Multimodal Optical Monitoring of Auto- and Allografts of Skin on a Burn Wound
Abstract
1. Introduction
2. Materials and Methods
2.1. Animal Preparation
2.2. Skin Engraftment Research
2.3. Diffuse Reflectance Spectroscopy (DRS)
2.4. Laser Doppler Flowmetry (LDF)
2.5. Optical Coherence Tomography (OCT)
2.6. Histological Examination
2.7. Statistical Analysis
3. Results
3.1. Visual and Histological Monitoring of Skin Grafts
3.2. LDF Monitoring of Skin Grafts
3.3. DRS Monitoring of Skin Grafts
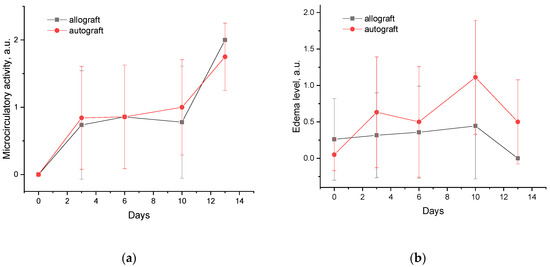
3.4. OCT Monitoring of Skin Grafts
4. Discussion
5. Conclusions
Author Contributions
Funding
Institutional Review Board Statement
Informed Consent Statement
Data Availability Statement
Conflicts of Interest
References
- Wang, C.; Zhang, F.; Lineaweaver, W.C. Clinical applications of allograft skin in burn care. Ann. Plast. Surg. 2020, 84, S158–S160. [Google Scholar] [CrossRef] [PubMed]
- Choi, Y.H.; Cho, Y.S.; Lee, J.H.; Choi, Y.; Noh, S.Y.; Park, S.; Sung, C.; Lim, J.K.; Kim, J.; Shin, J.J. Cadaver skin allograft may improve mortality rate for burns involving over 30% of total body surface area: A propensity score analysis of data from four burn centers. Cell Tissue Bank. 2018, 19, 645–651. [Google Scholar] [CrossRef]
- De Francesco, F.; Busato, A.; Mannucci, S.; Zingaretti, N.; Cottone, G.; Amendola, F.; De Francesco, M.; Merigo, F.; Riccio, V.; Vaienti, L. Artificial dermal substitutes for tissue regeneration: Comparison of the clinical outcomes and histological findings of two templates. J. Int. Med. Res. 2020, 48, 0300060520945508. [Google Scholar] [CrossRef] [PubMed]
- Chua, A.W.C.; Khoo, Y.C.; Truong, T.T.H.; Woo, E.; Tan, B.K.; Chong, S.J. From skin allograft coverage to allograft–micrograft sandwich method: A retrospective review of severe burn patients who received conjunctive application of cultured epithelial autografts. Burns 2018, 44, 1302–1307. [Google Scholar] [CrossRef]
- Shen, C.; Deng, H.; Sun, T.; Cai, J.; Li, D.; Li, L.; He, L.; Zhang, B.; Li, D.; Wang, L. Use of Fresh Scalp Allografts From Living Relatives for Extensive Deep Burns in Children: A Clinical Study Over 7 Years. J. Burn Care Res. 2021, 42, 323–330. [Google Scholar] [CrossRef] [PubMed]
- Sheckter, C.C.; Li, A.; Pridgen, B.; Trickey, A.W.; Karanas, Y.; Curtin, C. The impact of skin allograft on inpatient outcomes in the treatment of major burns 20–50% total body surface area—A propensity score matched analysis using the nationwide inpatient sample. Burns 2019, 45, 146–156. [Google Scholar] [CrossRef] [PubMed]
- Rezaei, E.; Beiraghi-Toosi, A.; Ahmadabadi, A.; Tavousi, S.H.; Tabrizi, A.A.; Fotuhi, K.; Nooghabi, M.J.; Manafi, A.; Moghadam, S.A. Can skin allograft occasionally act as a permanent coverage in deep burns? A pilot study. World J. Plast. Surg. 2017, 6, 94. [Google Scholar]
- Gondalia, R.; Vernuccio, F.; Marin, D.; Bashir, M.R. The role of MR imaging in the assessment of renal allograft vasculature. Abdom. Radiol. 2018, 43, 2589–2596. [Google Scholar] [CrossRef]
