Association of Severe Bronchiolitis during Infancy with Childhood Asthma Development: An Analysis of the ECHO Consortium
Abstract
1. Introduction
2. Materials and Methods
2.1. Study Design, Setting, and Participants
2.2. Exposure
2.3. Outcome Measure
2.4. Statistical Analyses
3. Results
3.1. Patients’ Characteristics
3.2. Associations of Severe Bronchiolitis with the Rate of Developing Childhood Asthma
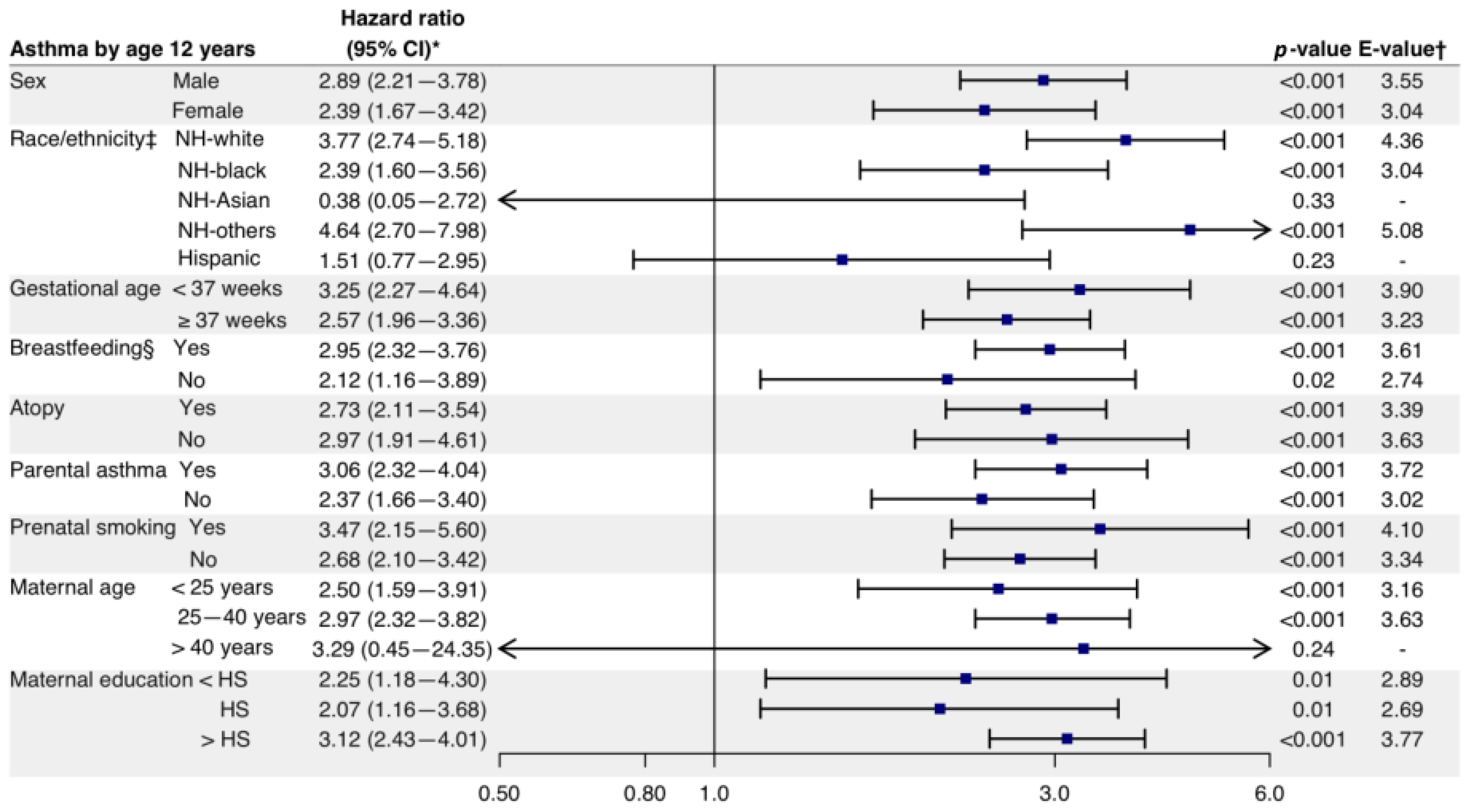
3.3. Examination of Potential Effect Modification
4. Discussion
5. Limitations
6. Conclusions
Supplementary Materials
Author Contributions
Funding
Institutional Review Board Statement
Informed Consent Statement
Data Availability Statement
Acknowledgments
Conflicts of Interest
Abbreviations
| CI | confidence interval |
| DAC | Data Analysis Center |
| ECHO | Environmental influences on Child Health Outcomes |
| HR | hazard ratio |
| IgA | immunoglobulin A |
| IgG | immunoglobulin G |
| IgM | immunoglobulin M |
| IL | interleukin |
| IQR | interquartile range |
| IRB | institutional review board |
| NIH | National Institutes of Health |
| RSV | respiratory syncytial virus |
References
- Pate, C.A.; Zahran, H.S.; Qin, X.; Johnson, C.; Hummelman, E.; Malilay, J. Asthma surveillance—United States, 2006–2018. MMWR Surveill. Summ. 2021, 70, 1–32. [Google Scholar] [CrossRef] [PubMed]
- Johnson, C.C.; Chandran, A.; Havstad, S.; Li, X.; McEvoy, C.T.; Ownby, D.R.; Litonjua, A.A.; Karagas, M.R.; Camargo, C.A., Jr.; Gern, J.E.; et al. US childhood asthma incidence rate patterns from the ECHO consortium to identify high-risk groups for primary prevention. JAMA Pediatr. 2021, 175, 919–927. [Google Scholar] [CrossRef] [PubMed]
- Keet, C.A.; Matsui, E.C.; McCormack, M.C.; Peng, R.D. Urban residence, neighborhood poverty, race/ethnicity, and asthma morbidity among children on Medicaid. J. Allergy Clin. Immunol. 2017, 140, 822–827. [Google Scholar] [CrossRef] [PubMed]
- Rosser, F.J.; Forno, E.; Cooper, P.J.; Celedón, J.C. Asthma in Hispanics. An 8-year update. Am. J. Respir. Crit. Care Med. 2014, 189, 1316–1327. [Google Scholar] [CrossRef]
- Beasley, R.; Semprini, A.; Mitchell, E.A. Risk factors for asthma: Is prevention possible? Lancet 2015, 386, 1075–1085. [Google Scholar] [CrossRef]
- Gustafsson, D.; Sjöberg, O.; Foucard, T. Development of allergies and asthma in infants and young children with atopic dermatitis—A prospective follow-up to 7 years of age. Allergy 2000, 55, 240–245. [Google Scholar] [CrossRef]
