Robotic Lateral Pelvic Lymph Node Dissection Could Harvest More Lateral Pelvic Lymph Nodes over Laparoscopic Approach for Mid-to-Low Rectal Cancer: A Multi-Institutional Retrospective Cohort Study
Abstract
1. Introduction
2. Materials and Methods
3. Results
3.1. Baseline Characteristics
3.2. Intraoperative Outcomes
3.3. Pathological Outcomes
3.4. Postoperative Outcomes
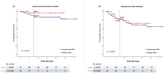
3.5. Oncological Outcomes
4. Discussion
5. Conclusions
Author Contributions
Funding
Institutional Review Board Statement
Informed Consent Statement
Data Availability Statement
Acknowledgments
Conflicts of Interest
References
- Watanabe, T.; Muro, K.; Ajioka, Y.; Hashiguchi, Y.; Ito, Y.; Saito, Y.; Hamaguchi, T.; Ishida, H.; Ishiguro, M.; Ishihara, S.; et al. Japanese Society for Cancer of the Colon and Rectum (JSCCR) guidelines 2016 for the treatment of colorectal cancer. Int. J. Clin. Oncol. 2018, 23, 1–34. [Google Scholar] [CrossRef] [PubMed]
- Moriya, Y.; Sugihara, K.; Akasu, T.; Fujita, S. Nerve-sparing surgery with lateral node dissection for advanced lower rectal cancer. Eur. J. Cancer 1995, 31, 1229–1232. [Google Scholar] [CrossRef]
- Bosset, J.F.; Collette, L.; Calais, G.; Mineur, L.; Maingon, P.; Radosevic-Jelic, L.; Daban, A.; Bardet, E.; Beny, A.; Ollier, J.C. Chemotherapy with preoperative radiotherapy in rectal cancer. N. Engl. J. Med. 2006, 355, 1114–1123. [Google Scholar] [CrossRef] [PubMed]
- Kusters, M.; Beets, G.L.; van de Velde, C.J.; Beets-Tan, R.G.; Marijnen, C.A.; Rutten, H.J.; Putter, H.; Moriya, Y. A comparison between the treatment of low rectal cancer in Japan and the Netherlands, focusing on the patterns of local recurrence. Ann. Surg. 2009, 249, 229–235. [Google Scholar] [CrossRef] [PubMed]
- Kim, M.J.; Chang, G.J.; Lim, H.K.; Song, M.K.; Park, S.C.; Sohn, D.K.; Chang, H.J.; Kim, D.Y.; Park, J.W.; Jeong, S.Y.; et al. Oncological Impact of Lateral Lymph Node Dissection After Preoperative Chemoradiotherapy in Patients with Rectal Cancer. Ann. Surg. Oncol. 2020, 27, 3525–3533. [Google Scholar] [CrossRef]
- Ogura, A.; Konishi, T.; Cunningham, C.; Garcia-Aguilar, J.; Iversen, H.; Toda, S.; Lee, I.K.; Lee, H.X.; Uehara, K.; Lee, P.; et al. Neoadjuvant (Chemo)radiotherapy With Total Mesorectal Excision Only Is Not Sufficient to Prevent Lateral Local Recurrence in Enlarged Nodes: Results of the Multicenter Lateral Node Study of Patients With Low cT3/4 Rectal Cancer. J. Clin. Oncol. 2019, 37, 33–43. [Google Scholar] [CrossRef]
- Fujita, S.; Akasu, T.; Mizusawa, J.; Saito, N.; Kinugasa, Y.; Kanemitsu, Y.; Ohue, M.; Fujii, S.; Shiozawa, M.; Yamaguchi, T.; et al. Postoperative morbidity and mortality after mesorectal excision with and without lateral lymph node dissection for clinical stage II or stage III lower rectal cancer (JCOG0212): Results from a multicentre, randomised controlled, non-inferiority trial. Lancet Oncol. 2012, 13, 616–621. [Google Scholar] [CrossRef]
