Circulating Angiogenic Factors and Ischemic Diabetic Foot Syndrome Advancement—A Pilot Study
Abstract
1. Introduction
2. Materials and Methods
2.1. Study Design and Population
2.2. Data Collection
2.3. Angiogenic Factor Assessment
2.4. Assessment of DFS Advancement
2.5. Hemodynamic Parameters of Lower Limb Arteries
2.6. Microcirculation Assessment
2.7. Statistical Analysis and Sample Size Calculation
2.8. Ethical Aspects
3. Results
3.1. Demographic and Clinical Characteristics of Subjects
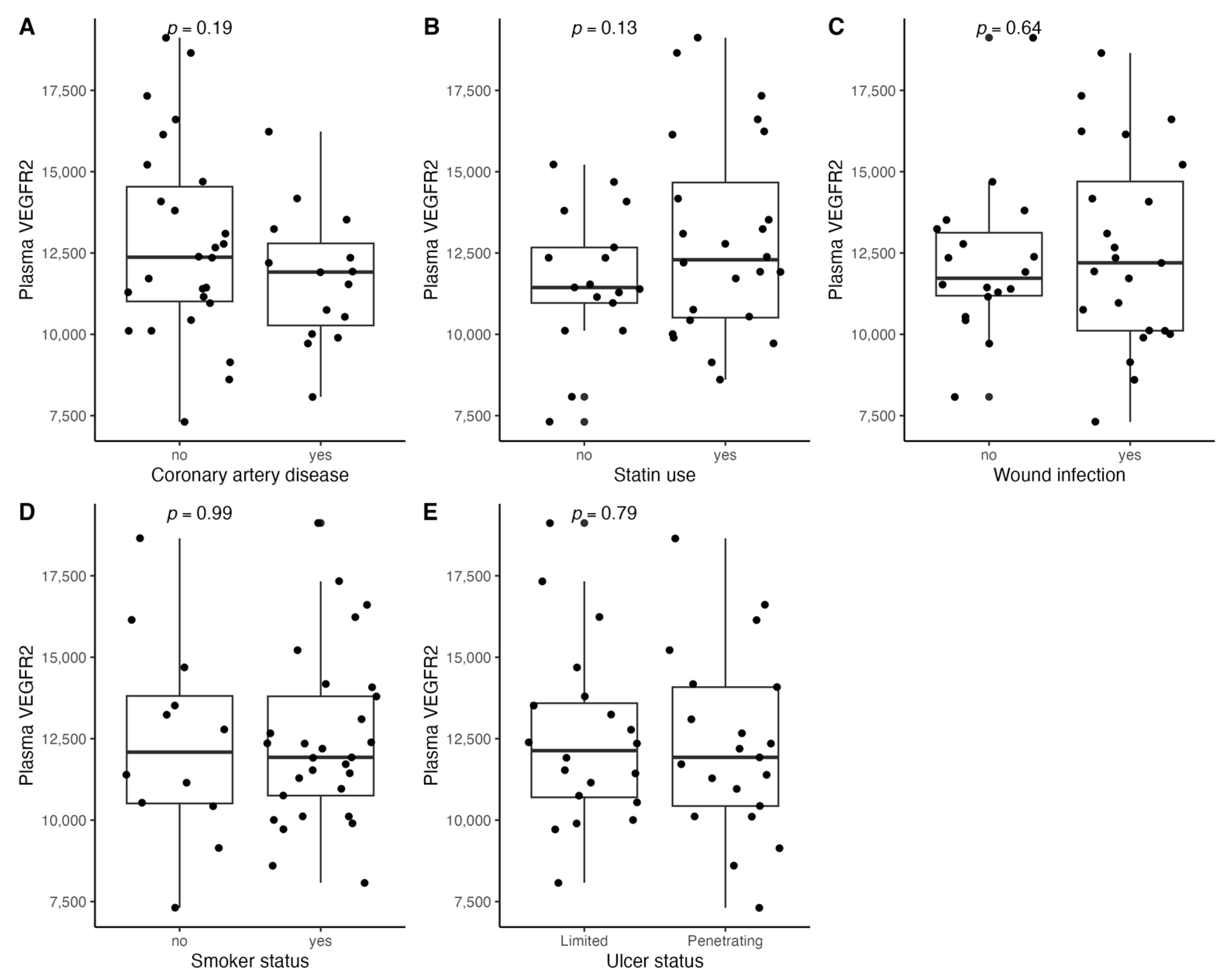
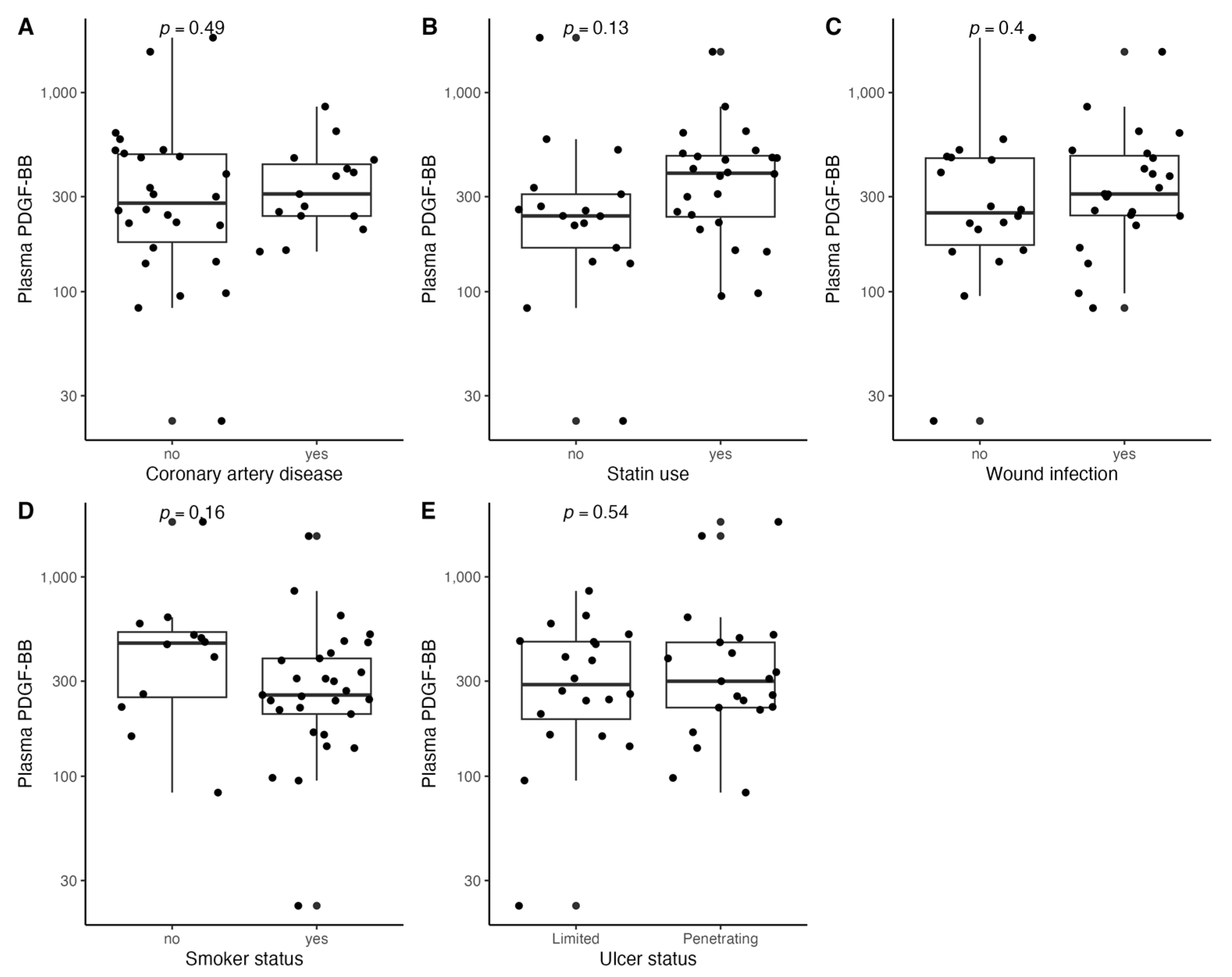
3.2. Comparison of Subjects’ Characteristics According to Ulcer Features
3.3. Comparison of Angiogenic Factors and Clinical Characteristics According to Patients’ Age
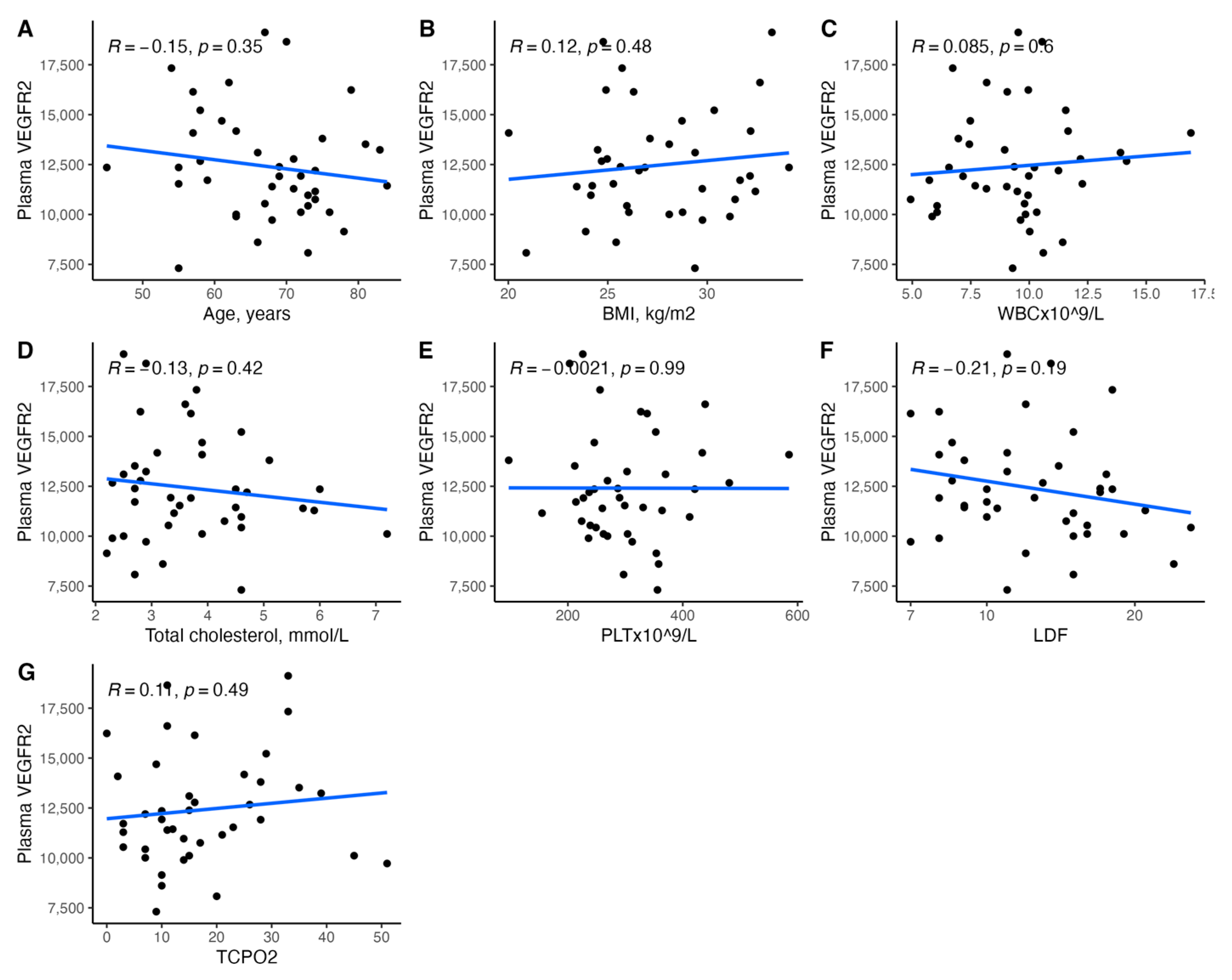
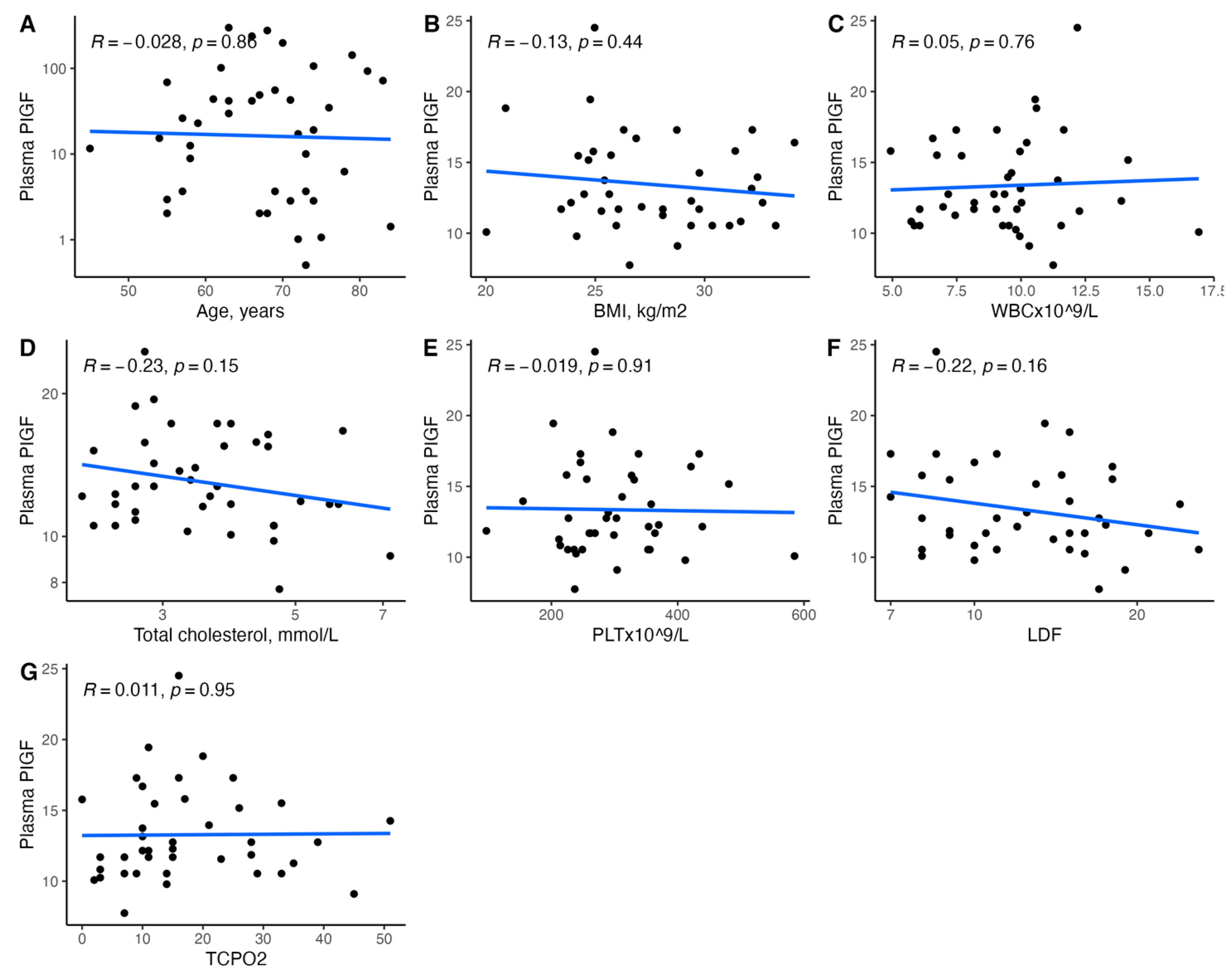
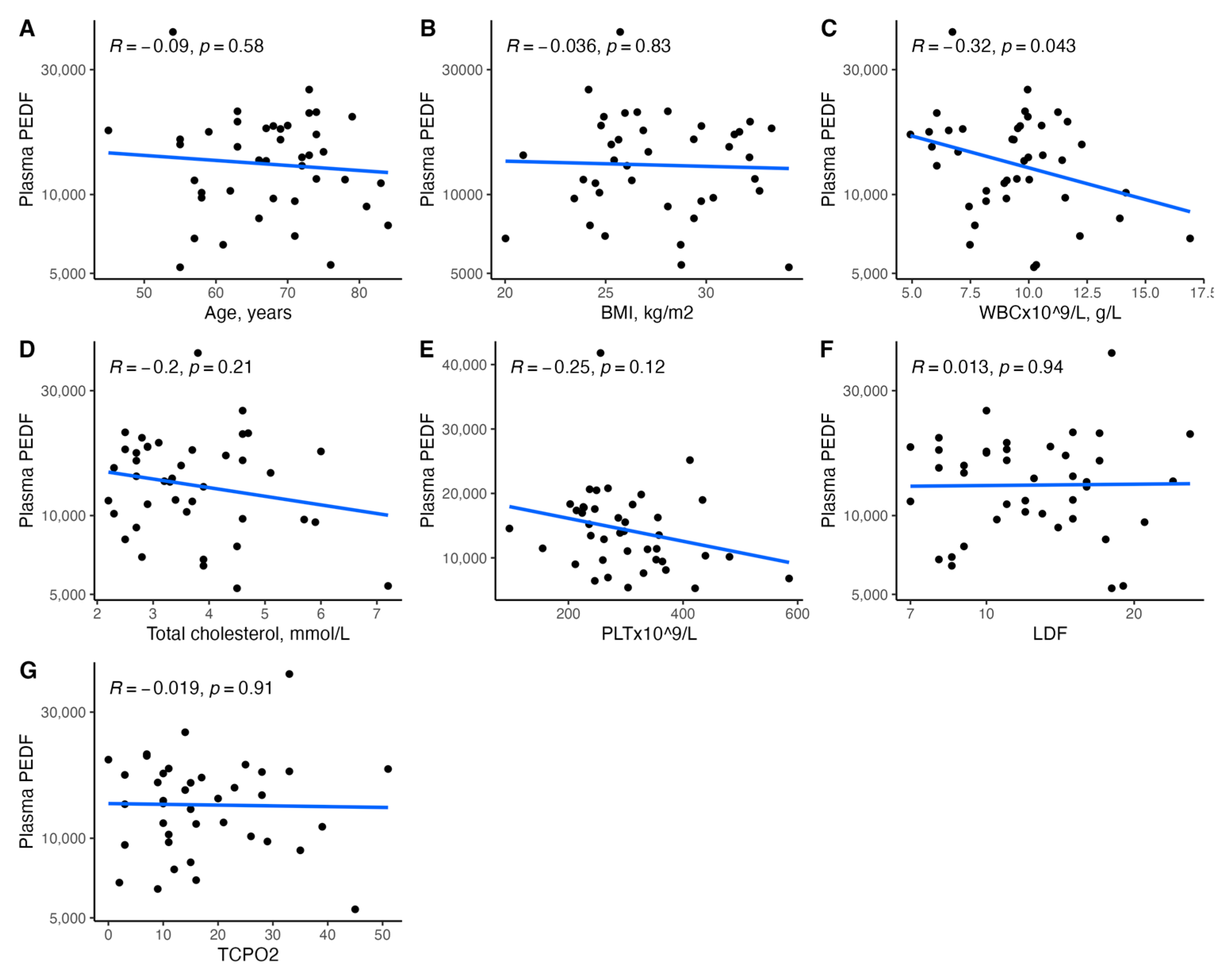
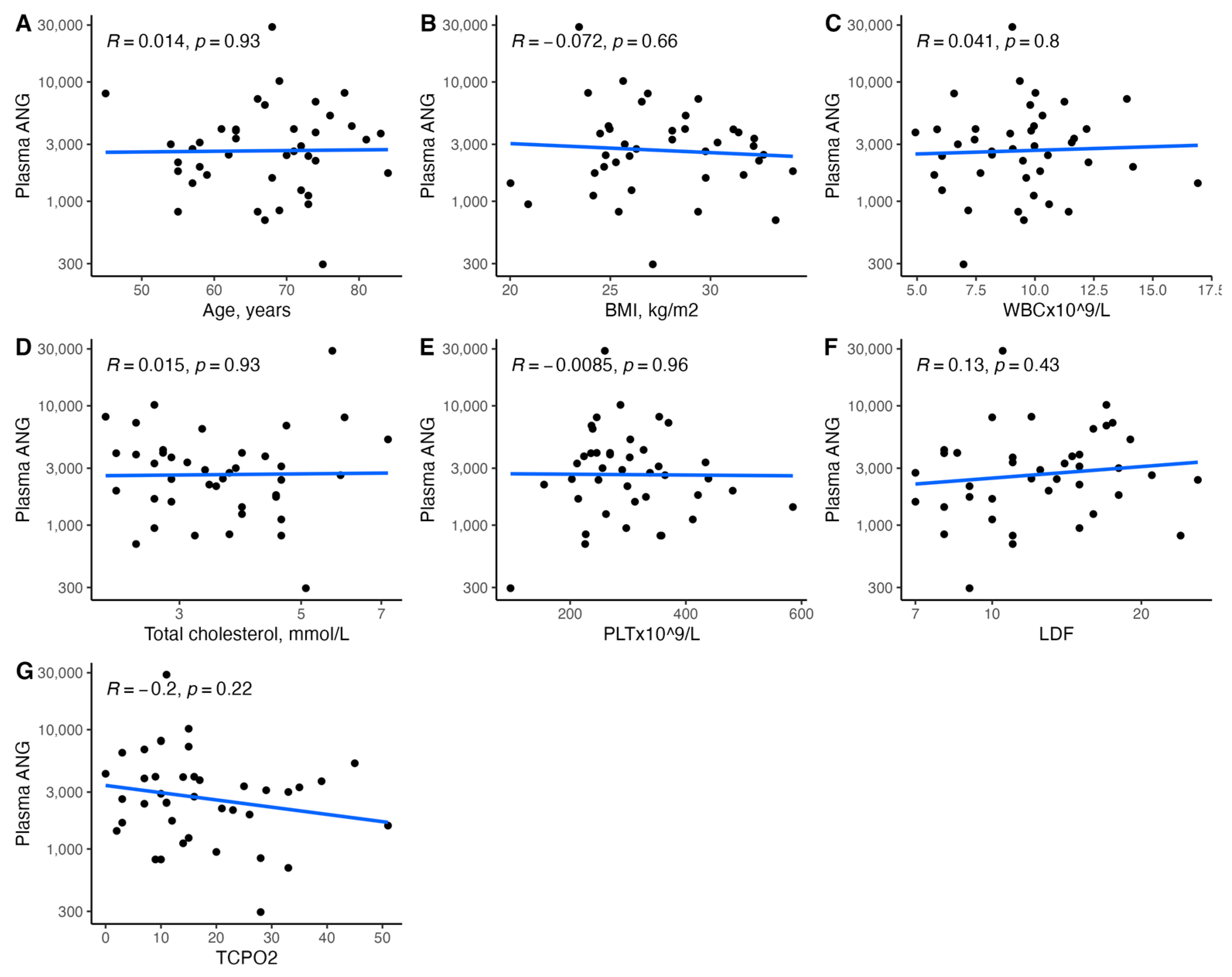
3.4. Relationships between Pro- and Anti-Angiogenic Factors, Microvascular Status, and Glycemic Control
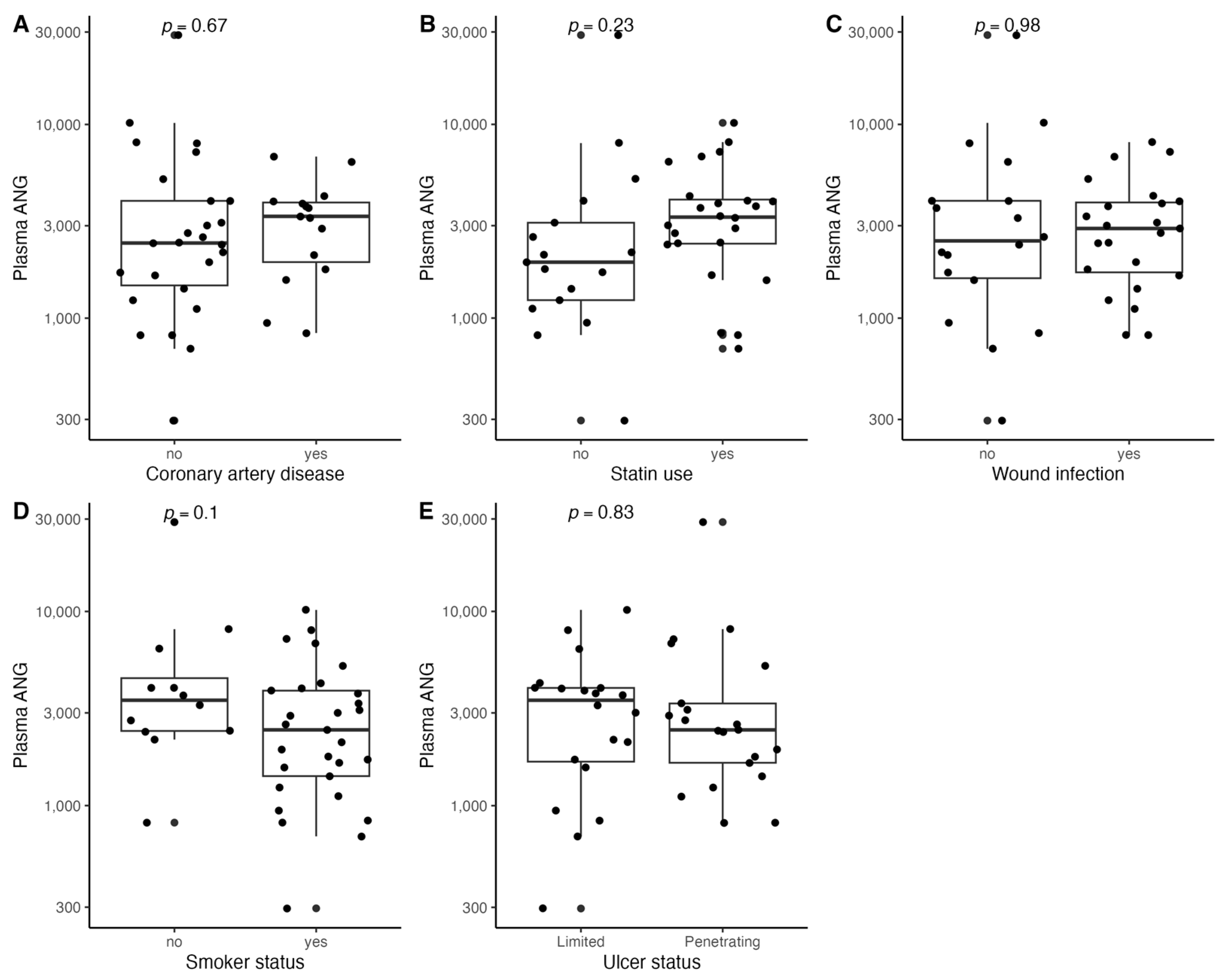
3.5. Relationships between Plasma FGF-2 and Clinical Characteristics
4. Discussion
5. Conclusions
Supplementary Materials
Author Contributions
Funding
Institutional Review Board Statement
Informed Consent Statement
Data Availability Statement
Acknowledgments
Conflicts of Interest
References
- Zhang, P.; Lu, J.; Jing, Y.; Tang, S.; Zhu, D.; Bi, Y. Global epidemiology of diabetic foot ulceration: A systematic review and meta-analysis. Ann. Med. 2017, 49, 106–116. [Google Scholar] [CrossRef] [PubMed]
- Armstrong, D.G.; Boulton, A.J.M.; Bus, S.A. Diabetic Foot Ulcers and Their Recurrence. N. Engl. J. Med. 2017, 376, 2367–2375. [Google Scholar] [CrossRef] [PubMed]
- van Netten, J.J.; Bus, S.A.; Apelqvist, J.; Lipsky, B.A.; Hinchliffe, R.J.; Game, F.; Rayman, G.; Lazzarini, P.A.; Forsythe, R.O.; Peters, E.J.G.; et al. Definitions and criteria for diabetic foot disease. Diabetes Metab. Res. Rev. 2020, 36, e3268. [Google Scholar] [CrossRef] [PubMed]
- Bandyk, D.F. The diabetic foot: Pathophysiology, evaluation, and treatment. Semin. Vasc. Surg. 2018, 31, 43–48. [Google Scholar] [CrossRef]
