarbazones. Bioorg. Med. Chem. 2013, 21, 6742–6752. [Google Scholar] [CrossRef]
- El-Ayaan, U.; Youssef, M.M.; Al-Shihry, S. Mn(II), Co(II), Zn(II), Fe(III) and U (VI) Complexes of 2-Acetylpyridine 4N-(2-Pyridyl) Thiosemicarbazone (HAPT); Structural, Spectroscopic and Biological Studies. J. Mol. Struct. 2009, 936, 213–219. [Google Scholar] [CrossRef]
- García-Tojal, J.; García-Orad, A.; Díaz, A.A.; Serra, J.L.; Urtiaga, M.K.; Arriortua, M.I.; Rojo, T. Biological activity of complexes derived from pyridine-2-carbaldehyde thiosemicarbazone: Structure of [Co(C7H7N4S)2][NCS]. J. Inorg. Biochem. 2001, 84, 271–278. [Google Scholar] [CrossRef]
- Pelosi, G. Thiosemicarbazone Metal Complexes: From Structure to Activity. Open Crystallogr. J. 2010, 3, 16–28. [Google Scholar] [CrossRef]
- French, F.A.; Blanz, E.J. The Carcinostatic Activity of x-(N)-Heterocyclic Carboxaldehyde Thiosemicarbazones. I. Isoquinoline-1-Carboxaldehyde Thiosemicarbazone. Cancer Res. 1965, 25, 1454–1458. Available online: https://www.scirp.org/reference/ReferencesPapers.aspx?ReferenceID=1823395 (accessed on 5 November 2022).
- Hosseini-Yazdi, S.A.; Mirzaahmadi, A.; Khandar, A.A.; Eigner, V.; Dušek, M.; Mahdavi, M.; Soltani, S.; Lotfipour, F.; White, J. Reactions of Copper(II), Nickel(II), and Zinc(II) Acetates with a New Water-Soluble 4-Phenylthiosemicarbazone Schiff Base Ligand: Synthesis, Characterization, Unexpected Cyclization, Antimicrobial, Antioxidant, and Anticancer Activities. Polyhedron 2017, 124, 156–165. [Google Scholar] [CrossRef]
- Yuan, J.; Lovejoy, D.B.; Richardson, D.R. Novel Di-2-Pyridyl–Derived Iron Chelators with Marked and Selective Antitumor Activity: In Vitro and in Vivo Assessment. Blood 2004, 104, 1450–1458. [Google Scholar] [CrossRef] [PubMed]
- Cytotoxicity of Copper and Cobalt Complexes of Furfural Semicarbazone and Thiosemicarbazone Derivatives in Murine and Human Tumor Cell Lines—PubMed. Available online: https://pubmed.ncbi.nlm.nih.gov/11189872/ (accessed on 5 November 2022).