- Tribuzi, A.; Guagni, T.; Paolini, C.; Di Marino, M.; Coratti, A. Robotic intersphincteric resection with total mesorectal excision and coloanal anastomosis—A video vignette. Colorectal. Dis. 2020, 22, 1777–1778. [Google Scholar] [CrossRef]
- Lezoche, E.; Feliciotti, F.; Paganini, A.M.; Guerrieri, M.; De Sanctis, A.; Campagnacci, R. Laparoscopic colonic resection. J. Laparoendosc. Adv. Surg. Tech. A 2001, 11, 401–408. [Google Scholar] [CrossRef]
- Kang, J.; Yoon, K.J.; Min, B.S.; Hur, H.; Baik, S.H.; Kim, N.K.; Lee, K.Y. The impact of robotic surgery for mid and low rectal cancer: A case-matched analysis of a 3-arm comparison--open, laparoscopic, and robotic surgery. Ann. Surg. 2013, 257, 95–101. [Google Scholar] [CrossRef]
- Cheng, L.J.; Chen, J.H.; Chen, S.Y.; Wei, Z.W.; Yu, L.; Han, S.P.; He, Y.L.; Wu, Z.H.; Chen, C.Q. Distinct Prognosis of High Versus Mid/Low Rectal Cancer: A Propensity Score-Matched Cohort Study. J. Gastrointest. Surg. 2019, 23, 1474–1484. [Google Scholar] [CrossRef]
- Lee, S.W.; Lee, J.H.; Lee, I.K.; Oh, S.T.; Kim, D.Y.; Kim, T.H.; Oh, J.H.; Baek, J.Y.; Chang, H.J.; Park, H.C.; et al. The Impact of Surgical Timing on Pathologic Tumor Response after Short Course and Long Course Preoperative Chemoradiation for Locally Advanced Rectal Adenocarcinoma. Cancer Res. Treat. 2018, 50, 1039–1050. [Google Scholar] [CrossRef]
- Bae, J.H.; Koh, W.; Kim, H.H.; Lee, Y.S. Standardized Step-by-step Technique Using Surgical Landmarks in Robotic Lateral Pelvic Lymph Node Dissection. Ann. Coloproctol. 2021, 37, 58–60. [Google Scholar] [CrossRef] [PubMed]
- Leal Ghezzi, T.; Campos Corleta, O. 30 Years of Robotic Surgery. World J. Surg. 2016, 40, 2550–2557. [Google Scholar] [CrossRef] [PubMed]
- Prete, F.P.; Pezzolla, A.; Prete, F.; Testini, M.; Marzaioli, R.; Patriti, A.; Jimenez-Rodriguez, R.M.; Gurrado, A.; Strippoli, G.F.M. Robotic Versus Laparoscopic Minimally Invasive Surgery for Rectal Cancer: A Systematic Review and Meta-analysis of Randomized Controlled Trials. Ann. Surg. 2018, 267, 1034–1046. [Google Scholar] [CrossRef] [PubMed]
- Cui, Y.; Li, C.; Xu, Z.; Wang, Y.; Sun, Y.; Xu, H.; Li, Z.; Sun, Y. Robot-assisted versus conventional laparoscopic operation in anus-preserving rectal cancer: A meta-analysis. Ther. Clin. Risk Manag. 2017, 13, 1247–1257. [Google Scholar] [CrossRef]
- Lin, S.; Jiang, H.G.; Chen, Z.H.; Zhou, S.Y.; Liu, X.S.; Yu, J.R. Meta-analysis of robotic and laparoscopic surgery for treatment of rectal cancer. World J. Gastroenterol. 2011, 17, 5214–5220. [Google Scholar] [CrossRef] [PubMed]
- Alturkistani, S.A.; Alghanem, A.M.; Lee, I.K. Robotic Lateral Pelvic Lymph Node Dissection: Description of A Technique. J. Minim. Invasive Surg. 2020, 23, 103–105. [Google Scholar] [CrossRef] [PubMed]
- Bae, S.U.; Saklani, A.P.; Hur, H.; Min, B.S.; Baik, S.H.; Lee, K.Y.; Kim, N.K. Robotic and laparoscopic pelvic lymph node dissection for rectal cancer: Short-term outcomes of 21 consecutive series. Ann. Surg. Treat. Res. 2014, 86, 76–82. [Google Scholar] [CrossRef]