- Spiliopoulos, S.; Festas, G.; Paraskevopoulos, I.; Mariappan, M.; Brountzos, E. Overcoming ischemia in the diabetic foot: Minimally invasive treatment options. World J. Diabetes 2021, 12, 2011–2026. [Google Scholar] [CrossRef]
- Yang, S.L.; Zhu, L.Y.; Han, R.; Sun, L.L.; Li, J.X.; Dou, J.T. Pathophysiology of peripheral arterial disease in diabetes mellitus. J. Diabetes. 2017, 9, 133–140. [Google Scholar] [CrossRef]
- Forsythe, R.O.; Brownrigg, J.; Hinchliffe, R.J. Peripheral arterial disease and revascularization of the diabetic foot. Diabetes Obes. Metab. 2015, 17, 435–444. [Google Scholar] [CrossRef]
- Prompers, L.; Schaper, N.; Apelqvist, J.; Edmonds, M.; Jude, E.; Mauricio, D.; Uccioli, L.; Urbancic, V.; Bakker, K.; Holstein, P.; et al. Prediction of outcome in individuals with diabetic foot ulcers: Focus on the differences between individuals with and without peripheral arterial disease. The EURODIALE Study. Diabetologia 2008, 51, 747–755. [Google Scholar] [CrossRef]
- Patel, S.; Srivastava, S.; Singh, M.R.; Singh, D. Mechanistic insight into diabetic wounds: Pathogenesis, molecular targets and treatment strategies to pace wound healing. Biomed. Pharmacother. 2019, 112, 108615. [Google Scholar] [CrossRef]
- Okonkwo, U.A.; Dipietro, L.A. Diabetes and wound angiogenesis. Int. J. Mol. Sci. 2017, 18, 1419. [Google Scholar] [CrossRef]
- Zhu, S.; Bennett, S.; Kuek, V.; Xiang, C.; Xu, H.; Rosen, V.; Xu, J. Endothelial cells produce angiocrine factors to regulate bone and cartilage via versatile mechanisms. Theranostics 2020, 10, 5957–5965. [Google Scholar] [CrossRef] [PubMed]
- Dimmeler, S.; Zeiher, A.M. Endothelial Cell Apoptosis in Angiogenesis and Vessel Regression. Circ. Res. 2000, 87, 434–439. [Google Scholar] [CrossRef] [PubMed]
- Kular, J.; Tickner, J.; Chim, S.M.; Xu, J. An overview of the regulation of bone remodelling at the cellular level. Clin. Biochem. 2012, 45, 863–873. [Google Scholar] [CrossRef] [PubMed]
- Chao, C.Y.; Cheing, G.L. Microvascular dysfunction in diabetic foot disease and ulceration. Diabetes Metab. Res. Rev. 2009, 25, 604–614. [Google Scholar] [CrossRef]
