A Prospective Cohort Study Assessing the Relationship between Plasma Levels of Osimertinib and Treatment Efficacy and Safety
Abstract
1. Introduction
2. Methods
2.1. Study Design
2.2. Patients
2.3. Procedures
2.4. Measuring of Plasma and CSF Concentration
2.5. Outcomes
2.6. Case Number Setting and Statistical Analysis
3. Results
3.1. Patients Characteristics and Clinical Results
3.2. Osimertinib and AZ5104 Concentration
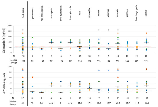
3.3. P1 Trough Level and Adverse Events
3.4. P1 Trough Level and Treatment Efficacy
3.5. P2 Trough at the Time of Adverse Events
4. Discussion
5. Conclusions
Supplementary Materials
Author Contributions
Funding
Institutional Review Board Statement
Informed Consent Statement
Data Availability Statement
Acknowledgments
Conflicts of Interest
References
- Ramalingam, S.S.; Vansteenkiste, J.; Planchard, D.; Cho, B.C.; Gray, J.E.; Ohe, Y.; Zhou, C.; Reungwetwattana, T.; Cheng, Y.; Chewaskulyong, B.; et al. Overall Survival with Osimertinib in Untreated, EGFR-Mutated Advanced NSCLC. N. Engl. J. Med. 2020, 382, 41–50. [Google Scholar] [CrossRef]
- Papadimitrakopoulou, V.A.; Mok, T.S.; Han, J.Y.; Ahn, M.J.; Delmonte, A.; Ramalingam, S.S.; Kim, S.W.; Shepherd, F.A.; Laskin, J.; He, Y.; et al. Osimertinib versus platinum-pemetrexed for patients with EGFR T790M advanced NSCLC and progression on a prior EGFR-tyrosine kinase inhibitor: AURA3 overall survival analysis. Ann. Oncol. 2020, 31, 1536–1544. [Google Scholar] [CrossRef]
- Planchard, D.; Brown, K.H.; Kim, D.W.; Kim, S.W.; Ohe, Y.; Felip, E.; Leese, P.; Cantarini, M.; Vishwanathan, K.; Janne, P.A.; et al. Osimertinib Western and Asian clinical pharmacokinetics in patients and healthy volunteers: Implications for formulation, dose, and dosing frequency in pivotal clinical studies. Cancer Chemother. Pharmacol. 2016, 77, 767–776. [Google Scholar] [CrossRef]
- Cross, D.A.; Ashton, S.E.; Ghiorghiu, S.; Eberlein, C.; Nebhan, C.A.; Spitzler, P.J.; Orme, J.P.; Finlay, M.R.; Ward, R.A.; Mellor, M.J.; et al. AZD9291, an irreversible EGFR TKI, overcomes T790M-mediated resistance to EGFR inhibitors in lung cancer. Cancer Discov. 2014, 4, 1046–1061. [Google Scholar] [CrossRef] [PubMed]
- Dickinson, P.A.; Cantarini, M.V.; Collier, J.; Frewer, P.; Martin, S.; Pickup, K.; Ballard, P. Metabolic Disposition of Osimertinib in Rats, Dogs, and Humans: Insights into a Drug De-signed to Bind Covalently to a Cysteine Residue of Epidermal Growth Factor Receptor. Drug Metab. Dispos. 2016, 44, 1201–1212. [Google Scholar] [CrossRef] [PubMed]
- Liao, D.; Yao, D.; Liu, N.; Cao, L.; Xiang, D.; Yang, N.; Zhang, Y.; Jiang, W.; Zhou, C. Correlation of plasma erlotinib trough concentration with skin rash in Chinese NSCLC patients har-boring exon 19 deletion mutation. Cancer Chemother. Pharmacol. 2018, 82, 551–559. [Google Scholar] [CrossRef]