- Wong, K.Y.; Tan, A.M. Short term outcomes of minimally invasive selective lateral pelvic lymph node dissection for low rectal cancer. World J. Gastrointest. Surg. 2020, 12, 178–189. [Google Scholar] [CrossRef]
- Kim, H.J.; Choi, G.S.; Park, J.S.; Park, S.Y.; Lee, H.J.; Woo, I.T.; Park, I.K. Selective lateral pelvic lymph node dissection: A comparative study of the robotic versus laparoscopic approach. Surg. Endosc. 2018, 32, 2466–2473. [Google Scholar] [CrossRef] [PubMed]
- Pan, J.; Wang, B.; Feng, Z.; Sun, Z.; Xia, C.; Zhang, Q.; Ren, S. Robotic versus laparoscopic total mesorectal excision for mid-low rectal cancer with difficult anatomical conditions. Asian J. Surg. 2022, 45, 2725–2732. [Google Scholar] [CrossRef] [PubMed]
- Asoglu, O.; Tokmak, H.; Bakir, B.; Aliyev, V.; Saglam, S.; Iscan, Y.; Bademler, S.; Meric, S. Robotic versus laparoscopic sphincter-saving total mesorectal excision for mid or low rectal cancer in male patients after neoadjuvant chemoradiation therapy: Comparison of long-term outcomes. J. Robot. Surg. 2020, 14, 393–399. [Google Scholar] [CrossRef] [PubMed]



| Variables | Total Patients (N = 108) | Laparoscopic LPND (N = 74) | Robotic LPND (N = 34) | p-Value |
|---|---|---|---|---|
| Age (years) | 61 (54–68) | 63 (54–71) | 60 (53–66) | 0.129 |
| Sex | 0.555 | |||
| Male | 71 (65.7) | 50 (67.6) | 21 (61.8) | |
| Female | 37 (34.3) | 24 (32.4) | 13 (38.2) | |
| BMI (kg/m2) | 0.111 | |||
| <25 | 71 (65.7) | 45 (60.8) | 26 (46.5) | |
| ≥25 | 37 (34.3) | 29 (39.2) | 8 (23.5) | |
| ASA score | 0.233 | |||
| <3 | 105 (97.2) | 73 (98.6) | 32 (94.1) | |
| ≥3 | 3 (2.8) | 1 (1.4) | 2 (5.9) | |
| Tumor level from AV (cm) | 0.641 | |||
| >5 | 67 (62.0) | 47 (63.5) | 20 (58.8) | |
| ≤5 | 41 (38.0) | 27 (36.5) | 14 (41.2) | |
| cT stage | 0.107 | |||
| 2–3 | 72 (66.7) | 53 (71.6) | 19 (55.9) | |
| 4 | 36 (33.3) | 21 (28.4) | 15 (44.1) | |
| cN stage | 0.132 | |||
| 1 | 56 (51.9) | 42 (56.8) | 14 (41.2) | |
| 2 | 52 (48.1) | 32 (43.2) | 20 (58.8) | |
| cM stage | 0.722 | |||
| 0 | 98 (90.7) | 68 (91.9) | 30 (88.2) | |
| 1 | 10 (9.3) | 6 (8.1) | 4 (11.8) | |
| LPN location | 0.953 | |||
| Unilateral | 95 (88.0) | 65 (87.8) | 30 (88.2) | |
| Bilateral | 13 (12.0) | 9 (12.2) | 4 (11.8) | |
| LPN region | 0.104 | |||
| Internal iliac | 66 (61.1) | 50 (67.6) | 16 (47.1) | |
| Obturator | 32 (29.6) | 17 (23.0) | 15 (44.1) | |
| External iliac | 8 (7.4) | 5 (6.8) | 3 (8.8) | |
| Multiple | 2 (1.9) | 2 (2.7) | 0 (0) | |
| a Initial LPN size (mm) | 10.0 (7.0–13.0) | 10.0 (7.5–13.0) | 8.0 (6.0–11.0) | 0.232 |
| b Initial LPN size (mm) | 10.0 (6.4–12.0) | 10.0 (7.5–13.0) | 7.1 (5.9–11.0) | 0.186 |
| a Initial CEA level (ng/mL) | 4.3 (9.5–2.3) | 4.6 (2.6–11.4) | 3.4 (1.8–8.0) | 0.808 |
| Preoperative CRT | 0.076 | |||
| No | 24 (22.2) | 20 (27.0) | 4 (11.8) | |
| Yes | 84 (77.8) | 54 (73.0) | 30 (88.2) | |