- Dinh, T.; Veves, A. Microcirculation of the Diabetic Foot. Curr. Pharm. Des. 2005, 11, 2301–2309. [Google Scholar] [CrossRef]
- Lowry, D.; Saeed, M.; Narendran, P.; Tiwari, A. The Difference between the Healing and the Nonhealing Diabetic Foot Ulcer: A Review of the Role of the Microcirculation. J. Diabetes Sci. Technol. 2017, 11, 914–923. [Google Scholar] [CrossRef]
- Schönborn, M.; Łączak, P.; Pasieka, P.; Borys, S.; Płotek, A.; Maga, P. Pro- and Anti-Angiogenic Factors: Their Relevance in Diabetic Foot Syndrome—A Review. Angiology 2022, 73, 299–311. [Google Scholar] [CrossRef]
- Hardman, R.L.; Jazaeri, O.; Yi, J.; Smith, M.; Gupta, R. Overview of classification systems in peripheral artery disease. Semin. Interv. Radiol. 2014, 31, 378–388. [Google Scholar] [CrossRef]
- Mills, J.L.; Conte, M.S.; Armstrong, D.G.; Pomposelli, F.B.; Schanzer, A.; Sidawy, A.N.; Andros, G. The society for vascular surgery lower extremity threatened limb classification system: Risk stratification based on Wound, Ischemia, and foot Infection (WIfI). J. Vasc. Surg. 2014, 59, 220–234. [Google Scholar] [CrossRef]
- Jeon, B.J.; Choi, H.J.; Kang, J.S.; Tak, M.S.; Park, E.S. Comparison of five systems of classification of diabetic foot ulcers and predictive factors for amputation. Int. Wound J. 2017, 14, 537–545. [Google Scholar] [CrossRef]
- Kulwas, A.; Drela, E.; Jundziłł, W.; Góralczyk, B.; Ruszkowska-Ciastek, B.; Rość, D. Circulating endothelial progenitor cells and angiogenic factors in diabetes complicated diabetic foot and without foot complications. J. Diabetes Complicat. 2015, 29, 686–690. [Google Scholar] [CrossRef]
- Tecilazich, F.; Dinh, T.; Pradhan-Nabzdyk, L.; Leal, E.; Tellechea, A.; Kafanas, A.; Gnardellis, C.; Magargee, M.L.; Dejam, A.; Toxavidis, V.; et al. Role of endothelial progenitor cells and inflammatory cytokines in healing of diabetic foot ulcers. PLoS ONE 2013, 8, e83314. [Google Scholar] [CrossRef]