- Guerra, S.; Martinez, F.D. Asthma genetics: From linear to multifactorial approaches. Annu. Rev. Med. 2008, 59, 327–341. [Google Scholar] [CrossRef]
- Ono, J.G.; Worgall, T.S.; Worgall, S. 17q21 locus and ORMDL3: An increased risk for childhood asthma. Pediatr. Res. 2014, 75, 165–170. [Google Scholar] [CrossRef]
- Saunes, M.; Øien, T.; Dotterud, C.K.; Romundstad, P.R.; Storrø, O.; Holmen, T.L.; Johnsen, R. Early eczema and the risk of childhood asthma: A prospective, population-based study. BMC Pediatr. 2012, 12, 168. [Google Scholar] [CrossRef]
- Arshad, S.H.; Karmaus, W.; Raza, A.; Kurukulaaratchy, R.J.; Matthews, S.M.; Holloway, J.W.; Sadeghnejad, A.; Zhang, H.; Roberts, G.; Ewart, S.L. The effect of parental allergy on childhood allergic diseases depends on the sex of the child. J. Allergy Clin. Immunol. 2012, 130, 427–434.e6. [Google Scholar] [CrossRef]
- Balekian, D.S.; Linnemann, R.W.; Hasegawa, K.; Thadhani, R.; Camargo, C.A., Jr. Cohort study of severe bronchiolitis during infancy and risk of asthma by age 5 years. J. Allergy Clin. Immunol. Pract. 2017, 5, 92–96. [Google Scholar] [CrossRef] [PubMed]
- Hasegawa, K.; Mansbach, J.M.; Camargo, C.A., Jr. Infectious pathogens and bronchiolitis outcomes. Expert Rev. Anti-infective Ther. 2014, 12, 817–828. [Google Scholar] [CrossRef] [PubMed]
- Makrinioti, H.; Hasegawa, K.; Lakoumentas, J.; Xepapadaki, P.; Tsolia, M.; Castro-Rodriguez, J.A.; Feleszko, W.; Jartti, T.; Johnston, S.L.; Bush, A.; et al. The role of respiratory syncytial virus- and rhinovirus-induced bronchiolitis in recurrent wheeze and asthma—A systematic review and meta-analysis. Pediatr. Allergy Immunol. 2022, 33, e13741. [Google Scholar] [CrossRef] [PubMed]
- Yang-Huang, J.; van Grieken, A.; You, Y.; Jaddoe, V.W.V.; Steegers, E.A.; Duijts, L.; Boelens, M.; Jansen, W.; Raat, H. Changes in family poverty status and child health. Pediatrics 2021, 147, e2020016717. [Google Scholar] [CrossRef] [PubMed]
- Lewis, K.M.; Ruiz, M.; Goldblatt, P.; Morrison, J.; Porta, D.; Forastiere, F.; Hryhorczuk, D.; Zvinchuk, O.; Saurel-Cubizolles, M.J.; Lioret, S.; et al. Mother’s education and offspring asthma risk in 10 European cohort studies. Eur. J. Epidemiol. 2017, 32, 797–805. [Google Scholar] [CrossRef] [PubMed]