- Shao, J.; Zhou, B.; di Bilio, A.J.; Zhu, L.; Wang, T.; Qi, C.; Shih, J.; Yen, Y. A Ferrous-Triapine Complex Mediates Formation of Reactive Oxygen Species That Inactivate Human Ribonucleotide Reductase. Mol. Cancer Ther. 2006, 5, 586–592. [Google Scholar] [CrossRef] [PubMed]
- Brockman, R.; Sidwell, R.; Arnett, G.; Shaddix, S. Heterocyclic Thiosemicarbazones Correlation between Structure, Inhibition of Ribonucleotide Reductase, and Inhibition of DNA Viruses. Exp. Biol. Med. 1970, 133, 609–614. Available online: https://www.scirp.org/(S(351jmbntvnsjt1aadkposzje))/reference/referencespapers.aspx?referenceid=2312426 (accessed on 5 November 2022). [CrossRef]
- Nomiya, K.; Yamamoto, S.; Noguchi, R.; Yokoyama, H.; Kasuga, N.C.; Ohyama, K.; Kato, C. Ligand-Exchangeability of 2-Coordinate Phosphinegold(I) Complexes with AuSP and AuNP Cores Showing Selective Antimicrobial Activities against Gram-Positive Bacteria. Crystal Structures of [Au(2-Hmpa)(PPh3)] and [Au(6-Hmna)(PPh3)] (2-H2mpa=2-Mercaptopropionic Acid, 6-H2mna=6-Mercaptonicotinic Acid). J. Inorg. Biochem. 2003, 95, 208–220. [Google Scholar] [CrossRef]
- Bostancoǧlu, R.B.; Işik, K.; Genç, H.; Benkli, K.; Koparal, A.T. Studies on the Cytotoxic, Apoptotic and Antitumoral Effects of Au(III) and Pt(II) Complexes of 1, 10-Phenanthroline on V79 379A and A549 Cell Lines. J. Enzym. Inhib. Med. Chem. 2012, 27, 458–466. [Google Scholar] [CrossRef][Green Version]
- Sulaiman, A.A.A.; Ahmad, S.; Mujahid Hashimi, S.; Alqosaibi, A.I.; Peedikakkal, A.M.P.; Alhoshani, A.; Alsaleh, N.B.; Isab, A.A. Novel Dinuclear Gold(i) Complexes Containing Bis(Diphenylphosphano)Alkanes and (Biphenyl-2-Yl)(Di-Tert-Butyl)Phosphane: Synthesis, Structural Characterization and Anticancer Activity. New J. Chem. 2022, 46, 16821–16831. [Google Scholar] [CrossRef]
- Abogosh, A.K.; Alghanem, M.K.; Ahmad, S.; Al-Asmari, A.; As Sobeai, H.M.; Sulaiman, A.A.A.; Fettouhi, M.; Popoola, S.A.; Alhoshani, A.; Isab, A.A. A Novel Cyclic Dinuclear Gold(i) Complex Induces Anticancer Activity via an Oxidative Stress-Mediated Intrinsic Apoptotic Pathway in MDA-MB-231 Cancer Cells. Dalton Trans. 2022, 51, 2760–2769. [Google Scholar] [CrossRef]
- Adokoh, C.K.; Darkwa, J.; Kinfe, H.H. Synthesis, Characterization and Anticancer Evaluation of Phosphinogold(I) Thiocarbohydrate Complexes. Polyhedron 2017, 138, 57–67. [Google Scholar] [CrossRef]
- Reddy, T.S.; Privér, S.H.; Mirzadeh, N.; Bhargava, S.K. Anti-Cancer Gold(I) Phosphine Complexes: Cyclic Trimers and Tetramers Containing the P-Au-P Moiety. J. Inorg. Biochem. 2017, 175, 1–8. [Google Scholar] [CrossRef]
- Marzo, T.; Massai, L.; Pratesi, A.; Stefanini, M.; Cirri, D.; Magherini, F.; Becatti, M.; Landini, I.; Nobili, S.; Mini, E.; et al. Replacement of the Thiosugar of Auranofin with Iodide Enhances the Anticancer Potency in a Mouse Model of Ovarian Cancer. ACS Med. Chem. Lett. 2019, 10, 656–660. [Google Scholar] [CrossRef] [PubMed]