- Gui, C.; Li, S.K.; Nong, Q.L.; Du, F.; Zhu, L.G.; Zeng, Z.Y. Changes of serum angiogenic factors concentrations in patients with diabetes and unstable angina pectoris. Cardiovasc. Diabetol. 2013, 19, 12:34. [Google Scholar] [CrossRef]
- Liu, Y.; Liu, Y.; Deng, J.; Li, W.; Nie, X. Fibroblast Growth Factor in Diabetic Foot Ulcer: Progress and Therapeutic Prospects. Front. Endocrinol. 2021, 12, 744868. [Google Scholar] [CrossRef]
- Martí-Carvajal, A.J.; Gluud, C.; Nicola, S.; Simancas-Racines, D.; Reveiz, L.; Oliva, P.; Cedeño-Taborda, J. Growth factors for treating diabetic foot ulcers. Cochrane Database Syst. Rev. 2015, 10. [Google Scholar] [CrossRef] [PubMed]
- Tanaka, K.; Nagata, D.; Hirata, Y.; Tabata, Y.; Nagai, R.; Sata, M. Augmented angiogenesis in adventitia promotes growth of atherosclerotic plaque in apolipoprotein E-deficient mice. Atherosclerosis 2011, 215, 366–373. [Google Scholar] [CrossRef]
- Liu, M.H.; Tang, Z.H.; Li, G.H.; Qu, S.L.; Zhang, Y.; Ren, Z.; Liu, L.S.; Jiang, Z.S. Janus-like role of fibroblast growth factor 2 in arteriosclerotic coronary artery disease: Atherogenesis and angiogenesis. Atherosclerosis 2013, 229, 10–17. [Google Scholar] [CrossRef] [PubMed]
- Cao, X.Z.; Xie, T.; Lu, S.L. Receptor pathways of glycated basic fibroblast growth factor affecting the proliferation and vascularization of human dermal microvascular endothelial cells. Zhonghua Shao Shang Za Zhi Chinese J. Burn. 2021, 37, 17–24. (In Chinese) [Google Scholar] [CrossRef] [PubMed]
- Hamed, E.A.; Zakary, M.M.; Abdelal, R.M.; Abdel Moneim, E.M. Vasculopathy in type 2 diabetes mellitus: Role of specific angiogenic modulators. J. Physiol. Biochem. 2011, 67, 339–349. [Google Scholar] [CrossRef]
- Zimering, M.B.; Anderson, R.J.; Ge, L.; Moritz, T.E. Increased plasma basic fibroblast growth factor is associated with coronary heart disease in adult type 2 diabetes mellitus. Metabolism 2011, 60, 284–291. [Google Scholar] [CrossRef]
- Cucina, A.; Sapienza, P.; Corvino, V.; Borrelli, V.; Mariani, V.; Randone, B.; Santoro D′Angelo, L.; Cavallaro, A. Nicotine-induced smooth muscle cell proliferation is mediated through bFGF and TGF-β1. Surgery 2000, 127, 316–322. [Google Scholar] [CrossRef] [PubMed]