- Carroll, K.N.; Wu, P.; Gebretsadik, T.; Griffin, M.R.; Dupont, W.D.; Mitchel, E.F.; Hartert, T.V. Season of infant bronchiolitis and estimates of subsequent risk and burden of early childhood asthma. J Allergy Clin Immunol. 2009, 123, 964–966. [Google Scholar] [CrossRef]
- Carroll, K.N.; Wu, P.; Gebretsadik, T.; Griffin, M.R.; Dupont, W.D.; Mitchel, E.F.; Hartert, T.V. The severity-dependent relationship of infant bronchiolitis on the risk and morbidity of early childhood asthma. J. Allergy Clin. Immunol. 2009, 123, 1055–1061.e1. [Google Scholar] [CrossRef]
- Castro-Rodriguez, J.A.; Forno, E.; Rodriguez-Martinez, C.E.; Celedón, J.C. Risk and protective factors for childhood asthma: What Is the evidence? J. Allergy Clin. Immunol. Pract. 2016, 4, 1111–1122. [Google Scholar] [CrossRef]
- Lodge, C.J.; Tan, D.J.; Lau, M.X.; Dai, X.; Tham, R.; Lowe, A.J.; Bowatte, G.; Allen, K.J.; Dharmage, S.C. Breastfeeding and asthma and allergies: A systematic review and meta-analysis. Acta Paediatr. 2015, 104, 38–53. [Google Scholar] [CrossRef]
- den Dekker, H.T.; van der Voort, A.M.S.; Jaddoe, V.W.; Reiss, I.K.; de Jongste, J.C.; Duijts, L. Breastfeeding and asthma outcomes at the age of 6 years: The Generation R Study. Pediatr. Allergy Immunol. 2016, 27, 486–492. [Google Scholar] [CrossRef]
- Mitchell, E.A.; Beasley, R.; Keil, U.; Montefort, S.; Odhiambo, J.; the ISAAC Phase Three Study Group. The association between tobacco and the risk of asthma, rhinoconjunctivitis and eczema in children and adolescents: Analyses from Phase Three of the ISAAC programme. Thorax 2012, 67, 941–949. [Google Scholar] [CrossRef] [PubMed]
- Sunde, R.B.; Thorsen, J.; Pedersen, C.-E.T.; Stokholm, J.; Bønnelykke, K.; Chawes, B.; Bisgaard, H. Prenatal tobacco exposure and risk of asthma and allergy outcomes in childhood. Eur. Respir. J. 2022, 59, 2100453. [Google Scholar] [CrossRef]
- Abreo, A.; Gebretsadik, T.; Stone, C.A.; Hartert, T.V. The impact of modifiable risk factor reduction on childhood asthma development. Clin. Transl. Med. 2018, 7, 15. [Google Scholar] [CrossRef] [PubMed]
- Lu, S.; Hartert, T.V.; Everard, M.L.; Giezek, H.; Nelsen, L.; Mehta, A.; Patel, H.; Knorr, B.; Reiss, T.F. Predictors of asthma following severe respiratory syncytial virus (RSV) bronchiolitis in early childhood. Pediatr. Pulmonol. 2016, 51, 1382–1392. [Google Scholar] [CrossRef] [PubMed]