- Nakao, K.; Kobuchi, S.; Marutani, S.; Iwazaki, A.; Tamiya, A.; Isa, S.; Okishio, K.; Kanazu, M.; Tamiya, M.; Hirashima, T.; et al. Population pharmacokinetics of afatinib and exposure-safety relationships in Japanese patients with EGFR mutation-positive non-small cell lung cancer. Sci. Rep. 2019, 9, 18202. [Google Scholar] [CrossRef]
- Hirose, T.; Fujita, K.; Kusumoto, S.; Oki, Y.; Murata, Y.; Sugiyama, T.; Ishida, H.; Shirai, T.; Nakashima, M.; Yamaoka, T.; et al. As-sociation of pharmacokinetics and pharmacogenomics with safety and efficacy of gefitinib in patients with EGFR mutation posi-tive advanced non-small cell lung cancer. Lung Cancer 2016, 93, 69–76. [Google Scholar] [CrossRef]
- Xin, S.; Zhao, Y.; Wang, X.; Huang, Y.; Zhang, J.; Guo, Y.; Li, J.; Li, H.; Ma, Y.; Chen, L.; et al. The Dissociation of Gefitinib Trough Concentration and Clinical Outcome in NSCLC Patients with EGFR Sensitive Mutations. Sci. Rep. 2015, 5, 12675. [Google Scholar] [CrossRef] [PubMed]
- Nakamura, Y.; Sano, K.; Soda, H.; Takatani, H.; Fukuda, M.; Nagashima, S.; Hayashi, T.; Oka, M.; Tsukamoto, K.; Kohno, S. Pharmacokinetics of gefitinib predicts antitumor activity for advanced non-small cell lung cancer. J. Thorac. Oncol. 2010, 5, 1404–1409. [Google Scholar] [CrossRef]
- Mizoguchi, K.; Nakamura, Y.; Sano, K.; Sato, S.; Ikegami, Y.; Motoshima, K.; Takemoto, S.; Ogawara, D.; Senju, H.; Sugasaki, N.; et al. Pharmacokinetic parameters of gefitinib predict efficacy and toxicity in patients with advanced non-small cell lung cancer harboring EGFR mutations. Cancer Chemother. Pharmacol. 2016, 78, 377–382. [Google Scholar] [CrossRef] [PubMed]
- Motoshima, K.; Nakamura, Y.; Sano, K.; Ikegami, Y.; Ikeda, T.; Mizoguchi, K.; Takemoto, S.; Fukuda, M.; Nagashima, S.; Iida, T. Phase II trial of erlotinib in patients with advanced nonsmallcell lung cancer harboring epi-dermal growth factor receptor mutations: Additive analysis of pharmacokinetics. Cancer Chemother. Pharmacol. 2013, 72, 1299–1304. [Google Scholar] [CrossRef] [PubMed][Green Version]
- Ma, Y.; Xin, S.; Lin, Q.; Zhuang, W.; Zhao, Y.; Zhu, X.; Zhao, H.; Huang, M.; Xun, X.; Yang, Y.; et al. The analysis of pharmacokinetic and pharmacogenomic impact on gefitinib efficacy in advanced non-small cell lung cancer patients: Results from a prospective cohort study. Ann. Transl. Med. 2019, 7, 806. [Google Scholar] [CrossRef] [PubMed]
- Agema, B.C.; Veerman, G.D.M.; Steendam, C.M.J.; Lanser, D.A.C.; Preijers, T.; van der Leest, C.; Koch, B.C.P.; Dingemans, A.C.; Mathijssen, R.H.J.; Koolen, S.L.W. Improving the tolerability of osimertinib by identifying its toxic limit. Ther. Adv. Med. Oncol. 2022, 14, 17588359221103212. [Google Scholar] [CrossRef]
- Rodier, T.; Puszkiel, A.; Cardoso, E.; Balakirouchenane, D.; Narjoz, C.; Arrondeau, J.; Fallet, V.; Khoudour, N.; Guidi, M.; Vidal, M. Exposure-Response Analysis of Osimertinib in Patients with Advanced Non-Small-Cell Lung Cancer. Pharmaceutics 2022, 14, 1844. [Google Scholar] [CrossRef]