| b Post-CRT LPN size (mm) | 6.0 (4.3–8.0) | 7.0 (5.0–9.0) | 5.0 (3.0–6.2) | 0.261 |
| b Post-CRT CEA level (ng/mL) | 2.2 (1.4–4.3) | 2.3 (1.4–5.0) | 2.0 (1.4–2.9) | 0.745 |
| Radiotherapy | 0.430 | |||
| Short course | 21 (25.0) | 12 (22.2) | 9 (30.0) | |
| Long course | 63 (75.0) | 42 (77.8) | 21 (70.0) | |
| Chemotherapy | 0.101 | |||
| FL | 23 (27.4) | 18 (33.3) | 5 (16.7) | |
| Capecitabine | 61 (72.6) | 36 (66.7) | 25 (83.3) |
| Variables | Total Patients (N = 108) | Laparoscopic LPND (N = 74) | Robotic LPND (N = 34) | p-Value |
|---|---|---|---|---|
| Surgical procedure | 0.681 | |||
| Low anterior resection | 66 (61.1) | 47 (63.5) | 19 (55.9) | |
| Intersphincteric resection | 32 (29.6) | 20 (27.0) | 12 (35.3) | |
| Abdominoperineal resection | 10 (9.3) | 7 (9.5) | 3 (8.8) | |
| LPND direction | 0.722 | |||
| Unilateral | 98 (90.7) | 68 (91.9) | 30 (88.2) | |
| Bilateral | 10 (9.3) | 6 (8.1) | 4 (11.8) | |
| Operation time (min) | 300 (241–374) | 275 (230–347) | 353 (285–447) | <0.001 |
| Estimated blood loss (ml) | 100 (50–150) | 100 (50–120) | 100 (50–200) | 0.854 |
| Conversion to open surgery | 0 | 0 | 0 | 1.000 |
| Variables | Total Patients (N = 108) | Laparoscopic LPND (N = 74) | Robotic LPND (N = 34) | p-Value |
|---|---|---|---|---|
| pT stage | 0.999 | |||
| T0 (CR) | 12 (11.1) | 8 (10.8) | 4 (11.8) | |
| T1 | 7 (6.5) | 5 (6.8) | 2 (5.9) | |
| T2 | 29 (26.9) | 20 (27.0) | 9 (26.5) | |
| T3 | 53 (49.1) | 36 (48.6) | 17 (50.0) | |
| T4 | 7 (6.5) | 5 (6.8) | 2 (5.9) | |
| pN stage | 0.375 | |||
| N0 | 55 (50.9) | 39 (52.7) | 16 (47.1) | |
| N1 | 32 (29.6) | 19 (25.7) | 13 (38.2) | |
| N2 | 21 (19.4) | 16 (21.6) | 5 (14.7) | |
| LPN metastasis | 32 (29.6) | 24 (32.4) | 8 (23.5) | 0.347 |
| No. of harvested LN (mesorectum) | 15.0 (12.0–21.5) | 15.5 (12.0–23.0) | 15.0 (12.0–21.0) | 0.968 |
| No. of metastatic LN (mesorectum) | 0.0 (0.0–1.0) | 0.0 (0.0–2.0) | 0.0 (0.0–1.0) | 0.733 |
| No. of harvested LN (LPN) | 5.5 (3.0–8.0) | 5.0 (2.0–7.0) | 7.0 (4.0–10.0) | 0.004 |
| No. of metastatic LN (LPN) | 0.0 (0.0–1.0) | 0.0 (0.0–1.0) | 0.0 (0.0–0.0) | 0.320 |
| Tumor size (cm) | 3.0 (1.1–4.5) | 3.1 (1.6–5.0) | 2.9 (0.5–4.0) | 0.131 |
| DRM (cm) | 1.8 (1.0–3.0) | 2.0 (1.0–3.0) | 1.6 (0.5–3.0) | 0.321 |
| CRM | 1.000 | |||
| Free (≥1 mm) | 100 (92.6) | 68 (91.9) | 32 (94.1) | |
| Involvement | 8 (7.4) | 6 (8.1) | 2 (5.9) | |
| Lymphatic invasion, yes | 42 (38.9) | 30 (40.5) | 12 (35.3) | 0.603 |
| Vascular invasion, yes | 18 (16.7) | 12 (16.2) | 6 (17.6) | 0.853 |
| Perineural invasion, yes | 19 (17.6) | 11 (14.9) | 8 (23.5) | 0.272 |
| Poorly differentiated, yes | 10 (9.3) | 5 (6.8) | 5 (14.7) | 0.282 |
| Variables | Total Patients (N = 108) | Laparoscopic LPND (N = 74) | Robotic LPND (N = 34) | p-Value |
|---|---|---|---|---|
| Postoperative hospital stay (days) | 7 (6–9) | 7 (6–8) | 7 (5–11) | 0.932 |
| Postoperative complication within 30 days after surgery (CDC) | 40 (37.0) | 28 (37.8) | 12 (35.3) | 0.799 |