- Bergroth, E.; Aakula, M.; Elenius, V.; Remes, S.; Piippo-Savolainen, E.; Korppi, M.; Piedra, P.A.; Bochkov, Y.A.; Gern, J.E.; Camargo, C.A., Jr.; et al. Rhinovirus type in severe bronchiolitis and the development of asthma. J. Allergy Clin. Immunol. Pract. 2020, 8, 588–595.e4. [Google Scholar] [CrossRef]
- Singh, A.M.; Moore, P.E.; Gern, J.E.; Lemanske, R.F., Jr.; Hartert, T.V. Bronchiolitis to asthma: A review and call for studies of gene-virus interactions in asthma causation. Am. J. Respir. Crit. Care Med. 2007, 175, 108–119. [Google Scholar] [CrossRef]
- Sigurs, N.; Aljassim, F.; Kjellman, B.; Robinson, P.D.; Sigurbergsson, F.; Bjarnason, R.; Gustafsson, P.M. Asthma and allergy patterns over 18 years after severe RSV bronchiolitis in the first year of life. Thorax 2010, 65, 1045–1052. [Google Scholar] [CrossRef] [PubMed]
- Bacharier, L.B.; Cohen, R.; Schweiger, T.; Yin-Declue, H.; Christie, C.; Zheng, J.; Schechtman, K.B.; Strunk, R.C.; Castro, M. Determinants of asthma after severe respiratory syncytial virus bronchiolitis. J. Allergy Clin. Immunol. 2012, 130, 91–100.e3. [Google Scholar] [CrossRef]
- Gillman, M.W.; Blaisdell, C.J. Environmental influences on Child Health Outcomes, a Research Program of the National Institutes of Health. Curr. Opin. Pediatr. 2018, 30, 260–262. [Google Scholar] [CrossRef] [PubMed]
- Camargo, C.A., Jr.; Ingham, T.; Wickens, K.; Thadhani, R.; Silvers, K.M.; Epton, M.J.; Town, G.I.; Pattemore, P.K.; Espinola, J.A.; Crane, J. Cord-blood 25-hydroxyvitamin D levels and risk of respiratory infection, wheezing, and asthma. Pediatrics 2011, 127, e180–e187. [Google Scholar] [CrossRef]
- Guilbert, T.W.; Mauger, D.T.; Lemanske, R.F., Jr. Childhood asthma-predictive phenotype. J. Allergy Clin. Immunol. Pract. 2014, 2, 664–670. [Google Scholar] [CrossRef] [PubMed]
- Liu, Y.; De, A. Multiple imputation by fully conditional specification for dealing with missing data in a large epidemiologic study. Int. J. Stat. Med. Res. 2015, 4, 287–295. [Google Scholar] [CrossRef] [PubMed]
- Zanobetti, A.; Ryan, P.H.; Coull, B.; Brokamp, C.; Datta, S.; Blossom, J.; Lothrop, N.; Miller, R.L.; Beamer, P.I.; Visness, C.M.; et al. Childhood asthma incidence, early and persistent wheeze, and neighborhood socioeconomic factors in the ECHO/CREW consortium. JAMA Pediatr. 2022, 176, 759–767. [Google Scholar] [CrossRef] [PubMed]
- E-Value Calculator. Available online: https://www.evalue-calculator.com/evalue/ (accessed on 19 October 2022).