- Boosman, R.J.; Jebbink, M.; Veldhuis, W.B.; Groenland, S.L.; van Veggel, B.; Moeskops, P.; de Langen, A.J.; Beijnen, J.H.; Smit, E.F.; Huitema, A.D.R. Exposure-Response Analysis of Osimertinib in EGFR Mutation Positive Non-Small Cell Lung Cancer Patients in a Real-Life Setting. Pharm. Res. 2022, 39, 2507–2514. [Google Scholar] [CrossRef]
- Pilla Reddy, V.; Walker, M.; Sharma, P.; Ballard, P.; Vishwanathan, K. Development, Verification, and Prediction of Osimertinib Drug-Drug Interactions Using PBPK Modeling Approach to Inform Drug Label. CPT Pharmacomet. Syst. Pharmacol. 2018, 7, 321–330. [Google Scholar] [CrossRef]
- Ishikawa, E.; Yokoyama, Y.; Chishima, H.; Kasai, H.; Kuniyoshi, O.; Kimura, M.; Hakamata, J.; Nakada, H.; Suehiro, N.; Nakaya, N.; et al. Population Pharmacokinetics, Pharmacogenomics, and Adverse Events of Osimertinib and its Two Active Metabolites, AZ5104 and AZ7550, in Japanese Patients with Advanced Non-small Cell Lung Cancer: A Prospective Observational Study. Investig. New Drugs 2023, 41, 122–133. [Google Scholar] [CrossRef]
- Miura, M.; Sato, K.; Miura, H.; Niioka, T.; Kobayashi, H.; Narita, C.; Ito, H. A limited sampling strategy for estimation of the area under the plasma concentration-time curve of gefitinib. Ther. Drug Monit. 2014, 36, 24–29. [Google Scholar] [CrossRef]
- Janne, P.A.; Yang, J.C.; Kim, D.W.; Planchard, D.; Ohe, Y.; Ramalingam, S.S.; Ahn, M.J.; Kim, S.W.; Su, W.C.; Horn, L.; et al. AZD9291 in EGFR inhibitor-resistant non-small-cell lung cancer. N. Engl. J. Med. 2015, 372, 1689–1699. [Google Scholar] [CrossRef] [PubMed]
- Hirashima, T.; Satouchi, M.; Hida, T.; Nishio, M.; Kato, T.; Sakai, H.; Imamura, F.; Kiura, K.; Okamoto, I.; Kasahara, K.; et al. Osimertinib for Japanese patients with T790M-positive advanced non-small-cell lung cancer: A pooled subgroup analysis. Cancer Sci. 2019, 110, 2884–2893. [Google Scholar] [CrossRef]
- Kanda, Y. Investigation of the freely available easy-to-use software ‘EZR’ for medical statistics. Bone Marrow Transplant. 2013, 48, 452–458. [Google Scholar] [CrossRef] [PubMed]
- Togashi, Y.; Masago, K.; Masuda, S.; Mizuno, T.; Fukudo, M.; Ikemi, Y.; Sakamori, Y.; Nagai, H.; Kim, Y.H.; Katsura, T.; et al. Cerebrospinal fluid concentration of gefitinib and erlotinib in patients with non-small cell lung cancer. Cancer Chemother. Pharmacol. 2012, 70, 399–405. [Google Scholar] [CrossRef] [PubMed]
- Zhao, J.; Ye, X.; Xu, Y.; Chen, M.; Zhong, W.; Sun, Y.; Yang, Z.; Zhu, G.; Gu, Y.; Wang, M. EGFR mutation status of paired cerebrospinal fluid and plasma samples in EGFR mutant non-small cell lung cancer with leptomeningeal metastases. Cancer Chemother. Pharmacol. 2016, 78, 1305–1310. [Google Scholar] [CrossRef]