- Ang, K.P.; Chan, P.F.; Hamid, R.A. Antiproliferative Activity Exerted by Tricyclohexylphosphanegold(I) n-Mercaptobenzoate against MCF-7 and A2780 Cell Lines: The Role of P53 Signaling Pathways. BioMetals 2020, 34, 141–160. [Google Scholar] [CrossRef] [PubMed]
- Cui, X.Y.; Park, S.H.; Park, W.H. Auranofin Inhibits the Proliferation of Lung Cancer Cells via Necrosis and Caspase-dependent Apoptosis. Oncol. Rep. 2020, 44, 2715–2724. [Google Scholar] [CrossRef] [PubMed]
- Marzano, C.; Gandin, V.; Folda, A.; Scutari, G.; Bindoli, A.; Rigobello, M.P. Inhibition of Thioredoxin Reductase by Auranofin Induces Apoptosis in Cisplatin-Resistant Human Ovarian Cancer Cells. Free Radic. Biol. Med. 2007, 42, 872–881. [Google Scholar] [CrossRef]
- Onodera, T.; Momose, I.; Kawada, M. Potential Anticancer Activity of Auranofin. Chem. Pharm. Bull. 2019, 67, 186–191. [Google Scholar] [CrossRef]
- Landini, I.; Massai, L.; Cirri, D.; Gamberi, T.; Paoli, P.; Messori, L.; Mini, E.; Nobili, S. Structure-Activity Relationships in a Series of Auranofin Analogues Showing Remarkable Antiproliferative Properties. J. Inorg. Biochem. 2020, 208, 111079. [Google Scholar] [CrossRef]
- Tavares, T.T.; Azevedo, G.C.; Garcia, A.; Carpanez, A.G.; Lewer, P.M.; Paschoal, D.; Müller, B.L.; dos Santos, H.F.; Matos, R.C.; Silva, H.; et al. Gold(I) Complexes with Aryl-Thiosemicarbazones: Molecular Modeling, Synthesis, Cytotoxicity and TrxR Inhibition. Polyhedron 2017, 132, 95–104. [Google Scholar] [CrossRef]
- González-Barcia, L.M.; Fernández-Fariña, S.; Rodríguez-Silva, L.; Bermejo, M.R.; González-Noya, A.M.; Pedrido, R. Comparative Study of the Antitumoral Activity of Phosphine-Thiosemicarbazone Gold(I) Complexes Obtained by Different Methodologies. J. Inorg. Biochem. 2020, 203, 110931. [Google Scholar] [CrossRef]
- El-Tabl, A.S.; El-Wahed, M.M.A.; Rezk, A.M.S.M. Cytotoxic Behavior and Spectroscopic Characterization of Metal Complexes of Ethylacetoacetate Bis(Thiosemicarbazone) Ligand. Spectrochim. Acta A Mol. Biomol. Spectrosc. 2014, 117, 772–788. [Google Scholar] [CrossRef]
- Ateş, D.; Gulcan, M.; Gümüş, S.; Şekerci, M.; Özdemir, S.; Şahin, E.; Çolak, N. Synthesis of Bis(Thiosemicarbazone) Derivatives: Definition, Crystal Structure, Biological Potential and Computational Analysis. Phosphorus Sulfur Silicon Relat. Elem. 2018, 193, 14–22. [Google Scholar] [CrossRef]
- Jouad, E.M.; Larcher, G.; Allain, A.; Riou, A.; Bouet, G.M.; Khan, M.A.; Thanh, X. Do Synthesis, Structure and Biological Activity of Nickel(II) Complexes of 5-Methyl 2-Furfural Thiosemicarbazone. J. Inorg. Biochem. 2001, 86, 565–571. [Google Scholar] [CrossRef] [PubMed]