- Sigurs, N.; Bjarnason, R.; Sigurbergsson, F.; Kjellman, B.; Björkstén, B. Asthma and immunoglobulin E antibodies after respiratory syncytial virus bronchiolitis: A prospective cohort study with matched controls. Pediatrics 1995, 95, 500–505. [Google Scholar] [CrossRef]
- Ellis, E.F. Asthma in childhood. J. Allergy Clin. Immunol. 1983, 72, 526–539. [Google Scholar] [CrossRef]
- Kotaniemi-Syrjänen, A.; Reijonen, T.M.; Korhonen, K.; Korppi, M. Wheezing requiring hospitalization in early childhood: Predictive factors for asthma in a six-year follow-up. Pediatr. Allergy Immunol. 2002, 13, 418–425. [Google Scholar] [CrossRef]
- Martinez, F.D. Respiratory syncytial virus bronchiolitis and the pathogenesis of childhood asthma. Pediatr. Infect. Dis. J. 2003, 22, S76–S82. [Google Scholar] [CrossRef]
- Openshaw, P.J.; Dean, G.S.; Culley, F.J. Links between respiratory syncytial virus bronchiolitis and childhood asthma: Clinical and research approaches. Pediatr. Infect. Dis. J. 2003, 22, S58–S64; discussion S64–S65. [Google Scholar] [CrossRef]
- Hasegawa, K.; Mansbach, J.M.; Bochkov, Y.A.; Gern, J.E.; Piedra, P.A.; Bauer, C.S.; Teach, S.J.; Wu, S.; Sullivan, A.F.; Camargo, C.A., Jr. Association of rhinovirus C bronchiolitis and immunoglobulin E sensitization during infancy with development of recurrent wheeze. JAMA Pediatr. 2019, 173, 544–552. [Google Scholar] [CrossRef]
- Rubner, F.J.; Jackson, D.J.; Evans, M.D.; Gangnon, R.E.; Tisler, C.J.; Pappas, T.E.; Gern, J.E.; Lemanske, R.F., Jr. Early life rhinovirus wheezing, allergic sensitization, and asthma risk at adolescence. J. Allergy Clin. Immunol. 2017, 139, 501–507. [Google Scholar] [CrossRef]
- James, K.M.; Gebretsadik, T.; Escobar, G.J.; Wu, P.; Carroll, K.N.; Li, S.X.; Walsh, E.M.; Mitchel, E.F.; Sloan, C.; Hartert, T.V. Risk of childhood asthma following infant bronchiolitis during the respiratory syncytial virus season. J. Allergy Clin. Immunol. 2013, 132, 227–229. [Google Scholar] [CrossRef] [PubMed]
- Ober, C.; Yao, T.-C. The genetics of asthma and allergic disease: A 21st century perspective. Immunol. Rev. 2011, 242, 10–30. [Google Scholar] [CrossRef]
- Thomsen, S.F.; van der Sluis, S.; Kyvik, K.O.; Skytthe, A.; Backer, V. Estimates of asthma heritability in a large twin sample. Clin. Exp. Allergy 2010, 40, 1054–1061. [Google Scholar] [CrossRef] [PubMed]
- van Beijsterveldt, C.E.; Boomsma, D.I. Genetics of parentally reported asthma, eczema and rhinitis in 5-yr-old twins. Eur. Respir. J. 2007, 29, 516–521. [Google Scholar] [CrossRef] [PubMed]
- Hasegawa, K.; Hoptay, C.E.; Harmon, B.; Celedón, J.C.; Mansbach, J.M.; Piedra, P.A.; Freishtat, R.J.; Camargo, C.A., Jr. Association of type 2 cytokines in severe rhinovirus bronchiolitis during infancy with risk of developing asthma: A multicenter prospective study. Allergy 2019, 74, 1374–1377. [Google Scholar] [CrossRef]
- Custovic, A.; Belgrave, D.; Lin, L.; Bakhsoliani, E.; Telcian, A.G.; Solari, R.; Murray, C.S.; Walton, R.P.; Curtin, J.; Edwards, M.R.; et al. Cytokine responses to rhinovirus and development of asthma, allergic sensitization, and respiratory infections during childhood. Am. J. Respir. Crit. Care Med. 2018, 197, 1265–1274. [Google Scholar] [CrossRef]