| 1 | 3 (2.8) | 3 (4.1) | 0 (0.0) | |
| 2 | 26 (24.1) | 19 (25.7) | 7 (20.6) | |
| 3 | 6 (5.6) | 3 (4.1) | 3 (8.8) | |
| 4 | 4 (3.7) | 3 (4.1) | 1 (2.9) | |
| 5 | 1 (0.9) | 0 (0.0) | 1 (2.9) | |
| Major complication ≥ CDC 3 | 11 (10.2) | 6 (8.1) | 5 (14.7) | 0.317 |
| Postoperative complication details | ||||
| Anastomosis leakage | 13 (12.0) | 8 (10.8) | 5 (14.7) | 0.542 |
| Urinary dysfunction | 11 (10.2) | 9 (12.2) | 2 (5.9) | 0.497 |
| Wound complication | 7 (6.5) | 5 (6.8) | 2 (5.9) | 1.000 |
| Lymphocele | 4 (3.7) | 3 (4.1) | 1 (2.9) | 1.000 |
| Ileus | 5 (4.6) | 2 (2.7) | 3 (8.8) | 0.323 |
| Anastomosis bleeding | 2 (1.9) | 2 (2.7) | 0 | 1.000 |
| Internal iliac a. branch bleeding | 1 (0.9) | 1 (1.4) | 0 | 1.000 |
| Mortality within 30 days after surgery | 1 (0.9) | 0 | 1 (2.9) | 1.000 |
Disclaimer/Publisher’s Note: The statements, opinions and data contained in all publications are solely those of the individual author(s) and contributor(s) and not of MDPI and/or the editor(s). MDPI and/or the editor(s) disclaim responsibility for any injury to people or property resulting from any ideas, methods, instructions or products referred to in the content. |
© 2023 by the authors. Licensee MDPI, Basel, Switzerland. This article is an open access article distributed under the terms and conditions of the Creative Commons Attribution (CC BY) license (https://creativecommons.org/licenses/by/4.0/).
Share and Cite
Bae, J.H.; Song, J.; Yoo, R.N.; Kim, J.H.; Kye, B.-H.; Lee, I.K.; Cho, H.-M.; Lee, Y.S. Robotic Lateral Pelvic Lymph Node Dissection Could Harvest More Lateral Pelvic Lymph Nodes over Laparoscopic Approach for Mid-to-Low Rectal Cancer: A Multi-Institutional Retrospective Cohort Study. Biomedicines 2023, 11, 1556. https://doi.org/10.3390/biomedicines11061556
Bae JH, Song J, Yoo RN, Kim JH, Kye B-H, Lee IK, Cho H-M, Lee YS. Robotic Lateral Pelvic Lymph Node Dissection Could Harvest More Lateral Pelvic Lymph Nodes over Laparoscopic Approach for Mid-to-Low Rectal Cancer: A Multi-Institutional Retrospective Cohort Study. Biomedicines. 2023; 11(6):1556. https://doi.org/10.3390/biomedicines11061556
Chicago/Turabian StyleBae, Jung Hoon, Jumyung Song, Ri Na Yoo, Ji Hoon Kim, Bong-Hyeon Kye, In Kyu Lee, Hyeon-Min Cho, and Yoon Suk Lee. 2023. "Robotic Lateral Pelvic Lymph Node Dissection Could Harvest More Lateral Pelvic Lymph Nodes over Laparoscopic Approach for Mid-to-Low Rectal Cancer: A Multi-Institutional Retrospective Cohort Study" Biomedicines 11, no. 6: 1556. https://doi.org/10.3390/biomedicines11061556
APA StyleBae, J. H., Song, J., Yoo, R. N., Kim, J. H., Kye, B.-H., Lee, I. K., Cho, H.-M., & Lee, Y. S. (2023). Robotic Lateral Pelvic Lymph Node Dissection Could Harvest More Lateral Pelvic Lymph Nodes over Laparoscopic Approach for Mid-to-Low Rectal Cancer: A Multi-Institutional Retrospective Cohort Study. Biomedicines, 11(6), 1556. https://doi.org/10.3390/biomedicines11061556