- Pighi, M.; Gratta, A.; Marin, F.; Bellamoli, M.; Lunardi, M.; Fezzi, S.; Zivelonghi, C.; Pesarini, G.; Tomai, F.; Ribichini, F. Cardiac allograft vasculopathy: Pathogenesis, diagnosis and therapy. Transplant. Rev. 2020, 34, 100569. [Google Scholar] [CrossRef] [PubMed]
- Makarov, V.; Akhlyustina, E.; Farrakhova, D.; Pominova, D.; Ryabova, A.; Loschenov, V. Photonic methods for quality evaluation of skin engraftment. Biomed. Photonics 2016, 5, 30–40. [Google Scholar] [CrossRef]
- Berggren, J.; Castelo, N.; Tenland, K.; Dahlstrand, U.; Engelsberg, K.; Lindstedt, S.; Sheikh, R.; Malmsjö, M. Reperfusion of free full-thickness skin grafts in periocular reconstructive surgery monitored using laser speckle contrast imaging. Ophthalmic Plast. Reconstr. Surg. 2021, 37, 324–328. [Google Scholar] [CrossRef] [PubMed]
- Stewart, T.L.; Ball, B.; Schembri, P.J.; Hori, K.; Ding, J.; Shankowsky, H.A.; Tredget, E.E.; Group, W.H.R. The use of laser Doppler imaging as a predictor of burn depth and hypertrophic scar postburn injury. J. Burn Care Res. 2012, 33, 764–771. [Google Scholar] [CrossRef] [PubMed]
- Merz, K.; Pfau, M.; Blumenstock, G.; Tenenhaus, M.; Schaller, H.; Rennekampff, H. Cutaneous microcirculatory assessment of the burn wound is associated with depth of injury and predicts healing time. Burns 2010, 36, 477–482. [Google Scholar] [CrossRef]
- Deegan, A.J.; Talebi-Liasi, F.; Song, S.; Li, Y.; Xu, J.; Men, S.; Shinohara, M.M.; Flowers, M.E.; Lee, S.J.; Wang, R.K. Optical coherence tomography angiography of normal skin and inflammatory dermatologic conditions. Lasers Surg. Med. 2018, 50, 183–193. [Google Scholar] [CrossRef] [PubMed]
- McGovern, E.; Hosking, M.C.; Balbacid, E.; Voss, C.; Berger, F.; Schubert, S.; Harris, K.C. Optical coherence tomography for the early detection of coronary vascular changes in children and adolescents after cardiac transplantation: Findings from the international pediatric OCT registry. JACC Cardiovasc. Imaging 2019, 12, 2492–2501. [Google Scholar] [CrossRef]
- Sowa, M.G.; Leonardi, L.; Payette, J.R.; Cross, K.M.; Gomez, M.; Fish, J. Classification of burn injuries using near-infrared spectroscopy. J. Biomed. Opt. 2006, 11, 054002. [Google Scholar] [CrossRef]
- Yin, M.; Li, Y.; Luo, Y.; Yuan, M.; Armato, U.; Prà, I.D.; Zhang, L.; Zhang, D.; Wei, Y.; Yang, G. A novel method for objectively, rapidly and accurately evaluating burn depth via near infrared spectroscopy. Burns Trauma 2021, 9, tkab014. [Google Scholar] [CrossRef]
- Wang, P.; Cao, Y.; Yin, M.; Li, Y.; Wu, J. A burn depth detection system based on near infrared spectroscopy and ensemble learning. Rev. Sci. Instrum. 2017, 88, 114302. [Google Scholar] [CrossRef]
- Kennedy, G.T.; Stone, R.; Kowalczewski, A.C.; Rowland, R.A.; Chen, J.H.; Baldado, M.L.; Ponticorvo, A.; Bernal, N.P.; Christy, R.J.; Durkin, A.J. Spatial frequency domain imaging: A quantitative, noninvasive tool for in vivo monitoring of burn wound and skin graft healing. J. Biomed. Opt. 2019, 24, 071615. [Google Scholar] [CrossRef]
- Ryabkov, M.; Beschastnov, V.; Petrova, K.; Peretyagin, P.; Orlova, A.; Kostyuk, A.; Turchin, I.; Bugrova, M.; Arefiev, I.Y. Multimodal optical monitoring of auto and allografts of skin on a burn wound. Photonics Dermatol. Plast. Surg. 2022, 11934, 1193402. [Google Scholar] [CrossRef]