- Cucina, A.; Corvino, V.; Sapienza, P.; Borrelli, V.; Lucarelli, M.; Scarpa, S.; Strom, R.; Santoro-D′Angelo, L.; Cavallaro, A. Nicotine Regulates Basic Fibroblastic Growth Factor and Transforming Growth Factor 1 Production in Endothelial Cells. Biochem. Biophys. Res. Commun. 1999, 257, 306–312. [Google Scholar] [CrossRef] [PubMed]
- Carry, C.S.; Soloway, P.D.; Kayastha, S.; Bauer, J.; Marsan, B.; Ricotta, J.J.; Dryjski, M. Nicotine and cotinine stimulate secretion of basic fibroblast growth factor and affect expression of matrix metalloproteinases in cultured human smooth muscle cells. J. Vasc. Surg. 1996, 24, 927–934. [Google Scholar] [CrossRef]
- Marinucci, L.; Bodo, M.; Balloni, S.; Locci, P.; Baroni, T. Sub-toxic nicotine concentrations affect extracellular matrix and growth factor signaling gene expressions in human osteoblasts. J. Cell Physiol. 2014, 229, 2038–2048. [Google Scholar] [CrossRef] [PubMed]
- Marck, R.E.; van der Bijl, I.; Korsten, H.; Lorinser, J.; de Korte, D.; Middelkoop, E. Activation, function and content of platelets in burn patients. Platelets 2019, 30, 396–402. [Google Scholar] [CrossRef]
- Haddad, L.E.; Bou Khzam, L.; Hajjar, F.; Merhi, Y.; Sirois, M.G. Characterization of FGF receptor expression in human neutrophils and their contribution to chemotaxis. Am. J. Physiol. Cell Physiol. 2011, 301, C1036–C1045. [Google Scholar] [CrossRef]
- Zittermann, S.I.; Issekutz, A.C. Basic fibroblast growth factor (bFGF, FGF-2) potentiates leukocyte recruitment to inflammation by enhancing endothelial adhesion molecule expression. Am. J. Pathol. 2006, 168, 835–846. [Google Scholar] [CrossRef]
- Shao, X.; Chen, S.; Yang, D.; Cao, M.; Yao, Y.; Wu, Z.; Li, N.; Shen, N.; Li, X.; Song, X.; et al. FGF2 cooperates with IL-17 to promote autoimmune inflammation. Sci. Rep. 2017, 7, 7024. [Google Scholar] [CrossRef]
- Hurley, M.M.; Gronowicz, G.; Zhu, L.; Kuhn, L.T.; Rodner, C.; Xiao, L. Age-Related Changes in FGF-2, Fibroblast Growth Factor Receptors and β-Catenin Expression in Human Mesenchyme-Derived Progenitor Cells. J. Cell Biochem. 2016, 117, 721–729. [Google Scholar] [CrossRef]