- El-Tabl, A.S.; El-Saied, F.A.; Plass, W.; Al-Hakimi, A.N. Synthesis, Spectroscopic Characterization and Biological Activity of the Metal Complexes of the Schiff Base Derived from Phenylaminoacetohydrazide and Dibenzoylmethane. Spectrochim. Acta A Mol. Biomol. Spectrosc. 2008, 71, 90–99. [Google Scholar] [CrossRef] [PubMed]
- Rao, C.N.R.; Venkataraghavan, R. The C=S Stretching Frequency and the “-N-C=S Bands” in the Infrared. Spectrochim. Acta 1962, 18, 541–547. [Google Scholar] [CrossRef]
- Li, S.; Khan, M.H.; Wang, X.; Cai, M.; Zhang, J.; Jiang, M.; Zhang, Z.; Wen, X.A.; Liang, H.; Yang, F. Synthesis of a Series of Novel In(III) 2,6-Diacetylpyridine Bis(Thiosemicarbazide) Complexes: Structure, Anticancer Function and Mechanism. Dalton Trans. 2020, 49, 17207–17220. [Google Scholar] [CrossRef] [PubMed]
- Jeragh, B.; El-Asmy, A.A. Coordination of Fe(III), Co(II), Ni(II), Cu(II), Zn(II), Cd(II), Hg(II), Pd(II) and Pt(II) with 2,5-Hexanedione Bis(Thiosemicarbazone), HBTS: Crystal Structure of Cis-[Pd(HBTS)]Cl2 and 1-(2,5-Dimethyl-1H-Pyrrol-Yl)-Thiourea. Spectrochim. Acta A Mol. Biomol. Spectrosc. 2014, 130, 546–552. [Google Scholar] [CrossRef] [PubMed]
- Pedrido, R.; González-Noya, A.M.; Romero, M.J.; Martínez-Calvo, M.; Vázquez López, M.; Gómez-Fórneas, E.; Zaragoza, G.; Bermejo, M.R. Pentadentate Thiosemicarbazones as Versatile Chelating Systems. A Comparative Structural Study of Their Metallic Complexes. Dalton Trans. 2008, 47, 6776–6787. [Google Scholar] [CrossRef] [PubMed]
- Hosseini-Yazdi, S.A.; Mirzaahmadi, A.; Khandar, A.A.; Eigner, V.; Dušek, M.; Lotfipour, F.; Mahdavi, M.; Soltani, S.; Dehghan, G. Synthesis, Characterization and in Vitro Biological Activities of New Water-Soluble Copper(II), Zinc(II), and Nickel(II) Complexes with Sulfonato-Substituted Schiff Base Ligand. Inorg. Chim. Acta 2017, 458, 171–180. [Google Scholar] [CrossRef]
- Dickerson, T.; Jauregui, C.E.; Teng, Y. Friend or Foe? Mitochondria as a Pharmacological Target in Cancer Treatment. Future Med. Chem. 2017, 9, 2197–2210. [Google Scholar] [CrossRef]
- Carneiro, B.A.; El-Deiry, W.S.; El-Deiry, W. Targeting Apoptosis in Cancer Therapy. Nat. Rev. Clin. Oncol. 2020, 17, 395–417. [Google Scholar] [CrossRef]
- Alhoshani, A.; Sulaiman, A.A.A.; Sobeai, H.M.A.; Qamar, W.; Alotaibi, M.; Alhazzani, K.; Monim-Ul-mehboob, M.; Ahmad, S.; Isab, A.A. Anticancer Activity and Apoptosis Induction of Gold(III) Complexes Containing 2,2′-Bipyridine-3,3′-Dicarboxylic Acid and Dithiocarbamates. Molecules 2021, 26, 3973. [Google Scholar] [CrossRef]
- Zahedifard, M.; Faraj, F.L.; Paydar, M.; Looi, C.Y.; Hajrezaei, M.; Hasanpourghadi, M.; Kamalidehghan, B.; Majid, N.A.; Ali, H.M.; Abdulla, M.A. Synthesis, Characterization and Apoptotic Activity of Quinazolinone Schiff Base Derivatives toward MCF-7 Cells via Intrinsic and Extrinsic Apoptosis Pathways. Sci. Rep. 2015, 5, 11544. [Google Scholar] [CrossRef] [PubMed]