- Tamiya, A.; Tamiya, M.; Nishihara, T.; Shiroyama, T.; Nakao, K.; Tsuji, T.; Takeuchi, N.; Isa, S.I.; Omachi, N.; Okamoto, N.; et al. Cerebrospinal Fluid Penetration Rate and Efficacy of Afatinib in Patients with EGFR Mutation-positive Non-small Cell Lung Cancer with Leptomeningeal Carcinomatosis: A Multicenter Prospective Study. Anticancer Res. 2017, 37, 4177–4182. [Google Scholar] [PubMed]
- Yamaguchi, H.; Wakuda, K.; Fukuda, M.; Kenmotsu, H.; Mukae, H.; Ito, K.; Chibana, K.; Inoue, K.; Miura, S.; Tanaka, K.; et al. A Phase II Study of Osimertinib for Radiotherapy-Naive Central Nervous System Metastasis From NSCLC: Results for the T790M Cohort of the OCEAN Study (LOGIK1603/WJOG9116L). J. Thorac. Oncol. 2021, 16, 2121–2132. [Google Scholar] [CrossRef]





| N = 41 | n | (%) |
|---|---|---|
| Median age | 68 | 43–81 (range) |
| Sex | ||
| Male | 8 | (20) |
| Female | 33 | (80) |
| ECOG PS | ||
| 0 | 17 | (41.5) |
| 1 | 16 | (39.0) |
| 2 | 6 | (14.6) |
| 3 | 2 | (4.9) |
| Smoking status | ||
| Former or current smoker | 11 | (26.8) |
| Never smoker | 30 | (73.2) |
| Stage of disease before first line treatment (7th) | ||
| IV | 32 | (78.0) |
| Recurrence | 9 | (22.0) |
| Number of previous regimens | ||
| 1 | 20 | (48.8) |
| 2 | 6 | (14.6) |
| ≥3 (range 3–8) | 15 | (36.6) |
| CNS metastases | ||
| positive | 34 | (82.9) |
| negative | 7 | (17.1) |
| EGFR mutation subtype | ||
| Exon 19 del | 27 | (65.9) |
| Exon 21 L858R | 14 | (34.1) |
| Exon 20 T790M | 41 | (100) |
| Response | N | % |
|---|---|---|
| CR | 0 | 0% |
| PR | 22 | 53.7% |
| SD | 15 | 36.6% |
| PD | 1 | 2.4% |
| NE | 3 | 7.3% |
| Response Rate | 53.7% | |
| Disease Control Rate | 92.7% |
| Case | Plasma Trough (ng/mL) | CSF Level (ng/mL) | Plasma Level of the Same Time as CSF (ng/mL) * | CSF/Plasma |
|---|---|---|---|---|
| OC-02 | 186 | 10.1 | 238 | 4.2% |
| OC-03 | 191 | 8.2 | 248 | 3.3% |
| Variables | Univariate Analysis | Multivariate Analysis | |||
|---|---|---|---|---|---|
| HR (95%CI) | p-Value | HR (95%CI) | p-Value | ||
| Age | <75 y vs. ≥75 y | 1.995 (0.907–4.384) | 0.086 | 2.173 (0.873–5.406) | 0.095 |
| Sex | Female vs. Male | 1.170 (0.524–2.611) | 0.701 | 2.710 (0.835–8.794) | 0.097 |
| Stage | Postoperative recurrence vs. Stage III, IV; | 2.983 (1.057–8.418) | 0.039 | 2.199 (0.555–8.719) | 0.262 |
| Smoking | Never vs. Former/Current | 0.636 (0.283–1.425) | 0.271 | 0.284 (0.089–0.903) | 0.034 * |
| previous regimens | 1 vs. >2 | 1.050 (0.520–2.123) | 0.892 | 1.051 (0.391–2.828) | 0.922 |
| EGFR mutation | L858R vs. Ex 19 del | 1.106 (0.522–2.347) | 0.792 | 1.159 (0.480–2.800) | 0.743 |
| Brain metastasis | No vs. Yes | 1.223 (0.588–2.542) | 0.590 | 1.737 (0.590–5.117) | 0.317 |
| Osimertinib | Q2 + Q3 vs. Q1 + Q4 | 2.704 (1.235–5.920) | 0.013 | 4.492 (1.643–12.280) | 0.003 * |
| P2 Cases | Cases with Grade 3 or Higher AE | Cases Discontinued due to AE | Cases Discontinued due to PD | |
|---|---|---|---|---|
| Q1 (n = 10) | 3 (30%) | 6 (60%) | 1 (nausea) (10%) | 7 (CNS 2) (70%) |
| Q2 + Q3 (n = 18) | 3 (16.7%) | 2 (11.1%) | 2 (ILD 2) (11.1%) | 2 (CNS 1) (11.1%) |