- Shibata, R.; Fujiogi, M.; Nanishi, M.; Ooka, T.; Mansbach, J.M.; Teach, S.J.; Hasegawa, K.; Camargo, C.A., Jr. Total immunoglobulin E in infant bronchiolitis and risk of developing asthma. J. Allergy Clin. Immunol. Pract. 2022, 10, 2761–2763.e2. [Google Scholar] [CrossRef]
- Nanishi, M.; Fujiogi, M.; Freishtat, R.J.; Hoptay, C.E.; Bauer, C.S.; Stevenson, M.D.; Camargo, C.A., Jr.; Hasegawa, K. Serum periostin among infants with severe bronchiolitis and risk of developing asthma: A prospective multicenter cohort study. Allergy 2022, 77, 2121–2130. [Google Scholar] [CrossRef]
- Thorsen, J.; Rasmussen, M.A.; Waage, J.; Mortensen, M.; Brejnrod, A.; Bønnelykke, K.; Chawes, B.L.; Brix, S.; Sørensen, S.J.; Stokholm, J.; et al. Infant airway microbiota and topical immune perturbations in the origins of childhood asthma. Nat. Commun. 2019, 10, 5001. [Google Scholar] [CrossRef]
- Huang, Y.J.; Boushey, H.A. The microbiome in asthma. J. Allergy Clin. Immunol. 2015, 135, 25–30. [Google Scholar] [CrossRef]
- Chung, K.F. Airway microbial dysbiosis in asthmatic patients: A target for prevention and treatment? J. Allergy Clin. Immunol. 2017, 139, 1071–1081. [Google Scholar] [CrossRef]
- Raita, Y.; Camargo, C.A., Jr.; Bochkov, Y.A.; Celedón, J.C.; Gern, J.E.; Mansbach, J.M.; Rhee, E.P.; Freishtat, R.J.; Hasegawa, K. Integrated-omics endotyping of infants with rhinovirus bronchiolitis and risk of childhood asthma. J. Allergy Clin. Immunol. 2021, 147, 2108–2117. [Google Scholar] [CrossRef] [PubMed]
- Raita, Y.; Pérez-Losada, M.; Freishtat, R.J.; Harmon, B.; Mansbach, J.M.; Piedra, P.A.; Zhu, Z.; Camargo, C.A.; Hasegawa, K. Integrated omics endotyping of infants with respiratory syncytial virus bronchiolitis and risk of childhood asthma. Nat. Commun. 2021, 12, 3601. [Google Scholar] [CrossRef]
- Zhu, Z.; Camargo, C.A., Jr.; Raita, Y.; Freishtat, R.J.; Fujiogi, M.; Hahn, A.; Mansbach, J.M.; Spergel, J.M.; Pérez-Losada, M.; Hasegawa, K. Nasopharyngeal airway dual-transcriptome of infants with severe bronchiolitis and risk of childhood asthma: A multicenter prospective study. J. Allergy Clin. Immunol. 2022, 150, 806–816. [Google Scholar] [CrossRef]
- Ooka, T.; Raita, Y.; Fujiogi, M.; Freishtat, R.J.; Gerszten, R.E.; Mansbach, J.M.; Zhu, Z.; Camargo, C.A., Jr.; Hasegawa, K. Proteomics endotyping of infants with severe bronchiolitis and risk of childhood asthma. Allergy 2022, 77, 3350–3361. [Google Scholar] [CrossRef] [PubMed]
- Fujiogi, M.; Zhu, Z.; Raita, Y.; Ooka, T.; Celedon, J.C.; Freishtat, R.; Camargo, C.A.; Hasegawa, K. Nasopharyngeal lipidomic endotypes of infants with bronchiolitis and risk of childhood asthma: A multicentre prospective study. Thorax 2022, 77, 1059–1069. [Google Scholar] [CrossRef]
- Johnson, C.C.; Havstad, S.L.; Ownby, D.R.; Joseph, C.L.M.; Sitarik, A.R.; Myers, J.B.; Gebretsadik, T.; Hartert, T.V.; Khurana Hershey, G.K.; Jackson, D.J.; et al. Pediatric asthma incidence rates in the United States from 1980 to 2017. J. Allergy Clin. Immunol. 2021, 148, 1270–1280. [Google Scholar] [CrossRef]
- Rosas-Salazar, C.; Hartert, T.V. Prenatal exposures and the development of childhood wheezing illnesses. Curr. Opin. Allergy Clin. Immunol. 2017, 17, 110–115. [Google Scholar] [CrossRef]