- Ray, P.D.; Huang, B.-W.; Tsuji, Y. Reactive Oxygen Species (ROS) Homeostasis and Redox Regulation in Cellular Signaling. Cell Signal. 2012, 24, 981–990. [Google Scholar] [CrossRef] [PubMed]
- Azmanova, M.; Pitto-Barry, A. Oxidative Stress in Cancer Therapy: Friend or Enemy? ChemBioChem 2022, 23, e202100641. [Google Scholar] [CrossRef]
- Jeong, S.-Y.; Seol, D.-W. The Role of Mitochondria in Apoptosis. J. Biochem. Mol. Biol. 2008, 41, 11–22. [Google Scholar] [CrossRef] [PubMed]
- Morris, G.; Walker, A.J.; Berk, M.; Maes, M.; Puri, B.K. Cell Death Pathways: A Novel Therapeutic Approach for Neuroscientists. Mol. Neurobiol. 2018, 55, 5767–5786. [Google Scholar] [CrossRef] [PubMed]
- Alhoshani, A.; Alatawi, F.O.; Fo, A.-A.; Alanazi, F.E.; Attafi, I.M.; Zeidan, A.; Zeidan, A.; Agouni, A.; El Gamal, H.; Shamoon, L.S.; et al. BCL-2 Inhibitor Venetoclax Induces Autophagy-Associated Cell Death, Cell Cycle Arrest, and Apoptosis in Human Breast Cancer Cells. Oncotargets Ther. 2020, 13, 13357–13370. [Google Scholar] [CrossRef]
- Campbell, K.J.; Tait, S.W.G. Targeting BCL-2 Regulated Apoptosis in Cancer. Open Biol. 2018, 8, 180002. [Google Scholar] [CrossRef]
- Ramesh, P.; Medema, J.P. BCL-2 Family Deregulation in Colorectal Cancer: Potential for BH3 Mimetics in Therapy. Apoptosis 2020, 25, 305–320. [Google Scholar] [CrossRef]
- Youle, R.J.; Strasser, A. The BCL-2 Protein Family: Opposing Activities That Mediate Cell Death. Nat. Rev. Mol. Cell Biol. 2008, 9, 47–59. [Google Scholar] [CrossRef]
- Rosa, N.; Speelman-Rooms, F.; Parys, J.B.; Bultynck, G. Modulation of Ca2+ Signaling by Antiapoptotic Bcl-2 versus Bcl-XL: From Molecular Mechanisms to Relevance for Cancer Cell Survival. Biochim. Biophys. Acta Rev. Cancer 2022, 1877, 188791. [Google Scholar] [CrossRef]
- Al-Khayal, K.; Vaali-Mohammed, M.-A.; Elwatidy, M.; Bin Traiki, T.; Al-Obeed, O.; Azam, M.; Khan, Z.; Abdulla, M.; Ahmad, R. Correction to: A Novel Coordination Complex of Platinum (PT) Induces Cell Death in Colorectal Cancer by Altering Redox Balance and Modulating MAPK Pathway. BMC Cancer 2020, 20, 834. [Google Scholar] [CrossRef] [PubMed]
- Bessou, M.; Lopez, J.; Gadet, R.; Deygas, M.; Popgeorgiev, N.; Poncet, D.; Nougarède, A.; Billard, P.; Mikaelian, I.; Gonzalo, P.; et al. The Apoptosis Inhibitor Bcl-XL Controls Breast Cancer Cell Migration through Mitochondria-Dependent Reactive Oxygen Species Production. Oncogene 2020, 39, 3056–3074. [Google Scholar] [CrossRef] [PubMed]







| Compounds | OH | NH | NH2 | H1′ | H2′ | H1 | H2 | H3 | H4 |
|---|---|---|---|---|---|---|---|---|---|
| TBO | 11.57 | 10.19 | 8.34, 7.75 | 2.08 | 1.99 | - | - | - | - |
| 1 | 11.84 | 10.94 | 9.09, 8.40 | 2.14 | 2.02 | 1.63 | - | - | - |
| 2 | 11.76 | 10.80 | 8.96, 8.28 | 2.13 | 2.02 | 1.94 | 1.12 | - | - |