- Larsson, A.; Skoïdenberg, E.; Ericson, H. Serum and plasma levels of FGF-2 and VEGF in healthy blood donors. Angiogenesis 2002, 5, 107–110. [Google Scholar] [CrossRef]
- Galkowska, H.; Wojewodzka, U.; Olszewski, W.L. Chemokines, cytokines, and growth factors in keratinocytes and dermal endothelial cells in the margin of chronic diabetic foot ulcers. Wound Repair Regen. 2006, 14, 558–565. [Google Scholar] [CrossRef] [PubMed]
- Qi, W.; Yang, C.; Dai, Z.; Che, D.; Feng, J.; Mao, Y.; Cheng, R.; Wang, Z.; He, X.; Zhou, T.; et al. High levels of pigment epithelium-derived factor in diabetes impair wound healing through suppression of Wnt signaling. Diabetes 2015, 64, 1407–1419. [Google Scholar] [CrossRef] [PubMed]
- Yammine, K.; Hayek, F.; Assi, C. Is there an association between anemia and diabetic foot ulcers? A systematic review and meta-analysis. Wound Repair Regen. 2021, 29, 432–442. [Google Scholar] [CrossRef]
- Jeandrot, A.; Richard, J.L.; Combescure, C.; Jourdan, N.; Finge, S.; Rodier, M.; Corbeau, P.; Sotto, A.; Lavigne, J.P. Serum procalcitonin and C-reactive protein concentrations to distinguish mildly infected from non-infected diabetic foot ulcers: A pilot study. Diabetologia 2008, 51, 347–352. [Google Scholar] [CrossRef] [PubMed]
- Wachsmann, A.; Maga, M.; Schönborn, M.; Olszewska, M.; Blukacz, M.; Cebeńko, M.; Trynkiewicz, A.; Maga, P. Impact of pre-operative glycated haemoglobin A 1C level on 1-year outcomes of endovascular treatment in patients with critical limb ischemia in the course of diabetes mellitus. Folia Med. Cracov. 2019, 59, 49–60. [Google Scholar]
- Dutta, A.; Bhansali, A.; Rastogi, A. Early and Intensive Glycemic Control for Diabetic Foot Ulcer Healing: A Prospective Observational Nested Cohort Study. Int. J. Low. Extrem. Wounds 2021. [Google Scholar] [CrossRef] [PubMed]
- Chen, D.; Wang, M.; Shang, X.; Liu, X.; Liu, X.; Ge, T.; Ren, Q.; Ren, X.; Song, X.; Xu, H.; et al. Development and validation of an incidence risk prediction model for early foot ulcer in diabetes based on a high evidence systematic review and meta-analysis. Diabetes Res. Clin. Pract. 2021, 180, 109040. [Google Scholar] [CrossRef]
