- Dogaru, C.M.; Nyffenegger, D.; Pescatore, A.M.; Spycher, B.D.; Kuehni, C.E. Breastfeeding and childhood asthma: Systematic review and meta-analysis. Am. J. Epidemiol. 2014, 179, 1153–1167. [Google Scholar] [PubMed]
- Oddy, W.H.; Holt, P.G.; Sly, P.D.; Read, A.W.; Landau, L.I.; Stanley, F.J.; Kendall, G.E.; Burton, P.R. Association between breast feeding and asthma in 6 year old children: Findings of a prospective birth cohort study. BMJ 1999, 319, 815–819. [Google Scholar] [CrossRef]
- Wilson, K.; Gebretsadik, T.; Adgent, M.A.; Loftus, C.; Karr, C.; Moore, P.E.; Sathyanarayana, S.; Byington, N.; Barrett, E.; Bush, N.; et al. The association between duration of breastfeeding and childhood asthma outcomes. Ann. Allergy Asthma. Immunol. 2022, 129, 205–211. [Google Scholar] [CrossRef]
- Brew, B.K.; Allen, C.W.; Toelle, B.G.; Marks, G.B. Systematic review and meta-analysis investigating breast feeding and childhood wheezing illness. Paediatr. Perinat. Epidemiol. 2011, 25, 507–518. [Google Scholar] [CrossRef]
- Burgess, S.W.; Dakin, C.J.; O’Callaghan, M.J. Breastfeeding does not increase the risk of asthma at 14 years. Pediatrics 2006, 117, e787–e792. [Google Scholar] [CrossRef] [PubMed]
- Friedman, N.J.; Zeiger, R.S. The role of breast-feeding in the development of allergies and asthma. J. Allergy Clin. Immunol. 2005, 115, 1238–1248. [Google Scholar] [CrossRef] [PubMed]
- Hoppu, U.; Kalliomäki, M.; Laiho, K.; Isolauri, E. Breast milk—Immunomodulatory signals against allergic diseases. Allergy 2001, 56, 23–26. [Google Scholar] [CrossRef] [PubMed]
- Ballard, O.; Morrow, A.L. Human milk composition: Nutrients and bioactive factors. Pediatr. Clin. 2013, 60, 49–74. [Google Scholar]
- van de Perre, P. Transfer of antibody via mother’s milk. Vaccine 2003, 21, 3374–3376. [Google Scholar] [CrossRef] [PubMed]
- Hrdý, J.; Novotná, O.; Kocourková, I.; Prokešová, L. Cytokine expression in the colostral cells of healthy and allergic mothers. Folia Microbiol. 2012, 57, 215–219. [Google Scholar] [CrossRef] [PubMed]
- Miller, E.K.; Gebretsadik, T.; Carroll, K.N.; Dupont, W.D.; Mohamed, Y.A.; Morin, L.L.; Heil, L.; Minton, P.A.; Woodward, K.; Liu, Z.; et al. Viral etiologies of infant bronchiolitis, croup and upper respiratory illness during 4 consecutive years. Pediatr. Infect. Dis. J. 2013, 32, 950–955. [Google Scholar] [CrossRef]
- Jartti, T.; Smits, H.H.; Bønnelykke, K.; Bircan, O.; Elenius, V.; Konradsen, J.R.; Maggina, P.; Makrinioti, H.; Stokholm, J.; Hedlin, G.; et al. Bronchiolitis needs a revisit: Distinguishing between virus entities and their treatments. Allergy 2019, 74, 40–52. [Google Scholar] [CrossRef]



| Overall (n = 11,762) | No Bronchiolitis Hospitalization Group (n = 10,632; 90%) | Bronchiolitis Hospitalization Group (n = 1130; 10%) | |
|---|---|---|---|
| Child characteristics | |||
| Age (month), median (IQR) | 9 (7−11) | 9 (7−12) | 5 (5−5) |
| Male sex | 6214 (53%) | 5536 (52%) | 678 (60%) |
| Race and ethnicity | |||
| Non-Hispanic white | 6219 (53%) | 5713 (54%) | 506 (45%) |
| Non-Hispanic black | 2141 (18%) | 1925 (18%) | 216 (19%) |
| Non-Hispanic Asian | 220 (2%) | 200 (2%) | 20 (2%) |
| Non-Hispanic other | 996 (9%) | 917 (9%) | 79 (7%) |