- Hueber, D.M.; Fantini, S.; Cerussi, A.E.; Barbieri, B.B. New optical probe designs for absolute (self-calibrating) NIR tissue hemoglobin measurements. In Proceedings of the Optical Tomography and Spectroscopy of Tissue III; SPIE: Bellingham, WA, USA, 1999; pp. 618–631. [Google Scholar]
- Patterson, M.S.; Schwartz, E.; Wilson, B.C. Quantitative reflectance spectrophotometry for the noninvasive measurement of photosensitizer concentration in tissue during photodynamic therapy. In Proceedings of the Photodynamic Therapy: Mechanisms; SPIE: Bellingham, WA, USA, 1989; pp. 115–122. [Google Scholar]
- Jacques, S.L. Optical properties of biological tissues: A review. Phys. Med. Biol. 2013, 58, R37. [Google Scholar] [CrossRef]
- Nachabé, R.; Evers, D.J.; Hendriks, B.H.; Lucassen, G.W.; van der Voort, M.; Wesseling, J.; Ruers, T.J. Effect of bile absorption coefficients on the estimation of liver tissue optical properties and related implications in discriminating healthy and tumorous samples. Biomed. Opt. Express 2011, 2, 600–614. [Google Scholar] [CrossRef]
- Beard, P. Biomedical photoacoustic imaging. Interface Focus 2011, 1, 602–631. [Google Scholar] [CrossRef]
- Lee, W.-C.; Wang, Y.-C.; Hsu, H.-Y.; Hsu, P.-Y.; Cheng, C.-H.; Lee, C.-F.; Wu, T.-J.; Chan, K.-M. Immunological discrepancy in aged mice facilitates skin allograft survival. Aging 2021, 13, 16219. [Google Scholar] [CrossRef] [PubMed]
- Arefyev, I.; Ryabkov, M.; Beschastnov, V.; Bugrova, M.; Petrova, K.; Peretyagin, P.; Timofeeva, L.; Karpenko, A.; Tulupov, A.; Koloshein, N. Skin Micrograph Protector in a Burn Wound: Alloderm or Hydrogel Coating? Russ. Sklifosovsky J. Emerg. Med. Care 2022, 11, 75–85. [Google Scholar] [CrossRef]
- Tresoldi, M.M.; Graziano, A.; Malovini, A.; Faga, A.; Nicoletti, G. The role of autologous dermal micrografts in regenerative surgery: A clinical experimental study. Stem Cells Int. 2019, 2019, 9843407. [Google Scholar] [CrossRef]
- Zheng, L.; Wang, X.; Hu, L.; Gao, W.; Zhang, W.; Zhang, X.; Hu, C.; Rong, R.; Yang, C.; Zhu, D. Cyclic Helix B Peptide Prolongs Skin Allograft Survival via Inhibition of B Cell Immune Responses in a Murine Model. Front. Immunol. 2021, 12, 682749. [Google Scholar] [CrossRef]
- Benichou, G.; Yamada, Y.; Yun, S.-H.; Lin, C.; Fray, M.; Tocco, G. Immune recognition and rejection of allogeneic skin grafts. Immunotherapy 2011, 3, 757–770. [Google Scholar] [CrossRef] [PubMed]
- Uwahara, Y.; Kitoh, K.; Kobayashi, R.; Iwata, J.; Ohne, R.; Kitagawa, H.; Sasaki, Y. Effects of genotype matching of feline major histocompatibility complex (FLA) class II DRB on skin-allograft transplantation in cats. J. Vet. Med. Sci. 2001, 63, 1097–1101. [Google Scholar] [CrossRef]
- Sato, K.; Miyamae, J.; Sakai, M.; Okano, M.; Katakura, F.; Shibuya, H.; Nakayama, T.; Moritomo, T. The utility of DLA typing for transplantation medicine in canine models. J. Vet. Med. Sci. 2020, 82, 1138–1145. [Google Scholar] [CrossRef]