| Variable | Limited 1 (n = 20) | Penetrating 2 (n = 21) | Total | p-Value |
|---|---|---|---|---|
| WBC, 109/L | 8.62 (1.99) | 10.17 (2.71) | 9.41 (2.48) | 0.05 |
| lnPLT | 5.50 (0.28) | 5.81 (0.28) | 5.66 (0.32) | <0.01 |
| lnCRP | 1.35 (1.08) | 2.73 (1.46) | 2.06 (1.45) | <0.01 |
| lnVEGF-A | 2.55 (1.58) | 3.02 (1.88) | 2.79 (1.73) | 0.40 |
| VEGF-A, median (IQR), pg/mL | 17.19 (2.92, 45.05) | 22.91 (6.23, 101.44) | 19.07 (3.67, 55.64) | |
| lnVEGF-R2 | 9.41 (0.21) | 9.39 (0.23) | 9.40 (0.22) | 0.75 |
| VEGF-R2, median (IQR), pg/mL | 12,133.70 (10,700.38, 13,589.43) | 11,927.98 (10,432.89, 14,082.89) | 11,927.98 (10,539.92, 13,801.05) | |
| lnPIGF | 2.63 (0.22) | 2.50 (0.23) | 2.56 (0.23) | 0.09 |
| PIGF, median (IQR), pg/mL | 13.35 (11.66, 15.78) | 11.70 (10.54, 13.74) | 12.28 (10.83, 15.51) | |
| lnPDGF-BB | 5.61 (0.81) | 5.76 (0.77) | 5.69 (0.79) | 0.54 |
| PDGF-BB, median (IQR), pg/mL | 288.89 (194.36, 473.09) | 299.64 (220.94, 469.20) | 299.64 (215.23, 471.75) | |
| FGF-2, pg/mL | 5.23 (4.17) | 8.86 (5.29) | 7.09 (5.06) | 0.02 |
| FGF-2, median (IQR), pg/mL | 4.33 (2.61, 6.65) | 7.66 (5.27, 13.06) | 6.07 (3.52, 9.42) | |
| lnPEDF | 9.57 (0.43) | 9.39 (0.44) | 9.48 (0.44) | 0.21 |
| PEDF, median (IQR), ng/mL | 15,374.60 (11,369.19, 17,827.56) | 11,403.50 (9656.45, 17,358.40) | 13,870.45 (9720.83, 17,802.82) | |
| lnANG-1 | 7.85 (0.87) | 7.91 (0.85) | 7.88 (0.85) | 0.83 |
| ANG-1, median (IQR), pg/mL | 3490.94 (1685.21, 4032.60) | 2453.53 (1661.96, 3354.17) | 2744.49 (1661.96, 4032.60) |
| Variable | Limited 1 (n = 20) | Penetrating 2 (n = 21) | Total | p-Value |
|---|---|---|---|---|
| ABI | 1.10 (0.81) | 0.73 (0.57) | 0.91 (0.71) | 0.11 |
| ABI, median (IQR) | 0.73 (0.59, 1.48) | 0.67 (0.44, 0.81) | 0.72 (0.46, 1.00) | |
| TBI | 0.16 (0.14) | 0.18 (0.09) | 0.17 (0.12) | 0.69 |
| TBI, median (IQR) | 0.15 (0.07, 0.19) | 0.16 (0.11, 0.21) | 0.15 (0.11, 0.21) | |
| tcpO2, mmHg | 20.70 (13.06) | 13.95 (10.36) | 17.32 (12.13) | 0.08 |