| Q4 (n = 10) | 2 (20%) | 4 (40%) | 3 (nausea *, anorexia **, and ILD) (30%) | 5 (CNS 0) (50%) |
| Plasma Concentration | P1 | P2 | p | |||
|---|---|---|---|---|---|---|
| Osimertinib | ng/mL | 216 | (90.6–564) | 618 | (164–832) | 0.022 * |
| AZ5104 | ng/mL | 17.9 | (n.d.–61.9) | 33.4 | (16.6–92) | 0.031 * |
| Serum | P1 | P2 | p | |||
| white blood cell | ×103/μL | 42 | (29–48) | 44 | (30–61) | 0.553 |
| neutrocyte | ×103/μL | 26 | (18–29) | 30 | (22–50) | 0.128 |
| hemoglobin | g/dL | 10.5 | (8–13.3) | 10.4 | (7.6–12.6) | 0.059 |
| platelet | ×103/μL | 135 | (123–338) | 193 | (123–266) | 0.834 |
| aspartate aminotransferase | U/L | 21 | (15–45) | 17 | (12–27) | 0.172 |
| alanine aminotransferase | U/L | 14 | (7–34) | 11 | (5–25) | 0.14 |
| total bilirubin | mg/dL | 0.32 | (0.15–0.6) | 0.33 | (0.21–0.66) | 0.498 |
| serum creatinin | mg/dL | 0.72 | (0.58–1.08) | 0.77 | (0.56–0.99) | 0.352 |
Disclaimer/Publisher’s Note: The statements, opinions and data contained in all publications are solely those of the individual author(s) and contributor(s) and not of MDPI and/or the editor(s). MDPI and/or the editor(s) disclaim responsibility for any injury to people or property resulting from any ideas, methods, instructions or products referred to in the content. |
© 2023 by the authors. Licensee MDPI, Basel, Switzerland. This article is an open access article distributed under the terms and conditions of the Creative Commons Attribution (CC BY) license (https://creativecommons.org/licenses/by/4.0/).
Share and Cite
Fukuhara, T.; Imai, K.; Nakagawa, T.; Igusa, R.; Yokota, H.; Watanabe, K.; Suzuki, A.; Morita, M.; Onodera, R.; Inoue, A.; et al. A Prospective Cohort Study Assessing the Relationship between Plasma Levels of Osimertinib and Treatment Efficacy and Safety. Biomedicines 2023, 11, 2501. https://doi.org/10.3390/biomedicines11092501
Fukuhara T, Imai K, Nakagawa T, Igusa R, Yokota H, Watanabe K, Suzuki A, Morita M, Onodera R, Inoue A, et al. A Prospective Cohort Study Assessing the Relationship between Plasma Levels of Osimertinib and Treatment Efficacy and Safety. Biomedicines. 2023; 11(9):2501. https://doi.org/10.3390/biomedicines11092501
Chicago/Turabian StyleFukuhara, Tatsuro, Kazuhiro Imai, Taku Nakagawa, Ryotaro Igusa, Hayato Yokota, Kana Watanabe, Aya Suzuki, Mami Morita, Ren Onodera, Akira Inoue, and et al. 2023. "A Prospective Cohort Study Assessing the Relationship between Plasma Levels of Osimertinib and Treatment Efficacy and Safety" Biomedicines 11, no. 9: 2501. https://doi.org/10.3390/biomedicines11092501
APA StyleFukuhara, T., Imai, K., Nakagawa, T., Igusa, R., Yokota, H., Watanabe, K., Suzuki, A., Morita, M., Onodera, R., Inoue, A., Miura, M., Minamiya, Y., & Maemondo, M. (2023). A Prospective Cohort Study Assessing the Relationship between Plasma Levels of Osimertinib and Treatment Efficacy and Safety. Biomedicines, 11(9), 2501. https://doi.org/10.3390/biomedicines11092501