| Day after Thermal Burn | −3 | 0 | 3 | 6 | 10 | 13 |
|---|---|---|---|---|---|---|
| Surgical procedure | Burn 20 % | partial fascial necrectomy; allo- and autografting | Dressing; breeding of 6 animals (1 group) | Dressing; breeding of 6 animals (2 group) | Dressing; breeding of 6 animals (3 group) | Dressing; breeding of 6 animals (4 group) |
| Examination procedure | LDF, OCT, DRS | LDF, OCT, DRS; Biopsy in group 1 | LDF, OCT, DRS; Biopsy in group 2 | LDF, OCT, DRS; Biopsy in group 3 | LDF, OCT, DRS; Biopsy in group 4 |
| Edema Score | Edema Manifestation | Features of Structural OCT Image |
|---|---|---|
| 0 | No edema | No low signal level areas |
| 1 | Weak edema | Single small-scale low signal level inhomogeneities within a single OCT cross-section |
| 2 | Pronounced edema | Large scale low signal level inhomogeneities and/or numerous low signal level inhomogeneities within a single OCT cross-section |
| Microcirculatory activity score | Microcirculatory system state | Features of OCT-angiography image |
| 0 | No microcirculation | No signal |
| 1 | Local microcirculation | Visualization of single vessels in the field of view |
| 2 | Normal microcirculation | Visualization of a developed vessel net |
Disclaimer/Publisher’s Note: The statements, opinions and data contained in all publications are solely those of the individual author(s) and contributor(s) and not of MDPI and/or the editor(s). MDPI and/or the editor(s) disclaim responsibility for any injury to people or property resulting from any ideas, methods, instructions or products referred to in the content. |
© 2023 by the authors. Licensee MDPI, Basel, Switzerland. This article is an open access article distributed under the terms and conditions of the Creative Commons Attribution (CC BY) license (https://creativecommons.org/licenses/by/4.0/).
Share and Cite
Turchin, I.; Beschastnov, V.; Peretyagin, P.; Perekatova, V.; Kostyuk, A.; Orlova, A.; Koloshein, N.; Khilov, A.; Sergeeva, E.; Kirillin, M.; et al. Multimodal Optical Monitoring of Auto- and Allografts of Skin on a Burn Wound. Biomedicines 2023, 11, 351. https://doi.org/10.3390/biomedicines11020351
Turchin I, Beschastnov V, Peretyagin P, Perekatova V, Kostyuk A, Orlova A, Koloshein N, Khilov A, Sergeeva E, Kirillin M, et al. Multimodal Optical Monitoring of Auto- and Allografts of Skin on a Burn Wound. Biomedicines. 2023; 11(2):351. https://doi.org/10.3390/biomedicines11020351
Chicago/Turabian StyleTurchin, Ilya, Vladimir Beschastnov, Petr Peretyagin, Valeriya Perekatova, Alexey Kostyuk, Anna Orlova, Nikita Koloshein, Aleksandr Khilov, Ekaterina Sergeeva, Mikhail Kirillin, and et al. 2023. "Multimodal Optical Monitoring of Auto- and Allografts of Skin on a Burn Wound" Biomedicines 11, no. 2: 351. https://doi.org/10.3390/biomedicines11020351
APA StyleTurchin, I., Beschastnov, V., Peretyagin, P., Perekatova, V., Kostyuk, A., Orlova, A., Koloshein, N., Khilov, A., Sergeeva, E., Kirillin, M., & Ryabkov, M. (2023). Multimodal Optical Monitoring of Auto- and Allografts of Skin on a Burn Wound. Biomedicines, 11(2), 351. https://doi.org/10.3390/biomedicines11020351