| tcpO2, median (IQR), mmHg | 18.50 (11.50, 29.25) | 11.00 (8.50, 15.25) | 14.50 (9.75, 25.25) | |
| LDF, PU | 11.57 (3.56) | 14.48 (5.07) | 13.06 (4.59) | 0.04 |
| LDF, median (IQR), PU | 10.50 (8.50, 15.00) | 13.00 (11.00, 17.50) | 12.00 (9.00, 16.00) |
Disclaimer/Publisher’s Note: The statements, opinions and data contained in all publications are solely those of the individual author(s) and contributor(s) and not of MDPI and/or the editor(s). MDPI and/or the editor(s) disclaim responsibility for any injury to people or property resulting from any ideas, methods, instructions or products referred to in the content. |
© 2023 by the authors. Licensee MDPI, Basel, Switzerland. This article is an open access article distributed under the terms and conditions of the Creative Commons Attribution (CC BY) license (https://creativecommons.org/licenses/by/4.0/).
Share and Cite
Schönborn, M.; Gregorczyk-Maga, I.; Batko, K.; Bogucka, K.; Maga, M.; Płotek, A.; Pasieka, P.; Słowińska-Solnica, K.; Maga, P. Circulating Angiogenic Factors and Ischemic Diabetic Foot Syndrome Advancement—A Pilot Study. Biomedicines 2023, 11, 1559. https://doi.org/10.3390/biomedicines11061559
Schönborn M, Gregorczyk-Maga I, Batko K, Bogucka K, Maga M, Płotek A, Pasieka P, Słowińska-Solnica K, Maga P. Circulating Angiogenic Factors and Ischemic Diabetic Foot Syndrome Advancement—A Pilot Study. Biomedicines. 2023; 11(6):1559. https://doi.org/10.3390/biomedicines11061559
Chicago/Turabian StyleSchönborn, Martyna, Iwona Gregorczyk-Maga, Krzysztof Batko, Katarzyna Bogucka, Mikołaj Maga, Anna Płotek, Patrycja Pasieka, Krystyna Słowińska-Solnica, and Paweł Maga. 2023. "Circulating Angiogenic Factors and Ischemic Diabetic Foot Syndrome Advancement—A Pilot Study" Biomedicines 11, no. 6: 1559. https://doi.org/10.3390/biomedicines11061559
APA StyleSchönborn, M., Gregorczyk-Maga, I., Batko, K., Bogucka, K., Maga, M., Płotek, A., Pasieka, P., Słowińska-Solnica, K., & Maga, P. (2023). Circulating Angiogenic Factors and Ischemic Diabetic Foot Syndrome Advancement—A Pilot Study. Biomedicines, 11(6), 1559. https://doi.org/10.3390/biomedicines11061559