| 3 | 11.79 | 10.95 | 9.11, 8.42 | 2.14 | 2.02 | - | 1.48 | - | - |
| 4 | 11.67 | 10.55 | 8.72, 8.06 | 2.10 | 2.01 | - | 7.56 | 7.59 | 7.61 |
| Compounds | C=S | C=N–OH | C=N–N | C1′ | C2′ | C1 | C2 | C3 | C4 |
|---|---|---|---|---|---|---|---|---|---|
| TBO | 179.00 | 154.72 | 147.46 | 11.76 | 9.38 | - | - | - | - |
| 1 | 174.00 | 154.59 | 152.77 | 12.38 | 9.52 | 14.71, 14.33 | - | - | - |
| 2 | 174.04 | 154.50 | 152.45 | 12.28 | 9.42 | 16.97, 16.61 | 8.97 | - | - |
| 3 | 174.02 | 154.50 | 152.08 | 12.26 | 9.41 | 29.55 | 31.80 | - | - |
| 4 | 176.59 | 154.60 | 149.73 | 12.00 | 9.38 | 133.99–129.66 | |||
| IC50 in µM (SD) | |||
|---|---|---|---|
| HCT116 | MDA-MB-231 | B16 | |
| Cisplatin | 34.57 ± 1.29 | 40.05 ± 1.84 | 69.29 ± 2.1 |
| TBO | >100 | >100 | >100 |
| 1 | >100 | 13.29 ± 4.76 | 38.72 ± 3.18 |
| 2 | 18.55 ± 2.07 | 4.83 ± 2.03 | 2.604 ± 1.01 |
| 3 | 20.59 ± 1.13 | 5.59 ± 1.29 | 7.493 ± 2.09 |
| 4 | 14.37 ± 1.84 | 7.50 ± 1.82 | 6.592 ± 2.92 |
Disclaimer/Publisher’s Note: The statements, opinions and data contained in all publications are solely those of the individual author(s) and contributor(s) and not of MDPI and/or the editor(s). MDPI and/or the editor(s) disclaim responsibility for any injury to people or property resulting from any ideas, methods, instructions or products referred to in the content. |
© 2023 by the authors. Licensee MDPI, Basel, Switzerland. This article is an open access article distributed under the terms and conditions of the Creative Commons Attribution (CC BY) license (https://creativecommons.org/licenses/by/4.0/).
Share and Cite
Zarewa, S.A.; Binobaid, L.; Sulaiman, A.A.A.; Sobeai, H.M.A.; Alotaibi, M.; Alhoshani, A.; Isab, A.A. Synthesis, Characterization, and Anticancer Activity of Phosphanegold(i) Complexes of 3-Thiosemicarbano-butan-2-one Oxime. Biomedicines 2023, 11, 2512. https://doi.org/10.3390/biomedicines11092512
Zarewa SA, Binobaid L, Sulaiman AAA, Sobeai HMA, Alotaibi M, Alhoshani A, Isab AA. Synthesis, Characterization, and Anticancer Activity of Phosphanegold(i) Complexes of 3-Thiosemicarbano-butan-2-one Oxime. Biomedicines. 2023; 11(9):2512. https://doi.org/10.3390/biomedicines11092512
Chicago/Turabian StyleZarewa, Sani A., Lama Binobaid, Adam A. A. Sulaiman, Homood M. As Sobeai, Moureq Alotaibi, Ali Alhoshani, and Anvarhusein A. Isab. 2023. "Synthesis, Characterization, and Anticancer Activity of Phosphanegold(i) Complexes of 3-Thiosemicarbano-butan-2-one Oxime" Biomedicines 11, no. 9: 2512. https://doi.org/10.3390/biomedicines11092512
APA StyleZarewa, S. A., Binobaid, L., Sulaiman, A. A. A., Sobeai, H. M. A., Alotaibi, M., Alhoshani, A., & Isab, A. A. (2023). Synthesis, Characterization, and Anticancer Activity of Phosphanegold(i) Complexes of 3-Thiosemicarbano-butan-2-one Oxime. Biomedicines, 11(9), 2512. https://doi.org/10.3390/biomedicines11092512