| Hispanic | 2111 (18%) | 1805 (17%) | 306 (27%) |
| Gestational age ≥ 34 weeks | 8888 (87%) | 7905 (86%) | 983 (93%) |
| Birth weight (g), mean (SD) | 3056 (922) | 3048 (939) | 3127 (737) |
| Low birth weight infant (<2500 g) | 1869 (17%) | 1708 (17%) | 161(15%) |
| Perinatal breastfeeding | 5638 (85%) | 4921 (87%) | 717 (78%) |
| Atopy * | 2632 (47%) | 2499 (53%) | 133 (14%) |
| Parental history of asthma | 3404 (36%) | 3024 (36%) | 380 (35%) |
| Maternal characteristics | |||
| Prenatal smoking | 1247(13%) | 1101 (13%) | 146 (14%) |
| Maternal age at delivery (years) | |||
| <25 | 2491 (23%) | 2443 (23%) | 48 (18%) |
| 25−40 | 7943 (74%) | 7737 (74%) | 206 (79%) |
| >40 | 240 (2%) | 234 (2%) | 6 (2%) |
| Maternal education | |||
| <High school | 769 (7%) | 748 (7%) | 21 (8%) |
| High school | 1433 (14%) | 1397 (14%) | 36 (14%) |
| College or above | 8335 (79%) | 8132 (79%) | 203 (78%) |
Disclaimer/Publisher’s Note: The statements, opinions and data contained in all publications are solely those of the individual author(s) and contributor(s) and not of MDPI and/or the editor(s). MDPI and/or the editor(s) disclaim responsibility for any injury to people or property resulting from any ideas, methods, instructions or products referred to in the content. |
© 2022 by the authors. Licensee MDPI, Basel, Switzerland. This article is an open access article distributed under the terms and conditions of the Creative Commons Attribution (CC BY) license (https://creativecommons.org/licenses/by/4.0/).
Share and Cite
Nanishi, M.; Chandran, A.; Li, X.; Stanford, J.B.; Alshawabkeh, A.N.; Aschner, J.L.; Dabelea, D.; Dunlop, A.L.; Elliott, A.J.; Gern, J.E.; et al. Association of Severe Bronchiolitis during Infancy with Childhood Asthma Development: An Analysis of the ECHO Consortium. Biomedicines 2023, 11, 23. https://doi.org/10.3390/biomedicines11010023
Nanishi M, Chandran A, Li X, Stanford JB, Alshawabkeh AN, Aschner JL, Dabelea D, Dunlop AL, Elliott AJ, Gern JE, et al. Association of Severe Bronchiolitis during Infancy with Childhood Asthma Development: An Analysis of the ECHO Consortium. Biomedicines. 2023; 11(1):23. https://doi.org/10.3390/biomedicines11010023
Chicago/Turabian StyleNanishi, Makiko, Aruna Chandran, Xiuhong Li, Joseph B. Stanford, Akram N. Alshawabkeh, Judy L. Aschner, Dana Dabelea, Anne L. Dunlop, Amy J. Elliott, James E. Gern, and et al. 2023. "Association of Severe Bronchiolitis during Infancy with Childhood Asthma Development: An Analysis of the ECHO Consortium" Biomedicines 11, no. 1: 23. https://doi.org/10.3390/biomedicines11010023
APA StyleNanishi, M., Chandran, A., Li, X., Stanford, J. B., Alshawabkeh, A. N., Aschner, J. L., Dabelea, D., Dunlop, A. L., Elliott, A. J., Gern, J. E., Hartert, T., Herbstman, J., Hershey, G. K. K., Hipwell, A. E., Karagas, M. R., Karr, C. J., Leve, L. D., Litonjua, A. A., McEvoy, C. T., ... Hasegawa, K., on behalf of the Environmental Influences on Child Health Outcomes (ECHO) Investigators. (2023). Association of Severe Bronchiolitis during Infancy with Childhood Asthma Development: An Analysis of the ECHO Consortium. Biomedicines, 11(1), 23. https://doi.org/10.3390/biomedicines11010023

